Elephant Grass Cultivar BRS Capiaçu as Sustainable Biomass for Energy Generation in the Amazon Biome of the Mato Grosso State
Abstract
1. Introduction
2. Materials and Methods
2.1. Biomass Cultivation
2.2. Biomass Harvesting
2.3. Biomass Characterisation
3. Results and Discussion
3.1. Productivity Analysis
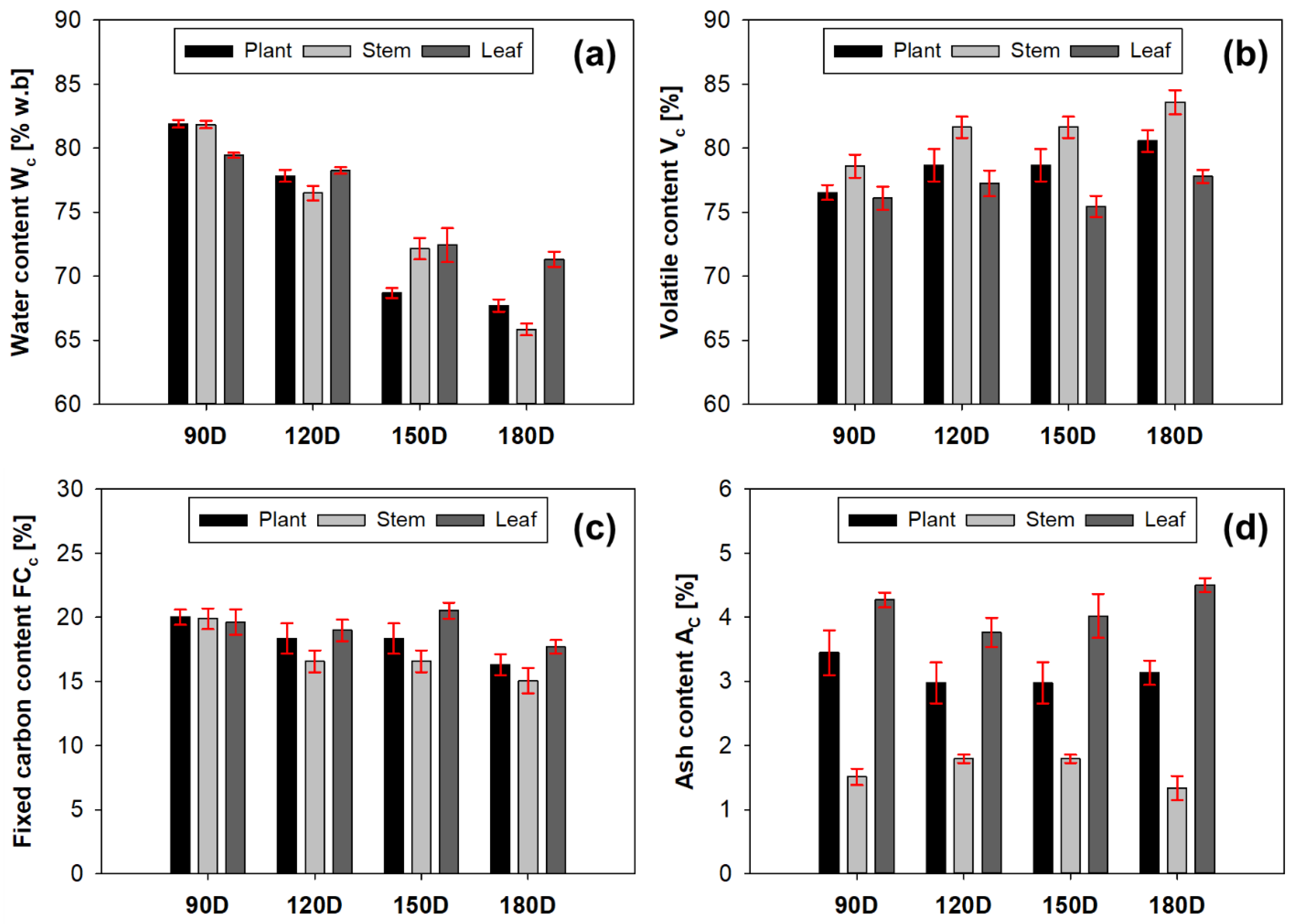
3.2. Proximate Analysis
- Wilks’ lambda (test values from 0 to 1): proportion of variance on the dependent variable that is unaccounted by the independent variables; lower values indicate a stronger effect of independent variables on the variance of dependent variables.
- Pillai’s trace (test values from 0 to 1): effect of independent variable on dependent results; values close to 1 suggest a strong effect of independent variables on dependent variables.
3.3. Energetic Analysis
4. Comparative Evaluation of Elephant Grass Cultivar BRS Capiaçu as an Alternative Biomass
5. Conclusions
Author Contributions
Funding
Data Availability Statement
Conflicts of Interest
References
- Garrett, R.D.; Cammelli, F.; Ferreira, J.; Levy, S.A.; Valentim, J.; Vieira, I. Forests and Sustainable Development in the Brazilian Amazon: History, Trends, and Future Prospects. Annu. Rev. Environ. Resour. 2021, 46, 625–652. [Google Scholar] [CrossRef]
- Silva, A.L.d.; Castañeda-Ayarza, J.A. Macro-environment analysis of the corn ethanol fuel development in Brazil. Renew. Sustain. Energy Rev. 2021, 135, 110387. [Google Scholar] [CrossRef]
- Alonso Pippo, W.; Alves, A. Corn Ethanol in Brazil: Analyzing the Prospect of Becoming a Widespread Practice in South America. Sugar Tech 2022, 24, 857–869. [Google Scholar] [CrossRef]
- CONAB Brazil’s National Supply Company: Safra Brasileira de Grãos. Available online: https://www.conab.gov.br/info-agro/safras/graos (accessed on 5 July 2024).
- Lewandrowski, J.; Rosenfeld, J.; Pape, D.; Hendrickson, T.; Jaglo, K.; Moffroid, K. The greenhouse gas benefits of corn ethanol—Assessing recent evidence. Biofuels 2020, 11, 361–375. [Google Scholar] [CrossRef]
- Santos Júnior, E.P.; Silva, E.G.M.; de Sousa, M.H.; Dutra, E.D.; da Silva, A.S.A.; Sales, A.T.; de Sa Barretto Sampaio, E.V.; Coelho Junior, L.M.; Menezes, R.S.C. Potentialities and Impacts of Biomass Energy in the Brazilian Northeast Region. Energies 2023, 16, 3903. [Google Scholar] [CrossRef]
- VanWey, L.K.; Spera, S.; de Sa, R.; Mahr, D.; Mustard, J.F. Socioeconomic development and agricultural intensification in Mato Grosso. Philos. Trans. R. Soc. Lond. B Biol. Sci. 2013, 368, 20120168. [Google Scholar] [CrossRef]
- Yoshikawa, S. Agro-Pastoral Expansion and Land Use/Land Cover Change Dynamics in Mato Grosso, Brazil. Earth 2023, 4, 823–844. [Google Scholar] [CrossRef]
- Ramli, A.N.; Jamek, S.; Azelee, N.I.; Manas, N.H.; Munir, N.; Patil, R. Agriculture Biomass Characterization and Exploitation. In Reference Module in Earth Systems and Environmental Sciences; Elsevier: Amsterdam, The Netherlands, 2023; ISBN 9780124095489. [Google Scholar]
- Mitchell, R.B.; Schmer, M.R.; Anderson, W.F.; Jin, V.; Balkcom, K.S.; Kiniry, J.; Coffin, A.; White, P. Dedicated Energy Crops and Crop Residues for Bioenergy Feedstocks in the Central and Eastern USA. Bioenergy Res. 2016, 9, 384–398. [Google Scholar] [CrossRef]
- Janiszewska, D.; Ossowska, L. The Role of Agricultural Biomass as a Renewable Energy Source in European Union Countries. Energies 2022, 15, 6756. [Google Scholar] [CrossRef]
- Alarcon, R.T.; Lamb, K.J.; Bannach, G.; North, M. Opportunities for the Use of Brazilian Biomass to Produce Renewable Chemicals and Materials. ChemSusChem 2021, 14, 169–188. [Google Scholar] [CrossRef]
- Sánchez-Guerra, N.A.; Gonzalez-Ronquillo, M.; Anderson, R.C.; Hume, M.E.; Ruiz-Albarrán, M.; Bautista-Martínez, Y.; Zúñiga-Serrano, A.; Nájera-Pedraza, O.G.; Salinas-Chavira, J. Improvements in fermentation and nutritive quality of elephant grass Cenchrus purpureus (Schumach.) Morrone silages: A review. Trop. Anim. Health Prod. 2024, 56, 171. [Google Scholar] [CrossRef] [PubMed]
- Pereira, A.V.; Lédo, F.J.d.S.; Machado, J.C. BRS Kurumi and BRS Capiaçu—New elephant grass cultivars for grazing and cut-and-carry system. Crop Breed. Appl. Biotechnol. 2017, 17, 59–62. [Google Scholar] [CrossRef]
- Paterlini, E.M.; Arantes, M.D.C.; Goncalves, F.G.; Vidaurre, G.B.; Bauer, M.d.O.; Moulin, J.C. Evaluation of elephant grass for energy use. J. Biotechnol. Biodivers. 2013, 4, 119–125. [Google Scholar]
- Retore, M.; Alves, J.; Orrico Júnior, M.; Mendes, S. Qualidade da Silagem do Capim-Elefante BRS Capiaçu; EMPRABA: Dourados, Brazil, 2020. [Google Scholar]
- Alves, F.G.D.S.; Silva, S.F.; Santos, F.N.D.S.; Carneiro, M.S.D.S. Elephant grass: A bioenergetic resource. Nucl. Anim. 2018, 10, 117–130. [Google Scholar] [CrossRef]
- Fontoura, C.F.; Brandão, L.E.; Gomes, L.L. Elephant grass biorefineries: Towards a cleaner Brazilian energy matrix? J. Clean. Prod. 2015, 96, 85–93. [Google Scholar] [CrossRef]
- da Silva, H.J.T.; Santos, P.F.A.; Nogueira Junior, E.C.; Vian, C.E.D.F. Aspectos técnicos e econômicos da produção de etanol de milho no Brasil. Rev. Polícola 2020, 29, 142. [Google Scholar]
- Johannes, L.P.; Minh, T.T.N.; Xuan, T.D. Elephant Grass (Pennisetum purpureum): A Bioenergy Resource Overview. Biomass 2024, 4, 625–646. [Google Scholar] [CrossRef]
- National Institute of Metereology. Metereological Historical Data for 2022—City: Sao José do Rio Claro, State of Mato Grosso. Available online: https://portal.inmet.gov.br/dadoshistoricos (accessed on 12 August 2024).
- Fernandes, D.M.M.; Karnopp, E. A Agricultura familiar e a cadeia produtiva de alimentos orgânicos: Conquistas. RDE 2018, 1, 130. [Google Scholar] [CrossRef]
- ASTM D1762-84; Standard Test Method for Chemical Analysis of Wood Charcoal. ASTM: West Conshohocken, PA, USA, 2021.
- NBR 8633; Carvão Vegetal—Determinação do Poder Calorífico (Charcoal—Determination of Calorific Value). ABNT: Rio de Janeiro, Brazil, 1983.
- Ana, K.F.V.; Da Tatiane, C.B.; Rogerio, F.D.; Janeo, E.A.F.; Roberta, S.N.d.L.; Rafael, S.F.; Drieli, A.R.; Da Erik, S.O.; Da Bruna, R.S.M.; Geovana, C.E.; et al. Production potential and chemical composition of elephant grass (Pennisetum purpureum Schum.) at different ages for energy purposes. Afr. J. Biotechnol. 2017, 16, 1428–1433. [Google Scholar] [CrossRef]
- Freitas, R.S.; Da Barbé, T.C.; Daher, R.F.; Vidal, A.K.F.; Stida, W.F.; Da Silva, V.B.; Da Menezes, B.R.S.; Pereira, A.V. Chemical Composition and Energy Yield of Elephant-Grass Biomass as Function of Five Different Production Ages. J. Agric. Sci. 2017, 10, 343. [Google Scholar] [CrossRef]
- Rodrigues, J.D.; Jadoski, C.J.; Fagan, E.B.; Ono, E.O.; Soares, L.H.; Neto, D.D. Fisiologia da Produção de Cana-de-Açúcar; Andrei Editora: São Paulo, Brazil, 2018. [Google Scholar]
- Ferreira, E.A.; de Abreu, J.G.; Martinez, J.C.; Braz, T.G.d.S.; Ferreira, D.P. Cutting ages of elephant grass for chopped hay production. Pesqui. Agropecu. Trop. 2018, 48, 245–253. [Google Scholar] [CrossRef]
- de Favare, H.G.; de Abreu, J.G.; de Barros, L.V.; Da Silva, F.G.; Ferreira, L.M.M.; Barelli, M.A.A.; Da Neto, I.M.S.; Cabral, C.E.A.; Peixoto, W.M.; Da Campos, F.I.S.; et al. Bromatological Composition of Elephant Grass Genotypes for Bioenergy Production. J. Exp. Agric. Int. 2019, 38, 1–12. [Google Scholar] [CrossRef]
- Strezov, V.; Evans, T.J.; Hayman, C. Thermal conversion of elephant grass (Pennisetum purpureum Schum) to bio-gas, bio-oil and charcoal. Bioresour. Technol. 2008, 99, 8394–8399. [Google Scholar] [CrossRef] [PubMed]
- Ferreira, S.D.; Manera, C.; Silvestre, W.P.; Pauletti, G.F.; Altafini, C.R.; Godinho, M. Use of Biochar Produced from Elephant Grass by Pyrolysis in a Screw Reactor as a Soil Amendment. Waste Biomass Valor. 2019, 10, 3089–3100. [Google Scholar] [CrossRef]
- Collazzo, G.C.; Broetto, C.C.; Perondi, D.; Junges, J.; Dettmer, A.; Dornelles Filho, A.A.; Foletto, E.L.; Godinho, M. A detailed non-isothermal kinetic study of elephant grass pyrolysis from different models. Appl. Therm. Eng. 2017, 110, 1200–1211. [Google Scholar] [CrossRef]
- de Conto, D.; Silvestre, W.P.; Baldasso, C.; Godinho, M. Performance of rotary kiln reactor for the elephant grass pyrolysis. Bioresour. Technol. 2016, 218, 153–160. [Google Scholar] [CrossRef]
- Mesa-Pérez, J.M.; Cortez, L.A.; Marín-Mesa, H.R.; Rocha, J.D.; Peláez-Samaniego, M.R.; Cascarosa, E. A statistical analysis of the auto thermal fast pyrolysis of elephant grass in fluidized bed reactor based on produced charcoal. Appl. Therm. Eng. 2014, 65, 322–329. [Google Scholar] [CrossRef]
- García, J.C.; Alfaro, A.; Loaiza, J.M.; Lozano-Calvo, S.; López, F. Cold alkaline extraction of Elephant grass for optimal subsequent extraction of hemicelluloses and energy production. Biomass Conv. Bioref. 2024, 14, 8307–8320. [Google Scholar] [CrossRef]
- Efetobor, U.J.; Ikpeseni, S.C.; Sada, S.O. Determination of proximate, ultimate and structural properties of elephant grass as biomass material for bio-oil production. J. Appl. Sci. Environ. Manag. 2022, 26, 1903–1907. [Google Scholar] [CrossRef]
- Reza, M.S.; Islam, S.N.; Afroze, S.; Abu Bakar, M.S.; Sukri, R.S.; Rahman, S.; Azad, A.K. Evaluation of the bioenergy potential of invasive Pennisetum purpureum through pyrolysis and thermogravimetric analysis. Energy Ecol. Environ. 2020, 5, 118–133. [Google Scholar] [CrossRef]
- Sha, D.; Li, Y.; Zhou, X.; Zhang, J.; Zhang, H.; Yu, J. Influence of Volatile Content on the Explosion Characteristics of Coal Dust. ACS Omega 2021, 6, 27150–27157. [Google Scholar] [CrossRef] [PubMed]
- Jia, Y.; Li, Z.; Wang, Y.; Wang, X.; Lou, C.; Xiao, B.; Lim, M. Visualization of Combustion Phases of Biomass Particles: Effects of Fuel Properties. ACS Omega 2021, 6, 27702–27710. [Google Scholar] [CrossRef] [PubMed]
- Rocha, J.R.d.A.S.d.C.; Machado, J.C.; Carneiro, P.C.S.; Da Carneiro, J.C.; Resende, M.D.V.; Pereira, A.V.; Carneiro, J.E.d.S. Elephant grass ecotypes for bioenergy production via direct combustion of biomass. Ind. Crop. Prod. 2017, 95, 27–32. [Google Scholar] [CrossRef]
- Kochhar, S.L.; Gujral, S.K. Plant Physiology: Theory and Applications, 2nd ed.; Cambridge University Press: New York, NY, USA, 2020; ISBN 9781108486392. [Google Scholar]
- Monção, F.P.; Costa, M.A.M.S.; Sampaio, J.P.; Gomes, M.; Leal, D.B.; Maranhão, C.M.A.; Albuquerque, C.J.B.; Chamone, J.M.A. Yield and Nutritional Value of BRS Capiaçu Grass at Different Regrowth Ages Produtividade e Valor Nutricional do Capim-Elefante cv. BRS Capiaçu em Diferentes Idades de Rebrota. Semin. Ciências Agrárias Londrina 2019, 40, 2045–2056. [Google Scholar] [CrossRef]
- Monti, A.; Di Virgilio, N.; Venturi, G. Mineral composition and ash content of six major energy crops. Biomass Bioenergy 2008, 32, 216–223. [Google Scholar] [CrossRef]
- Vassilev, S.V.; Vassileva, C.G.; Song, Y.-C.; Li, W.-Y.; Feng, J. Ash contents and ash-forming elements of biomass and their significance for solid biofuel combustion. Fuel 2017, 208, 377–409. [Google Scholar] [CrossRef]
- Ardila, Y.C.; Figueroa, J.E.J.; Maciel, M.R.W. Mathematical models for predicting the higher heating value and ultimate analysis of biomass. Ind. Crop. Prod. 2024, 208, 117777. [Google Scholar] [CrossRef]
- Tubeileh, A.; Rennie, T.J.; Goss, M.J. A review on biomass production from C4 grasses: Yield and quality for end-use. Curr. Opin. Plant Biol. 2016, 31, 172–180. [Google Scholar] [CrossRef]
- Rodrigues Castro, F.M.; Bruzi, A.T.; Rodrigues Nunes, J.A.; Costa Parrella, R.A.; Romeiro Lombardi, G.M.; Brant Albuquerque, C.J.; Lopes, M. Agronomic and Energetic Potential of Biomass Sorghum Genotypes. Am. J. Plant Sci. 2015, 6, 1862–1873. [Google Scholar] [CrossRef]
- Saatchi, S.S.; Houghton, R.A.; Dos Santos Alvalá, R.C.; Soares, J.V.; YU, Y. Distribution of aboveground live biomass in the Amazon basin. Glob. Chang. Biol. 2007, 13, 816–837. [Google Scholar] [CrossRef]
- Silva, E.D.; Rocha, C.R. Eucalipto e capim elefante: Características e potencial produtivo de biomassa. Rev. Agrogeoambiental 2010, 2, 143–152. [Google Scholar] [CrossRef][Green Version]
- Quéno, L.M.R.; de Souza, Á.N.; Ângelo, H.; Vale, A.T.D.; Martins, I.S. Custo de produção das biomassas de eucalipto e capim-elefante para energia. Cerne 2011, 17, 417–426. [Google Scholar] [CrossRef]
- Flores, R.A.; Urquiaga, S.; Alves, B.J.R.; Collier, L.S.; Zanetti, J.B.; Prado, R.d.M. Nitrogênio e idade de corte na qualidade da biomassa de capimelefante para fins agroenergéticos cultivado em Latossolo. Semin. Agrar. 2013, 34, 127–136. [Google Scholar] [CrossRef][Green Version]
- Araujo, R.O.; Ribeiro, F.C.P.; Santos, V.O.; Lima, V.M.R.; Santos, J.L.; Vilaça, J.E.S.; Chaar, J.S.; Falcão, N.P.S.; Pohlit, A.M.; de Souza, L.K.C. Renewable Energy from Biomass: An Overview of the Amazon Region. Bioenergy Res. 2022, 15, 834–849. [Google Scholar] [CrossRef]
- Morais, W.W.C.; Brito, J.O.; Lana, A.Q.; Dias Júnior, A.F.; Morais, J.B.F. Investigating waste generated from logging in the Amazon for energy use. Sci. For. 2021, 49, e3712. [Google Scholar] [CrossRef]
- Moreira, J.; Carneiro, A.; Oliveira, D.; Santos, F.; Guerra, D.; Nogueira, M.; Rocha, H.; Charvet, F.; Tarelho, L. Thermochemical Properties for Valorization of Amazonian Biomass as Fuel. Energies 2022, 15, 7343. [Google Scholar] [CrossRef]
- Douglas Roque Lima, M.; Poliana Santos Patrício, E.; de Oliveira Barros Junior, U.; Reis de Assis, M.; Nogueira Xavier, C.; Bufalino, L.; Fernando Trugilho, P.; Ricardo Gherardi Hein, P.; de Paula Protásio, T. Logging wastes from sustainable forest management as alternative fuels for thermochemical conversion systems in Brazilian Amazon. Biomass Bioenergy 2020, 140, 105660. [Google Scholar] [CrossRef]
- Santana, M.A.E.; Okino, E.Y.A. Chemical composition of 36 Brazilian Amazon forest wood species. Holzforschung 2007, 61, 469–477. [Google Scholar] [CrossRef]
- Silveira, L.H.C.; Rezende, A.V.; Vale, A.T.d. Teor de umidade e densidade básica da madeira de nove espécies comerciais amazônicas. Acta Amaz. 2013, 43, 179–184. [Google Scholar] [CrossRef]
- Dinesha, P.; Kumar, S.; Rosen, M.A. Biomass Briquettes as an Alternative Fuel: A Comprehensive Review. Energy Technol. 2019, 7, 1801011. [Google Scholar] [CrossRef]
- Ibitoye, S.E.; Jen, T.-C.; Mahamood, R.M.; Akinlabi, E.T. Densification of agro-residues for sustainable energy generation: An overview. Bioresour. Bioprocess. 2021, 8, 75. [Google Scholar] [CrossRef] [PubMed]
- Magalhães, M.A.D.; Carneiro, A.D.C.O.; Vital, B.R.; Silva, C.M.S.D.; Souza, M.M.D.; Fialho, L.D.F. Estimates of mass and energy of different genetic material eucalyptus. Rev. Árvore 2017, 41, e410302. [Google Scholar] [CrossRef]
- Nakanishi, E.Y.; Frías, M.; Martínez-Ramírez, S.; Santos, S.F.; Rodrigues, M.S.; Rodríguez, O.; Savastano, H. Characterization and properties of elephant grass ashes as supplementary cementing material in pozzolan/Ca(OH)2 pastes. Constr. Build. Mater. 2014, 73, 391–398. [Google Scholar] [CrossRef]
- Nakanishi, E.Y.; Frías, M.; Santos, S.F.; Rodrigues, M.S.; La Vigil de Villa, R.; Rodriguez, O.; Junior, H.S. Investigating the possible usage of elephant grass ash to manufacture the eco-friendly binary cements. J. Clean. Prod. 2016, 116, 236–243. [Google Scholar] [CrossRef]





| Month | Average Monthly Temperature [°C] | Maximum Monthly Temperature [°C] | Minimum Monthly Temperature [°C] | Total Monthly Precipitation [mm] |
|---|---|---|---|---|
| January | 27.3 | 35.4 | 19.6 | 0 |
| February | 27.5 | 35.7 | 21.5 | 0.2 |
| March | 27.9 | 33.6 | 20.7 | 0.2 |
| April | 29.4 | 34.7 | 17.3 | 0 |
| May | 23.8 | 35.0 | 5.7 | 0.8 |
| June | 23.9 | 34.8 | 13.2 | 61 |
| July (sowing) | 24.5 | 35.9 | 12.5 | 0 |
| August | 25.0 | 37.5 | 10.5 | 8.6 |
| September (90 days harvesting) | 27.5 | 38.5 | 16.7 | 44.6 |
| October (120 days harvesting) | 26.7 | 37.3 | 19.5 | 170.8 |
| November (150 days harvesting) | 25.9 | 36.6 | 14.6 | 90.6 |
| December (180 days harvesting) | 25.0 | 33.3 | 20.6 | 275.2 |
| Effect: Age | |||||
| Test | Test-Value | Num DF 1 | Den DF 1 | F-Value | p-Value |
| Wilks’ lambda | 0.0739 | 12 | 119.3503 | 16.67 | ~0 |
| Pillai’s trace | ~1 | 12 | 141 | 11.82 | ~0 |
| Effect: Plant part | |||||
| Test | Test-Value | Num DF 1 | Den DF 1 | F-Value | p-Value |
| Wilks’ lambda | 0.0227 | 8 | 90 | 63.37 | ~0 |
| Pillai’s trace | ~1 | 8 | 92 | 14.96 | ~0 |
| Effect: Interaction Age ∗ Plant part | |||||
| Test | Test-Value | Num DF 1 | Den DF 1 | F-Value | p-Value |
| Wilks’ lambda | 0.0822 | 24 | 158.1963 | 6.90 | ~0 |
| Pillai’s trace | ~1 | 24 | 192 | 4.98 | ~0 |
| Fixed Carbon Content [%] | Volatile Content [%] | Ash Content [%] | HVV [kJ.kg−1] | Age [days] | Source |
|---|---|---|---|---|---|
| 18.8 | 70.3 | 3.0 | - | - | [30] |
| 9.5 | 82.4 | 8.1 | 15,970 | 120 | [31] |
| 7.7 | 69.2 | 13.3 | - | - | [32] |
| 19.2 | 72.5 | 8.3 | 15,770 | 180 | [33] |
| 15.5 | 67.3 | 4.9 | 14,700 | - | [34] |
| - | - | - | 18,440 | 180 | [35] |
| 14.2 | 79.2 | 5.9 | 18,520 | 90 | [36] |
| 16.8 | 69.4 | 3.0 | 18,550 | - | [37] |
| Plant Part (Age in Days) | N [g.kg−1] | P [g.kg−1] | K [g.kg−1] | Ca [g.kg−1] | Mg [g.kg−1] | S [g.kg−1] |
|---|---|---|---|---|---|---|
| Stem (90) | 13.20 | 1.30 | 4.60 | 0.90 | 3.00 | 1.20 |
| Whole plant (90) | 15.30 | 1.80 | 8.40 | 1.40 | 3.10 | 1.40 |
| Leaf (90) | 21.70 | 2.60 | 14.60 | 2.20 | 2.50 | 1.80 |
| Stem (120) | 9.50 | 0.80 | 2.80 | 0.40 | 2.40 | 1.00 |
| Whole plant (120) | 13.00 | 1.20 | 6.00 | 1.30 | 2.80 | 1.20 |
| Leaf (120) | 18.20 | 2.30 | 11.20 | 2.70 | 3.60 | 1.60 |
| Stem (150) | 6.70 | 0.50 | 1.70 | 0.20 | 1.90 | 0.90 |
| Whole plant (150) | 10.10 | 0.90 | 3.60 | 1.30 | 2.80 | 1.00 |
| Leaf (150) | 14.00 | 1.50 | 7.60 | 3.20 | 4.00 | 1.30 |
| Stem (180) | 6.20 | 0.50 | 1.40 | 0.00 | 1.40 | 0.90 |
| Whole plant (180) | 8.40 | 0.90 | 3.40 | 1.10 | 2.70 | 1.00 |
| Leaf (180) | 11.50 | 1.50 | 5.30 | 3.20 | 5.30 | 1.30 |
| Plant Part (Age in Days) | Density (g.cm−3) Mean ± Standard Error |
|---|---|
| Stem (90) | 247.89 ± 3.27 |
| Stem (120) | 263.15 ± 0.72 |
| Stem (150) | 217.36 ± 3.77 |
| Stem (180) | 216.84 ± 3.46 |
| Whole plant (90) | 177.78 ± 2.19 |
| Whole plant (120) | 184.52 ± 0.89 |
| Whole plant (150) | 151.05 ± 3.18 |
| Whole plant (180) | 151.89 ± 1.58 |
| Leaf (90) | 124.73 ± 3.87 |
| Leaf (120) | 128.94 ± 1.86 |
| Leaf (150) | 111.57 ± 2.13 |
| Leaf (180) | 120.00 ± 1.06 |
| Plant Part (Age in Days) | Higher Heating Value (kJ.kg−1) | Ratio HVV/HVVmax |
|---|---|---|
| Whole plant (90) | 18,918 | 1.000 |
| Leaf (90) | 18,917 | 1.000 |
| Stem (180) | 18,500 | 0.978 |
| Stem (120) | 18,352 | 0.970 |
| Stem (150) | 18,352 | 0.970 |
| Leaf (120) | 18,337 | 0.969 |
| Whole plant (150) | 18,300 | 0.967 |
| Whole plant (120) | 18,282 | 0.966 |
| Stem (90) | 18,151 | 0.959 |
| Leaf (150) | 18,074 | 0.955 |
| Whole plant (180) | 18,001 | 0.952 |
| Leaf (180) | 17,922 | 0.947 |
Disclaimer/Publisher’s Note: The statements, opinions and data contained in all publications are solely those of the individual author(s) and contributor(s) and not of MDPI and/or the editor(s). MDPI and/or the editor(s) disclaim responsibility for any injury to people or property resulting from any ideas, methods, instructions or products referred to in the content. |
© 2024 by the authors. Licensee MDPI, Basel, Switzerland. This article is an open access article distributed under the terms and conditions of the Creative Commons Attribution (CC BY) license (https://creativecommons.org/licenses/by/4.0/).
Share and Cite
Beber, R.C.; Turini, C.d.S.; Beber, V.C.; Nogueira, R.M.; Pires, E.M. Elephant Grass Cultivar BRS Capiaçu as Sustainable Biomass for Energy Generation in the Amazon Biome of the Mato Grosso State. Energies 2024, 17, 5409. https://doi.org/10.3390/en17215409
Beber RC, Turini CdS, Beber VC, Nogueira RM, Pires EM. Elephant Grass Cultivar BRS Capiaçu as Sustainable Biomass for Energy Generation in the Amazon Biome of the Mato Grosso State. Energies. 2024; 17(21):5409. https://doi.org/10.3390/en17215409
Chicago/Turabian StyleBeber, Roberto Carlos, Camila da Silva Turini, Vinicius Carrillo Beber, Roberta Martins Nogueira, and Evaldo Martins Pires. 2024. "Elephant Grass Cultivar BRS Capiaçu as Sustainable Biomass for Energy Generation in the Amazon Biome of the Mato Grosso State" Energies 17, no. 21: 5409. https://doi.org/10.3390/en17215409
APA StyleBeber, R. C., Turini, C. d. S., Beber, V. C., Nogueira, R. M., & Pires, E. M. (2024). Elephant Grass Cultivar BRS Capiaçu as Sustainable Biomass for Energy Generation in the Amazon Biome of the Mato Grosso State. Energies, 17(21), 5409. https://doi.org/10.3390/en17215409

