Matching Characteristics of Refrigerant and Operating Parameters in Large Temperature Variation Heat Pump
Abstract
1. Introduction
2. Mathematical and Physical Models
2.1. High-Temperature Heat Pump Cycle
2.2. Mathematical and Physical Models
2.2.1. Critical Equipment
- (1)
- Compressor
- (2)
- Throttle valve
- (3)
- Evaporator
- (4)
- Condenser
2.2.2. Comprehensive Evaluation Indicators of LTVHP
2.3. Computational Simulation
2.3.1. Computational Process
- (1)
- Two mass flow controllers are configured for the fluids of the heat source and heat sink to maintain a constant outlet temperature.
- (2)
- Based on the heat demand of users and the energy quality of the heat source (including the type of heat source, as well as thermodynamic parameters of the fluid like mass flow rate, temperature, and pressure), the temperature of the refrigerant at the evaporator inlet/outlet and condenser outlet is determined.
- (3)
- Taking into account the superheat of the refrigerant at the evaporator outlet and the subcooling at the condenser outlet, the evaporation and condensation pressures are established.
- (4)
- The thermodynamic parameters of the heat pump are calculated in a coupled manner, after setting the isentropic efficiency of the compressor and the pressure drop across the heat exchangers.
- (5)
- It is assessed whether the thermodynamic parameters satisfy the following conditions: the refrigerant at both the evaporator outlet and compressor outlet should be in a superheated state (with a vapor quality of refrigerant equal to 1).
- (6)
- If the conditions mentioned in Step 5 are not met, the pressure of the refrigerant at the evaporator inlet is reduced, and the entire thermodynamic system is recalculated.
- (7)
- Finally, the thermodynamic parameters at the inlet and outlet of each component are output, and the internal change patterns are analyzed as the system undergoes disturbances.
2.3.2. Boundary Conditions and Assumptions
- (1)
- The fixed isentropic efficiency of the compressor is fixed at 0.85, while the mechanical efficiency is assigned at 0.93.
- (2)
- A temperature decrement of 20 °C is imposed on the heat source, aimed at maximizing the utilization of waste heat.
- (3)
- The evaporator’s lower-end temperature difference is set at 3 °C, and its upper-end temperature difference is determined to be 5 °C. This is achieved by adjusting the mass flow rate of the heat source fluid.
- (4)
- A lower-end temperature difference of 5 °C is assigned to the condenser.
- (5)
- The temperature increase of the heat sink is adjusted to 20 °C, matching the temperature variation of the heat source.
- (6)
- The pressure drops of the refrigerant flowing through the evaporator and condenser are specified as 0.05 bar and 0.2 bar, respectively.
- (7)
- It is assumed that the binary refrigerant is uniformly mixed.
- (8)
- Heat dissipation from both the evaporator and condenser to the surrounding environment is disregarded.
- (9)
- The evaluation of the heat pump cycle’s performance will be based on the constant reference thermodynamic parameters of the refrigerant, specifically 0 °C and 1 bar.
- (10)
- The minimal value for the pinch point is designated to be not less than 0.1 °C.
3. Results and Discussions
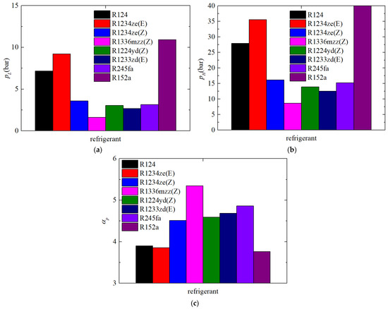
3.1. Thermodynamic Performance of LTVHP with Pure Refrigerant under Fixed Heat Source and Heat Sink
3.2. Thermodynamic Performance of LTVHP Utilizing Pure Refrigerant under Diverse Heat Source and Heat Sink Conditions
3.3. Thermodynamic Performance of Heat Pump with Binary Mixture
4. Conclusions
- (1)
- Multiple pure refrigerants with varying critical temperature levels have been utilized for the construction of LTVHP configurations. Taking into account three distinct thermal evaluation parameters—environmental friendliness, high efficiency, and compactness—different refrigerants can be recommended for use in LTVHP. Refrigerants such as R152a, R1234ze(z), R1233ze(e), and R245fa display relatively high heating capacity per unit mass. Furthermore, LTVHP systems utilizing refrigerants with high or very high critical temperature levels tend to exhibit higher COP.
- (2)
- A condensation temperature that is too close and too far from the critical temperature is not conducive to enhancing the performance of LTVHP. For a specific refrigerant used in LTVHP, optimal operating parameters within its normal operating range exist. Generally, the maximum COP for LTVHP is achieved when the temperature lift (δt) and pressure lift (δp) fall within the ranges of 0.62~0.71 and 0.36~0.5, respectively.
- (3)
- Binary refrigerant mixtures were introduced in a 0.5/0.5 proportion to establish LTVHP configurations. After conducting thorough research, it was discovered that the binary refrigerant mixture of R152a/R1336mzz(z) exhibited optimal performance under the current operating conditions, achieving a COP of 3.54. This represents a significant improvement in thermal performance compared to the use of pure R1336mzz(z) (COP = 2.87) and R152a (COP = 3.01).
- (4)
- The thermodynamic properties of the binary mixture R152a/R1336mzz(z) were calculated as the R1336mzz(z) component varied from 0 to 1.0, and the thermal performance of the corresponding heat pump was investigated. The results indicated that the maximum COP of 3.54 was observed when β was equal to 0.5, where the ratio of the condensing temperature to the critical temperature was 0.72.
Author Contributions
Funding
Data Availability Statement
Conflicts of Interest
Nomenclature
| Abbreviations | |
| LTVHP | large temperature variation heat pump |
| L | low temperature |
| H | high temperature |
| vH | very high temperature |
| M | medium temperature |
| LDT | lower end temperature |
| UDT | upper end temperature |
| PINPMIN | minimal value for pinch point |
| Symbols | |
| COP | coefficient of performance |
| cp | specific heat at constant pressure, kJ/(kg·°C) |
| h | enthalpy, kJ/kg |
| m | mass flow rate, kg/s |
| p | pressure, Pa |
| Q | heat transfer capacity, kW |
| s | entropy, kJ/kg |
| t | temperature, °C |
| W | electric energy, kW |
| V | volumetric flow rate, m3/s |
| Greek symbols | |
| αp | pressure ratio |
| η | efficiency, % |
| δ | thermodynamic parameter of optimal configuration deviating from the critical point |
| ε | ratio of boiling point temperatures at 1 bar pressure to critical temperature |
| β | the proportion of R1336mzz(z) component in R152a/R1336mzz(z) binary refrigerant |
| Subscripts | |
| bub | bubble point |
| com | compressor |
| crit | critical |
| dew | dewing point |
| i | inlet |
| ise | isentropic |
| m | unit mass |
| mech | mechanics |
| o | outlet |
| sat | saturated |
| V | unit volume |
| w | water |
| con | condensation |
| t | temperature |
| p | pressure |
References
- Yolcan, O.O. World energy outlook and state of renewable energy: 10-Year evaluation. Innov. Green Dev. 2023, 2, 100070. [Google Scholar] [CrossRef]
- Liu, Z.; Zhu, H.; Wilson, J.; Adams, M.; Walker, T.R.; Xu, Y.; Tang, Y.; Wang, Z.; Liu, T.; Chen, Q. Achieving China’s ‘double carbon goals’, an analysis of the potential and cost of carbon capture in the resource-based area: Northwestern China. Energy 2024, 292, 130441. [Google Scholar] [CrossRef]
- Siddik, M.; Islam, M.; Zaman, A.K.M.; Hasan, M. Current status and correlation of fossil fuels consumption and greenhouse gas emissions. Int. J. Energy Environ. Econ. 2021, 28, 103–119. [Google Scholar]
- Chen, J.M. Carbon neutrality: Toward a sustainable future. Innovation 2021, 2, 100127. [Google Scholar] [CrossRef] [PubMed]
- Brückner, S.; Liu, S.; Miro, L.; Radspieler, M.; Cabeza, L.F.; Lavemann, E. Industrial waste heat recovery technologies: An economic analysis of heat transformation technologies. Appl. Energy 2015, 151, 157–167. [Google Scholar] [CrossRef]
- Sulaiman, A.Y.; Cotter, D.; Wilson, C.; Kamkari, B.; Hewitt, N. Energetic and exergo-environmental analysis of transcritical high-temperature heat pumps with low GWP refrigerants for industrial waste heat recovery. Int. J. Refrig. 2023, 156, 12–28. [Google Scholar] [CrossRef]
- Vieren, E.; Demeester, T.; Beyne, W.; Magni, C.; Abedini, H.; Arpagaus, C.; Bertsch, S.; Arteconi, A.; De Paepe, M.; Lecompte, S. The Potential of Vapor Compression Heat Pumps Supplying Process Heat between 100 and 200 °C in the Chemical Industry. Energies 2023, 16, 6473. [Google Scholar] [CrossRef]
- Kosmadakis, G. Estimating the potential of industrial (high-temperature) heat pumps for exploiting waste heat in EU industries. Appl. Therm. Eng. 2019, 156, 287–298. [Google Scholar] [CrossRef]
- Arpagaus, C.; Bless, F.; Uhlmann, M.; Schiffmann, J.; Bertsch, S. High temperature heat pumps: Market overview, state of the art, research status, refrigerants, and application potentials. Energy 2018, 152, 985–1010. [Google Scholar] [CrossRef]
- Jiang, J.; Hu, B.; Wang, R.Z.; Deng, N.; Cao, F.; Wang, C.C. A review and perspective on industry high-temperature heat pumps. Renew. Sustain. Energy Rev. 2022, 161, 112106. [Google Scholar] [CrossRef]
- El Samad, T.; Żabnieńska-Góra, A.; Jouhara, H.; Sayma, A.I. A review of compressors for high temperature heat pumps. Therm. Sci. Eng. Prog. 2024, 51, 102603. [Google Scholar] [CrossRef]
- Vieren, E.; Demeester, T.; Beyne, W.; Andersen, M.P.; Elmegaard, B.; Arteconi, A.; Paepe, M.; Lecompe, S. Selection of pure and binary working fluids for high-temperature heat pumps: A financial approach. Appl. Therm. Eng. 2024, 252, 123615. [Google Scholar] [CrossRef]
- Hu, H.; Wang, T.; Jiang, Y.; Bi, C.; Zhang, B.; Fan, S.; Li, J.; An, S.; Bai, X.; Guo, C. Thermodynamic performance of heat pump with R1234ze(E)/R1336mzz(E) binary refrigerant. Appl. Therm. Eng. 2023, 230, 120795. [Google Scholar] [CrossRef]
- Mulroy, W.J.; Domanski, P.A.; Didion, D.A. Glide matching with binary and ternary zeotropic refrigerant mixtures Part 1. An experimental study. Int. J. Refrig. 1994, 17, 220–225. [Google Scholar] [CrossRef]
- Domanski, P.A.; Mulroy, W.J.; Didion, D.A. Glide matching with binary and ternary zeotropic refrigerant mixtures Part 2. A computer simulation. Int. J. Refrig. 1994, 17, 226–230. [Google Scholar] [CrossRef]
- Hamid, K.; Sajjad, U.; Ahrens, M.U.; Ren, S.; Ganesan, P.; Tolstorebrov, I.; Arshad, A.; Said, Z.; Hafner, A.; Wang, C.; et al. Potential evaluation of integrated high temperature heat pumps: A review of recent advances. Appl. Therm. Eng. 2023, 230, 120720. [Google Scholar] [CrossRef]
- Cop, M.; Barta, R.B.; Thomas, C.; Hesse, U. Experimental investigation of a heat pump tumble dryer with a zeotropic refrigerant mixture. Int. J. Refrig. 2024, 158, 190–201. [Google Scholar] [CrossRef]
- Ganesan, P.; Eikevik, T.M.; Hamid, K.; Wang, R.; Yan, H. Thermodynamic analysis of cascade high-temperature heat pump using new natural zeotropic refrigerant mixtures: R744/R600 and R744/R601. Int. J. Refrig. 2023, 154, 215–230. [Google Scholar] [CrossRef]
- Gómez-Hernández, J.; Grimes, R.; Briongos, J.V.; Marugán-Cruz, C.; Santana, D. Carbon dioxide and acetone mixtures as refrigerants for industry heat pumps to supply temperature in the range 150–220 °C. Energy 2023, 269, 126821. [Google Scholar] [CrossRef]
- Hakkaki-Fard, A.; Aidoun, Z.; Ouzzane, M. Improving cold climate air-source heat pump performance with refrigerant mixtures. Appl. Therm. Eng. 2015, 78, 695–703. [Google Scholar] [CrossRef]
- Zhang, S.; Wang, H.; Guo, T. Experimental investigation of moderately high temperature water source heat pump with non-azeotropic refrigerant mixtures. Appl. Energy 2010, 87, 1554–1561. [Google Scholar] [CrossRef]
- Zühlsdorf, B.; Bühler, F.; Mancini, R.; Cignitti, S.; Elmegaard, B. High temperature heat pump integration using zeotropic working fluids for spray drying facilities. In Proceedings of the Rotterdam: 12th IEA Heat Pump Conference, Rotterdam, The Netherlands, 15–18 May 2017. [Google Scholar]
- Bamigbetan, O.; Eikevik, T.; Neksa, P.; Bantle, M. Evaluation of natural working fluids for the development of high temperature heat pumps. In Proceedings of the 12th Iir Gustav Lorentzen Natural Working Fluids Conference, Edinburgh, UK, 21–24 August 2016; pp. 575–582. [Google Scholar]
- Park, K.J.; Seo, T.; Jung, D. Performance of alternative refrigerants for residential air-conditioning applications. Appl. Energy 2007, 84, 985–991. [Google Scholar] [CrossRef]
- Rashidi, M.M.; Mahariq, I.; Nazari, M.; Accouche, O.; Bhatti, M. Comprehensive review on exergy analysis of shell and tube heat exchangers. J. Therm. Anal. Calorim. 2022, 147, 12301–12311. [Google Scholar] [CrossRef]
- Quenel, J.; Anders, M.; Atakan, B. Propane-isobutane mixtures in heat pumps with higher temperature lift: An experimental investigation. Therm. Sci. Eng. Prog. 2023, 42, 101907. [Google Scholar] [CrossRef]
- Yelishala, S.C.; Kannaiyan, K.; Sadr, R.; Wang, Z.; Levendis, Y.A.; Metghalchi, H. Performance maximization by temperature glide matching in energy exchangers of cooling systems operating with natural hydrocarbon/CO2 refrigerants. Int. J. Refrig. 2020, 119, 294–304. [Google Scholar] [CrossRef]
- Zühlsdorf, B.; Jensen, J.; Cignitti, S.; Madsen, C.; Elmegaard, B. Analysis of temperature glide matching of heat pumps with zeotropic working fluid mixtures for different temperature glides. Energy 2018, 153, 650–660. [Google Scholar] [CrossRef]
- Abedini, H.; Vieren, E.; Demeester, T.; Beyne, W.; Lecompte, S.; Quoilin, S.A. comprehensive analysis of binary mixtures as working fluid in high temperature heat pumps. Energy Convers. Manag. 2023, 277, 116652. [Google Scholar] [CrossRef]
- Venkatarathnam, G.; Murthy, S. Effect of mixture composition on the formation of pinch points in condensers and evaporators for zeotropic refrigerant mixtures. Int. J. Refrig. 1999, 22, 205–215. [Google Scholar] [CrossRef]
- Cheng, Z.; Wang, B.; Shi, W.; Li, X. Numerical research on R32/R1234ze(E) air source heat pump under variable mass concentration. Int. J. Refrig. 2017, 82, 1–10. [Google Scholar] [CrossRef]
- d’Angelo, J.V.H.; Aute, V.; Radermacher, R. Performance evaluation of a vapor injection refrigeration system using mixture refrigerant R290/R600a. Int. J. Refrig. 2016, 65, 194–208. [Google Scholar] [CrossRef]
- Guo, H.; Gong, M.; Qin, X. Performance analysis of a modified subcritical zeotropic mixture recuperative high-temperature heat pump. Appl. Energy 2019, 237, 338–352. [Google Scholar] [CrossRef]
- Tanaka, K.; Higashii, Y.; Akasaka, R. Thermodynamic property modeling of HFO-1234ze (E)+ HFC-32 mixtures for evaluating cycle performance. In Proceedings of the 23rd IIR International Congress of Refrigeration, Prague, Czech Republic, 21–26 August 2011. [Google Scholar]
- Thu, K.; Takezato, K.; Takata, N.; Miyazaki, T.; Higashi, Y. Drop-in experiments and exergy assessment of HFC-32/HFO-1234yf/R744 mixture with GWP below 150 for domestic heat pumps. Int. J. Refrig. 2021, 121, 289–301. [Google Scholar] [CrossRef]
- Fleckl, T.; Hartl, M.; Helminger, F.; Kontomaris, K. Performance Testing of a Lab-Scale High Temperature Heat Pump with HFO-1336mzz-z as the Working Fluid; European Heat Pump Summit: Nuremberg, German, 2015. [Google Scholar]
- Bobelin, D.; Bourig, A.; Peureux, J.L. Experimental results of a newly developed very high temperature industrial heat pump (140 °C) equipped with scroll compressors and working with a new blend refrigerant. In Proceedings of the International Refrigeration and Air Conditioning Conference, West Lafayette, IN, USA, 16–19 July 2012. [Google Scholar]
- Fukuda, S.; Kondou, C.; Takata, N.; Koyama, S. Low GWP refrigerants R1234ze(E) and R1234ze(Z) for high temperature heat pumps. Int. J. Refrig. 2014, 40, 161–173. [Google Scholar] [CrossRef]
- Verdnik, M.; Rieberer, R. Influence of operating parameters on the COP of an R600 high-temperature heat pump. Int. J. Refrig. 2022, 140, 103–111. [Google Scholar] [CrossRef]
- Hu, H.; Jiang, Y.; Guo, C.; Liang, S. Thermodynamic and exergy analysis of a S-CO2 Brayton cycle with various of cooling modes. Energy Convers. Manag. 2020, 220, 113110. [Google Scholar] [CrossRef]
- Sun, S.; Guo, H.; Gong, M. Thermodynamic analysis of single-stage compression air-source heat pumps with different recuperation ways for large temperature lift. Int. J. Refrig. 2019, 108, 91–102. [Google Scholar] [CrossRef]
- Chen, J.; Chen, Q.; Qin, X.; Wang, D. Energy, exergy, economic and environmental analyses and optimization of a novel vapor injection autocascade heat pump for high-temperature water heating. Energy Convers. Manag. 2022, 267, 115909. [Google Scholar] [CrossRef]
- Hu, H.; Li, Z.; Jiang, Y.; Du, X. Thermodynamic characteristics of thermal power plant with hybrid (dry/wet) cooling system. Energy 2018, 147, 729–741. [Google Scholar] [CrossRef]
- Zhu, Y.; Zhai, R.; Qi, J.; Yang, Y.; Reyes-Belmonte, M.A.; Romero, M.; Yan, Q. Annual performance of solar tower aided coal-fired power generation system. Energy 2017, 119, 662–674. [Google Scholar] [CrossRef]
- Vandersickel, A.; Wedel, W.G.; Spliethoff, H. High temperature heat and water recovery in steam injected gas turbines using an open absorption heat pump. Appl. Therm. Eng. 2020, 165, 114663. [Google Scholar] [CrossRef]
- Li, P.; Nord, N.; Ertesvåg, I.S.; Ge, Z.; Yang, Z.; Yang, Y. Integrated multiscale simulation of combined heat and power based district heating system. Energy Convers. Manag. 2015, 106, 337–354. [Google Scholar] [CrossRef]
- Zhao, S.; Ge, Z.; He, J.; Wang, C.; Yang, Y.; Li, P. A novel mechanism for exhaust steam waste heat recovery in combined heat and power unit. Appl. Energy 2017, 204, 596–606. [Google Scholar] [CrossRef]
- Hu, H.; Wang, T.; Ren, Y.; Zhang, F.; Zhang, B.; Li, J. A case study of thermal performance of gas-steam combined cycle with gas turbine inlet air cooling and condenser deep cooling. Case Stud. Therm. Eng. 2024, 60, 104747. [Google Scholar] [CrossRef]














| Type | Refrigerant | ODP | GWP | SG |
|---|---|---|---|---|
| HCFC | R124 | 0.03 | 527 | A1 |
| HFO | R1234ze(e) | 0 | <1 | A2L |
| R1234ze(z) | 0 | <1 | A2L | |
| R1336mzz(z) | 0 | 2 | A1 | |
| HCFO | R1224yd(z) | 0.00012 | <1 | A1 |
| R1233zd(e) | 0.00034 | 1 | A1 | |
| HFC | R245fa | 0 | 858 | B1 |
| R152a | 0 | 138 | A2 |
| Refrigerant | tcrit/°C | tcrit Rating | pcrit/Bar | tbub,1bar | ε |
|---|---|---|---|---|---|
| R124 | 122.28 | M | 36.24 | 12.28 | 0.66 |
| R1234ze(e) | 109.4 | L | 36.35 | −19.27 | 0.67 |
| R1234ze(z) | 150.12 | H | 35.31 | 9.39 | 0.67 |
| R1336mzz(z) | 171.35 | vH | 29.03 | 33.09 | 0.69 |
| R1224yd(z) | 155.54 | H | 33.37 | 14.28 | 0.67 |
| R1233zd(e) | 166.5 | vH | 36.2 | 17.92 | 0.66 |
| R245fa | 153.86 | H | 36.51 | 14.72 | 0.67 |
| R152a | 113.26 | M | 45.17 | 24.32 | 0.64 |
| Refrigerant | tcrit/°C | teva/°C | tcon/°C | pcrit/bar | pcon/°C | δp | tcom,o/°C | δt |
|---|---|---|---|---|---|---|---|---|
| R124 | 122.275 | 17 | 78 | 36.243 | 15.093 | 0.42 | 97.864 | 0.64 |
| R1234ze(e) | 109.4 | 7 | 68 | 36.35 | 15.393 | 0.42 | 89.879 | 0.62 |
| R1234ze(z) | 150.12 | 47 | 108 | 35.306 | 15.961 | 0.45 | 128.611 | 0.72 |
| R1336mzz(z) | 171.35 | 57 | 118 | 29.03 | 10.546 | 0.36 | 122.619 | 0.69 |
| R1224yd(z) | 155.54 | 47 | 108 | 33.37 | 13.747 | 0.41 | 120.359 | 0.69 |
| R1233zd(e) | 166.5 | 57 | 118 | 36.2 | 15.141 | 0.42 | 132.995 | 0.71 |
| R245fa | 153.86 | 47 | 108 | 36.51 | 18.54 | 0.51 | 130.176 | 0.70 |
| R152a | 113.261 | 17 | 78 | 45.168 | 22.452 | 0.50 | 119.319 | 0.69 |
| Refrigerant | tcrit/°C | pcrit/Bar | tbub,2.3bar/°C | tdew,2.3bar/°C | COP |
|---|---|---|---|---|---|
| R227ea/R1336mzz(z) | 143.23 | 33.21 | 20.31 | 40.79 | 3.18 |
| R134a/R1336mzz(z) | 134.02 | 41.37 | 3.91 | 31.95 | 3.33 |
| R152a/R1336mzz(z) | 132.47 | 43.10 | 3.46 | 26.15 | 3.54 |
| 1234ze(e)/R1336mzz(z) | 138.98 | 37.29 | 12.7 | 34.75 | 3.35 |
Disclaimer/Publisher’s Note: The statements, opinions and data contained in all publications are solely those of the individual author(s) and contributor(s) and not of MDPI and/or the editor(s). MDPI and/or the editor(s) disclaim responsibility for any injury to people or property resulting from any ideas, methods, instructions or products referred to in the content. |
© 2024 by the authors. Licensee MDPI, Basel, Switzerland. This article is an open access article distributed under the terms and conditions of the Creative Commons Attribution (CC BY) license (https://creativecommons.org/licenses/by/4.0/).
Share and Cite
Hu, H.; Wang, T.; Zhang, F.; Zhang, B.; Qi, J. Matching Characteristics of Refrigerant and Operating Parameters in Large Temperature Variation Heat Pump. Energies 2024, 17, 3477. https://doi.org/10.3390/en17143477
Hu H, Wang T, Zhang F, Zhang B, Qi J. Matching Characteristics of Refrigerant and Operating Parameters in Large Temperature Variation Heat Pump. Energies. 2024; 17(14):3477. https://doi.org/10.3390/en17143477
Chicago/Turabian StyleHu, Hemin, Tao Wang, Fan Zhang, Bing Zhang, and Jian Qi. 2024. "Matching Characteristics of Refrigerant and Operating Parameters in Large Temperature Variation Heat Pump" Energies 17, no. 14: 3477. https://doi.org/10.3390/en17143477
APA StyleHu, H., Wang, T., Zhang, F., Zhang, B., & Qi, J. (2024). Matching Characteristics of Refrigerant and Operating Parameters in Large Temperature Variation Heat Pump. Energies, 17(14), 3477. https://doi.org/10.3390/en17143477

