Study of Heat Flux Density of Dish Solar Cavity Heat Absorber
Abstract
1. Introduction
2. Research Objects and Methods
3. Numerical Results and Discussion
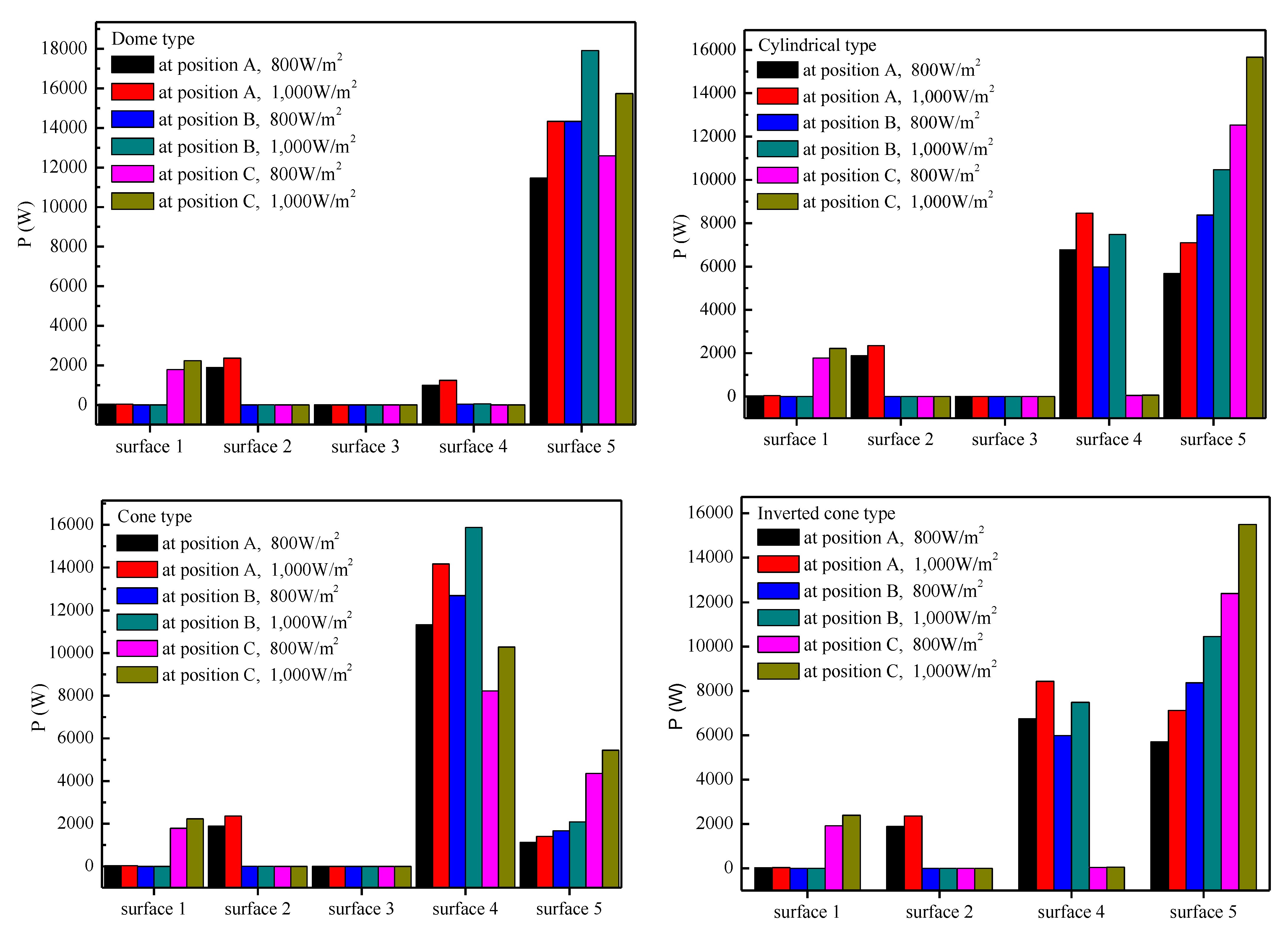
3.1. Influence of the Form and Mounting Position of the Heat Absorber on the Heat Flux Density on the Wall Surface of the Chamber
3.2. Effect of Changes in the Position of the Heat Absorber on the Heat Flux Density on the Wall Surface of the Chamber
3.3. Influence of the Shape of the Heat Absorber Cavity on the Density Distribution of the Heat Flow
4. Conclusions
- (1)
- Among the four types of heat absorbers studied in this paper, the heat flux distribution pattern on the circumference of the cone type heat absorber is obviously affected by the installation position, and the heat flux density can be adjusted on the top surface and circumference of the inner cavity by adjusting the installation position, while the other three types of heat absorbers show a concentrated heat flux density distribution pattern on the top surface of the inner cavity;
- (2)
- The position of the heat absorber can affect the power distribution ratio of each wall inside the heat absorber. At position C, although it can improve the distribution of heat flux density on the inner wall and avoid the concentration of high heat flux density areas, it is not conducive to the full heat exchange of the heat absorber. The closer the heat absorber is to position A, the more evenly the heat flux density of the inner wall surface is distributed, but it will increase the heat flux density of the light opening and the bottom of the heat absorber, which in turn reduces the overall heat absorption efficiency;
- (3)
- When the heat absorber is in position B, the total power ratio of different heat absorber structures entering the cavity can reach more than 99%. When the heat absorber with dome type heat absorber is in position B, it is more favorable for the working medium to fully absorb heat.
Author Contributions
Funding
Institutional Review Board Statement
Informed Consent Statement
Conflicts of Interest
References
- Yang, Y.; Yan, Q.; Zhai, R.; Kouzani, A.; Hu, E. An efficient way to use medium-or-low temperature solar heat for power generation integration into conventional power plant. Appl. Therm. Eng. 2011, 31, 157–162. [Google Scholar] [CrossRef]
- Mehrpooya, M.; Ghorbani, B.; Sadeghzadeh, M. Hybrid solar parabolic dish power plant and high-temperature phase change material energy storage system. Int. J. Energy Res. 2019, 43, 1–16. [Google Scholar] [CrossRef]
- Zhu, Y.; Zhai, R.; Zhao, M.; Yang, Y.; Yan, Q. Evaluation methods of solar contribution in solar aided coal-fired power generation system. Energy Convers. Manag. 2015, 102, 209–216. [Google Scholar] [CrossRef]
- Cui, Y.-H.; Yang, Y.-P.; Zhang, M.-M. Solar-coal Complementary Electric Generation System and Its Modes. Proc. CSEE 2008, 28, 102–107. [Google Scholar]
- Zhang, Y.-M.; Wang, J. Series on solar thermal power generation--light concentrating solar thermal power generation. Sol. Energy 2016, 1, 39–41. [Google Scholar]
- Zhang, X.-Y.; Yang, X.-H.; Tian, R. Study of the thermal performance of a dual-side heating flat plate receiver in a parabolic concentrating solar power system. J. Eng. Therm. Energy Power 2018, 33, 115–123. [Google Scholar]
- Xu, H.-T.; Rao, J.-W.; Guo, Y.-P. Experiment and simulation studies of solar CPV/T system by using fresnel lens. J. Eng. Therm. Energy Power 2019, 34, 114–120. [Google Scholar]
- He, Y.L.; Wang, K.; Qiu, Y.; Du, B.C.; Liang, Q.; Du, S. Review of the solar flux distribution in concentrated solar power: Non-uniform features, challenges, and solutions. Appl. Therm. Eng. 2019, 25, 448–474. [Google Scholar] [CrossRef]
- Vignarooban, K.; Xu, X.; Arvay, A.; Hsu, K.; Kannan, A.M. Heat transfer fluids for concentrating solar power systems-A review. Appl. Energy 2015, 146, 383–396. [Google Scholar] [CrossRef]
- He, Y.; Wang, K.; Du, B.; Qiu, Y.; Zheng, Z.; Liang, Q. Non-uniform characteristics of solar flux distribution in the concentrating solar power systems and its corresponding solutions: A review. Chin. Ence Bull. 2016, 61, 3208–3237. [Google Scholar]
- Loni, R.; Asli-Ardeh, E.A.; Ghobadian, B.; Bellos, E.; Le Roux, W.G. Numerical investigation of a solar dish concentrator with different cavity receivers and working fluids. J. Clean. Prod. 2018, 198, 1013–1030. [Google Scholar] [CrossRef]
- Arjun, S.K.; Natarajan, S.K. Comparative Study of Modified Conical Cavity Receiver With Other Receivers for Solar Paraboloidal Dish Collector System. Environ. Sci. Pollut. Res. 2022, 29, 7548–7558. [Google Scholar]
- Shuai, Y.; Xia, X.-L.; Tan, H.-P. Numerical simulation and experiment research of radiation performance in a dish solar collector system. Front. Energy 2010, 4, 488–495. [Google Scholar] [CrossRef]
- Bellos, E.; Bousi, E.; Tzivanidis, C.; Pavlovic, S. Optical and thermal analysis of different cavity receiver designs for solar dish concentrators. Energy Convers. Manag. 2019, X, 100013. [Google Scholar] [CrossRef]
- Kasaeian, A.; Kouravand, A.; Rad, M.A.; Maniee, S.; Pourfayaz, F. Cavity receivers in solar dish collectors: A geometric overview. Renew. Energy 2021, 169, 53–79. [Google Scholar] [CrossRef]
- Mao, Q.; Zhang, L.; Wu, H. Study on Concentrating Characteristics of a Solar Parabolic Dish Concentrator within High Radiation Flux. Int. J. Photoenergy 2015, 2015, 787280. [Google Scholar] [CrossRef]
- Shuai, Y.; Xia, X.L.; Tan, H.P. Radiation performance of dish solar concentrator/cavity receiver systems. Solar Energy. 2008, 82, 13–21. [Google Scholar] [CrossRef]
- Daabo, A.M.; Mahmoud, S.; Al-Dadah, R.K. The optical efficiency of three different geometries of a small scale cavity receiver for concentrated solar applications. Appl. Energy. 2016, 179, 1081–1096. [Google Scholar] [CrossRef]
- Yan, J.; Peng, Y.; Wang, H. Assessing the impact of non-ideal optical factors on optimized solar dish collector system with mirror rearrangement. Int. J. Energy Res. 2020, 44, 8799–8822. [Google Scholar] [CrossRef]
- Jeter, S.M. The distribution of concentrated solar radiation in paraboloidal collectors. J. Sol. Energy Eng. 1986, 108, 219–225. [Google Scholar] [CrossRef]
- Madsen, C.K. Linking Diffractive and Geometrical Optics Surface Scattering at a Fundamental Level. Opt. Photonics J. 2022, 12, 1–17. [Google Scholar] [CrossRef]
- Gu, Y.J.; Geng, Z.; Zhang, C.; Wang, P. Review on key technologies of concentrating solar thermal power generation systems. Therm. Power Gener. 2017, 46, 6–13. [Google Scholar]
- Li, S.-H.; Wang, L.-W.; Liao, M.-J.; Wang, J.Y. Distribution characteristics of heat flux density of dish solar collectors. Therm. Power Gener. 2017, 9, 78–82. [Google Scholar]
- Yang, Z.; Dai, Y.-F.; Wang, G.-L. Measure of Optical Errors Based on Harvey-Shack Surface Scattering Theory. Acta Opt. Sin. 2007, 24, 1992–1996. [Google Scholar]









Publisher’s Note: MDPI stays neutral with regard to jurisdictional claims in published maps and institutional affiliations. |
© 2022 by the authors. Licensee MDPI, Basel, Switzerland. This article is an open access article distributed under the terms and conditions of the Creative Commons Attribution (CC BY) license (https://creativecommons.org/licenses/by/4.0/).
Share and Cite
Liu, H.; Deng, J.; Guan, Y.; Wang, L. Study of Heat Flux Density of Dish Solar Cavity Heat Absorber. Energies 2022, 15, 7946. https://doi.org/10.3390/en15217946
Liu H, Deng J, Guan Y, Wang L. Study of Heat Flux Density of Dish Solar Cavity Heat Absorber. Energies. 2022; 15(21):7946. https://doi.org/10.3390/en15217946
Chicago/Turabian StyleLiu, Haiting, Jiewen Deng, Yue Guan, and Liwei Wang. 2022. "Study of Heat Flux Density of Dish Solar Cavity Heat Absorber" Energies 15, no. 21: 7946. https://doi.org/10.3390/en15217946
APA StyleLiu, H., Deng, J., Guan, Y., & Wang, L. (2022). Study of Heat Flux Density of Dish Solar Cavity Heat Absorber. Energies, 15(21), 7946. https://doi.org/10.3390/en15217946
