Experimental Investigation and Calculation of Convective Heat Transfer in Two-Component Gas–Liquid Flow Through Channels Packed with Metal Foams
Abstract
1. Introduction
2. Test Stand, Scope and Methodology of the Research
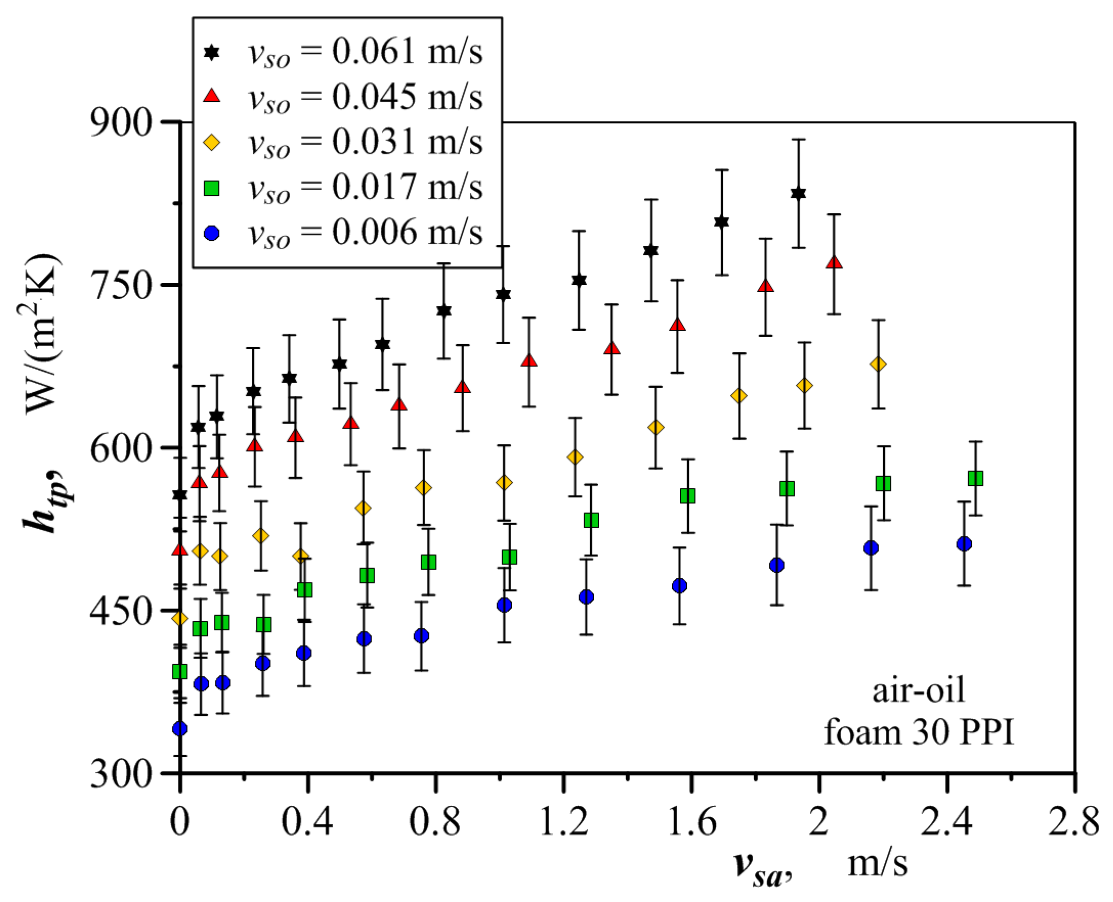
3. Examination of Results
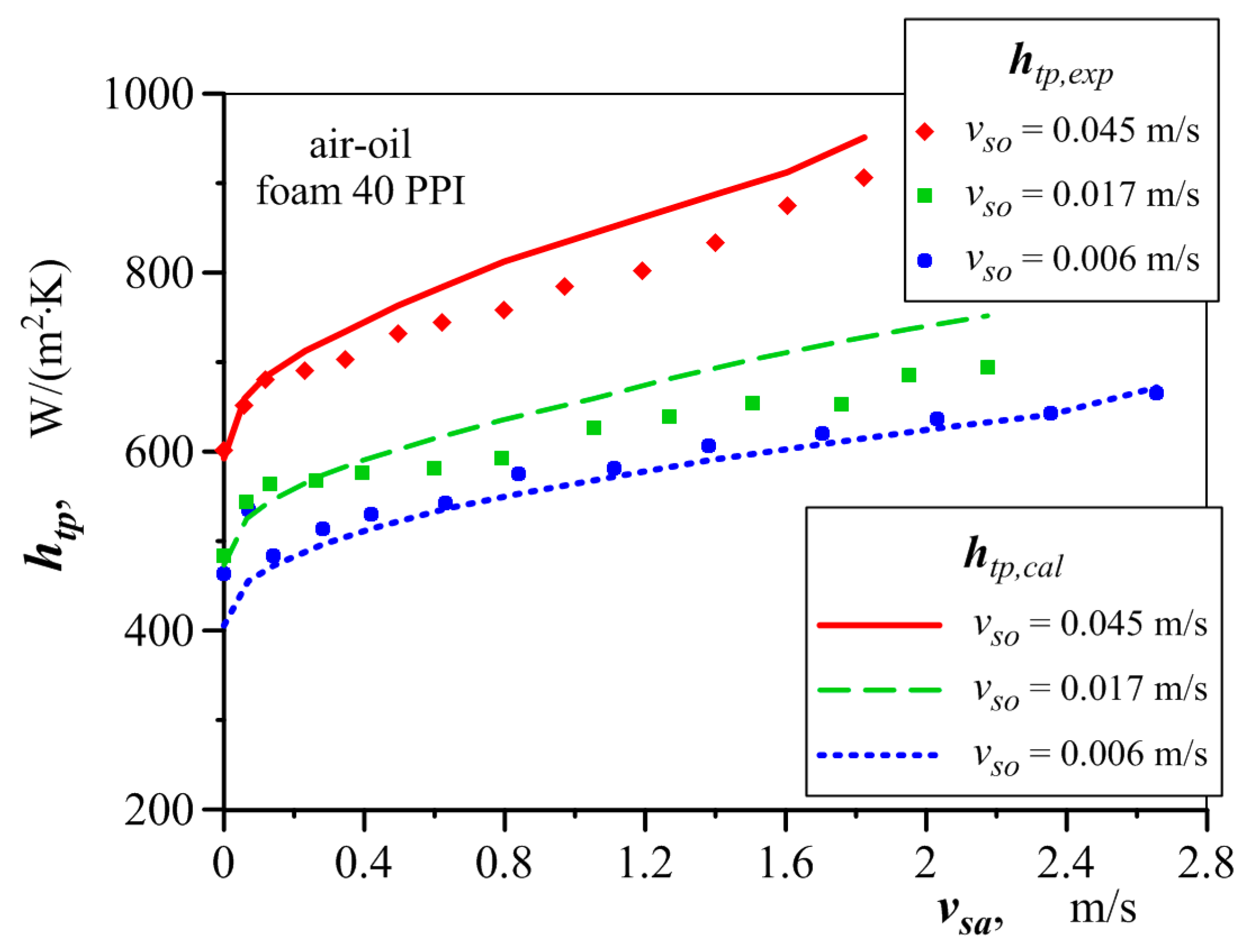
4. Model for Calculating the Heat Transfer Coefficient
5. Conclusions
- In gas–liquid flow through metal foams, the heat transfer coefficient is generally higher compared to single-phase gas or liquid flows.
- The heat transfer coefficient increases with the rise in superficial velocity of each phase. In the air–water flow, this increase is exponential with an exponent less than 1. In the case of air–oil flow, the variation in the heat transfer coefficient (htp) with increasing air velocity resembles a linear function, as the flow involving oil exhibits a laminar character over a wide range of phase velocity variations.
- The lower turbulence of the air–oil flow results in a heat transfer coefficient that is more than two times smaller compared to the values obtained under the same flow conditions for air–water flow. In the studies, the heat transfer coefficient values were recorded as htp = 340–1082 W/(m2·K) for the air–oil flow and htp = 754–2430 W/(m2·K) for the air–water flow. Furthermore, oil has a thermal conductivity that is more than four times lower than that of water, which further diminishes the intensity of heat transfer.
- Liquids play a crucial role in heat transfer. The significant mass fraction of liquid in the mixture, even with a considerable volumetric fraction of air, along with the high intensity of heat transfer into the liquid, enables this phase to absorb up to 800 times more heat when compared to equivalent flow rates of gas and liquid. A tenfold increase in the air flow rate results in a maximum enhancement of the heat transfer coefficient by 17%. In contrast, an equivalent increase in the liquid flow rate leads to an approximate rise of 65% in the heat transfer coefficient for oil and about 90% for water.
- The intensity of heat transfer in stratified flow is lower compared to other flow regimes. Under conditions of transition from plug or slug flow to stratified flow, a sudden reduction in the heat transfer coefficient occurs by several percentage points, despite an increase in gas velocity. This phenomenon was observed solely in the case of air–water flow.
- Differences in the heat transfer coefficient for flows through the examined metal foams, under identical air–water flow conditions, can reach up to 50%. In contrast, for air–oil flows, these differences do not exceed 20%. This observation highlights the significance of fluid properties in heat transfer during flow through metal foams.
- The highest intensity of heat transfer was recorded for the flow through 20 PPI foams, which exhibit the largest cell size among the utilized foams. The larger cells promote the development of turbulent flow, which compensates for the lower specific surface area of the 20 PPI foam compared to foams with higher pore densities.
- Similar values of the heat transfer coefficient were observed during the flow through the 40 PPI foam, which is characterized by the smallest cells. However, it is noteworthy that the skeleton material of this foam exhibits a thermal conductivity that is 26% higher compared to the 20 PPI and 30 PPI foams.
- The methods developed for predicting the heat transfer coefficient in two-component non-boiling flows through empty channels or boiling flows through metal foam-filled channels are not applicable to two-component non-boiling flows through channels filled with metal foams. The accuracy of the results obtained using these methods is insufficient. Among the analyzed methods, the approach by Rezkallah et al. [76] demonstrates the smallest average error of 40%; however, the resulting values of the heat transfer coefficient exhibit an incorrect trend with respect to air velocity.
- The heat transfer coefficient in non-boiling flows through channels filled with metal foams can be derived from the coefficients for single-phase gas and liquid flows, considering phase interactions. This interaction is represented in a newly developed correlation (Equation (21)), which quantifies the enhancement of heat transfer intensity in two-phase flows compared to single-phase flows.
- The value of the heat transfer coefficient in non-boiling flows through channels filled with metal foams can be determined based on the set of Equations (13)–(21) developed in this study. These equations constitute a comprehensive computational model that provides satisfactory accuracy in predicting the value of the heat transfer coefficient; 90% of the results fall within a margin of error not exceeding 20%. This model can be applied to horizontally heated channels filled with metal foams similar to those used in the study, through which flow mixtures of gas and liquids with low viscosity—up to 10 times greater than the viscosity of water—regardless of the type of flow structure. The model is valid for the flow conditions specified in Table 3. The application of the model over a wider range of hydrodynamic conditions requires further validation.
Author Contributions
Funding
Data Availability Statement
Conflicts of Interest
Glossary
| Nomenclature | |
| asf | metal foam specific surface area, m2/m3 |
| A | total heat transfer area (channel and the foam), m2 |
| Ach | channel area, m2 |
| Asf | foam area, m2 |
| c | specific heat, J/(kg·K) |
| dc | cell diameter, m |
| d | channel diameter, m |
| dl | diameter of foam skeleton ligament, m |
| dp | pore diameter, m |
| f | Fanning friction factor, - |
| g | mass flux, kg/(m2·s) |
| h | heat transfer coefficient, W/(m2·K) |
| hcb | convective boiling heat transfer coefficient, W/(m2·K) |
| hnb | nucleate boiling heat transfer coefficient, W/(m2·K) |
| ks | skeleton thermal conductivity coefficient, W/(m·K) |
| keff | effective thermal conductivity coefficient, W/(m·K) |
| K | foam permeability, m2 |
| L | channel length, m |
| m | mass flow rate, kg/s |
| Nu | Nusselt number, - |
| Pr | Prandtl number, - |
| R | void fraction, - |
| Re | Reynolds number, - |
| r | heat of vaporization, J/kg |
| S | heat transfer area, m2 |
| q | heat flux, W/m2 |
| Q | heat, W |
| t | temperature, °C |
| vs | superficial velocity (related to the cross-sectional area of the empty channel (without filling)), m/s |
| V | volume flow rate, m3/s |
| x | mass fraction of vapor, - |
| Greek symbols | |
| Δp/Δl | unit pressure drop, Pa/m |
| Δt | temperature difference, K |
| ϕ | porosity of metal foam, - |
| ε | inlet volume fraction, - |
| μ | viscosity, Pa∙s |
| ρ | density, kg/m3 |
| Θdry | dry angle, o |
| ω | pore density, PPI |
| Subscripts | |
| g | gas/air |
| cal | calculated |
| exp | experimental |
| in | inlet condition |
| l | liquid |
| ol | oil |
| out | outlet condition |
| s | solid/foams skeleton |
| tp | two-phase |
| b | channel wall |
| v | vapor |
| w | water |
References
- Atwater, M.A.; Guevara, L.N.; Darling, K.A.; Tschopp, M.A. Solid State Porous Metal Production: A Review of the Capabilities, Characteristics, and Challenges. Adv. Eng. Mater. 2018, 20, 1700766. [Google Scholar] [CrossRef]
- Patel, N.; Mittal, G.; Agrawal, M.; Pradhan, A.K. Aluminum Foam Production, Properties, and Applications: A Review. Int. J. Met. 2024, 18, 2181–2198. [Google Scholar] [CrossRef]
- Hassan, A.; Alnaser, I.A. A Review of Different Manufacturing Methods of Metallic Foams. ACS Omega 2024, 9, 6280–6295. [Google Scholar] [CrossRef]
- Kumar, K.; Ingole, S.B.; Saeedjassim, A.; Gori, Y.; Kaushik, A.; Kumar, D.; Jain, A. Aluminum-Foam by Powder Metallurgy: A Review. Mater. Today Proc. 2023. [CrossRef]
- du Plessis, A.; Razavi, N.; Benedetti, M.; Murchio, S.; Leary, M.; Watson, M.; Bhate, D.; Berto, F. Properties and Applications of Additively Manufactured Metallic Cellular Materials: A Review. Prog. Mater. Sci. 2022, 125, 100918. [Google Scholar] [CrossRef]
- Ahmed, H.E.; Fadhil, O.T.; Salih, W.A. Heat Transfer and Fluid Flow Characteristics of Tubular Channel Partially Filled with Grooved Metal Foams. Int. Commun. Heat Mass Transf. 2019, 108, 104336. [Google Scholar] [CrossRef]
- Alhusseny, A.N.M.; Nasser, A.G.; Al-zurf, N.M.J. High-Porosity Metal Foams: Potentials, Applications, and Formulations. In Porosity—Process, Technologies and Applications; IntechOpen: London, UK, 2018. [Google Scholar]
- Jeong, C.H.; Kim, H.R.; Ha, M.Y.; Son, S.W.; Lee, J.S.; Kim, P.Y. Metal Foams: Fundamentals and Applications|Metal Foams: Fundamentals and Applications, Nihad Dukhan (Ed.), University of Detroit Mercy, DEStech Publications, Inc., Lancaster, PA, USA (2013), ISBN:978-1-60595-014-3, $US189.50. Appl. Therm. Eng. 2013, 61, 1. [Google Scholar] [CrossRef]
- Kuruneru, S.T.W.; Vafai, K.; Sauret, E.; Gu, Y.T. Application of Porous Metal Foam Heat Exchangers and the Implications of Particulate Fouling for Energy-Intensive Industries. Chem. Eng. Sci. 2020, 228, 115968. [Google Scholar] [CrossRef]
- Zhou, F.; Lu, T.; Ding, G.; Yang, G. Experimental Research on Flow Mode Transition of Falling Film Flow on Metal Foam Wrapped Tubes. Exp. Therm. Fluid Sci. 2020, 118, 110154. [Google Scholar] [CrossRef]
- Dineshkumar, J.; Jesudas, T.; Elayaraja, R. Characteristics, Applications and Processing of Aluminium Foams—A Review. Proc. Mater. Today Proc. 2021, 42, 1773–1776. [Google Scholar] [CrossRef]
- Zhao, C.Y. Review on Thermal Transport in High Porosity Cellular Metal Foams with Open Cells. Int. J. Heat Mass Transf. 2012, 55, 3618–3632. [Google Scholar] [CrossRef]
- Zaib, F.; Ganesan, P.; Zaharinie, T.; Chen, Z.; Naganthran, K. Heat Transfer Performance of a Compact Heat Exchanger Based on Metal Foam and Thermal Interface Material (TIM). Int. J. Heat Mass Transf. 2024, 231, 125861. [Google Scholar] [CrossRef]
- Muneeshwaran, M.; Yang, C.M.; Cakmak, E.; Nawaz, K. Augmentation of Pool Boiling Heat Transfer on Tube Bundles Using Metal Foam. Appl. Therm. Eng. 2024, 236, 121812. [Google Scholar] [CrossRef]
- Xiong, J.; Sun, J.; Chen, Y.; Nie, Z. Study on the Flow and Heat Transfer Characteristics inside High-Porosity Open-Cell Copper Foams: Experimental and Numerical Explorations. Int. J. Heat Fluid Flow 2024, 109, 109499. [Google Scholar] [CrossRef]
- Huisseune, H.; De Schampheleire, S.; Ameel, B.; De Paepe, M. Comparison of Metal Foam Heat Exchangers to a Finned Heat Exchanger for Low Reynolds Number Applications. Int. J. Heat Mass Transf. 2015, 89, 1–9. [Google Scholar] [CrossRef]
- Abadi, G.B.; Moon, C.; Kim, K.C. Flow Boiling Visualization and Heat Transfer in Metal-Foam-Filled Mini Tubes—Part I: Flow Pattern Map and Experimental Data. Int. J. Heat Mass Transf. 2016, 98, 857–867. [Google Scholar] [CrossRef]
- Hafeez, P. Heat Transfer in Metal Foam Heat Exchangers at High Temperature. Ph.D. Thesis, University of Toronto, Toronto, ON, Canada, 2016. [Google Scholar]
- Kouidri, A.; Madani, B. Thermal and Hydrodynamic Performance of Flow Boiling through a Heat Exchanger Filled with Various Metallic Foam Samples. Chem. Eng. Process. Process Intensif. 2017, 121, 162–169. [Google Scholar] [CrossRef]
- Nam, S.; Kim, D.Y.; Kim, Y.; Kim, K.C. Effect of Metal Foam Insert Configurations on Flow Boiling Heat Transfer and Pressure Drop in a Rectangular Channel. Materials 2021, 14, 4617. [Google Scholar] [CrossRef]
- Chen, K.; Guo, L.; Wang, H. A review on thermal application of metal foam. Sci. China Technol. Sci. 2020, 63, 2469–2490. [Google Scholar] [CrossRef]
- Athith, T.S.; Trilok, G.; Jadhav, P.H.; Gnanasekaran, N. Heat Transfer Optimization Using Genetic Algorithm and Artificial Neural Network in a Heat Exchanger with Partially Filled Different High Porosity Metal Foam. Proc. Mater. Today Proc. 2022, 51, 1642–1648. [Google Scholar] [CrossRef]
- Chatzi, P.; Efstathiadis, T.; Skordos, A.A.; Kalfas, A.I. Metal Foam Recuperators on Micro Gas Turbines: Multi-Objective Optimisation of Efficiency, Power and Weight. Appl. Therm. Eng. 2024, 242, 122410. [Google Scholar] [CrossRef]
- Bai, Y.; Pu, Y.; Chang, C.; Zhang, Y.; Kang, X. Investigation of the Unsteady Thermal Storage Performance of Metal Foam Dual-Phase Change Unit Thermal Storage Tanks in Solar Thermal Utilization Systems. Appl. Therm. Eng. 2024, 250, 123477. [Google Scholar] [CrossRef]
- NematpourKeshteli, A.; Iasiello, M.; Langella, G.; Bianco, N. Using Metal Foam and Nanoparticle Additives with Different Fin Shapes for PCM-Based Thermal Storage in Flat Plate Solar Collectors. Therm. Sci. Eng. Prog. 2024, 52, 102690. [Google Scholar] [CrossRef]
- Bianco, N.; Cherella, N.; Fragnito, A.; Iasiello, M.; Mauro, G.M. Multi-Material Topology Optimization of Innovative Microchannel Heat Sinks Equipped with Metal Foams. Int. J. Heat Mass Transf. 2024, 222, 125201. [Google Scholar] [CrossRef]
- Salim, B.; Abdenour, S.; Oualid, C.; Marwani, H.M.; Sami, R.; Aljuraide, N.I.; Althomali, R.H.; Rahman, M.M.; Ali, M.M.; El Bouz, M.A. Three-Dimensional Transient CFD Modeling of Multiple Finned Aluminum Foam Heat Sinks in a Horizontal Channel. Alex. Eng. J. 2023, 78, 426–437. [Google Scholar] [CrossRef]
- Xia, G.; Wang, Y.; Li, R.; Yan, Z.; Li, Q. Experimental Study of Boiling Heat Transfer Characteristics of Metal Foam Porous-Wall Mini-Channels. Int. J. Refrig. 2023, 151, 278–289. [Google Scholar] [CrossRef]
- Ami Ahmadi, H.; Variji, N.; Kaabinejadian, A.; Moghimi, M.; Siavashi, M. Optimal Design and Sensitivity Analysis of Energy Storage for Concentrated Solar Power Plants Using Phase Change Material by Gradient Metal Foams. J. Energy Storage 2021, 35, 102233. [Google Scholar] [CrossRef]
- Wang, Y.; Yu, Y.; Jing, Z.; Wang, C.; Zhou, G.; Zhao, W. Thermal Performance of Lithium-Ion Batteries Applying Forced Air Cooling with an Improved Aluminium Foam Heat Sink Design. Int. J. Heat Mass Transf. 2021, 167, 120827. [Google Scholar] [CrossRef]
- Li, Y.; Gong, L.; Xu, M.; Joshi, Y. A Review of Thermo-Hydraulic Performance of Metal Foam and Its Application as Heat Sinks for Electronics Cooling. J. Electron. Packag. 2021, 143, 030801. [Google Scholar] [CrossRef]
- Shenming, X.; Ran, Y.; Limei, S.; Yupeng, W.; Junlong, X.; Huanxin, C. The Experimental Study of a Novel Metal Foam Heat Pipe Radiator. Proc. Energy Procedia 2019, 158, 5439–5444. [Google Scholar] [CrossRef]
- Welsford, C.A.; Delisle, C.S.; Plant, R.D.; Saghir, M.Z. Effects of Nanofluid Concentration and Channeling on the Thermal Effectiveness of Highly Porous Open-Cell Foam Metals: A Numerical and Experimental Study. J. Therm. Anal. Calorim. 2020, 140, 1507–1517. [Google Scholar] [CrossRef]
- Wan, Z.; Sun, Y.; Yang, C. Design Strategy of Metal Foam Flow Field and Its Application in Proton Exchange Membrane Fuel Cell. In Transport Perspectives for Porous Medium Applications; IntechOpen: London, UK, 2024. [Google Scholar]
- Chen, Z.; Zuo, W.; Zhou, K.; Li, Q.; Huang, Y.; E, J. Multi-Objective Optimization of Proton Exchange Membrane Fuel Cells by RSM and NSGA-II. Energy Convers. Manag. 2023, 277, 116691. [Google Scholar] [CrossRef]
- Chen, Z.; Zuo, W.; Zhou, K.; Li, Q.; Huang, Y.E.J. Multi-factor impact mechanism on the performance of high temperature proton exchange membrane fuel cell. Energy 2023, 278, 127982. [Google Scholar] [CrossRef]
- Chen, Z.; Zuo, W.; Zhou, K.; Li, Q.; Yi, Z.; Huang, Y. Numerical investigation on the performance enhancement of PEMFC with gradient sinusoidal-wave fins in cathode channel. Energy 2024, 288, 129894. [Google Scholar] [CrossRef]
- Jaisatia Varthani, A.; Shasthri, S.; Baljit, S.; Kausalyah, V. A Systematic Review of Metal Foam and Heat Pipe Enhancement in Latent Heat Thermal Energy Storage System. J. Energy Storage 2022, 56, 105888. [Google Scholar] [CrossRef]
- Zhu, Y.; Hu, H.; Ding, G.; Sun, S.; Jing, Y. Influence of Metal Foam on Heat Transfer Characteristics of Refrigerant-Oil Mixture Flow Boiling inside Circular Tubes. Proc. Appl. Therm. Eng. 2013, 50, 1246–1256. [Google Scholar] [CrossRef]
- Zhu, Y.; Hu, H.; Sun, S.; Ding, G. Flow Boiling of Refrigerant in Horizontal Metal-Foam Filled Tubes: Part 2—A Flow-Pattern Based Prediction Method for Heat Transfer. Int. J. Heat Mass Transf. 2015, 91, 502–511. [Google Scholar] [CrossRef]
- Mancin, S.; Diani, A.; Doretti, L.; Rossetto, L. R134a and R1234ze(E) Liquid and Flow Boiling Heat Transfer in a High Porosity Copper Foam. Int. J. Heat Mass Transf. 2014, 74, 77–87. [Google Scholar] [CrossRef]
- Samir, A.; Hussain, I.Y. Simulation of Natural Convection Boiling Heat Transfer for Refrigerant R-134a Flow in a Metal Foam Filled Vertical Tube. Case Stud. Therm. Eng. 2019, 13, 100390. [Google Scholar] [CrossRef]
- Bamorovat Abadi, G.; Moon, C.; Kim, K.C. Flow Boiling Visualization and Heat Transfer in Metal-Foam-Filled Mini Tubes—Part II: Developing Predictive Methods for Heat Transfer Coefficient and Pressure Drop. Int. J. Heat Mass Transf. 2016, 98, 868–878. [Google Scholar] [CrossRef]
- Azizifar, S.; Ameri, M.; Behroyan, I. Subcooled Flow Boiling of Water in a Metal-Foam Tube: An Experimental Study. Int. Commun. Heat Mass Transf. 2020, 118, 104897. [Google Scholar] [CrossRef]
- Weise, S.; Wetzel, T.; Dietrich, B. Influence of Porous Inserts on Flow Boiling Heat Transfer in Horizontal Tubes. Int. J. Heat Mass Transf. 2021, 171, 121087. [Google Scholar] [CrossRef]
- Li, H.W.; Zhang, C.Z.; Yang, D.; Sun, B.; Hong, W.P. Experimental Investigation on Flow Boiling Heat Transfer Characteristics of R141b Refrigerant in Parallel Small Channels Filled with Metal Foam. Int. J. Heat Mass Transf. 2019, 133, 21–35. [Google Scholar] [CrossRef]
- Bamorovat Abadi, G.; Kim, K.C. Enhancement of Phase-Change Evaporators with Zeotropic Refrigerant Mixture Using Metal Foams. Int. J. Heat Mass Transf. 2017, 106, 908–919. [Google Scholar] [CrossRef]
- Nosrati, A.; Akhavan-Behabadi, M.A.; Sajadi, B.; Razi, P.; Mohammadi, R. Experimental Study on the Effects of Using Metal Foam on R-134a Flow Boiling in Annular Tubes. Int. J. Therm. Sci. 2022, 177, 107546. [Google Scholar] [CrossRef]
- Haertlé, S. Flow Boiling of CO2 in Porous Structures. Ph.D. Thesis, Karlsruher Instituts für Technologie, Karlsruhe, Germany, 2022. [Google Scholar] [CrossRef]
- Liaw, K.L.; Kurnia, J.C.; Sallih, N.; Mustapha, M.; Sasmito, A.P. Heat Transfer Analysis of Subcooled Flow Boiling in Copper Foam Helical Coiled Heat Exchanger—A Pore-Scale Numerical Study. Int. Commun. Heat Mass Transf. 2024, 155, 107514. [Google Scholar] [CrossRef]
- Zhu, Y.; Hu, H.; Sun, S.; Ding, G. Heat Transfer Measurements and Correlation of Refrigerant Flow Boiling in Tube Filled with Copper Foam. Int. J. Refrig. 2014, 38, 215–226. [Google Scholar] [CrossRef]
- Zhu, Y.; Hu, H.; Sun, S.; Ding, G. Flow Boiling of Refrigerant in Horizontal Metal-Foam Filled Tubes: Part 1-Two-Phase Flow Pattern Visualization. Int. J. Heat Mass Transf. 2015, 91, 446–453. [Google Scholar] [CrossRef]
- Gao, W.; Xu, X.; Liang, X. Flow Boiling of R134a in an Open-Cell Metal Foam Mini-Channel Evaporator. Int. J. Heat Mass Transf. 2018, 126, 103–115. [Google Scholar] [CrossRef]
- Hu, H.; Lai, Z.; Zhao, Y. Heat Transfer and Pressure Drop of Refrigerant Flow Boiling in Metal Foam Filled Tubes with Different Wettability. Int. J. Heat Mass Transf. 2021, 177, 121542. [Google Scholar] [CrossRef]
- Hu, H.; Zhao, Y.; Sheng, J.; Li, Y. Influence of Surface Wettability on Heat Transfer and Pressure Drop Characteristics of R1234ze(E) Flow Boiling in Metal Foam Filled Tubes. Int. J. Refrig. 2023, 146, 366–374. [Google Scholar] [CrossRef]
- Wang, X.W.; Ho, J.Y.; Leong, K.C.; Wong, T.N. Condensation Heat Transfer and Pressure Drop Characteristics of R-134a in Horizontal Smooth Tubes and Enhanced Tubes Fabricated by Selective Laser Melting. Int. J. Heat Mass Transf. 2018, 126, 949–962. [Google Scholar] [CrossRef]
- Shi, J.; Zheng, G.; Chen, Z. Experimental Investigation on Flow Condensation in Horizontal Tubes Filled with Annular Metal Foam. Int. J. Heat Mass Transf. 2018, 116, 920–930. [Google Scholar] [CrossRef]
- Shi, J.; Zheng, G.; Chen, Z.; Dang, C. Experimental Study of Flow Condensation Heat Transfer in Tubes Partially Filled with Hydrophobic Annular Metal Foam. Int. J. Heat Mass Transf. 2019, 136, 1265–1272. [Google Scholar] [CrossRef]
- Tourvieille, J.N.; Philippe, R.; de Bellefon, C. Milli-channel with metal foams under an applied gas-liquid periodic flow: Flow patterns, residence time distribution and pulsing properties. Chem. Eng. Sci. 2015, 126, 406426. [Google Scholar] [CrossRef]
- Lali, F. A hydrodynamic study of cylindrical metal foam packings: Residence time distribution and two phase pressure drop. Chem. Eng. Proc. 2017, 115, 1–10. [Google Scholar] [CrossRef]
- Hessel, V.; Angeli, P.; Gavriilidis, A.; Löwe, H. Gas–Liquid and Gas–Liquid–Solid Microstructured Reactors: Contacting Principles and Applications. Ind. Eng. Chem. Res. 2005, 44, 9750–9769. [Google Scholar] [CrossRef]
- Walchi, S. Two-Phase Flow Characterictics in Gas-Liquid Microreactors. Ph.D. Thesis, Swiss Federal Institute of Technology Zurich, Zürich, Switzerland, 2005. [Google Scholar]
- Losey, M.W.; Jackman, R.J.; Firebaugh, S.L.; Schmidt, M.A.; Jensen, K.F. Design and fabrication of microfluidic devices for multiphase mixing and reaction. J. Microelectromech. Syst. 2002, 11, 709–717. [Google Scholar] [CrossRef]
- Xue, H.; Qi, T.; Su, W.; Wu, K.J.; Su, A. Heterogeneous Continuous Flow Hydrogenation of Hexafluoroacetone Trihydrate and Its Kinetic Modeling. Ind. Eng. Chem. Res. 2023, 62, 6121–6129. [Google Scholar] [CrossRef]
- Dyga, R.; Brol, S. Pressure Drops in Two-Phase Gas–Liquid Flow through Channels Filled with Open-Cell Metal Foams. Energies 2021, 14, 2419. [Google Scholar] [CrossRef]
- JCGM Evaluation of Measurement Data—Guide to the Expression of Uncertainty in Measurement; Joint Committee for Guides in Metrology 2008, JCGM 100:2008. p. 120. Available online: https://www.bipm.org/documents/20126/2071204/JCGM_100_2008_E.pdf (accessed on 17 October 2024).
- Brol, S.; Dyga, R. Self-Affinity Approach for the Determination of Flow Regime in Pipelines. Meas. J. Int. Meas. Confed. 2021, 168, 108452. [Google Scholar] [CrossRef]
- Dyga, R.; Płaczek, M. Influence of Hydrodynamic Conditions on the Type and Area of Occurrence of Gas-Liquid Flow Patterns in the Flow through Open-Cell Foams. Materials 2020, 13, 3254. [Google Scholar] [CrossRef]
- Płaczek, M.; Dyga, R.; Witczak, S. Experimental Investigation of Void Fraction in Horizontal Air-Water Flow through FeCrAlY Foam. Proc. Procedia Eng. 2012, 42, 690–703. [Google Scholar] [CrossRef][Green Version]
- Dyga, R.; Płaczek, M. Selected Problems of Gas-Liquid Flow through the Channels Filled with Metal Foams. Proc. E3S Web Conf. 2017, 19, 03001. [Google Scholar] [CrossRef]
- Płaczek, M.; Dyga, R. Void Fraction Prediction Method in Gas–Liquid Flow through Channel Packed with Open-Cell Metal Foams. Energies 2021, 14, 2645. [Google Scholar] [CrossRef]
- Ghajar Afshin, J. Two-Phase Heat Transfer in Gas-Liquid Non-Boiling Pipe Flows. In Proceedings of the 3rd International Conference on Heat Transfer, Fluid Mechanics and Thermodynamics HEFAT 2004, Cape Town, South Africa, 21 June 2004; p. K2. [Google Scholar]
- Khoze, A.N.; Dunaev, S.V.; Sparin, V.A. Heat and Mass Transfer in Rising Two-Phase Flows in Rectangular Channels. Heat Transf. Sov. Res. 1976, 8, 87–90. [Google Scholar]
- Kim, D.; Ghajar, A.J. Heat Transfer Measurements and Correlations for Air-Water Flow of Different Flow Patterns in a Horizontal Pipe. Exp. Therm. Fluid Sci. 2002, 25, 659–676. [Google Scholar] [CrossRef]
- Nada, S.A. Experimental Investigation and Empirical Correlations of Heat Transfer in Different Regimes of Air-Water Two-Phase Flow in a Horizontal Tube. J. Therm. Sci. Eng. Appl. 2017, 9, 021004. [Google Scholar] [CrossRef]
- Rezkallah, K.S.; Sims, G.E. An Examination of Correlations of Mean Heat Transfer Coefficients in Two-Phase and Two-Component Flow in Vertical Tubes. In Proceedings of the National Heat Transfer Conference and Exhibition, Pittsburgh, PA, USA, 9–12 August 1987; American Institute of Chemical Engineers: New York, NY, USA, 1987; pp. 109–114. [Google Scholar]
- Samir, A.A.; Hussain, I.Y. Experimental investigation of convective boiling heat transfer for r-134a flow in metal foam filled vertical tube. J. Mech. Contin. Math. Sci. 2019, 14, 168–189. [Google Scholar] [CrossRef]
- Dyga, R.; Troniewski, L. Convective Heat Transfer for Fluids Passing through Aluminum Foams. Arch. Thermodyn. 2015, 36, 139–156. [Google Scholar] [CrossRef]
- Noh, J.S.; Lee, K.B.; Lee, C.G. Pressure Loss and Forced Convective Heat Transfer in an Annulus Filled with Aluminum Foam. Int. Commun. Heat Mass Transf. 2006, 33, 434–444. [Google Scholar] [CrossRef]











| Foam 20 | ||
| alloy | AlSi7Mg | ![]() |
| pore density, ω [PPI] | 20 | |
| porosity, ϕ | 0.934 | |
| cell diameter, dc [m] | 3.45∙10−3 | |
| pore diameter, dp [m] | 1.09∙10−3 | |
| thermal conductivity, ks [W/(m·K)] | 150.4 | |
| permeability, K [m2] | 1.274∙10−7 | |
| inertial coefficient, β [m−1] | 154.1 | |
| Foam 30 | ||
| alloy | AlSi7Mg | ![]() |
| pore density, ω [PPI] | 30 | |
| porosity, ϕ | 0.943 | |
| cell diameter, dc [m] | 2.25∙10−3 | |
| pore diameter, dp [m] | 0.71∙10−3 | |
| thermal conductivity, ks [W/(m·K)] | 150.4 | |
| permeability, K [m2] | 0.659·10−7 | |
| inertial coefficient, β [m−1] | 191.1 | |
| Foam 40 | ||
| alloy | Al 6101 | ![]() |
| pore density, ω [PPI] | 40 | |
| porosity, ϕ | 0.929 | |
| cell diameter, dc [m] | 2.39∙10−3 | |
| pore diameter, dp [m] | 0.82∙10−3 | |
| thermal conductivity, ks [W/(m·K)] | 189.4 | |
| permeability, K [m2] | 0.700·10−7 | |
| inertial coefficient, β [m−1] | 277.0 | |
| Measurement | Measurement Range | Sensor Accuracy Class * | Relative Uncertainty ** |
|---|---|---|---|
| Air flow rate, [m3/s] | 0–3.33·10−4 3.33·10−4–3.33·10−3 | 0.2 0.3 | 2.4% 1.7% |
| Water flow rate, [m3/s] | 2.5·10−7–1.17·10−5 8.33·10−6–8.33·10−5 | 1.0 1.0 | 4.1% 4.2% |
| Oil flow rate, [m3/s] | 3.33·10−7–6.67·10−5 | 2.0 | 6% |
| Differential pressure, [Pa] | (0–2)·103 (2–10)·103 (10–50)·103 (5–150)·103 | 1.6 0.4 0.25 0.25 | 3.7% 1.2% 0.7% 0.4% |
| Pressure, [Pa] | (0–600)·103 | 0.25 | 0.3% |
| Temperature, [°C] | (0–100) | Δdx = 0.2 K ** | 0.3% |
| Fluid Flow Parameters | ||||
|---|---|---|---|---|
| Fluid, f | vsf, m/s | gf, kg/(m2·s) | Ref *, - | εf/x **, - |
| air, a | 0.060–2.664 | 0.07–2.93 | 42–2502 | 0.488–0.988 0.001–0.361 |
| water, w | 0.006–0.063 | 5.56–62.57 | 106–1487 | |
| oil, o | 0.006–0.063 | 4.86–53.39 | 17–253 | |
| Properties of oil Velol-9Q | ||||
| density ρ, kg/m3 | ρ = 875.03 − 0.783t + 0.0012t2 | |||
| viscosity μ, Pa·s | μ = 0.1172t−0.865 | |||
| conductivity k, W/(m·K) | k = 0.1232–2.55·10−4t + 1.25·10−6t2 | |||
| specific heat c, J/(kg·K) | c = 1767 + 4.122t + 0.0016t2 | |||
| Source | Correlation Describing Nutp, htp | Main Complementary Variables | System and Range of Parameter Changes |
|---|---|---|---|
| Two-component gas–liquid flow in an empty channel | |||
| Ghajar [72] | laminar flow turbulent flow | air–water flow in a horizontal channel | |
| Khoze et al. [73] | ; | gas–liquid flow in rectangular channels air–water, air–diphenyloxide, air–polymethylsiloxane | |
| Kim et al. [74] | laminar flow turbulent flow | air–water slug, bubbly-slug, bubbly-slug-annular flow in a horizontal channel | |
| Nada [75] | air–water slug/stratified/annular flow in a horizontal empty channel | ||
| Rezka-llah et al. [76] | air–water, air–glycerin water solution (58–42% by weight) air–silicone liquid bubble and slug flow | ||
| Single-phase vapor–liquid flow (boiling) in a empty channel/filled with metal foam channel | |||
| Zhu et al. [40] | boiling of R-410a in a copper foam-filled horizontal channel gtp = 90–270 kg/(m2·s) | ||
| Bamo-rovat Abadi et al. [43] | boiling of R245fa in a copper foam-filled mini tube. annular flow, intermittent slug flow gtp = 400–700 kg/(m2·s) | ||
| Samir et al. [77] | ; | boiling of R-134a in a copper foam-filled vertical channel gtp = 8–40 kg/(m2·s) | |
| Method (Author) | Relative Error δhtp [%] | Root Mean Square RMS [–] |
|---|---|---|
| air–water/air–oil | air–water/air–oil | |
| Bamorovat Abadi et al. [43] | 659/658 | 7.05/8.68 |
| Ghajar [72] | 272/64 | 3.28/0.65 |
| Khoze et al. [73] | 24/2808 | 0.30/28.94 |
| Kim et al. [74] | 26/85 | 0.32/0.86 |
| Nada [75] | 44/– | 0.50/– |
| Rezkallah et al. [76] | 40/45 | 0.52/0.49 |
| Samir et al. [77] | 439/2359 | 4.62/24.93 |
| Zhu et al. [40] | 254/459 | 2.96/5.54 |
| C | c1 | c2 | c3 | c4 | c5 | |
|---|---|---|---|---|---|---|
| Laminar flow Ref ≤ 1300 | 3.9 | 0.3 | 0.2 | 0.1 | 0.4 | 0.14 |
| Turbulent flow Ref > 1300 | 1.9 | 0.4 | 0.3 | 0.1 | 0.33 | 0 |
Disclaimer/Publisher’s Note: The statements, opinions and data contained in all publications are solely those of the individual author(s) and contributor(s) and not of MDPI and/or the editor(s). MDPI and/or the editor(s) disclaim responsibility for any injury to people or property resulting from any ideas, methods, instructions or products referred to in the content. |
© 2024 by the authors. Licensee MDPI, Basel, Switzerland. This article is an open access article distributed under the terms and conditions of the Creative Commons Attribution (CC BY) license (https://creativecommons.org/licenses/by/4.0/).
Share and Cite
Dyga, R.; Płaczek, M. Experimental Investigation and Calculation of Convective Heat Transfer in Two-Component Gas–Liquid Flow Through Channels Packed with Metal Foams. Energies 2024, 17, 5250. https://doi.org/10.3390/en17215250
Dyga R, Płaczek M. Experimental Investigation and Calculation of Convective Heat Transfer in Two-Component Gas–Liquid Flow Through Channels Packed with Metal Foams. Energies. 2024; 17(21):5250. https://doi.org/10.3390/en17215250
Chicago/Turabian StyleDyga, Roman, and Małgorzata Płaczek. 2024. "Experimental Investigation and Calculation of Convective Heat Transfer in Two-Component Gas–Liquid Flow Through Channels Packed with Metal Foams" Energies 17, no. 21: 5250. https://doi.org/10.3390/en17215250
APA StyleDyga, R., & Płaczek, M. (2024). Experimental Investigation and Calculation of Convective Heat Transfer in Two-Component Gas–Liquid Flow Through Channels Packed with Metal Foams. Energies, 17(21), 5250. https://doi.org/10.3390/en17215250




