Thermo-Oxidative Aging Effect on Charge Transport in Polypropylene/Ultra-High Molecular Weight Polyethylene Nanocomposites
Abstract
:1. Introduction
2. Materials, Sample Preparation, and Aging Procedure
2.1. Materials
2.2. Sample Preparations and Aging Procedure
3. Characterization Techniques
4. Results
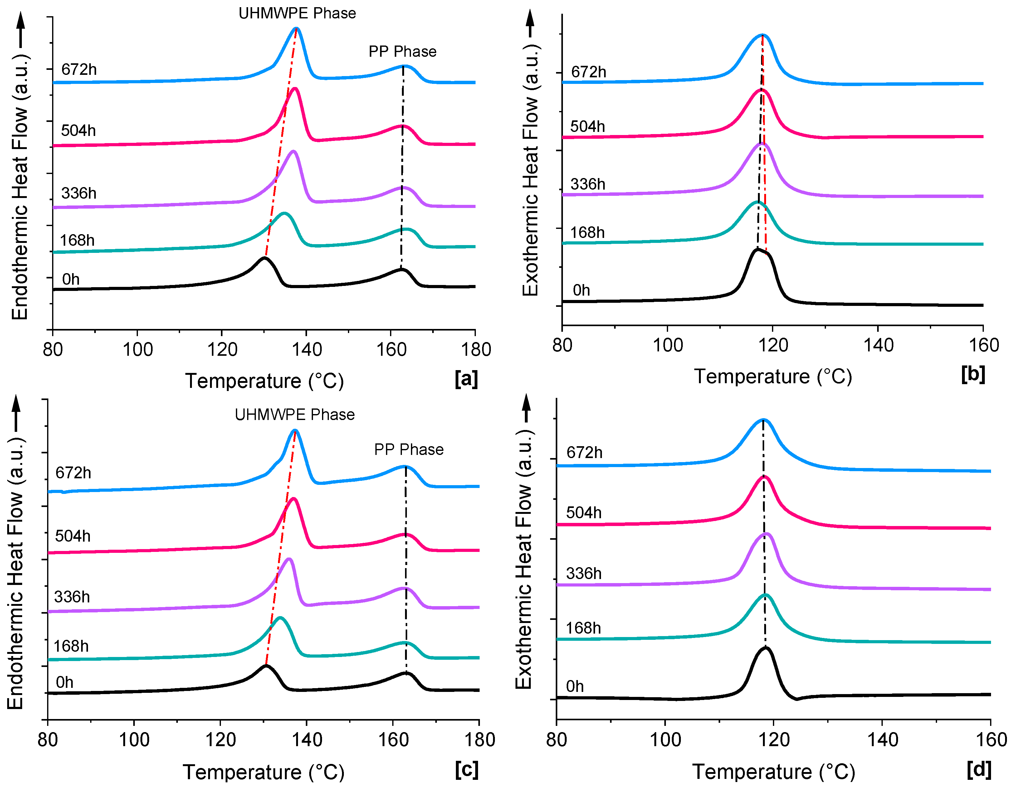
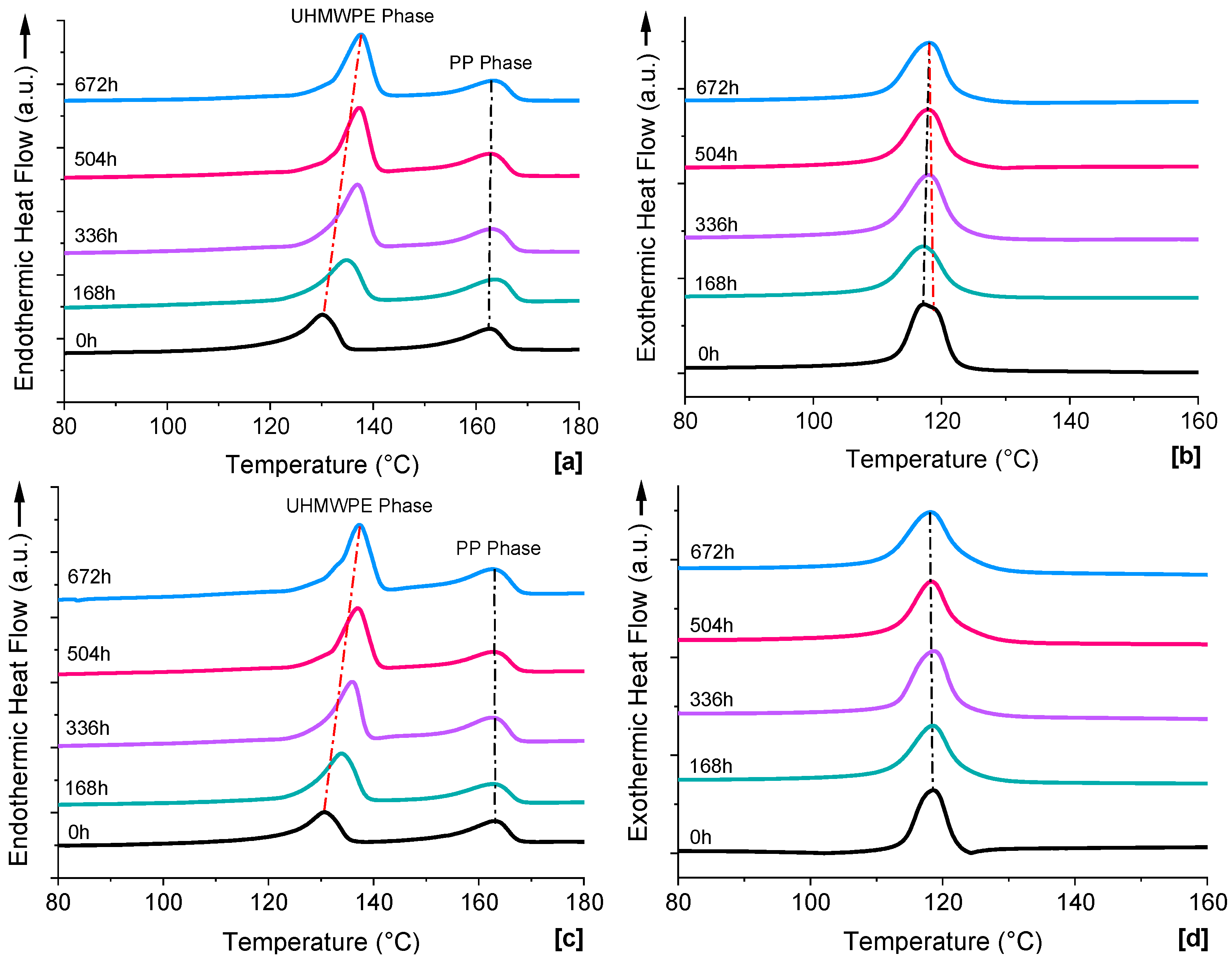
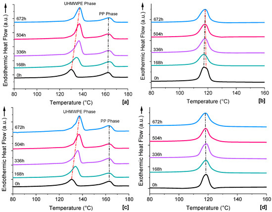
4.1. Thermal and Crystal Evaluations
4.2. Fourier Transform Infrared Spectroscopy
4.3. Space Charge Dynamics
4.4. DC Conductivity
5. Discussion
5.1. Aging, Structural Changes, and Chemical Characteristics
5.2. Aging and Charge Transport
6. Conclusions
Author Contributions
Funding
Data Availability Statement
Conflicts of Interest
References
- Kim, C.; Jin, Z.; Jiang, P.; Zhu, Z.; Wang, G. Investigation of dielectric behavior of thermally aged XLPE cable in the high-frequency range. Polym. Test. 2006, 25, 553–561. [Google Scholar] [CrossRef]
- Li, H.; Li, J.; Ma, Y.; Yan, Q.; Ouyang, B. The role of thermo-oxidative aging at different temperatures on the crystal structure of crosslinked polyethylene. J. Mater. Sci. Mater. Electron. 2017, 29, 3696–3703. [Google Scholar] [CrossRef]
- Liang, B.; Lan, R.; Zang, Q.; Liu, Z.; Tian, L.; Wang, Z.; Li, G. Influence of Thermal Aging on Dielectric Properties of High Voltage Cable Insulation Layer. Coatings 2023, 13, 527. [Google Scholar] [CrossRef]
- Zhou, Y.; Dang, B.; Wang, H.; Liu, J.; Li, Q.; Hu, J.; He, J. Polypropylene-based ternary nanocomposites for recyclable high-voltage direct-current cable insulation. Compos. Sci. Technol. 2018, 165, 168–174. [Google Scholar] [CrossRef]
- Rytoluoto, I.; Ritamaki, M.; Lahti, K.; Pasanen, S.; Pelto, J. Dielectric breakdown properties of mechanically recycled SiO2-BOPP nanocomposites. IEEE Int. Conf. Dielectr. 2016, 1, 288–292. [Google Scholar] [CrossRef]
- Maddah, H.A. Polypropylene as a Promising Plastic: A Review. Am. J. Polym. Sci. 2016, 6, 1–11. [Google Scholar]
- Liu, W.; Cheng, L.; Li, S. Review of electrical properties for polypropylene based nanocomposite. Compos. Commun. 2018, 10, 221–225. [Google Scholar] [CrossRef]
- Lindqvist, K.; Andersson, M.; Boss, A.; Oxfall, H. Thermal and Mechanical Properties of Blends Containing PP and Recycled XLPE Cable Waste. J. Polym. Environ. 2018, 27, 386–394. [Google Scholar] [CrossRef]
- Patti, A.; Acierno, D. Thermal Conductivity of Polypropylene-Based Materials; IntechOpen: London, UK, 2020. [Google Scholar] [CrossRef]
- Andritsch, T.; Ketsamee, P. Dielectric, thermal and mechanical properties of polypropylene/ultra—high molecular weight polyethylene nanocomposites for power cables. CIGRE Int. Symp. 2023; in press. [Google Scholar]
- Paramane, A.; Chen, X.; Dai, C.; Guan, H.; Yu, L.; Tanaka, Y. Electrical insulation performance of cross-linked polyethylene/MgO nanocomposite material for ±320 kV high-voltage direct-current cable. Polym. Compos. 2019, 41, 1936–1949. [Google Scholar] [CrossRef]
- Wang, Y.; Wang, C.; Zhang, Z.; Xiao, K. Anti-thermal aging properties of low-density polyethylene-based nanocomposites. IEEE Trans. Dielectr. Electr. Insul. 2018, 25, 1003–1013. [Google Scholar] [CrossRef]
- Wang, Y.; Wang, C.; Zhang, Z.; Xiao, K. Effect of Nanoparticles on the Morphology, Thermal, and Electrical Properties of Low-Density Polyethylene after Thermal Aging. Nanomaterials 2017, 7, 320. [Google Scholar] [CrossRef]
- Ke, K.; Wang, Y.; Liu, X.-Q.; Cao, J.; Luo, Y.; Yang, W.; Xie, B.-H.; Yang, M.-B. A comparison of melt and solution mixing on the dispersion of carbon nanotubes in a poly(vinylidene fluoride) matrix. Compos. Part B Eng. 2012, 43, 1425–1432. [Google Scholar] [CrossRef]
- Passador, F.; Ruvolo-Filho, A.; Pessan, L. Nanocomposites of Polymer Matrices and Lamellar Clays. In Nanostructures; Elsevier Inc.: Amsterdam, The Netherlands, 2017; pp. 187–207. [Google Scholar] [CrossRef]
- Drakopoulos, S.X.; Psarras, G.C.; Forte, G.; Martin-Fabiani, I.; Ronca, S. Entanglement dynamics in ultra-high molecular weight polyethylene as revealed by dielectric spectroscopy. Polymer 2018, 150, 35–43. [Google Scholar] [CrossRef]
- Berenguer, J.P.; Berman, A.; Quill, T.; Zhou, T.; Kalaitzidou, K.; Cola, B.; Bougher, T.; Smith, M. Incorporation of polyethylene fillers in all-polymer high-thermal-conductivity composites. Polym. Bull. 2020, 78, 3835–3850. [Google Scholar] [CrossRef]
- Guo, Y.; Cao, C.; Cheng, H.; Chen, Q.; Huang, B.; Luo, F.; Qian, Q. Thermal Performances of UHMWPE/BN Composites Obtained from Different Blending Methods. Adv. Polym. Technol. 2019, 2019, 8687450. [Google Scholar] [CrossRef]
- Ketsamee, P.; Andritsch, T.; Vaughan, A. Effect of Surface-Modified TiO2 and MgO Nanoparticles on Dielectric Permittivity and Breakdown Strength of PP Nanocomposites. In Proceedings of the 2021 IEEE Conference on Electrical Insulation and Dielectric Phenomena (CEIDP), Vancouver, BC, Canada, 12–15 December 2021; pp. 1–4. [Google Scholar] [CrossRef]
- Ketsamee, P.; Andritsch, T.; Vaughan, A. The effects of humidity on dielectric permittivity of surface-modified TiO2- and MgO-based polypropylene nanocomposites. IEEE Trans. Dielectr. Electr. Insul. 2023, 30, 82–89. [Google Scholar] [CrossRef]
- Tantipattarakul, S.; Vaughan, A.S.; Andritsch, T. Ageing behaviour of a polyethylene blend: Influence of chemical defects and morphology on charge transport. High Volt. 2020, 5, 270–279. [Google Scholar] [CrossRef]
- IEC/TS 62758; Calibration of Space Charge Measuring Equipment based on the Pulsed Electro-Acoustic (PEA) Measurement Principle. International Electrotechnical Commission: London, UK, 2012.
- ASTM D257-14; Standard Test Methods for DC Resistance or Conductance of Insulating Materials. ASTM International: Conshohocken, PA, USA, 2021.
- Azmi, A.; Lau, K.Y.; Ahmad, N.A.; Abdul-Malek, Z.; Tan, C.W.; Ching, K.Y.; Vaughan, A.S. Dielectric Properties of Thermally Aged Polypropylene Nanocomposites. IEEE Trans. Dielectr. Electr. Insul. 2022, 29, 543–550. [Google Scholar] [CrossRef]
- Hu, S.; Wang, W.; Dang, B.; Zhou, Y.; Yuan, C.; Hu, J.; Li, Q.; He, J. Thermal properties and space charge behavior of thermally aged polypropylene/elastomer blends nanocomposite. IEEE Trans. Dielectr. Electr. Insul. 2020, 27, 521–527. [Google Scholar] [CrossRef]
- Chiu, F.-C.; Chu, P.-H. Characterization of Solution-Mixed Polypropylene/Clay Nanocomposites without Compatibilizers. J. Polym. Res. 2005, 13, 73–78. [Google Scholar] [CrossRef]
- Nishino, T.; Matsumoto, T.; Nakamae, K. Surface structure of isotactic polypropylene by X-ray diffraction. Polym. Eng. Sci. 2000, 40, 336–343. [Google Scholar] [CrossRef]
- Unger, T.; Klocke, L.; Herrington, K.; Miethlinger, J. Investigation of the rheological and mechanical behavior of Polypropylene/ultra-high molecular weight polyethylene compounds related to new online process control. Polym. Test. 2020, 86, 106442. [Google Scholar] [CrossRef]
- Kagenda, C.; Lee, J.W.; Memon, F.H.; Ahmed, F.; Samantasinghar, A.; Akhtar, M.W.; Khalique, A.; Choi, K.H. Silicone Elastomer Composites Fabricated with MgO and MgO-Multi-Wall Carbon Nanotubes with Improved Thermal Conductivity. Nanomaterials 2021, 11, 3418. [Google Scholar] [CrossRef]
- Chen, Q.; Xiang, Z.; Yang, Q.; Kong, M.; Huang, Y.; Liao, X.; Niu, Y.; Zhao, Z. Flow-induced β-crystal of iPP in microinjection molding: Effects of addition of UHMWPE and the processing parameters. J. Polym. Res. 2016, 23, 16. [Google Scholar] [CrossRef]
- Jin, M.; Jin, B.; Xu, X.; Li, X.; Wang, T.; Zhang, J. Effects of ultrahigh molecular weight polyethylene and mould temperature on morphological evolution of isotactic polypropylene at micro-injection moulding condition. Polym. Test. 2015, 46, 41–49. [Google Scholar] [CrossRef]
- Sanaeepur, H.; Ahmadi, R.; Sinaei, M.; Kargari, A. Pebax-modified cellulose acetate membrane for CO2/N2 separation. J. Membr. Sci. Res. 2019, 5, 25–32. [Google Scholar]
- Ding, M.; He, W.; Wang, J.; Wang, J. Performance evaluation of cross-linked polyethylene insulation of operating 110 kV power cables. Polymers 2022, 14, 2282. [Google Scholar] [CrossRef]
- Wenig, W.; Fiedel, H.W.; Scholl, A. Crystallization kinetics of isotactic polypropylene blended with atactic polystyrene. Colloid Polym. Sci. 1990, 268, 528–535. [Google Scholar] [CrossRef]
- Utracki, L.A.; Wilkie, C.A. Crystallization, micro- and nano-structure, and melting behavior of polymer blends. In Polymer Blends Handbook, 2nd ed.; Utracki, L.A., Wilkie, C.A., Eds.; Kluwer Academic Publishers: Dordrecht, The Netherlands, 2014; pp. 291–446. [Google Scholar]
- Zhang, W.; Zou, L. Molecular Dynamics Simulations of Crystal Nucleation near Interfaces in Incompatible Polymer Blends. Polymers 2021, 13, 347. [Google Scholar] [CrossRef] [PubMed]
- He, X.; Rytoluoto, I.; Anyszka, R.; Mahtabani, A.; Saarimaki, E.; Lahti, K.; Paajanen, M.; Dierkes, W.; Blume, A. Silica Surface-Modification for Tailoring the Charge Trapping Properties of PP/POE Based Dielectric Nanocomposites for HVDC Cable Application. IEEE Access 2020, 8, 87719–87734. [Google Scholar] [CrossRef]
- Bond, E.B.; Spruiell, J.E.; Lin, J.S. A WAXD/SAXS/DSC study on the melting behavior of Ziegler-Natta and metallocene catalyzed isotactic polypropylene. J. Polym. Sci. Part B Polym. Phys. 1999, 37, 3050–3064. [Google Scholar] [CrossRef]
- Lee, K.H.; Sinha, T.K.; Choi, K.W.; Oh, J.S. Ultra-high-molecular-weight polyethylene reinforced polypropylene and polyamide composites toward developing low-noise automobile interior. J. Appl. Polym. Sci. 2019, 137, 48720. [Google Scholar] [CrossRef]
- Krache, R.; Benavente, R.; López-Majada, J.M.; Pereña, J.M.; Cerrada, M.L.; Pérez, E. Competition between α, β, and γ polymorphs in a β-nucleated metallocenic isotactic polypropylene. Macromolecules 2007, 40, 6871–6878. [Google Scholar] [CrossRef]
- Boukezzi, L.; Boubakeur, A.; Lallouani, M. Effect of artificial thermal aging on the crystallinity of XLPE insulation cables: X-ray study. In Proceedings of the 2007 Annual Report-Conference on Electrical Insulation and Dielectric Phenomena, Vancouver, BC, Canada, 14–17 October 2007; pp. 65–68. [Google Scholar] [CrossRef]
- Zhang, L.; Wu, W.; Teng, C.; Meng, S. Mechanical properties and space charge behavior of thermally aged polypropylene/elastomer blends. J. Electrost. 2022, 115, 103673. [Google Scholar] [CrossRef]
- Azmi, A.; Lau, K.Y.; Ahmad, N.A.; Abdul-Malek, Z.; Tan, C.W.; Ayop, R. Thermal and Dielectric Properties of Thermally Aged Polypropylene/Calcium Carbonate Nanocomposites. In Proceedings of the 2020 IEEE International Conference on Power and Energy (PECon), Penang, Malaysia, 7–8 December 2020; pp. 255–258. [Google Scholar] [CrossRef]
- Grabmann, M.K.; Wallner, G.M.; Maringer, L.; Buchberger, W.; Nitsche, D. Hot air aging behavior of polypropylene random copolymers. J. Appl. Polym. Sci. 2018, 136, 47350. [Google Scholar] [CrossRef]
- Tsinas, Z.; Orski, S.V.; Bentley, V.R.C.; Lopez, L.G.; Al-Sheikhly, M.; Forster, A.L. Effects of Thermal Aging on Molar Mass of Ultra-High Molar Mass Polyethylene Fibers. Polymers 2022, 14, 1324. [Google Scholar] [CrossRef] [PubMed]
- Liu, G.; Chen, Y.; Li, H. Study on processing of ultrahigh molecular weight polyethylene/polypropylene blends. J. Appl. Polym. Sci. 2004, 94, 977–985. [Google Scholar] [CrossRef]
- Sutar, H.; Sahoo, P.C.; Sahu, P.S.; Sahoo, S.; Murmu, R.; Swain, S.; Mishra, S.C. Mechanical, Thermal and Crystallization Properties of Polypropylene (PP) Reinforced Composites with High Density Polyethylene (HDPE) as Matrix. Mater. Sci. Appl. 2018, 9, 502–515. [Google Scholar] [CrossRef]
- Kandiban, M.; Vigneshwaran, P.; Potheher, V.I. Synthesis and characterization of MgO nanoparticles for photocatalytic applications. In Proceedings of the National Conference on Advances in Crystal Growth and Nanotechnology, Biddeford, ME, USA, 21 October 2015; pp. 1–5. [Google Scholar]
- Salman, K.D.; Abbas, H.H.; Aljawad, H.A. Synthesis and characterization of MgO nanoparticle via microwave and sol-gel methods. J. Phys. Conf. Ser. 2021, 1973, 012104. [Google Scholar] [CrossRef]
- Shibryaeva, L. Thermal Oxidation of Polypropylene and Modified Polypropylene-Structure Effects; IntechOpen: London, UK, 2012; pp. 63–86. [Google Scholar]
- Almond, J.; Sugumaar, P.; Wenzel, M.N.; Hill, G.; Wallis, C. Determination of the carbonyl index of polyethylene and polypropylene using specified area under band methodology with ATR-FTIR spectroscopy. e-Polymers 2020, 20, 369–381. [Google Scholar] [CrossRef]
- Zhou, Y.; Hu, J.; Dang, B.; He, J. Effect of different nanoparticles on tuning electrical properties of polypropylene nanocomposites. IEEE Trans. Dielectr. Electr. Insul. 2017, 24, 1380–1389. [Google Scholar] [CrossRef]
- Zha, J.-W.; Wang, Y.; Wang, S.-J.; Zheng, M.-S.; Bian, X.; Dang, Z.-M. Space charge suppression in environment-friendly PP nanocomposites by employing freeze-dried MgO with foam nanostructure for high-voltage power cable insulation. Appl. Phys. Lett. 2019, 114, 252902. [Google Scholar] [CrossRef]
- Liu, N.; Zhou, C.; Chen, G.; Zhong, L. Determination of threshold electric field for charge injection in polymeric materials. Appl. Phys. Lett. 2015, 106, 192901. [Google Scholar] [CrossRef]
- Guot, T.C.; Guoi, W.W. A transient-state theory of dielectric relaxation and the Curie-von Schweidler law. J. Phys. C Solid State Phys. 1983, 16, 1955. [Google Scholar]
- Pallon, L.K.H.; Hoang, A.T.; Pourrahimi, A.M.; Hedenqvist, M.S.; Nilsson, F.; Gubanski, S.; Gedde, U.W.; Olsson, R.T. The impact of MgO nanoparticle interface in ultra-insulating polyethylene nanocomposites for high voltage DC cables. J. Mater. Chem. A 2016, 4, 8590–8601. [Google Scholar] [CrossRef]
- Khabbaz, F.; Albertsson, A.-C.; Karlsson, S. Chemical and morphological changes of environmentally degradable polyethylene films exposed to thermo-oxidation. Polym. Degrad. Stab. 1999, 63, 127–138. [Google Scholar] [CrossRef]
- Anandakumaran, K.; Stonkus, D.J. Assessment of oxidative thermal degradation of crosslinked polyethylene and ethylene propylene rubber cable insulation. Polym. Eng. Sci. 1992, 32, 1386–1393. [Google Scholar] [CrossRef]
- Ketsamee, P.; Saeedi, I.; Vaughan, A.; Andritsch, T. Dielectric permittivity and breakdown strength of thermally aged polypropylene/ultra–high molecular weight polyethylene nanocomposites. In Proceedings of the IEEE Conference on Electrical Insulation and Dielectric Phenomena, East Rutherford, NJ, USA, 15–19 October 2023. [Google Scholar]
- Liu, J.; Wang, Y.; Xiao, K.; Zhang, Z. Research on the Thermal Aging Behaviors of LDPE/TiO2 Nanocomposites. J. Nanomater. 2017, 2017, 5048382. [Google Scholar] [CrossRef]
- Ketsamee, P.; Andritsch, T.; Vaughan, A. An Investigation of Mechanical Properties and Breakdown Strength of Polypropylene/Ultra-High Molecular Weight Polyethylene Nanocomposites. In Proceedings of the 2022 IEEE Conference on Electrical Insulation and Dielectric Phenomena (CEIDP), Denver, CO, USA, 2 November 2022; pp. 475–478. [Google Scholar] [CrossRef]
- Men, R.; Lei, Z.; Song, J.; Li, Y.; Lin, L.; Tian, M.; Fabiani, D.; Xu, X. Effect of thermal ageing on space charge in ethylene propylene rubber at DC voltage. IEEE Trans. Dielectr. Electr. Insul. 2019, 26, 792–800. [Google Scholar] [CrossRef]
- Ouyang, B.; Li, H.; Zhang, X.; Wang, S.; Li, J. The role of micro-structure changes on space charge distribution of XLPE during thermo-oxidative ageing. IEEE Trans. Dielectr. Electr. Insul. 2017, 24, 3849–3859. [Google Scholar] [CrossRef]
- Tantipattarakul, S.; Vaughan, A.S.; Andritsch, T. On the influence of chemical defects and structural factors on charge transport and failure in polyethylene. IEEE Trans. Dielectr. Electr. Insul. 2020, 27, 288–295. [Google Scholar] [CrossRef]
- Karlsson, M.E.; Xu, X.; Hillborg, H.; Ström, V.; Hedenqvist, M.S.; Nilsson, F.; Olsson, R.T. Lamellae-controlled electrical properties of polyethylene-morphology, oxidation and effects of antioxidant on the DC conductivity. RSC Adv. 2020, 10, 4698–4709. [Google Scholar] [CrossRef] [PubMed]














| Materials | Compositions (wt.%) | Temperature (°C) | Aging Time (Hours) | ||
|---|---|---|---|---|---|
| PP | UHMWPE | MgO | |||
| PP/UHMWPE | 50 | 50 | - | 120 | Unaged 168 336 504 672 |
| PP/UHMWPE/MgO | 50 | 49 | 1 | ||
Disclaimer/Publisher’s Note: The statements, opinions and data contained in all publications are solely those of the individual author(s) and contributor(s) and not of MDPI and/or the editor(s). MDPI and/or the editor(s) disclaim responsibility for any injury to people or property resulting from any ideas, methods, instructions or products referred to in the content. |
© 2023 by the authors. Licensee MDPI, Basel, Switzerland. This article is an open access article distributed under the terms and conditions of the Creative Commons Attribution (CC BY) license (https://creativecommons.org/licenses/by/4.0/).
Share and Cite
Ketsamee, P.; Vryonis, O.; Vaughan, A.; Andritsch, T. Thermo-Oxidative Aging Effect on Charge Transport in Polypropylene/Ultra-High Molecular Weight Polyethylene Nanocomposites. Energies 2023, 16, 6670. https://doi.org/10.3390/en16186670
Ketsamee P, Vryonis O, Vaughan A, Andritsch T. Thermo-Oxidative Aging Effect on Charge Transport in Polypropylene/Ultra-High Molecular Weight Polyethylene Nanocomposites. Energies. 2023; 16(18):6670. https://doi.org/10.3390/en16186670
Chicago/Turabian StyleKetsamee, Phichet, Orestis Vryonis, Alun Vaughan, and Thomas Andritsch. 2023. "Thermo-Oxidative Aging Effect on Charge Transport in Polypropylene/Ultra-High Molecular Weight Polyethylene Nanocomposites" Energies 16, no. 18: 6670. https://doi.org/10.3390/en16186670
APA StyleKetsamee, P., Vryonis, O., Vaughan, A., & Andritsch, T. (2023). Thermo-Oxidative Aging Effect on Charge Transport in Polypropylene/Ultra-High Molecular Weight Polyethylene Nanocomposites. Energies, 16(18), 6670. https://doi.org/10.3390/en16186670

