Investigation of the Effect of Nozzle on Underwater Detonation Shock Wave and Bubble Pulsation
Abstract
:1. Introduction
2. Experimental System and Numerical Methodology
2.1. Experimental System of Underwater Detonation
2.2. Numerical Methodology
3. Evolution Process of the Bubble Generated by Underwater Detonation
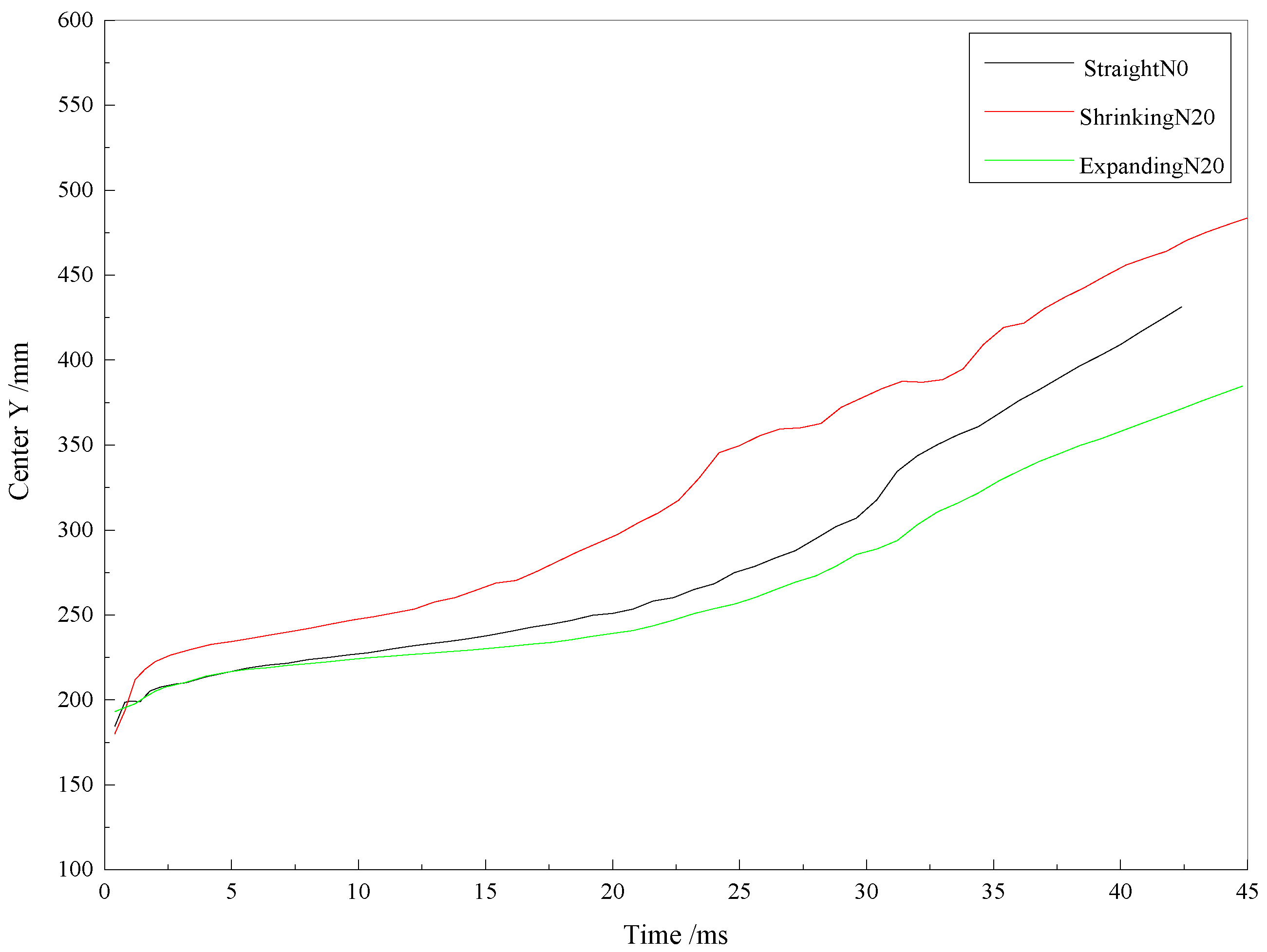
3.1. Morphology Evolution Process of the Bubble
3.2. Characterization Parameters of the Bubble Morphology
3.3. Effect of the Nozzle on the Bubble Energy
4. Research on Pressure Histories of the Gas Jet Generated by Underwater Detonation
4.1. Characterization of Reflected Shock Wave in Detonation Tube
4.2. Analysis of the Characteristic of Transmitted Shock Wave and Bubble Pulsation in Water
4.3. Frequency Characterization of the Transmitted Shock Wave
5. Conclusions
- (1)
- The conversion process of the energy of the detonation gas to the bubble energy was affected by the nozzle; the shrinking nozzle was only 19% higher than that of the straight nozzle, while the expanding nozzle was 6% higher than when the straight nozzle was installed. The pulsation pressure of the bubble was only 9.8 kPa when the shrinking nozzle was installed, which was much smaller than 26.1 kPa when the expanding nozzle was attached.
- (2)
- The shrinking nozzle reduced the velocity of the gas jet from the underwater detonation, but the expanding nozzle enlarged this. Compared with the morphological characteristics of the bubble when the straight nozzle was installed, the expanding nozzle decreased the aspect ratio of the bubble and had little effect, but the evolution of the bubble was severely hindered by the shrinking nozzle.
- (3)
- The shrinking nozzle increased the shock wave pressure in the water but reduced the peak pressure of the bubble pulsation. The expanding nozzle reduced the peak of the shock wave in water but increased the bubble pulsation pressure.
- (4)
- The nozzle changed the frequency spectrum of the pressure wave in the water. The energy of the pressure wave moved towards the high-frequency segment when installing the shrink nozzle.
Author Contributions
Funding
Institutional Review Board Statement
Informed Consent Statement
Data Availability Statement
Acknowledgments
Conflicts of Interest
References
- Zhang, C.; Yu, W.; Wang, B. Research on the initial flow field characteristics of underwater supersonic gas jets. Acta Armamentarii 2018, 39, 961–968. [Google Scholar]
- Skryja, P.; Hudak, I.; Bojanovsky, J.; Jegla, Z.; Korček, L. Effects of oxygen-enhanced combustion methods on combustion characteristics of non-premixed swirling flames. Energies 2022, 15, 2292. [Google Scholar] [CrossRef]
- Mcneese, A.R.; Sagers, J.D.; Wilson, P.S.; Knobles, D.P. An investigation of the combustive sound source. Proc. Meet. Acoust. 2010, 9, 005002. [Google Scholar]
- Fronzeo, M.; Kinzel, M.P. An investigation of compressible gas jets submerged into water. In Proceedings of the 46th AIAA Fluid Dynamics Conference, Washington, DC, USA, 13–17 June 2016. [Google Scholar]
- He, M.S.; Qin, L.Z.; Liu, Y. Oscillation flow induced by underwater supersonic gas jets from a rectangular laval nozzle. Procedia Eng. 2015, 99, 1531–1542. [Google Scholar]
- Luo, J.; Niu, Z.P. Jet and shock wave from collapse of two cavitation bubbles. Sci. Rep. 2019, 9, 1352. [Google Scholar] [CrossRef] [Green Version]
- Wang, L.L.; Liu, Y.; Li, D.Q.; Wu, Q.; Wang, G.Y. Numerical study of underwater supersonic gas jets for solid rocket engine. Acta Armamentarii 2019, 40, 1161. [Google Scholar]
- Gong, Z.X.; Lu, C.J.; Li, J.; Cao, J.Y. The gas jet behavior in submerged laval nozzle flow. J. Hydrodyn. 2017, 29, 1035–1043. [Google Scholar] [CrossRef]
- Zhang, X.Y.; Li, S.P.; Yang, B.Y.; Wang, N.F. Flow structures of over-expanded supersonic gaseous jets for deep-water propulsion. Ocean Eng. 2020, 213, 107611. [Google Scholar] [CrossRef]
- Zhang, X.Y.; Li, S.P.; Yu, D.; Yang, B.Y.; Wang, N.F. The evolution of interfaces for underwater supersonic gas jets. Water 2020, 12, 488–518. [Google Scholar] [CrossRef] [Green Version]
- Nguyen, V.T.; Phan, T.H.; Duy, T.N.; Kim, D.H.; Park, W.G. Numerical modeling for compressible two-phase flows and application to near-field underwater explosions. Comput. Fluids 2021, 215, 104805. [Google Scholar] [CrossRef]
- Phan, T.H.; Nguyen, V.T.; Duy, T.N.; Park, W.G. Numerical study on simultaneous thermodynamic and hydrodynamic mechanisms of underwater explosion. Int. J. Heat Mass Transf. 2021, 178, 121581. [Google Scholar] [CrossRef]
- Yu, J.; Liu, G.Z.; Wang, J.; Wang, H.K. An effective method for modeling the load of bubble jet in underwater explosion near the wall. Ocean Eng. 2021, 220, 108408. [Google Scholar] [CrossRef]
- Li, T.; Wang, S.P.; Li, S.; Zhang, A.M. Numerical investigation of an underwater explosion bubble based on FVM and VOF. Appl. Ocean Res. 2018, 74, 49–58. [Google Scholar] [CrossRef]
- Liang, H.Z.; Zhang, Q.M.; Long, R.R.; Ren, S.Y. Pulsation behavior of a bubble generated by a deep underwater explosion. AIP Adv. 2019, 9, 025108. [Google Scholar]
- Poplavski, S.V.; Boiko, V.M.; Lotov, V.V.; Nesterov, A.U. On the dispersion of liquid in coaxial supersonic gas jet. J. Phys. Conf. Ser. 2017, 894, 012115. [Google Scholar] [CrossRef]
- Zhou, Y.F.; Kang, P.X.; Huang, Z.L.; Yan, P.; Sun, J.Y.; Wang, J.D.; Yang, Y.R. Experimental measurement and theoretical analysis on bubble dynamic behaviors in a gas-liquid bubble column. Chem. Eng. Sci. 2020, 211, 115295. [Google Scholar] [CrossRef]
- Cong, S.H.; Liu, J.T. Experimental study on bubble acoustic characteristics of elliptical nozzles. E3S Web Conf. 2021, 299, 01009. [Google Scholar] [CrossRef]
- Shi, H.H.; Wang, J.F.; Chen, S.; Dong, R.L. Experimental study on flow characteristics at the initial injection stage of underwater supersonic gas jets. J. Univ. Sci. Technol. China 2014, 44, 233–237. [Google Scholar]
- Frolov, S.M.; Avdeev, K.A.; Aksenov, V.S.; Frolov, F.S.; Sadykov, I.A.; Shamshin, I.O.; Tukhvatullina, R.R. Pulsed detonation hydroramjet: Simulations and experiments. Shock Waves 2019, 30, 221–234. [Google Scholar] [CrossRef]
- Frolov, S.M.; Avdeev, K.A.; Aksenov, V.S.; Frolov, F.S.; Sadykov, I.A.; Shamshin, I.O.; Tukhvatullina, R.R. Pulse-Detonation Hydrojet. In Proceedings of the Scientific-Practical Conference “Research and Development—2016”, Moscow, Russia, 14–15 December 2016. [Google Scholar]
- Avdeev, K.A.; Aksenov, V.S.; Borisov, A.A.; Sevastopoleva, D.G.; Tukhvatullina, R.R.; Frolov, S.M.; Frolov, F.S.; Shamshin, I.O.; Basara, B.; Edelbauer, W.; et al. Calculation of shock wave propagation in water containing reactive gas bubbles. Russ. J. Phys. Chem. B 2017, 11, 261–271. [Google Scholar] [CrossRef]
- Liu, W.; Li, N.; Weng, C.S.; Huang, X.L.; Kang, Y. Bubble dynamics and pressure field characteristics of underwater detonation gas jet generated by a detonation tube. Phys. Fluids 2021, 33, 023302. [Google Scholar] [CrossRef]
- Xiang, M.; Zhao, X.Y.; Zhou, H.C. Transient dynamic analysis for the submerged gas jet in flowing water. Eur. J. Mech. B-Fluids 2021, 85, 351–360. [Google Scholar] [CrossRef]
- Zhang, H.H.; Guo, Z.Q.; Wang, R.Q.; Chen, Z.H.; Huang, Z.G. Initial flow characteristics of an underwater supersonic gas jet. J. Vib. Shock 2019, 38, 88–93. [Google Scholar]
- He, Q.G.; Zhang, W.; Chen, X.W.; Xu, J.P. Analysis on the deformation process of PET shock tube diaphragm. Explos. Shock Waves 2019, 39, 033201. [Google Scholar]
- Doludenko, A.N. On contact instabilities of viscoplastic fluids in two-dimensional setting. Comput. Math. Math. Phys. 2017, 57, 1550–1557. [Google Scholar] [CrossRef]
- Wilson, P.S.; Ellzey, J.L.; Muir, T.G. Experimental investigation of the combustive sound source. IEEE J. Ocean. Eng. 1995, 20, 311–320. [Google Scholar] [CrossRef]
- Asahara, M.; Saburi, T.; Ando, T.; Takahashi, Y.; Miyasaka, T.; Kubota, S. Self-ignited flame behavior of high-pressure hydrogen release by rupture disk through a long tube. Int. J. Hydrogen Energy 2021, 46, 13484. [Google Scholar] [CrossRef]
- Liu, W.; Li, N.; Huang, X.L.; Kang, Y.; Li, C.; Qiang, W.; Weng, C.S. Experimental study of underwater pulse detonation gas jets: Bubble velocity field and time-frequency characteristics of pressure field. Phys. Fluids 2021, 33, 083324. [Google Scholar] [CrossRef]
















| Definition | Area/mm2 | Perimeter/mm | Length/mm | Width/mm | Centroid-Y/mm | Roundness | Aspect Ratio |
|---|---|---|---|---|---|---|---|
| Parameter | A | C | L | W | Center Y | Roundness | L/W |
| Tmax/ms | Tmin/ms | Amax/mm2 | Amin/mm2 | |
|---|---|---|---|---|
| ShrinkingN20 | 12.2 | 24.2 | 39,932.4 | 23,752.8 |
| StraightN0 | 16.2 | 31.2 | 119,705.8 | 17,440.6 |
| ExpandingN20 | 16.8 | 33.0 | 124,823.5 | 18,103.8 |
| StraightN0 | ShrinkingN20 | ExpandingN20 | |
|---|---|---|---|
| Rmax | 19.93 | 11.27 | 19.52 |
| h | 0.057 | 0.074 | 0.038 |
| Q/QStraightN0 | 1 | 0.19 | 1.06 |
| Filling Condition (CH4 + 2O2) Pressure (MPa) Temperature (K) | Psim/Pcj | Pexp/Pcj | Velocity (m/s) | Temperature (K) | |
|---|---|---|---|---|---|
| 0.2 | 298 | 1.0 | 0.96 | 2306 | 3965 |
| Δt/ms | PDW/MPa | PSW/MPa | Vave/ms−1 | |
|---|---|---|---|---|
| StraightN0 | 0.481 | 5.65 | 5.56 | 769.23 |
| ShrinkingN20 | 0.532 | 5.48 | 5.47 | 695.49 |
| ExpandingN20 | 0.488 | 5.52 | 5.21 | 758.20 |
| StraightN0 | ShrinkingN20 | ExpandingN20 | |
|---|---|---|---|
| Interval time/ms | 31.0 | 23.1 | 32.7 |
| Pulsation pressure/kPa | 24.3 | 9.8 | 26.1 |
Publisher’s Note: MDPI stays neutral with regard to jurisdictional claims in published maps and institutional affiliations. |
© 2022 by the authors. Licensee MDPI, Basel, Switzerland. This article is an open access article distributed under the terms and conditions of the Creative Commons Attribution (CC BY) license (https://creativecommons.org/licenses/by/4.0/).
Share and Cite
Wang, C.; Li, N.; Huang, X.; Weng, C. Investigation of the Effect of Nozzle on Underwater Detonation Shock Wave and Bubble Pulsation. Energies 2022, 15, 3194. https://doi.org/10.3390/en15093194
Wang C, Li N, Huang X, Weng C. Investigation of the Effect of Nozzle on Underwater Detonation Shock Wave and Bubble Pulsation. Energies. 2022; 15(9):3194. https://doi.org/10.3390/en15093194
Chicago/Turabian StyleWang, Chuanwei, Ning Li, Xiaolong Huang, and Chunsheng Weng. 2022. "Investigation of the Effect of Nozzle on Underwater Detonation Shock Wave and Bubble Pulsation" Energies 15, no. 9: 3194. https://doi.org/10.3390/en15093194
APA StyleWang, C., Li, N., Huang, X., & Weng, C. (2022). Investigation of the Effect of Nozzle on Underwater Detonation Shock Wave and Bubble Pulsation. Energies, 15(9), 3194. https://doi.org/10.3390/en15093194
