Next Article in Journal
Heat Transfer of Crude Waxy Oil with Yield Stress in a Pipe
Next Article in Special Issue
The Attractiveness of Regional Transport as a Direction for Improving Transport Energy Efficiency
Previous Article in Journal
Analysis of the Potential for Thermal Flexibility of Cooling Applications
Previous Article in Special Issue
The Influence of Stops on the Selected Route of the City ITS on the Energy Efficiency of the Public Bus
 
 
Font Type:
Arial Georgia Verdana
Font Size:
Aa Aa Aa
Line Spacing:
Column Width:
Background:
Article

Reliable Energy Optimization Strategy for Fuel Cell Hybrid Electric Vehicles Considering Fuel Cell and Battery Health

1
School of Energy and Environment, Southeast University, Nanjing 210096, Jiangsu Province, China
2
Department of Industrial Electronics and Control Engineering, Faculty of Electronic Engineering, Menoufia University, Menouf 32952, Egypt
3
Ecole Centrale de Nantes, LS2N CNRS, 44300 Nantes, France
4
Mechanical Engineering, University of Hawaii at Manoa, Honolulu, HI 96822, USA
*
Author to whom correspondence should be addressed.
Energies 2024, 17(18), 4686; https://doi.org/10.3390/en17184686
Submission received: 16 May 2024 / Revised: 10 July 2024 / Accepted: 24 July 2024 / Published: 20 September 2024

Abstract

To enhance the fuel efficiency of fuel cell hybrid electric vehicles (FCHEVs), we propose a hierarchical energy management strategy (HEMS) to efficiently allocate power to a hybrid system comprising a fuel cell and a battery. Firstly, the upper-layer supervisor employs a fuzzy fault-tolerant control and prediction strategy for the battery and fuel cell management system, ensuring vehicle stability and maintaining a healthy state of charge for both the battery and fuel cell, even during faults. Secondly, in the lower layer, dynamic programming and Pontryagin’s minimum principle are utilized to distribute the necessary power between the fuel cell system and the battery. This layer also incorporates an optimized proportional-integral controller for precise tracking of vehicle subsystem set-points. Finally, we compare the economic and dynamic performance of the vehicle using HEMS with other strategies, such as the equivalent consumption minimization strategy and fuzzy logic control strategy. Simulation results demonstrate that HEMS reduces hydrogen consumption and enhances overall vehicle energy efficiency across all operating conditions, indicating superior economic performance. Additionally, the dynamic performance of the vehicle shows significant improvement.

1. Introduction

1.1. Background and Literature Survey

The high cost of oil, the limited quantity of this resource on the planet and the pollution generated by its use encourage populations, industries and governments to opt for other sources of energy for the transportation of goods and people. Therefore, the use of “hybrid electric vehicles (HEVs)” has become an urgent necessity today. On the one hand, the number of vehicles based on internal combustion engines (ICEs) is increasing; therefore, the consumption of fossil fuels is becoming more and more massive, and the concentration of greenhouse gases in the atmosphere is reaching worrying levels. Considerable research effort and considerable investment have been made in advanced battery technologies for electric vehicles. However, the major challenge remains the development of technologies and systems that ensure good performance and long range at a competitive cost. Today, one of the promising solutions is based on the design of a multi-source system, also known as a hybrid electric energy system. A hybrid energy source system is an important solution to extend the distances covered (vehicle autonomy) and to meet the power requirements of electric vehicles (EVs), especially for transient regimes (high acceleration, high deceleration and braking) [1].
Proton exchange membrane fuel cells (PEMFCs) in transportation applications are a promising solution to the energy crisis and environmental pollution because they are clean energy devices with high efficiency and low operating temperatures [2,3]. The advantages of fuel cell electric vehicles (FCEVs) are fast charging time, high driving range, noiseless operation and zero local emissions [3,4]. The disadvantages of FCEVs are a slow dynamic response and inability to recover braking power. On the other hand, lithium-ion batteries are an energy storage system with a fast dynamic response, low self-discharge, long lifetime and high energy density. Thus, the battery is usually used to compensate for the disadvantages of the pure FCEV. Thus, the fuel cell hybrid electric vehicle (FCHEV) is developed, which is powered by the PEMFC and the battery. This type of system is based on the combination of two or more energy sources. Thus, the disadvantages of one source can be compensated for by the advantages of the others and vice versa.
A lot of research is currently being done on electrical energy storage systems [5,6,7,8,9], including the optimization of vehicle energy management [9,10,11,12], state-of-charge (SOC) estimation techniques [13,14,15,16,17] and cell aging [18,19]. In addition, the scientific literature contains several works that study the value of energy storage units to improve the performance of multi-source systems dedicated to transportation applications [20,21,22].
More and more studies have been conducted to design energy management strategies (EMSs) for FCHEVs [23,24,25,26,27,28]. EMSs are mainly classified into rule-based and optimization-based strategies [29,30,31].
EMSs based on rule-based methodologies offer advantages such as low computational complexity, practicality and reliability. These primarily include state machine control (SMC) [32,33,34,35] and fuzzy logic control [36,37,38,39], among others. The formulation of control rules typically relies on “If ⋯ Then” based on engineering experience. For instance, the authors of [32,33,34,35] devised an EMS based on SMC comprising eight operational modes, which are selected based on the bus demand power and the auxiliary power state of charge (SOC). However, simplistic rules often fail to meet the vehicle’s economic performance requirements. In another study [36,37,38,39], a two-degree-of-freedom fuzzy logic controller was implemented in an electric vehicle with an “FC + B” configuration. This approach introduces a fuzzy energy allocation method based on expert experience with respect to uncertainty and validates it using an advisor platform. The study in [40] integrated the particle swarm optimization (PSO) algorithm into an enhanced FLC strategy, optimizing the FLC membership function using PSO to enhance the fuel economy of FCHEVs. Nonetheless, the reliance on historical data and expert knowledge in rule-based strategies impedes adaptation to real-time driving conditions and does not guarantee optimal outcomes.
In recent years, EMSs based on optimization strategies have garnered significant attention and research efforts. These systems can generally be categorized into two types: global optimization and instantaneous optimization. Compared to EMSs based on rule-based methodologies, EMSs based on optimization typically exhibit superior performance in enhancing vehicle fuel economy and power durability [41,42].
Predictive and dynamic programming (DP) [43,44,45,46,47,48,49,50,51] is widely studied as a global optimization algorithm in hybrid power systems and is capable of obtaining optimal control outcomes for predefined operating conditions. The study in [52] proposed an enhanced DP-based control strategy aimed at minimizing system operating costs by exploring the impact of state-of-charge (SOC) penalty factors and the initial SOC. However, DP-based strategies often suffer from complexity in calculation, offline applicability only and the challenge of “dimension disaster” [53].
EMSs based on instantaneous optimization often utilize a sampling interval as the optimization window to establish an objective function for achieving instantaneous control optimization goals. One prominent strategy in this category is the equivalent consumption minimization strategy (ECMS) [54,55,56], which introduces an equivalent factor (EF) to convert battery power consumption into equivalent fuel consumption. Li et al. [57] implemented the ECMS strategy with a fixed EF value for FCHEVs, demonstrating its cost-effectiveness compared to rule-based EMSs. However, the fixed EF value limits the strategy’s applicability to known driving cycles. Tian et al. [58] proposed an adaptive power distribution strategy based on ECMS; they regulated the EF value through a neural network velocity predictor. Li et al. [32] presented an improved ECMS strategy incorporating the lithium battery SOC that dynamically adjusts the EF value based on SOC changes to minimize total equivalent hydrogen consumption (EHC) under unknown driving conditions.
Another typical instantaneous optimization strategy is Pontryagin’s minimum principle (PMP) [59], which transforms the global optimization problem into a series of minimization problems, obtaining the optimal trajectory of the costate by minimizing the Hamiltonian function at each step [60]. The costate in the PMP algorithm equates power consumption between different sources to the equivalent hydrogen consumption, similar to EF in ECMS [61]. PMP-based EMSs adjust the costate value to achieve optimal load power distribution under specific driving conditions, thereby minimizing FCHEV hydrogen consumption. Meng et al. [62] developed a hierarchical PMP-based EMS, achieving an optimal load demand power configuration under a given driving cycle and demonstrating its superiority over DP-based EMSs. However, this method is limited to specific driving conditions, and the costate value remains fixed throughout the driving cycle, restricting its applicability. Li et al. [63] proposed an adaptive PMP-based EMS for FCHEVs, adjusting the costate value online using a Markov velocity predictor. Yang et al. [64] employed a linear weighted particle swarm optimization (PSO) algorithm to update the costate value for different driving conditions, achieving a 16% improvement in system fuel economy compared to a power following control (PFC) strategy. Onori and Tribioli [65] utilized lookup table methods to select the appropriate costate, improving fuel economy by 15% compared to a state machine control (SMC) EMS.
The aforementioned EMSs typically prioritize minimal hydrogen consumption as the optimization objective to achieve satisfactory fuel economy, often overlooking system lifespan considerations.
Based on global EMSs, there are also some works that intend to ensure the continuity of the operation of the the fuel cell (FC) and the lithium-ion battery during fault actions. This is called fault-tolerant control (FTC). The fault is detected, isolated and identified thanks to a diagnostic system [66], and an adjustment to the controller’s parameters is made to accommodate the fault. This is referred to as active FTC [67]. There is also passive FTC [68], which is also called robust control. The authors in [69,70,71,72,73,74,75] propose active FTC for a hybrid powertrain (FC/battery) applied to an urban bus. Lebreton et al. [76] developed active FTC for water management problems in the FC. However, the literature concerning the optimization of operating conditions to improve the durability of PEMFC is not yet very extensive. Furthermore, ensuring the durability of fuel cells (FCs) poses a significant challenge that must be addressed for the commercialization and mass production of FCHEVs [77]. The FC stack comprises various materials, leading to diverse reversible and irreversible degradation mechanisms within the FC. Irreversible degradation mechanisms directly impact FC performance over time, with catalyst layer microporous structure modification, carbon support corrosion, polymer membrane degradation and catalyst dissolution/redeposition being the primary contributors [78]. These complex degradation phenomena can result in performance losses in the FC stack. Notably, adverse operating conditions and dynamic power distribution dynamics are the primary causes of these degradation mechanisms [79]. Studies indicate that heavy loads, frequent load fluctuations, and prolonged start–stop times accelerate FC degradation, with frequent load fluctuations exerting the most significant impact on FC lifespan [80]. Zhang and Tao [81] devised a fuzzy logic controller with a low-pass filter for FCHEV to enhance FC durability. Similarly, Florescu et al. [82] proposed an EMS that accounts for FC degradation factors. Increasing the lifetime of PEMFCs is still one of the most important issues related to the use of this technology. There are two concomitant approaches to limit the degradation of fuel cells. The first is in the field of materials and involves finding more resistant and robust materials. The second solution is to act at the system level and, more particularly, on the operating conditions (in particular the temperature, pressure, relative humidity, sensor and actuator faults, etc.).
However, the abovementioned studies [69,70,71,72,73,74,75,76,77,78,79,80,81,82] only focus on the FC and lithium-ion battery durability and ignore the fuel economy of the FCHEV.

1.2. Objectives

The main objective of this paper is to develop an optimal management strategy to improve the energy efficiency of hybrid vehicles (fuel cell/battery). We seek to minimize as much as possible the consumption of hydrogen while maintaining the SOC of the battery. In addition, the main objective of existing battery and fuel cell management system (BFCMS) control strategies is to preserve the system and improve performance. The main aims that can be considered for developing an EMS are mentioned in Figure 1. Firstly, the energy sources used in this study, the modeling of the hybrid system and the choice of the type of power electronic converters are presented. Secondly, an improved energy management method based on dynamic programming (DP) and Pontryagin’s minimum principle (PMP) are proposed. Thirdly, in order to maximize the extracted energy and the lifetimes of lithium-ion batteries and proton-exchange-membrane fuel cell (PEMFC), it is necessary to develop better battery and fuel cell management systems (BFCMSs) and thus improve SOC estimation algorithms specifically for high-capacity batteries with a large number of cells. SOC estimation is an important data point, because knowing the current capacity of the battery makes it possible to accurately estimate the number of kilometers that can be driven by the vehicle. A more accurate algorithm allows the vehicle to travel more kilometers and increases the user’s sense of confidence and decrease the anxiety related to the risk of breaking down with the vehicle. Finally, a model of a hybrid vehicle is built using TruckMaker/MATLAB/Simulink software.

1.3. Main Contributions

Given the aforementioned considerations, this paper propose an intelligent hierarchical supervisory energy management strategy (HSEMS) (cf. Section 4) to strike a balance between fuel cell hydrogen consumption, degradation of the fuel cell lifespan and the durability of the PEMFC and lithium-ion battery of a FCHEV in the presence of sensor and/or actuator faults. The key contributions and novel aspects of this study are outlined as follows:
  • The problem is the instantaneous distribution of the electrical power requested from the two energy sources while optimizing as much as possible the global consumption of hydrogen on a given mission profile. Energy management strategies based on improved energy management methods based on dynamic programming (DP) are developed. Then, we present a method of Pontryagin’s minimum principle (PMP). These strategies lead the fuel cell to operate at the points of best performance while maintaining the SOC of the battery function. We then compare our method with two other strategies based on a fuzzy-logicstrategy-based EMS (FLS) and an equivalent consumption minimization strategy (ECMS).
  • The estimation of the SOC of the battery is proposed. An algorithm supported by a theory from the field of advanced control is used for the first time for the estimation of the SOC. It is chosen for its accuracy and its low computational resources required, which make it well-suited for the characteristics required for light electric vehicles.
  • The work presented in this manuscript concerns the implementation of a better BFCMS methodology that takes into account the occurrence of PEMFC and battery faults. The developed strategy is FTC that aims to limit the occurrence of and reduce the effects of faults. FTC based on an adaptive fuzzy observer (AFO) using the linear matrix inequality (LMI) allows for sufficiently early mitigation of the fault to reduce its consequences (performance decrease and degradations).
  • Simulation results using TruckMaker/MATLAB software confirm that the proposed approach leads to optimal energy consumption of the vehicle for any unknown driving cycles and compensates for battery fault effects.
In order to implement the proposed HSEMS, firstly, a reliable model of the FCHEV corresponding to a bus that was developed using professional TruckMaker/MATLAB software (cf. Section 2.4) is proposed. A FCHEV is characterized by the same structure as a series hybrid vehicle in which the functions of the internal combustion engine (ICE)–electric generator system are performed by a PEMFC.
Secondly, an intelligent HSEMS (hierarchical supervisory energy management strategy) (cf. Section 4) is designed in order to minimize the total energy consumption; it gives better fuel cell and battery life and, therefore, increases the overall bus energy efficiency based on the merging of adaptive fuzzy logic, dynamic programming (DP) and Pontryagin’s minimum principle. Combining these techniques takes advantage of their strengths while mitigating their weaknesses.
The proposed HSEMS strategy consists of two control levels. In the second level (upper level), a supervisory battery and fuel cell management system (BFCMS) is designed to generate healthy PEMFCs and the battery SOC for the first level and gives acceptable performance during fault actions.
In the first level (lower level), an advanced energy optimization strategy based on adaptive fuzzy logic, dynamic programming (DP) and Pontryagin’s minimum principle is developed to minimize total energy consumption and, therefore, maximize the overall bus energy efficiency. In this level, the overall proposed strategies (improved energy management based on dynamic programming (DP) and Pontryagin’s minimum principle (PMP)) are designed.
In addition, in the first level, an adaptive fuzzy-logic-controller-based proportional-integral controller is used to give optimal vehicle subsystem set-point tracking, which is generated at the second level.
The validation of the overall proposed strategies (DP and PMP) (cf. Section 4.2 and Section 5.1) is performed by comparing them using the equivalent consumption minimization strategy (ECMS) given in [54] (cf. Section 5.2) and [32,51] (cf. Section 5.3).
The proposed strategy has several advantages: (i) it increases the studied bus energy efficiency and minimizes the total energy consumption; (ii) it detects and compensates for the effects of sensor and/or actuator faults of the PEMFC and battery for the studied bus; (iii) the proposed DP and PMP reduces hydrogen consumption by 9.8 % and 8.86 % , respectively, compared with the logic-strategy-based EMS (FLS) strategy under the same driving conditions.

1.4. Plan of the Document

After this general introduction, Section 2 presents the modeling of the hydrogen FC/battery hybrid vehicle. The formulation of the optimization problems are presented in Section 3. In Section 4, the proposed HSEMS and the details regarding its adaptation to the problem are presented. The optimized EMSs based on the fuzzy-logic-strategy-based EMS (FLS) and the equivalent consumption minimization strategy (ECMS) are given in Section 5. Validation methods by simulation using the TruckMaker and MATLAB/Simulink software are presented in Section 6. In Section 7, a conclusion summarizes the challenges and contributions of this paper as well as suggestions for future work in order to improve the present work.

2. Modeling of the Studied Vehicle

The structure of the studied bus (cf. Figure 2) consists of a PEMFC as the main power source connected to a high-voltage DC/DC converter and battery as an auxiliary power source connected to a low-voltage bi-directional DC/DC converter, a DC bus and a traction machine. The hybrid powertrain architecture is composed of a primary source (energy source), which is a FC, and a secondary source (power source), which is a battery. The choice of these components and technologies is based on the current market and future visions of possible technologies [83].

2.1. Dynamics of the Vehicle

The fundamental principles of dynamics link the forces and accelerations of a solid, and according to Newton’s second law, the traction force ( F t ) of the vehicle can be written as [51]:
F t = δ m d v d t + 1 2 ρ C d A v 2 + m g f c o s ( α ) + m g s i n ( α )
where v is the bus speed, α is the slope, ρ is the air density, m is the bus mass, A is the frontal area, and C d is a constant called the drag coefficient that depends on the shape of the vehicle. Based on F t , v and the wheel radius (r), the wheel torque ( T w ) and its rotation speed ( w w ) are given by [51]:
T w = r · F t , w w = v / r
Then, the rotational speed ( w m ) and torque ( T m ) are calculated by:
T m = T w / ( η f d R f d ) , T w 0 η f d · T w / R f d , T w < 0 , w m = w w · R f d = v · R f d r
where η f d is the transmission efficiency and R f d is the gear ratio. The power demand ( P t ) is written as:
P t = T m · w m / η m , T m 0 η m · T m · w m , T m < 0
where η m is the motor efficiency. The total power demand ( P d e m ) includes consumption by the auxiliaries ( P a u x ) and is written as:
P d e m = P t + P a u x

2.2. Fuel Cell System Model

The model is composed of several cells mounted in series/parallel to obtain the characteristics necessary for the desired dimensioning. The cell is the main source of energy in the vehicle. Therefore, it must be able to provide sufficient power to the vehicle so that the vehicle can run at the maximum speed in its specifications. The instantaneous hydrogen consumption ( m ˙ h ) is given by [28]:
m ˙ h = N · M h / n · F I s t a c k
where N is the number of cells, M h is the molar mass of hydrogen, n is the transferred electrons, F is Faraday’s constant, I s t a c k is the fuel cell stack current, and the efficiency of the PEMFC is given by
η F C = P F C / m ˙ h · 120 MJ · kg 1
where P F C is the PEMFC power.

2.3. The Battery Model

The model used integrates unit cells connected in series/parallel. It is composed of an open-circuit voltage ( E o ) of the battery, the ohmic resistance ( R b a t ) and an equivalent capacitor ( C b a t ) modeling the transient aspects of the battery’s behavior (cf. Figure 3). The battery voltage ( V b a t ) is given by [74]:
V b a t = E o R b a t I b a t V C b a t
where I b a t is the battery current. The SOC change rate is given by [74]: I revised all
d ( S O C ) d t = I b a t Q b a t
where Q b a t is the battery capacity. The battery power ( P b a t ) is given by:
P b a t = I b a t V b a t
Also, the battery SOC is given by:
S O C = S O C ( 0 ) 1 C b a t I b a t d t
Therefore the SOC change rate can be expressed by:
d ( S O C ) d t = E o E o 2 4 R b a t P b a t 2 R b a t Q b a t
Note that E o is nonlinear; therefore, the battery model is nonlinear.

2.4. FCHEV Design Using TruckMaker

In order to obtain precise validation of the proposed control strategies, evaluation tests of the control strategies discussed in this paper are performed on a high-fidelity simulation platform based on TruckMaker and MATLAB/Simulink software (cf. Figure 4).
The powertrain architecture of a hybrid vehicle modeled using the TruckMaker software consists of several interconnected subsystems, allowing it to provide an overall dynamic behavior of the powertrain that is comparable to the real system’s operation. These subsystems can be classified into three distinct categories: (i) the powertrain’s control strategy; (ii) the control units of the motors, the mechanical transmission and the electrical power supply system; and (iii) the electromechanical and hydraulic components of the powertrain.
In the proposed work, we are particularly interested in the development of simulation model of the overall high-level control strategy of the studied hybrid powertrain. In the TruckMaker simulation platform, the control layer is grouped inside a single control block containing all the high-level control subsystems. This block manages the operating states of the powertrain and generates the control set-point values for the different electromechanical components based on the inputs provided by the driver and on the current driving conditions. The structure of the control blocks in TruckMaker differs according to the powertrain’s architecture. For the hybrid parallel powertrain on which our work is based, the control block must perform the following tasks: (i) braking management and monitoring the vehicle’s operating state; (ii) interpretation of the accelerator pedal position; (iii) planning of the energy sharing between the motors (energy management) and generation of corresponding torque set-point values; (iv) power supply management (batteries and converters); and (v) braking management.

3. Formulation of the Optimization Problem

The decision-making problem for the vehicle is to find the best way to distribute, store and consume energy to satisfy the driver’s demand while optimizing fuel consumption over the entire mission. The criterion to be minimized is the total hydrogen ( H 2 ) consumption for a given mission. The control objective function is to minimize hydrogen consumption [1]:
J = m i n t k + 1 t f + H p m ˙ h ( P F C ( t ) ) d t
where m ˙ h is the instantaneous hydrogen consumption, which depends on the PEMFC power supplied ( P F C ) and its total efficiency ( η F C ); t k is the current time step, and H p is the prediction length. The total demand power P d e m is given by:
P d e m = P F C ( t ) . η D C D C + P b a t ( t ) t
where η D C D C is the DC/DC efficiency. Therefore (11) can be rewritten as:
S O ˙ C ( t ) = f ( S O C , P F C ) = I b a t Q b a t = E o E o 2 4 R b a t P b a t 2 R b a t Q b a t ,
The first constraint is related to the limits of the battery SOC. We impose the following boundary conditions, as given by (15)–(17):
S O C t f + 1 = S O C t f + H p = S O C r e f
where S O C r e f are the SOC set-points, S O C t f + H p is the SOC at the end of the mission, and S O C t f + 1 is the SOC at the initial time.
P F C ( t ) ( m a x ( P F C , m i n , ( P d e m P b a t , m a x ) / η D C D C ) , m i n ( P F C , m a x , ( P d e m P b a t , m i n ) / η D C D C ) )
Finally, the last constraint concerns the storage element. It is necessary to restrict the evolution of the SOC in such a way that it remains within the range recommended by the equipment manufacturer. These constraint limits can be expressed as follows:
Δ P F C , m i n Δ P F C Δ P F C , m a x P b a t , m i n P b a t P b a t , m a x S O C m i n S O C S O C m a x
where P F C , m a x , P F C , m i n , P b a t , m a x , P b a t , m i n , S O C m a x and S O C m i n are the maximum and minimum power of the PEMFC, battery and SOC, respectively.

4. Overall Proposed Control Architecture and Main Components

Managing the interactions between the various components of the hybrid powertrain while respecting the actuators’ physical limitations and passenger comfort requirements to achieve the most efficient operation of the vehicle is the main challenge when developing a control strategy. From this perspective, the overall hierarchical supervisory energy management strategy (HSEMS) architecture proposed in this paper is designed to optimize the power distribution between energy sources and reduce torque jolts to improve powertrain reliability and passenger comfort. The proposed HSEMS strategy is given in Figure 5 and consists of two control levels.
In the upper level (second), a supervisory fuzzy fault-tolerant control (FFTC) scheme estimates a healthy SOC for the PEMFCs and the battery and gives acceptable performance during fault actions.
Energy optimization is performed at the first control level and is based on dynamic programming (DP) and Pontryagin’s minimum principle (PMP); it has been developed to minimize total energy consumption and, therefore, maximize the overall bus energy efficiency. At this level, the overall proposed strategies (improved energy management based on DP and PMP) are designed (cf. Section 4.2 and Section 5.1). A comparative study in terms of hydrogen consumption is made with two other strategies that are proposed for level 1: The first one is called the equivalent consumption minimization strategy (ECMS) (cf. Section 5.2) [54]. The second approach is a fuzzy logic strategy (FLS)-based EMS (cf. Section 5.3) [32], which is a very simple strategy based on the constraints imposed by the sources. The treated DP and PMP strategies present good improvement to hydrogen consumption by adopting a good management strategy for the electrical energy in the hybrid system.

4.1. Supervisory Fuzzy FTC and Prediction Strategy (Level 2: SFFTC)

4.1.1. Supervisory Fuzzy FTC

The main objective of the supervisory fuzzy fault-tolerant control (SFFTC) is to handle and regulate battery faults and establish a healthy state-of-charge (SOC) set-point, which is crucial for achieving a robust and optimal energy management system (EMS) at the first level, thereby influencing fuel cell hybrid electric vehicle (FCHEV) power optimization. The overall design of the proposed FFTC is shown in Figure 6. This section presents a comprehensive fault diagnosis and control strategy for battery cells that aims to identify current and/or voltage sensor faults and mitigate their impacts. To execute this diagnostic and control strategy, fuzzy fault-tolerant control (FFTC) utilizing a fuzzy adaptive observer is proposed to estimate and compensate for battery faults, including both current and voltage sensor faults. The parallel distributed compensation (PDC) concept [76] is applied to develop the fuzzy control and fuzzy adaptive observer using Takagi–Sugeno (TS) fuzzy models. Robust stabilization conditions are derived based on Lyapunov stability theory for voltage sensor faults, current actuator faults and state variables that are not directly measurable. These conditions are expressed as linear matrix inequalities (LMIs).
The flowchart of the proposed fuzzy logic controller (FLC)-based active fault-tolerant control system (AFTCS) is shown in Figure 6. The system assesses sensor readings and compares them to observer values to determine if they exceed a certain threshold. If no faults are detected, the fuel cell and battery operate normally. If a fault is detected in a sensor, the error signal surpasses the threshold. In this scenario, the fault detection and isolation (FDI) unit replaces the faulty sensor value with an estimated value generated by the FLC-based observer and sends this to the engine’s control unit. The model receives the predicted value for the faulty sensor through analytical redundancy. It is assumed that switching and reconfiguration happen instantaneously, although in practice, there may be some delay due to controller computations. Note that the system only considers complete sensor failures and does not account for partial faults.
a.
Observer Design
The process can be represented in state-space form, as shown by the observer architecture for the AFTCS system, as follows:
x ˙ ( t ) = i = 1 p μ i [ A i x ( t ) + B i u ( t ) + E f ( t ) ] y ( t ) = i = 1 p μ i [ C i x ( t ) ]
where x ( t ) , u ( t ) and y ( t ) are the state, control input and the output vectors, respectively, μ are the fuzzy sets, p is the number of rules, A i n × n , B i n × m and C i g × n are system, input and output matrices, respectively, f ( t ) are the actuator faults, and E is the actuator fault matrix. To estimate the state and fault of the battery and FC, the following fuzzy adaptive observer is proposed based on reference [84]:
x ^ ˙ ( t ) = i = 1 p μ i [ A i X ( t ) + B i u ( t ) + E i f ^ ( t ) + K i ( y ( t ) y ^ ( t ) ) ]
e x ( t ) = x ( t ) x ^ ( t ) e y ( t ) = y ( t ) y ^ ( t ) = C i e x ( t )
f ^ ˙ ( t ) = i = 1 p μ i L i ( e ˙ y ( t ) + e y ( t ) ) = i = 1 p μ i L i i ( e ˙ x ( t ) + e x ( t ) )
y ^ ( t ) = i = 1 p μ i C i x ^ ( t )
In the proposed approach, the observer gains K i and L i are to be designed appropriately based on [84].
b.
Proposed fuzzy fault-tolerant control
In this paper, an AFTCS is design based on [84].
u ( t ) = j = 1 p μ j [ G j x ^ ( t ) E j f ^ ( t ) ]
The controller gains G j and E j are designed based on [84].

4.1.2. Estimation of the SOC and Its Predicted Progress

Accurate state-of-charge (SOC) estimation and its anticipated evolution over a specified timeframe are critical for advanced energy management systems (EMSs). This section aims to outline the methodology proposed to address these crucial issues. The central concept involves calculating the SOC based on vehicle dynamics across various modes such as consumption and generation throughout the operational day while considering traffic conditions. For EMSs and applications like lithium-ion batteries, precise SOC estimation is paramount to prevent issues such as over-charging or over-discharging, safeguarding the battery’s internal state. Given the challenges in directly measuring the SOC during battery operation, a suitable battery model becomes indispensable. Estimating the SOC using electrical models for power battery packs is particularly significant for hybrid electric vehicles as it provides essential data for efficient energy management. This subsection briefly discusses the use of an adaptive fuzzy observer strategy (AFO) based on [84] and an adaptive neuro-fuzzy inference system (ANFIS) [85] for SOC estimation. These methods are then integrated with a switching strategy to leverage their respective strengths across different operational contexts.
a.
Estimation Results for the SOC Based on an AFO
The design of a battery management system is crucial for electric and hybrid vehicles and enhances performance, maintains optimal vehicle operation and detects/controls thermal runaway, which can lead to severe outcomes such as fires and explosions. Among the key parameters monitored, the state-of-charge (SOC) stands out as pivotal for these systems. However, direct measurement is impractical, necessitating estimation through analytical or machine learning techniques rather than sensors. This subsection proposes an electrical model incorporating thermal effects for lithium-ion batteries. The thermal model calculates internal heat generation, followed by the implementation of an adaptive fuzzy observer (AFO) to estimate the SOC and cell temperature within the battery system. The AFO’s accuracy hinges on a precise model. The architecture leveraging the AFO for SOC and cell temperature estimation is depicted in Figure 7. Inputs to the electro–thermal model include the current, ambient temperature and estimated S O C k derived from the AFO, requiring a highly accurate electro–thermal model for effective implementation.
b.
Estimation Results for the SOC Based on the ANFIS
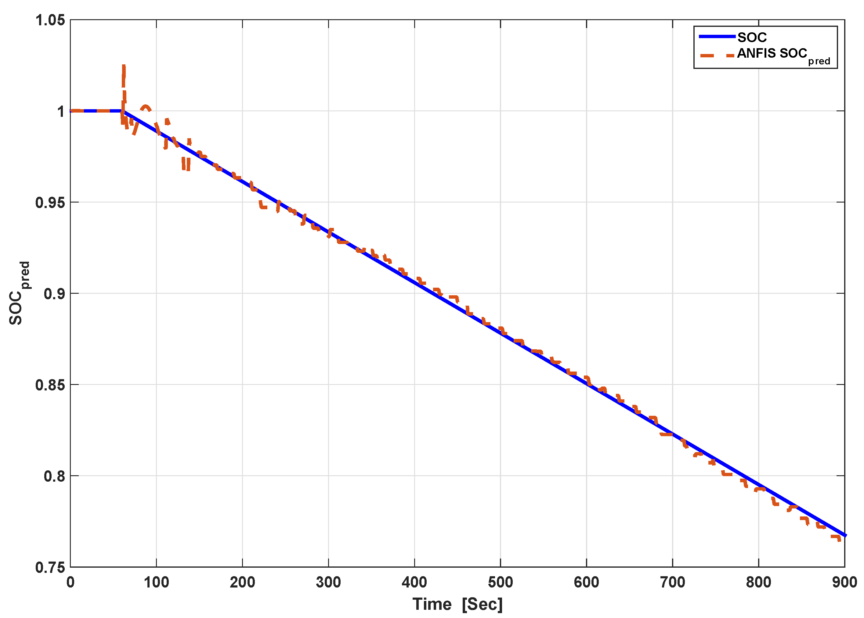
At the predictive level, optimal control problems are addressed based on trip forecasts. Accurate prediction of road conditions such as the slope, ambient temperature, and wind speed is crucial for energy management in hybrid systems. In [85], an adaptive neuro-fuzzy inference system (ANFIS) is proposed to predict SOC evolution under varying driving cycle conditions. The approach utilizes intelligent transportation data (such as GPS and radar) along with local sensor measurements for short-term and long-term ambient condition predictions. By analyzing locally collected data, the system can assess the battery SOC’s power potential ( S O ^ C p r e d ), as depicted in Figure 8 and Figure 9. This technique primarily integrates predictions of vehicle power, real-time traffic information, vehicle state (including torque and speed), and battery conditions (such as current, voltage and temperature).

4.2. Hybrid System Energy Management Algorithms (Level 1: HSEMA)

The main role at this level is to achieve optimal power management between the different sources. Four different optimization strategies are implemented at this level. These optimization strategies are DP (cf. Section 4.2), PMP (cf. Section 5.1), equivalent consumption minimization strategy (ECMS) (cf. Section 5.2) and fuzzy logic strategy (FLS)-based EMS (cf. Section 5.3).

4.2.1. EMS Optimization Based on Dynamic Programming

The DP algorithm, a nonlinear programming method based on the Bellman equation, serves as a global optimization approach for multistage decision-making problems. When applied to hybrid systems with prior knowledge of the driving cycle, it yields the global optimal EMS. While real-time application is impractical, DP results serve as benchmarks for evaluating vehicle performance. Energy management poses a complex multistage decision challenge that aims to optimize fuel economy while meeting system constraints. DP is well-suited for this task and facilitates the determination of power distribution schemes that enhance FCHEV fuel economy. To derive the most economical power allocation strategy for FCHEVs, prior knowledge of the driving cycle is discretized into N stages, enabling the formulation of the system state transition equation in discrete form [86,87].
x ( k + 1 ) = f ( x ( k ) , u ( k ) ) , k = 0 , 1 , . . . , N 1
In the context of the fuel cell/battery hybrid system, the state variable at stage k, denoted as x ( k ) = S O C ( k ) , represents the state-of-charge (SOC) of the battery. Meanwhile, the control variable at stage k, expressed as u ( k ) = P F C , corresponds to the output power of the fuel cell system (FCS) and facilitates power distribution across different stages. Consequently, the output power of the power battery is calculated as P b a t ( t ) = P d e m P F C ( t ) and is based on (11). Thus, the system’s state transition equation can be described as follows:
S O C ( k + 1 ) = S O C ( k ) E o E o 2 4 R b a t ( P d e m ( k ) P F C ( k ) ) 2 R b a t Q b a t
The primary objective of the DP algorithm is to determine the optimal control variable, P F C ( k ) , at each stage to minimize the objective function, J. This objective function, as described in references [88,89], can be formulated as follows:
J = m i n k = 0 N L ( x ( k ) , u ( k ) )
The transition cost function for each stage is denoted by L ( ) ˙ . In this study, the total hydrogen consumption of the vehicle serves as the objective function. Based on (12), the transition cost function for each stage can be expressed as follows:
J = k k + 1 m ˙ h ( P F C ( t ) ) d t
During real vehicle operation, it is imperative to ensure that constraints (17) are met. The flowchart depicting the DP process is presented in Figure 10. In the backward calculation process, one x ( k ) is chosen from N parts at each moment k. Then, one x ( k + 1 ) is selected from the reachable state set, which comprises M states. Using the state equation, u ( k ) and the corresponding J ( k ) are calculated for each state, and this process is repeated M times. The optimal J * ( k ) and u * ( k ) corresponding to x ( k ) at each moment k are determined by finding the minimum J * ( k ) . Since u ( k ) is not discretized, it is derived from x ( k ) and x ( k + 1 ) to minimize errors and computational workload. The process involves iterating through all N parts of state x and recording the optimal solution for each state at each moment. In the forward solution process, starting from the initial value x ( 1 ) , the optimal control sequence u 0 N 1 = ( u ( 0 ) , u ( 1 ) , , u ( N 1 ) ) and the minimum J * ( x ) are obtained by sequentially referencing the table.

4.2.2. Robust Adaptive Fuzzy Controller

In traditional PID control methods, control performance may suffer due to constraints arising from various forms of uncertainty. To address this issue, a new PID control approach is proposed that integrates the advantages of fuzzy PID control and predictive functional control (PFC). This method is validated to give optimal vehicle subsystem set-point tracking, which is generated at the second level. Following the PFC framework, future process behavior is predicted based on the current process input signal. Subsequently, fuzzy PID control, informed by multi-step prediction, is applied to determine the optimal control strategy. The proposed strategy product with the PI controller parameters are calculated by [90].

5. EMS Optimization Based on Rule-Based Strategy and ECMS

This section presents optimal EMSs that are proposed for level 2 (cf. Figure 5). The control architectures are based on three different levels (cf. Section 4).

5.1. Improved EMS Based on PMP

Pontryagin’s minimum principle (PMP), formulated by Soviet researcher Lev Pontryagin, is a fundamental algorithm in optimal control theory. According to PMP, an optimal control problem with a fixed time and a fixed endpoint can be defined as follows [91]: P F C ( t ) represents the control variable, SOC denotes the state variable, λ is the co-state, t 0 is the initial time, and t f is the final time. The objective is to find the optimal control P F C * ( t ) , t [ t 0 , t f ] such that the system described in (28) transitions from an initial state to a terminal state while minimizing the performance index given in (29).
d ( S O C ) d t = η I b a t C b a t
Based on the principles of PMP, the optimal output power P F C * ( t ) of the fuel control system at each time step is given by the following equation.
P F C * ( t ) = a r g m i n H
where H represents the Hamiltonian function, which is defined as shown in Equation (30) as follows:
H = m ˙ h λ . S O ˙ C ( t ) = m ˙ h λ . η E o E o 2 4 R b a t ( P d e m P F C η D C D C ) 2 R b a t C b a t ,
In the equation above, λ represents the co-state, and its state function is expressed as shown in Equation (31):
λ ˙ = d H d S O C = λ . η C b a t ( d I b a t d E o d E o d S O C + d I b a t d R b a t d R b a t d S O C )
From the analysis above, once the initial value of λ is established, Equation (17) can be solved, and the optimal P F C * ( t ) can be obtained. In discrete optimal control based on PMP, the optimal P F C * ( t ) is determined by solving Equation (29) at each time step and subject to the system constraints outlined in Equation (17).

5.2. Improved EMS Based on ECMS

The studied EMS, which is based on ECMS as described in this paper, is derived from the formulation presented in [54]. Its objective is to minimize hydrogen consumption while ensuring that the SOC of the battery is maintained. ECMS operates by converting electrical energy stored in energy sources into an equivalent fuel consumption and aims to minimize the sum of instantaneous fuel consumption and equivalent fuel consumption [54].

5.3. Improved Fuzzy-Logic-Strategy-Based EMS

The fuzzy logic strategy (FLS)-based EMS discussed in this paper is built upon the approaches outlined in [32,51]. In real-world driving scenarios, vehicles operate in diverse modes, adjusting their behavior according to driving conditions and the status of the powertrain system. Following this principle, this study utilizes Stateflow within the MATLAB platform to develop a fuzzy rule-based EMS. This EMS governs and manages energy distribution within the vehicle, ensuring optimal power distribution between the fuel cell system (FCS) and the battery. Vehicle operating modes are determined based on vehicle speed ( v x ) and the accelerator pedal position ( p a c c ), which is specifically categorized into idle, running and braking modes, as illustrated in Figure 11.

6. Simulation and Validation Results

This section aims to validate and to compare experimentally the main control strategies and energy management architectures described in this paper. The developed simulation platform based on TruckMaker and MATLAB/Simulink is given. In this section, two simulations are presented. The first simulation is to validate the overall HSEM during fault actions and validate the PEMFC and battery fault compensation. In the second simulation, the main proposed control strategies (DP and PMP) are compared with two other strategies based on FLS and ECMS in order to demonstrate the pros and cons of each proposed strategy.

6.1. Simulation 1: Overall HSEM Validation with and without FTC

The SOC of a hybrid vehicle’s battery is critical information for the driver. The accuracy of the SOC algorithm is often limited by the computational capabilities of the electronic components. It is critical to ensure that the performance requirements obtained in the design phase are maintained during the real-time implementation. The growing demand for hybrid vehicles increases the need for low-computational-operation algorithms and low-cost battery management systems. This paper introduces an accurate SOC estimation algorithm that provides a compromise between accuracy and simplicity. The algorithm offers a simple solution that reduces the computational time while achieving performance similar to that of other well-known SOC estimation algorithms. This proposed estimator can be programmed in an embedded system to be more representative of real computational conditions. The validation of the overall control architecture with and without FTC is performed in this subsection using TruckMaker/MATLAB software. The validation is done by using a speed profile of the studied hybrid vehicle. The results indicate that the proposed observer strategy can provide a more accurate estimate and is faster than other algorithms. Figure 12 shows the driving profile (the EPA Urban Dynamometer Driving Schedule (UDDS)), and the power demand profile is shown in Figure 13. Figure 14 and Figure 15 show the estimation of the SOC (initial condition = 68 % ) and the H 2 consumption, respectively, with a bias fault at the time of 600 sec, according to the proposed DP with and without FTC. Table 1 shows the evolution of the SOC and the H 2 consumption with and without FTC based on the proposed DP strategy.
The state of charge (SOC) of a hybrid vehicle’s battery holds crucial importance for drivers. However, the accuracy of SOC algorithms is often constrained by the computational capacities of electronic components, necessitating the preservation of performance requirements from the design to the real-time implementation. With the rising demand for hybrid vehicles, there is a growing need for low-complexity algorithms and cost-effective battery management systems.
This study presents a novel SOC estimation algorithm that strikes a balance between accuracy and simplicity, offering a streamlined solution that reduces computational overhead while maintaining comparable performance to established SOC estimation methods. This algorithm can be embedded into systems, ensuring real-world computational representation.
Validation of the control architecture, with and without fault-tolerance control (FTC), was conducted using TruckMaker/MATLAB software and a speed profile of the hybrid vehicle under study. Results indicate that the proposed observer strategy yields more accurate and faster SOC estimates compared to existing algorithms.
Figure 13, Figure 14 and Figure 15 depict the power demand profile, SOC estimation (initial condition = 68 % ) and H 2 consumption, respectively with a bias fault occurring at 600 s by employing the proposed dynamic programming (DP) approach with and without FTC. Table 1 summarizes the SOC and H 2 consumption with and without FTC based on the proposed DP strategy.
From the simulation results and from Table 1, we notice that the proposed DP strategy based on FTC can save 6.26 % of H 2 consumption compared to without FTC. In addition, we notice that SOC estimation is significantly improved using the proposed FTC.

6.2. Simulation 2: Comparisons of the Different Energy Management Strategies

This section aims to demonstrate the pros and cons of each proposed strategy. The main proposed control strategies (DP and PMP) are compared with two other strategies based on FLS and ECMS in this subsection. The comparison of the strategies is performed using the same power demand profile as given in Figure 13 and with the same initial conditions (initial condition = 68 % ) and operating limits. Figure 16 and Figure 17 show the evolution of the SOC and H 2 consumption over time for the proposed energy management strategies (DP and PMP), which are compared to ECMS and FLS. Table 2 shows the simulation results comparison.
Figure 16 and Figure 17 show the evolution of the SOC and hydrogen consumption under different EMSs (DP, PMP, ECMS and FLS) using the same cycle conditions with an SOC initial condition of 68 % during the sensor faults. The simulation results comparison is shown in Table 2.
From Table 2, we can clearly see that DP and PMP reduce hydrogen consumption by 9.8 % and 8.86 % , respectively, compared with the FLS strategy under the same driving condition. From the simulation results, it can be seen that DP and PMP have the lowest H 2 consumption compared to the other EMSs (ECMS and FLS) with respect to the constraint on the final SOC and sensor faults. Therefore, an EMS based on DP can effectively improve the fuel economy.

7. Conclusions

The control and optimization of hybrid vehicle (fuel cell/battery) power management are presented in this paper. The algorithm is validated using a dynamic bus model with TruckMaker/MATLAB software. This proposed hierarchical supervisory energy management strategy (HSEMS) consists of two control levels.
In the upper level (second level), a supervisory battery and fuel cell management system (BFCMS) is designed to generate healthy proton-exchange-membrane fuel cells (PEMFCs) and the battery state-of-charge (SOC) for the lower layer. In the lower layer, an advanced energy management system (EMS) based on adaptive fuzzy logic, dynamic programming and Pontryagin’s minimum principle (PMP) is developed to minimize the total energy consumption and maximize the overall bus energy efficiency. Additionally, at this level, an adaptive proportional-integral (PI) controller is used to optimally track the bus subsystem set-points generated at the second level.
The overall validation of the proposed strategies (DP and PMP) is performed by comparing them with previous algorithms (ECMS and FLS). The proposed strategy has several advantages:
  • Increasing the bus’s energy efficiency and minimizing total energy consumption;
  • Detecting and compensating for the effects of sensor and/or actuator faults in the PEMFC and battery;
  • Reducing hydrogen consumption by 9.8% and 8.86%, respectively, compared to the FLS strategy under the same driving conditions.
In the near future, more-exhaustive studies on the robustness of the proposed strategy for various internal and external faults are planned. Additionally, the implementation of the proposed strategy on an actual platform is anticipated.

Author Contributions

Methodology, C.J., E.K. & R.G.; Software, C.J., E.K. & R.G.; Formal analysis, C.J., E.K. & R.G.; Resources, C.J., E.K. & R.G.; Writing—review & editing, C.J., E.K. & R.G. All authors have read and agreed to the published version of the manuscript.

Funding

This research received no external funding.

Data Availability Statement

The original contributions presented in the study are included in the article, further inquiries can be directed to the corresponding author.

Conflicts of Interest

The authors declare no conflict of interest.

Nomenclature

vbus speed
F t traction force
α slope
ρ air density
mbus mass
Afrontal area
C d drag coefficient (a constant)
rwheel radius
T w wheel torque
w w rotation speed
η f d transmission efficiency
R f d gear ratio
P t power demand
η m motor efficiency
P d e m total power demand
P a u x consumption by the auxiliaries
Nnumber of cells
M h molar mass of hydrogen
ntransferred electrons
FFaraday’s constant
I s t a c k fuel cell stack current
η F C efficiency of the PEMFC
m ˙ h instantaneous hydrogen consumption
P F C PEMFC power
E o open-circuit voltage of the battery
R b a t ohmic resistance
C b a t equivalent capacitor
V b a t battery voltage
I b a t battery current
Q b a t battery capacity
P b a t battery power
H 2 total hydrogen consumption
m ˙ h instantaneous hydrogen consumption
P F C PEMFC power supplied
H p prediction length
t k current time step
η F C total PEMFC efficiency
η D C D C DC/DC efficiency
S O C r e f SOC set-points
S O C t f + H p SOC at the end of the mission
S O C t f + 1 SOC at the initial time
P F C , m a x PEMFC maximum power
P F C , m i n PEMFC minimum power
P b a t , m a x battery maximum power
P b a t , m i n battery minimum power
S O C m a x SOC maximum power
S O C m i n SOC minimum power
x ( t ) state vector
u ( t ) control input vector
y ( t ) output vector
μ fuzzy sets
pnumber of rules
A i n × n system matrix
B i n × m input matrix
C i g × n output matrix
f ( t ) actuator faults
Eactuator fault matrix
K i and L i observer gains
G j and E j controller gains

References

  1. Venkatesan, R.; Savio, A.D.; Balaji, C.; Narayanamoorthi, R.; Kotb, H.; ELrashidi, A.; Nureldeen, W. A Comprehensive Review on Efficiency Enhancement of Wireless Charging System for an Electric Vehicles Application. IEEE Access 2024, 12, 46967–46994. [Google Scholar] [CrossRef]
  2. Hua, Z.; Zheng, Z.; Pahon, E.; Pera, M.-C.; Gao, F. Multi-timescale lifespan prediction for PEMFC systems under dynamic operating conditions. IEEE Trans. Transp. Electrific. 2022, 8, 345–355. [Google Scholar] [CrossRef]
  3. Soumeur, M.A.; Gasbaoui, B.; Abdelkhalek, O.; Ghouili, J.; Toumi, T.; Chakar, A. Comparative study of energy management strategies for hybrid proton exchange membrane fuel cell four wheel drive electric vehicle. J. Power Sources 2020, 462, 228167. [Google Scholar] [CrossRef]
  4. Chi, X.; Lin, F.; Wang, Y.-X. Disturbance and uncertainty-immune onboard charging batteries with fuel cell by using equivalent load fuzzy logic estimation-based backstepping sliding-mode control. IEEE Trans. Transp. Electrific. 2021, 7, 1249–1259. [Google Scholar] [CrossRef]
  5. Tan, X.; Chen, Y.; Zeng, J.; Liao, W.; Liu, J. An Integrated Self-Modularized Battery Equalizer and Supercapacitor Charger for Hybrid Electric Vehicle Energy Storage System. IEEE Trans. Veh. Technol. 2024, 73, 9865–9877. [Google Scholar] [CrossRef]
  6. Gan, J.; Li, S.; Lin, X.; Tang, X. Multi-Agent Deep Reinforcement Learning-Based Multi-Objective Cooperative Control Strategy for Hybrid Electric Vehicles. IEEE Trans. Veh. Technol. 2024, 1–13. [Google Scholar] [CrossRef]
  7. Zhou, J.; Zhao, J.; Wang, L. Cost-Based Research on Energy Management Strategy of Electric Vehicles Using Hybird Energy Storage System. Tsinghua Sci. Technol. 2024, 29, 684–697. [Google Scholar] [CrossRef]
  8. Shen, Y.; Xie, J.; He, T.; Yao, L.; Xiao, Y. CEEMD-Fuzzy Control Energy Management of Hybrid Energy Storage Systems in Electric Vehicles. IEEE Trans. Energy Convers. 2024, 39, 555–566. [Google Scholar] [CrossRef]
  9. Mehraban, A.; Ghanbari, T.; Farjah, E. AI-Based Control of Storage Capacity in High-Power-Density Energy Storage Systems, Used in Electric Vehicles. IEEE Trans. Transp. Electrif. 2024, 10, 2293–2301. [Google Scholar] [CrossRef]
  10. Shuai, B.; Hua, M.; Li, Y.; Shuai, S.; Xu, H.; Zhou, Q. Optimal Energy Management of Plug-in Hybrid Electric Vehicles Through Ensemble Reinforcement Learning With Exploration-to-Exploitation Ratio Control. IEEE Trans. Intell. Veh. 2024, 1–11. [Google Scholar] [CrossRef]
  11. Sun, X.; Dong, Z.; Jin, Z.; Tian, X. System-Level Energy Management Optimization Based on External Information for Power-Split Hybrid Electric Buses. IEEE Trans. Ind. Electron. 2024, 1–11. [Google Scholar] [CrossRef]
  12. Munsi, M.S.; Chaoui, H. Energy Management Systems for Electric Vehicles: A Comprehensive Review of Technologies and Trends. IEEE Access 2024, 12, 60385–60403. [Google Scholar] [CrossRef]
  13. Xu, P.; Wang, C.; Ye, J.; Ouyang, T. State-of-Charge Estimation and Health Prognosis for Lithium-Ion Batteries Based on Temperature-Compensated Bi-LSTM Network and Integrated Attention Mechanism. IEEE Trans. Ind. Electron. 2024, 71, 5586–5596. [Google Scholar] [CrossRef]
  14. Xu, P.; Liu, B.; Hu, X.; Ouyang, T.; Chen, N. State-of-charge estimation for lithium-ion batteries based on fuzzy information granulation and asymmetric Gaussian membership function. IEEE Trans. Ind. Electron. 2022, 69, 6635–6644. [Google Scholar] [CrossRef]
  15. Sun, Q.; Lv, H.; Wang, S.; Gao, S.; Wei, K. Optimized State of Charge Estimation of Lithium-Ion Battery in SMES/Battery Hybrid Energy Storage System for Electric Vehicles. IEEE Trans. Appl. Supercond. 2021, 31, 1–6. [Google Scholar] [CrossRef]
  16. Karnehm, D.; Samanta, A.; Anekal, L.; Pohlmann, S.; Neve, A.; Williamson, S. Comprehensive Comparative Analysis of Deep Learning-based State-of-charge Estimation Algorithms for Cloud-based Lithium-ion Battery Management Systems. IEEE J. Emerg. Sel. Top. Ind. Electron. 2024, 5, 597–604. [Google Scholar] [CrossRef]
  17. Bao, Z.; Nie, J.; Lin, H.; Gao, K.; He, Z.; Gao, M. TTSNet: State-of-Charge Estimation of Li-ion Battery in Electrical Vehicles with Temporal Transformer-based Sequence Network. IEEE Trans. Veh. Technol. 2024, 73, 7838–7851. [Google Scholar] [CrossRef]
  18. Gao, Y.; Zhu, J.; Shi, D.; Zhang, X. A Model-Based Battery Dataset Recovery Method Considering Cell Aging in Real-World Electric Vehicles. IEEE Trans. Ind. Inform. 2024, 20, 7904–7914. [Google Scholar] [CrossRef]
  19. Lucero, J.N.E.; Sujan, V.A.; Onori, S. An experimentally validated electro-thermal EV battery pack model incorporating cycle-life aging and cell-to-cell variations. IEEE Trans. Transp. Electrif. 2024, 1. [Google Scholar] [CrossRef]
  20. Sun, H.; Tao, F.; Fu, Z.; Gao, A.; Jiao, L. Driving-Behavior-Aware Optimal Energy Management Strategy for Multi-Source Fuel Cell Hybrid Electric Vehicles Based on Adaptive Soft Deep-Reinforcement Learning. IEEE Trans. Intell. Transp. Syst. 2023, 24, 4127–4146. [Google Scholar] [CrossRef]
  21. Ali, A.M.; Moulik, B.; Söffker, D. Intelligent Real-Time Power Management of Multi-Source HEVs Based on Driving State Recognition and Offline Optimization. IEEE Trans. Intell. Transp. Syst. 2023, 24, 247–257. [Google Scholar] [CrossRef]
  22. Ali, A.M.; Shivapurkar, R.; Söffker, D. Optimal Situation-Based Power Management and Application to State Predictive Models for Multi-Source Electric Vehicles. IEEE Trans. Veh. Technol. 2019, 68, 11473–11482. [Google Scholar] [CrossRef]
  23. Venkatasatis, R.; Dhanamjayulu, C. Reinforcement learning based energy management systems and hydrogen refuelling stations for fuel cell electric vehicles: An overview. Int. J. Hydrogen Energy 2022, 47, 27646–27670. [Google Scholar] [CrossRef]
  24. Oladosu, T.L.; Pasupuleti, J.; Kiong, T.S.; Koh, S.P.J.; Yusaf, T. Energy management strategies, control systems, and artificial intelligence-based algorithms development for hydrogen fuel cell-powered vehicles: A review. Int. J. Hydrogen Energy 2024, 61, 1380–1404. [Google Scholar] [CrossRef]
  25. Wang, D.; Mei, L.; Xiao, F.; Song, C.; Qi, C.; Song, S. Energy management strategy for fuel cell electric vehicles based on scalable reinforcement learning in novel environment. Int. J. Hydrogen Energy 2024, 59, 668–678. [Google Scholar] [CrossRef]
  26. Nie, Z.; Huang, J.; Lian, Y.; Yang, W. Hierarchical control-based energy management strategy of intelligent battery/supercapacitor/ fuel cell hybrid vehicles. Int. J. Hydrogen Energy 2024, 61, 1092–1106. [Google Scholar] [CrossRef]
  27. Machacek, D.T.; Yasar, N.O.; Huber, T.; Onder, C.H. Energy management of hydrogen hybrid electric vehicles—A potential analysis. Int. J. Hydrogen Energy 2024, 58, 1–13. [Google Scholar] [CrossRef]
  28. Zhang, Y.; Ma, R.; Zhao, D.; Huangfu, Y.; Liu, W. An Online Efficiency Optimized Energy Management Strategy for Fuel Cell Hybrid Electric Vehicles. IEEE Trans. Transp. Electrif. 2023, 9, 3203–3217. [Google Scholar] [CrossRef]
  29. Lü, X.; Wu, Y.; Lian, J.; Zhang, Y.; Chen, C.; Wang, P.; Meng, L. Energy management of hybrid electric vehicles: A review of energy optimization of fuel cell hybrid power system based on genetic algorithm. Energy Convers. Manag. 2020, 205, 112474. [Google Scholar]
  30. Zhao, X.; Wang, L.; Zhou, Y.; Pan, B.; Wang, R.; Wang, L.; Yan, X. Energy management strategies for fuel cell hybrid electric vehicles: Classification, comparison, and outlook. Energy Convers. Manag. 2022, 270, 116179. [Google Scholar] [CrossRef]
  31. Zhu, Y.; Li, X.; Liu, Q.; Li, S.; Xu, Y. Review article: A comprehensive review of energy management strategies for hybrid electric vehicles. Mech. Sci. 2022, 13, 147–188. [Google Scholar] [CrossRef]
  32. Li, Q.; Su, B.; Pu, Y.; Han, Y.; Wang, T.; Yin, L.; Chen, W. A state machine control based on equivalent consumption minimization for fuel cell/supercapacitor hybrid tramway. IEEE Trans. Transp. Electrific. 2019, 5, 552–564. [Google Scholar] [CrossRef]
  33. Maria, C.; Suja, S.; Sajini, M.L.M. Effective Energy Management in Grid Integrated with Renewable Resources Using Finite State Machine Model. In Proceedings of the 2022 Second International Conference on Power, Control and Computing Technologies (ICPC2T), Raipur, India, 1–3 March 2022. [Google Scholar]
  34. Garcia, P.; Fernandez, L.M.; Garcia, C.A.; Jurado, F. Energy management system of fuel-cell-battery hybrid tramway. IEEE Trans. Ind. Electron. 2010, 57, 4013–4023. [Google Scholar] [CrossRef]
  35. Yan, Y.; Huang, W.; Liu, J.; Li, Q.; Chen, W. The Control Strategy of Fuel Cell Hybrid Tram Based on State Machine Control. In Proceedings of the 2019 IEEE Sustainable Power and Energy Conference (iSPEC), Beijing, China, 21–23 November 2019; pp. 699–703. [Google Scholar]
  36. Khanafari, A.; Alasty, A.; Kermani, M.J.; Asghari, S. Experimental study of water management of a three-cell PEM fuel cell stack using adaptive neuro-fuzzy approximation and fuzzy control. Int J. Hydrogen Energy 2024, 50, 931–944. [Google Scholar] [CrossRef]
  37. Hemi, H.; Ghouili, J.; Cheriti, A. A real time fuzzy logic power management strategy for a fuel cell vehicle. Energy Convers. Manag. 2014, 80, 63–70. [Google Scholar] [CrossRef]
  38. Martínez, J.S.; Mulot, J.; Harel, F.; Hissel, D.; Pera, M.C.; John, R.I.; Amiet, M. Experimental validation of a type-2 fuzzy logic controller for energymanagement in hybrid electrical vehicles. Eng. Appl. Artif. Intell. 2013, 26, 1772–1779. [Google Scholar] [CrossRef]
  39. Chen, J.; Xu, C.; Wu, C.; Xu, W. Adaptive fuzzy logic control of fuel-cell-battery hybrid systems for electric vehicles. IEEE Trans. Ind. Inform. 2018, 14, 292–300. [Google Scholar] [CrossRef]
  40. Shen, J.; Khaligh, A. A supervisory energy management control strategy in a battery/ultracapacitor hybrid energy storage system. IEEE Trans. Transp. Electrific. 2015, 1, 223–231. [Google Scholar] [CrossRef]
  41. Duhr, P.; Balerna, C.; Onder, C.H. Time-optimal gearshift and energy management strategies for a hybrid electric race car. Appl. Energy 2021, 282, 115980. [Google Scholar] [CrossRef]
  42. Biswas, A.; Emadi, A. Energy management systems for electrified powertrains: State-of-the-art review and future trends. IEEE Trans. Veh. Technol. 2019, 68, 6453–6467. [Google Scholar] [CrossRef]
  43. Lin, X.; Xu, X.; Lin, H. Predictive-ECMS based degradation protective control strategy for a fuel cell hybrid electric vehicle considering uphill condition. eTransportation 2022, 12, 1–19. [Google Scholar] [CrossRef]
  44. Jia, C.; Qiao, W.; Cui, J.; Qu, L. Adaptive Model-Predictive-Control-Based Real-Time Energy Management of Fuel Cell Hybrid Electric Vehicles. IEEE Trans. Power Electron. 2023, 38, 2681–2694. [Google Scholar] [CrossRef]
  45. Yang, H.; Hu, Y.; Gong, X.; Cao, R.; Guo, L.; Chen, H. Energy Management Strategy for Fuel Cell Hybrid Electric Vehicles Considering the Inaccuracy of Predicted Vehicle Speed. IEEE Trans. Transp. Electrif. 2024, 1. [Google Scholar] [CrossRef]
  46. Hou, Z.; Chu, L.; Guo, Z.; Hu, J.; Jiang, J.; Yang, J.; Chen, Z.; Zhang, Y. A Learning-and-Tube-Based Robust Model Predictive Control Strategy for Plug-In Hybrid Electric Vehicle. IEEE Trans. Intell. Veh. 2024, 9, 579–592. [Google Scholar] [CrossRef]
  47. Song, K.; Huang, X.; Xu, H.; Sun, H.; Chen, Y.; Huang, D. Model predictive control energy management strategy integrating long short-term memory and dynamic programming for fuel cell vehicles. Int. J. Hydrogen Energy 2024, 56, 1235–1248. [Google Scholar] [CrossRef]
  48. Soldo, J.; Škugor, B.; Deur, J. Model Predictive Control of a Parallel Plug-In Hybrid Electric Vehicle Relying on Dynamic Programming and Extended Backward-Looking Model. IEEE Trans. Control. Syst. Technol. 2024, 32, 581–594. [Google Scholar] [CrossRef]
  49. Li, Y.; Liu, M.; Wang, Y.; Xu, L.; Lei, S. Energy Management Optimization and Validation of a Hydrogen Fuel Cell-Powered Agricultural Tractor Based on Hierarchical Dynamic Programming. IEEE Access 2024, 12, 21382–21401. [Google Scholar] [CrossRef]
  50. Tang, W.; Wang, Y.; Jiao, X.; Ren, L. Hierarchical energy management strategy based on adaptive dynamic programming for hybrid electric vehicles in car-following scenarios. Energy 2023, 265, 126264. [Google Scholar] [CrossRef]
  51. Ma, M.; Xu, E.; Zheng, W.; Qin, J.; Huang, Q. The optimized real-time energy management strategy for fuel-cell hybrid trucks through dynamic programming. Int. J. Hydrogen Energy 2024, 59, 10–21. [Google Scholar] [CrossRef]
  52. Chen, B.-C.; Wu, Y.-Y.; Tsai, H.-S. Design and analysis of power management strategy for range extended electric vehicle using dynamic programming. Appl. Energy 2014, 113, 1764–1774. [Google Scholar] [CrossRef]
  53. Xu, L.; Ouyang, M.; Jianqiu, L.; Yang, F.; Lu, L.; Hua, J. Application of Pontryagin’s minimal principle to the energy management strategy of plugin fuel cell electric vehicles. Int. J. Hydrogen Energy 2013, 38, 10104–10115. [Google Scholar] [CrossRef]
  54. Volkan, S.; Metin, G.; Seta, B. A novel ECMS and combined cost map approach for high-efficiency series hybrid electric vehicles. IEEE Trans. Veh. Technol. 2011, 60, 3557–3570. [Google Scholar]
  55. Li, S.; Chu, L.; Hu, J.; Li, J.; Hou, Z.; Sun, W. A novel A-ECMS energy management strategy based on dragonfly algorithm for plug-in FCEVs. Sensors 2023, 23, 1192. [Google Scholar] [CrossRef] [PubMed]
  56. Yang, C.; Du, X.; Wang, W.; Yang, L.; Zha, M. A Rolling Convergent Equivalent Consumption Minimization Strategy for Plug-in Hybrid Electric Vehicles. IEEE Trans. Veh. Technol. 2024, 73, 3340–3353. [Google Scholar] [CrossRef]
  57. Li, H.; Ravey, A.; N’Diaye, A.; Djerdir, A. A novel equivalent consumptionminimization strategy for hybrid electric vehicle powered by fuel cell, battery and supercapacitor. J. Power Sources 2018, 395, 262–270. [Google Scholar] [CrossRef]
  58. Tian, X.; Cai, Y.; Sun, X.; Zhu, Z.; Xu, Y. An adaptive ECMS with driving style recognition for energy optimization of parallel hybrid electric buses. Energy 2019, 189, 116151. [Google Scholar] [CrossRef]
  59. Kim, N.; Jeong, J.; Zheng, C.H. Adaptive energy management strategy for plug-in hybrid electric vehicles with pontryagin’s minimum principle based on daily driving patterns. Int. J. Precis. Eng. -Manuf.-Green Technol. 2019, 6, 539–548. [Google Scholar] [CrossRef]
  60. Liu, C.; Liu, L. Optimal power source sizing of fuel cell hybrid vehicles based on Pontryagin’s minimum principle. Int. J. Hydrogen Energy 2015, 40, 8454–8464. [Google Scholar] [CrossRef]
  61. Zheng, C.; Liang, Q. An energymanagement strategy of hybrid energy storage systems for electric vehicle applications. IEEE Trans. Sustain. Energy 2018, 9, 1880–1888. [Google Scholar] [CrossRef]
  62. Meng, X.; Li, Q.; Chen, W.; Zhang, G. A layered energy management method for a fuel cell hybrid power system based on Pontryagin’s principle of minimum value. Proc. Chin. Soc. Elect. Eng. 2019, 39, 782–792. [Google Scholar]
  63. Li, X.; Wang, Y.; Yang, D.; Chen, Z. Adaptive energy management strategy for fuel cell/battery hybrid vehicles using Pontryagin’s minimal principle. J. Power Sources 2019, 440, 227105. [Google Scholar] [CrossRef]
  64. Yang, C.; Du, S.; Li, L.; You, S.; Yang, Y.; Zhao, Y. Adaptive realtime optimal energy management strategy based on equivalent factors optimization for plug-in hybrid electric vehicle. Appl. Energy 2017, 203, 883–896. [Google Scholar] [CrossRef]
  65. Onori, S.; Tribioli, L. Adaptive Pontryagin’s minimum principle supervisory controller design for the plug-in hybrid GM chevrolet volt. Appl. Energy 2015, 147, 224–234. [Google Scholar] [CrossRef]
  66. Xu, L.; Li, J.; Ouyang, M.; Hua, J.; Li, X. Active fault tolerance control system of fuel cell hybrid city bus. Int. J. Hydrog. Energy 2010, 35, 12510. [Google Scholar] [CrossRef]
  67. Li, J.; Zhou, T. Active fault-tolerant coordination energy management for a proton exchange membrane fuel cell using curriculum-based multiagent deep meta-reinforcement learning. Renew. Sustain. Energy Rev. 2023, 185, 1–16. [Google Scholar] [CrossRef]
  68. Jiang, J.; Yu, X. Fault-tolerant control systems: A comparative study between active and passive approaches. Annu. Rev. Control. 2012, 36, 60–72. [Google Scholar] [CrossRef]
  69. Zhong, Z.; Huo, H.; Zhu, X.; Cao, G.; Ren, Y. Adaptive maximum power point tracking control of fuel cell power plants. J. Power Sources 2008, 176, 259–269. [Google Scholar] [CrossRef]
  70. Aubry, J.; Steiner, N.Y.; Morando, S.; Zerhouni, N.; Hissel, D. Fault tolerant control of a Proton Exchange Membrane Fuel Cell based on a Modified Failure Mode and Effect Analysis. In Proceedings of the 2020 IEEE Vehicle Power and Propulsion Conference (VPPC), Gijon, Spain, 18 February 2021; pp. 1–5. [Google Scholar]
  71. Dijoux, E.; Benne, M.; Péra, M.-C.; Grondin-Perez, B. Experimental Validation of an Active Fault Tolerant Control Strategy Applied to a Proton Exchange Membrane Fuel Cell. Electrochem 2022, 3, 633–652. [Google Scholar] [CrossRef]
  72. Wang, Z.; Guo, X.; Dong, Z.; Fan, N.; Cao, S. Fixed time adaptive fault tolerant sliding mode control of PEMFC air supply system. Int. J. Hydrogen Energy 2024, 55, 1434–1444. [Google Scholar] [CrossRef]
  73. Yang, D.; Wang, Y.; Chen, Z. Robust fault diagnosis and fault tolerant control for PEMFC system based on an augmented LPV observer. Int. J. Hydrogen Energy 2020, 45, 13508–13522. [Google Scholar] [CrossRef]
  74. Rout, S.; Das, S. Online State-of-Charge Estimation of Lithium-Ion Battery using a Fault Tolerant and Noise Immune Threefold Modified Adaptive Extended Kalman Filter. IEEE Trans. Transp. Electrif. 2024, 1. [Google Scholar] [CrossRef]
  75. Jin, H.; Zhang, Z.; Wang, Y.; Zuo, Z. Event-Triggered Sensor Fault Estimation for Lithium-Ion Battery Packs. IEEE Trans. Circuits Syst. II Express Briefs 2024, 71, 3101–3105. [Google Scholar] [CrossRef]
  76. Lebreton, C.; Benne, M.; Damour, C.; Yousfi-Steiner, N.; Grondin-Perez, B.; Hissel, D.; Chabriat, J.-P. Fault Tolerant Control Strategy applied to PEMFC water management. Int. J. Hydrogen Energy 2015, 40, 10636–10646. [Google Scholar] [CrossRef]
  77. Pei, P.; Chen, H. Main factors affecting the lifetime of proton exchange membrane fuel cells in vehicle applications: A review. Appl. Energy 2014, 125, 60–75. [Google Scholar] [CrossRef]
  78. Robin, C.; Gérard, M.; Quinaud, M.; d’Arbigny, J.; Bultel, Y. Proton exchange membrane fuel cell model for aging predictions: Simulated equivalent active surface area loss and comparisons with durability tests. J. Power Sources 2016, 326, 417–427. [Google Scholar] [CrossRef]
  79. Song, K.; Chen, H.; Wen, P.; Zhang, T.; Zhang, B.; Zhang, T. A comprehensive evaluation framework to evaluate energy management strategies of fuel cell electric vehicles. Electrochim. Acta 2018, 292, 960–973. [Google Scholar] [CrossRef]
  80. Wang, T.; Li, Q.; Wang, X.; Chen, W.; Breaz, E.; Gao, F. A power allocation method for multistack PEMFC system considering fuel cell performance consistency. IEEE Trans. Ind. Appl. 2020, 56, 5340–5351. [Google Scholar] [CrossRef]
  81. Zhang, R.; Tao, J. GA-based fuzzy energy management system for FC/SC-powered HEV considering H2 consumption and load variation. IEEE Trans. Fuzzy Syst. 2018, 26, 1833–1843. [Google Scholar] [CrossRef]
  82. Florescu, A.; Bacha, S.; Munteanu, I.; Bratcu, A.L.; Rumeau, A. Adaptive frequency-separation-based energy management system for electric vehicles. J. Power Sources 2015, 280, 410–421. [Google Scholar] [CrossRef]
  83. Behling, N.; Williams, M.C.; Managi, S. Fuel cells and the hydrogen revolution: Analysis of a strategic plan in Japan. Econ. Anal. Policy 2015, 48, 204–221. [Google Scholar] [CrossRef]
  84. Zhang, K.; Jiang, B.; Cocquempot, V. Adaptive observer-based fast fault estimation. Int. J. Control. 2008, 6, 320–326. [Google Scholar]
  85. Cai, C.H.; Du, D.; Liu, Z.Y. Battery state-of-charge (SOC) estimation using adaptive neuro-fuzzy inference system (ANFIS). In Proceedings of the 12th IEEE International Conference on Fuzzy Systems, FUZZ ’03, St. Louis, MO, USA, 25–28 May 2003; pp. 1068–1073. [Google Scholar]
  86. Lin, X.; Sun, D.; Qin, D.; Yin, Y. Development of Power-balancing Global Optimization Control Strategy for a Series-Parallel Hybrid Electric City Bus. China Mech. Eng. 2011, 22, 2259–2263. [Google Scholar]
  87. Zhou, H.; Yu, Z.; Wu, X.; Fan, Z.; Yin, X.; Zhou, L. Dynamic programming improved online fuzzy power distribution in a demonstration fuel cell hybrid bus. Energy 2023, 284, 128549. [Google Scholar] [CrossRef]
  88. Xie, C.; Ogden, J.; Quan, S.; Chen, Q. Optimal power management for fuel cell-battery full hybrid powertrain on a test station. Int. J. Electr. Power Energy Syst. 2013, 53, 307–320. [Google Scholar] [CrossRef]
  89. Lin, W.-M.; Tu, C.-S.; Tsai, M.-T. Energy Management Strategy for Microgrids by Using Enhanced Bee Colony Optimization. Energies 2016, 9, 5. [Google Scholar] [CrossRef]
  90. Ramya, A.; Imtiaz, A.; Balaji, M. Hybrid self tuned fuzzy PID controller for speed control of brushless DC motor. Automatika 2016, 57, 672–679. [Google Scholar] [CrossRef]
  91. Shi, D.; Liu, S.; Cai, Y.; Wang, S.; Li, H.; Chen, L. Pontryagin’s minimum principle based fuzzy adaptive energy management for hybrid electric vehicle using real-time traffic information. Appl. Energy 2021, 286, 116467. [Google Scholar] [CrossRef]
Figure 1. The main aims that can be considered for developing an EMS.
Figure 1. The main aims that can be considered for developing an EMS.
Energies 17 04686 g001
Figure 2. Structure of the bus powertrain.
Figure 2. Structure of the bus powertrain.
Energies 17 04686 g002
Figure 3. Electrical model of the battery.
Figure 3. Electrical model of the battery.
Energies 17 04686 g003
Figure 4. The studied FCHEV modeled using TruckMaker software.
Figure 4. The studied FCHEV modeled using TruckMaker software.
Energies 17 04686 g004
Figure 5. The proposed overall control strategy.
Figure 5. The proposed overall control strategy.
Energies 17 04686 g005
Figure 6. Schematic of the proposed FFTC.
Figure 6. Schematic of the proposed FFTC.
Energies 17 04686 g006
Figure 7. Block diagram for SOC prediction by adaptive fuzzy observer strategy.
Figure 7. Block diagram for SOC prediction by adaptive fuzzy observer strategy.
Energies 17 04686 g007
Figure 8. Block diagram for SOC prediction using ANFIS strategy.
Figure 8. Block diagram for SOC prediction using ANFIS strategy.
Energies 17 04686 g008
Figure 9. SOC prediction using ANFIS technique.
Figure 9. SOC prediction using ANFIS technique.
Energies 17 04686 g009
Figure 10. Flowchart of DP algorithm.
Figure 10. Flowchart of DP algorithm.
Energies 17 04686 g010
Figure 11. Algorithm of the rule-based EMS.
Figure 11. Algorithm of the rule-based EMS.
Energies 17 04686 g011
Figure 12. Speed profile of the UDDS standard velocity profile.
Figure 12. Speed profile of the UDDS standard velocity profile.
Energies 17 04686 g012
Figure 13. Power demand profile.
Figure 13. Power demand profile.
Energies 17 04686 g013
Figure 14. Estimation of the SOC according to the proposed DP strategy with and without FTC.
Figure 14. Estimation of the SOC according to the proposed DP strategy with and without FTC.
Energies 17 04686 g014
Figure 15. Evolution of H 2 consumption according to the proposed DP strategy with and without FTC.
Figure 15. Evolution of H 2 consumption according to the proposed DP strategy with and without FTC.
Energies 17 04686 g015
Figure 16. Evolution of SOC according to the proposed strategies.
Figure 16. Evolution of SOC according to the proposed strategies.
Energies 17 04686 g016
Figure 17. Evolution of H 2 consumption according to the proposed strategies.
Figure 17. Evolution of H 2 consumption according to the proposed strategies.
Energies 17 04686 g017
Table 1. Overall performance obtained from simulations with the driving profile.
Table 1. Overall performance obtained from simulations with the driving profile.
DP StrategySOC [%] H 2 Consumption [g]
Without FTC69.265490.000
With FTC67.991284.3681
Table 2. Comparison of different energy management strategies.
Table 2. Comparison of different energy management strategies.
EMS StrategySOC [%] H 2 Consumption [g]Economy (Relative to FLS) %
FLS66.873191.9412-
ECMS67.952885.96186.5035
PMP67.931183.79938.8556
DP67.991282.93039.8007
Disclaimer/Publisher’s Note: The statements, opinions and data contained in all publications are solely those of the individual author(s) and contributor(s) and not of MDPI and/or the editor(s). MDPI and/or the editor(s) disclaim responsibility for any injury to people or property resulting from any ideas, methods, instructions or products referred to in the content.

Share and Cite

MDPI and ACS Style

Ji, C.; Kamal, E.; Ghorbani, R. Reliable Energy Optimization Strategy for Fuel Cell Hybrid Electric Vehicles Considering Fuel Cell and Battery Health. Energies 2024, 17, 4686. https://doi.org/10.3390/en17184686

AMA Style

Ji C, Kamal E, Ghorbani R. Reliable Energy Optimization Strategy for Fuel Cell Hybrid Electric Vehicles Considering Fuel Cell and Battery Health. Energies. 2024; 17(18):4686. https://doi.org/10.3390/en17184686

Chicago/Turabian Style

Ji, Cong, Elkhatib Kamal, and Reza Ghorbani. 2024. "Reliable Energy Optimization Strategy for Fuel Cell Hybrid Electric Vehicles Considering Fuel Cell and Battery Health" Energies 17, no. 18: 4686. https://doi.org/10.3390/en17184686

APA Style

Ji, C., Kamal, E., & Ghorbani, R. (2024). Reliable Energy Optimization Strategy for Fuel Cell Hybrid Electric Vehicles Considering Fuel Cell and Battery Health. Energies, 17(18), 4686. https://doi.org/10.3390/en17184686

Note that from the first issue of 2016, this journal uses article numbers instead of page numbers. See further details here.

Article Metrics

Back to TopTop