Next Article in Journal
Air Pollution and Limitations in Health: Identification of Inequalities in the Burdens of the Economies of the “Old” and “New” EU
Previous Article in Journal
Design of a Load Frequency Controller Based on an Optimal Neural Network
 
 
Font Type:
Arial Georgia Verdana
Font Size:
Aa Aa Aa
Line Spacing:
Column Width:
Background:
Article

Comparison of Phase-Shifting Transformers Properties

by
Paweł Albrechtowicz
1,*,
Bartosz Rozegnał
1 and
Piotr Cisek
2
1
Department of Electrical Engineering, Cracow University of Technology, Warszawska 24 St., 31-155 Cracow, Poland
2
Department of Energy, Cracow University of Technology, 31-864 Cracow, Poland
*
Author to whom correspondence should be addressed.
Energies 2022, 15(17), 6224; https://doi.org/10.3390/en15176224
Submission received: 5 May 2022 / Revised: 16 August 2022 / Accepted: 25 August 2022 / Published: 26 August 2022
(This article belongs to the Section F1: Electrical Power System)

Abstract

:
This article presents different phase shifting transformers (PSTs) types and their influence on the transmitted active power and energy parameters. Typical PSTs, both symmetrical (SPST) and asymmetrical (APST), are compared to the asymmetrical controllable PST (ACPST). The ACPST allows for regulating both quadrature and longitudinal voltage, which makes this type interesting in practical applications and power flow optimizations. The collected data enable a direct comparison of these PSTs’ properties. APST allows high power transfer, but the voltage increase in some cases cannot be acceptable. SPST type in taken tests has the best properties concerning the transferred power, output voltage, and internal voltage drop. ACPST, in its primary mode, can be efficiently used as a substitute for the SPST. However, in some range of injected quadrature voltages, it can achieve even better properties than the SPST. The laboratory and simulation tests allow the development of the ACPST regulation to achieve the best properties among other PSTs, with the possibility to operate, e.g., on the constant ACPST output voltage, in quasi-symmetrical mode and any other, which may be needed in power systems.

1. Introduction

The constant development of power systems requires new solutions in many fields involved in the safe and reliable process of electrical energy delivery. For better power flow control, phase shifting transformers (PSTs) are used among different devices enabling their regulation. These devices allow one to achieve voltage phase angle regulation and influence the transmitted power, both to increase or reduce the actual value of the flowing power. In Europe, the PSTs have been widely used in the Benelux region [1,2], in central parts (Germany–Poland, Germany–Czech Republic) [3], or in the south (Italy–Slovenia) [4]. These examples show that they can be efficiently used to control power flows; therefore, the next PST units are planned to be installed or are already under construction. These development plans are available in references [5,6], which are elaborated on and published by the European Network of Transmission System Operators for Electricity (ENTSO-E).
PSTs are widely used as a power flow control tool. They can be used as a device to avoid loop flows, which are a severe problem, e.g., in the cross-border transmission lines on the following route: Germany → Poland → the Czech Republic → Germany [7,8,9]. In [7], transmission system operators (TSOs) from Poland, the Czech Republic, Slovakia, and Hungary point out that the critical factor for the unplanned flows in middle-eastern Europe is the power transfer between Germany and Austria. The more planned power flows to Austria, the more loop flows occur from north Germany to Poland and the other countries mentioned. The high risk of transmission line congestion in the Polish national power system is analyzed in [8] due to unplanned flows. The authors in reference [9] clearly show that PST can be a handy tool to eliminate loop flows.
PSTs are considered in some literature during optimization of the grid development planning process or the PST installation place. In [10], the authors propose a particle swarm optimization (PSO) algorithm to obtain PST’s settings in unplanned power flow minimization.
Besides classical PST, the literature proposed the Sen transformer as an effective device for power flow regulation [11] and its expanded versions [12,13] called the extended Sen transformer.
A very popular research subject concerns protective devices for PSTs [14,15]. In [14], a PST electromagnetic model is presented to conduct protection device tests during transient states. In [15], the authors consider hexagonal PST and the protective apparatus for safe and reliable work.
According to the constant development of the power systems, it seems appropriate to consider PSTs not only as the devices installed in the extra high voltage (EHV) and high voltage (HV) systems but also in lower-voltage levels. This assumption results from increased renewable energy sources and their remote location and connection to the power system. Therefore, the authors present a comparative analysis of well-known PST solutions and their own unique construction.
The fundamental PSTs division is in the symmetrical phase-shifting transformer (SPST) and asymmetrical phase-shifting transformer (APST). Their principles are described in reference [1]. However, besides the principles of their work, there is insufficient data about their comparison in relation to their work and influence on the parameters of the transmitted energy. First, many scientific publications refer to their installation in any testing power system consisting of a few, several dozen. or even more than one hundred buses. Their work researches the influence on the whole system, with the proper realization of one objective function such as maximal power flow and minimization of power loss. Therefore, in this article, the main goal is to analyze the operational properties of the SPST, APST, and the authors’ construction of the in-phase PST, called the asymmetrical controllable phase shifting transformer (ACPST).
This article’s results are obtained for the single cross-border transmission line connecting two systems with installed PSTs. The comparative analysis is prepared to show each PST type’s advantages and disadvantages in a typically considered power system scheme scenario representing the influence of angle regulation. The base point of this research is stated on the laboratory transformer unit data. The laboratory tests were conducted for the ACPST type for nominal line-to-line voltage. Then, those results were compared to the simulation equivalent, and as the next step, Simulink models with APST and SPST units were created. Due to the convergence of the laboratory and simulation models, it was found that, in this case, the simpler models (APST, SPST) will also converge. For this reason, the results of simulation calculations for various types of phase-shifting transformers were compared. Additionally, for all PSTs, real values of the winding resistance and reactance for each added series voltage were taken into account.
In the analysis, both for measurements and simulations, the authors considered the active power transmission, the output PST’s voltage, the additional introduced voltage phase angle, and the real voltage injected into the line as the most important parameters of each PST type during its operation in the power systems.
Based on the literature review, the reader can note a gap in the research regarding the comparison of each PST type concerning their electrical properties and their influence on the power flow in the classically considered arrangement.

2. Phase-Shifting Transformer Types

The most common PST division in the literature is known as asymmetrical and symmetrical.
Each type can also be prepared as in-phase units, able to control both longitudinal and injected quadrature voltage. With the proper connection of phases energizing the series windings, it is possible to inject voltages with different phases, such as ±120°, ±60°, and ±90°. In this paper, only quadrature voltage implementation is considered.
The general formula for the active power flow is given by Equation (1):
P = U L U R X s i n ( δ + α )
where UL is the PST output voltage, UR is the end line voltage, X is the longitudinal reactance, δ is the nominal phase angle between both lines’ ends, and α is the additional phase angle implemented by the PST.
The PST type defines the possible angle α , and the mathematical formulas on this angle are presented below:
α A P S T = a r c t g ( Δ U U S )
α S P S T = 2 a r c s i n | Δ U | 2 | U L |  
where Δ U is the injected series voltage, V, and U S is the PST input voltage, V.
Equation (2) describes angle α in the case of the APST, and Equation (3) describes the SPST dependency. Using these equations, active power flow is given according to Equations (4) and (5) for APST and SPST, respectively.
P = U R X ( U S s i n δ + Δ U c o s δ )
P = U R U L X s i n ( δ + 2 a r c s i n | Δ U | 2 | U L | )  
Based on those formulas, the characteristics can be obtained (Figure 1 and Figure 2).

3. In-Phase Asymmetrical PST

In references [16,17], the in-phase PST is described, also called the asymmetrical controllable phase-shifting transformer (ACPST). This name is the consequence of the possible regulation range of the ACPST. In this PST unit, the longitudinal and quadrature voltage can be controlled independently, which allows for better power flow control possibilities. The simplified connection scheme of the ACPST is presented in Figure 5. A mathematical description of the ACPST is given by Equations (6) and (7).
α A C P S T = a r c t g ( Δ U ϑ U S )
P = U R X ( U S ϑ s i n δ + Δ U c o s δ )
where U S is the voltage after longitudinal transformation, V (Figure 5).
Comparing Equations (6) and (7) with (2) and (4), it is clear that ACPST is described similarly to APST. The difference between them is in the ϑ, which appears in ACPST formulas and is described as the extra transformer ratio ( ϑ = USx/USx). This value regulates the longitudinal voltage in the case of ACPST. For ϑ = 1 , ACPST will work as APST.
Figure 3 presents the active power flow versus injected quadrature voltage. When the longitudinal voltage is higher than the nominal (105% Un—red case), the total active power transfer is also higher by approximately 5%, which directly results from Equation (7). The angle α range is presented in Figure 4.
Without a doubt, comparing all PST types, one can see that ACPST provides the best regulation flexibility. This unique feature resulting from the construction may lead to these units’ use in power systems with high penetration of renewable energy sources. In these systems, the voltage variability is often very high, so a control device such as PST adjustment is required.

4. Laboratory Arrangement and Simulations

Laboratory tests were performed on the two transformer ACPST constructions with the parameters presented in Table 1. Figure 5 presents a single-phase laboratory ACPST scheme. Both the series transformer (ST), responsible for injection of the quadrature voltage into the line, and the extra transformer (ET), able to control the longitudinal voltage, can be connected to a star (Y) or delta (D). Depending on the mutual connection of ST and ET, series voltages with angles of ±90°, ±60°, and ±120° can be obtained. In this article, only ±90° cases were analyzed.
The regulation and possible angles and output voltage values for the laboratory ACPST are shown in Figure 6.
The ACPST can be used as a normal transformer with only longitudinal voltage regulation (ΔU = 0). For the chosen values of the ACPST, the output parameters are presented in Table 2.
The resented values are the maximum. Due to this, some of these cases cannot be implemented into the low-voltage system with a nominal voltage of 230 V (phase to ground and within range ±10%). Because of the series transformer’s secondary winding construction, these values are presented as impossible to obtain. The ST secondary side has six windings with values presented in Table 1. When all windings are connected (in series), the quadrature voltage injected into the line equals 252 V (ΔUmax). Figure 7 presents some cases of the ST secondary windings connections.
The laboratory testing system, besides ACPST units, consisted of supply systems with nominal parameters:
-
System S: ZS = 0.31 + j0.34 Ω, US = 420 V.
-
System R: ZR = 1.05 + j0.66 Ω, UR = 395 V.
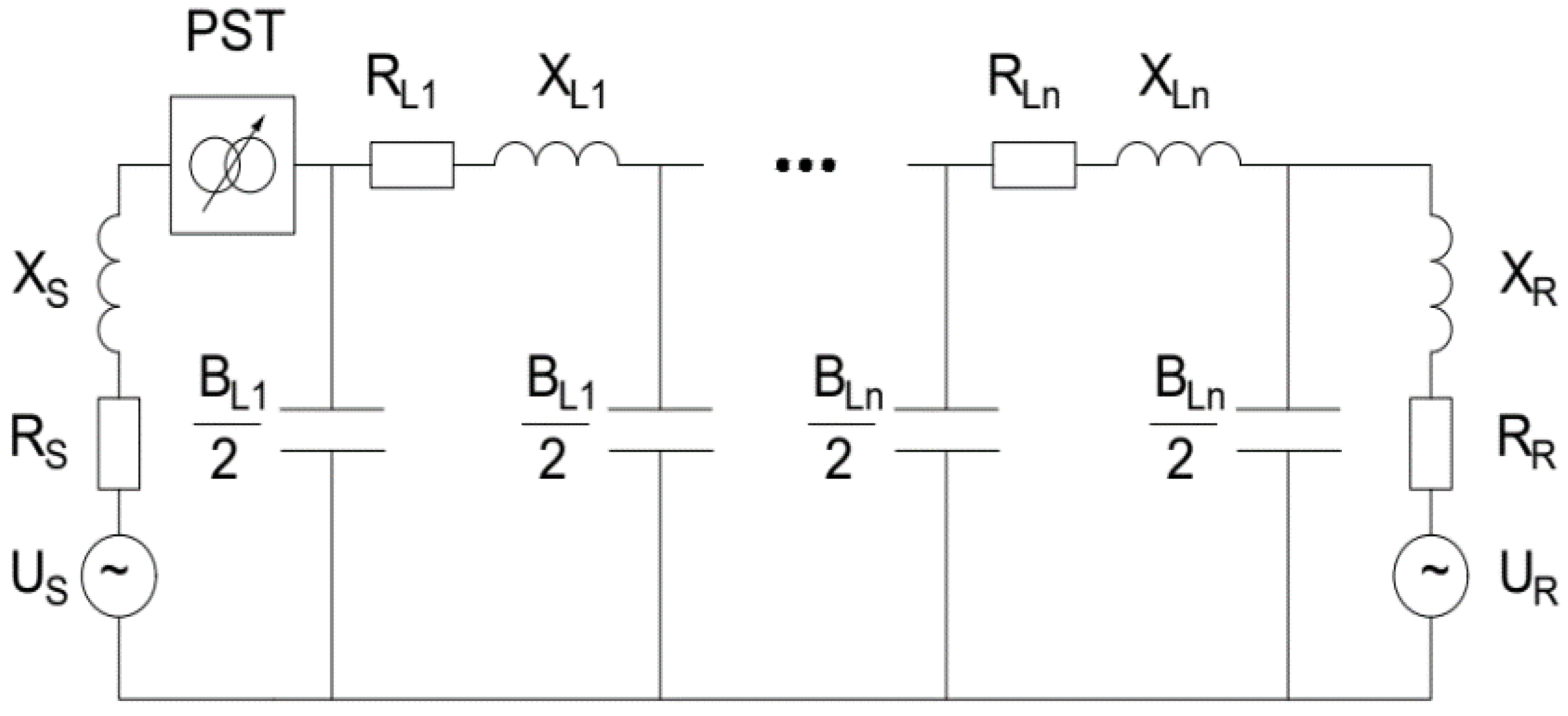
Both systems were connected via a transmission line prepared as a distribution line of π-type with the following unitary parameters: RL1 = 0.04 Ω, XL1 = 0.23 Ω, BL1 = 2.5 µS [18]. The system’s single-phase equivalent scheme is shown in Figure 8.
Simulation models were prepared based on the laboratory transformer units and other elements’ parameters. The results of the ACPST laboratory and simulation model are compared to validate the basic model. Then, this model was used to simulate APST and SPST cases. The obtained results were compared and analyzed in terms of the electrical parameters of the PST and transferred power.
In Figure 9, the PST’s basic simulation set in Simulink is shown. Depending on the considered type, a different PST connection was implemented in the subsystem called “ACPST/APST/SPST”.

5. Research Results

5.1. Laboratory Measurement and Model Validation for ACPST Case

The laboratory tests were performed for the cases of longitudinal voltage U’S equal to 196 V and 230 V (line-to-line voltage 340 V and 400 V, respectively). The line length was set as 22 sections. The comparison of the obtained active power flows for 196 V and 230 V longitudinal voltage during laboratory measurements is presented in Figure 10.
Comparing both cases in Figure 10, one can note that the same active power flow is possible by adding an 8 V higher quadrature voltage in the case of the 196 V longitudinal voltage. This way, one can obtain the same active power flows with lower PST output voltage values. The confirmation of this dependency is shown in Figure 11. The output voltage comparison clearly shows the advantage of the ACPST’s lowered longitudinal voltage case above the nominal one. First, the line voltage can be efficiently controlled to avoid its increase above the voltage line limits. The lowered voltage does not result in a significant active power flow decrement. As presented in Figure 10, the total transferred active power line for both cases was approximately 8 V higher in quadrature voltage for the 196 V case.
The actual laboratory unit is compared to the simulation model. Figure 12 presents both analyzed cases obtained during laboratory tests and simulation. In quadrature voltage, the full range simulation and measurement cases are convergent. Some differences result from the different parameters of the systems supplying the laboratory. Measured values of the internal impedance of both systems were used in the simulation as an average value for all three phases. This is confirmed by the gradient of the characteristic, which results from the circuit parameters (line impedance, supply system’s internal impedances). Based on this comparison, the authors accepted the model as validated and prepared the next analyses for APST and SPST devices.

5.2. SPST, APST, and ACPST Simulations

In this analysis, the authors prepared simulations of SPST, APST, and ACPST for 196 V and 230 V. Figure 13 presents the active power transfer in the line with each analyzed PST.
Both SPST and APST guarantee the highest active power flow for the same set quadrature voltage. This is a result of both systems’ nominal voltage values, because both SPST and APST operate on the natural voltage conditions in the system. The ACPST case works in the lowered or nominal line voltage, so these values are lower than in the rest cases. This fact is confirmed in Figure 14, representing output voltage waveforms for all cases.
All asymmetrical PSTs have a common feature. While the set quadrature voltage increases, the output voltage also increases. This is a natural consequence of their construction. Opposite to asymmetrical units, the SPST output voltage slightly decreases. This is a consequence of the voltage drops in the system due to greater current for higher quadrature voltages. Additionally, Table 3 collected the system voltage and SPST output voltage as a comparison of its symmetrical operation (both voltages have similar values). The highest set quadrature voltages are visible with the highest differences between analyzed voltages (for 144 V, the voltage drop is equal to 2.6 V). This relation is connected to the increase in the current flow and, consequently, voltage drops.
Figure 13 and Figure 14 allow for comparing the active power flow regulation possibility by taking into account the set quadrature voltage and output voltage. Considering both parameters, ACPST definitely has the best properties. The small active power values range indicates that a transfer of 1.9 kW for SPST and APST requires 8 V injected into the line, while ACPST needs 16 V and 24 V for the 230 V and 196 V cases, respectively. Looking at the highest transferred active powers, it is visible that this tendency is maintained. The APST transfers higher power than SPST, although insignificantly. Nevertheless, the difference in the output voltages is very high. The APST output voltage value is over 270 V for the 144 V case. For the same quadrature voltage, ACPST’s 230 V case has 254 V on the output terminals, and in 196 V, one is almost 238 V.
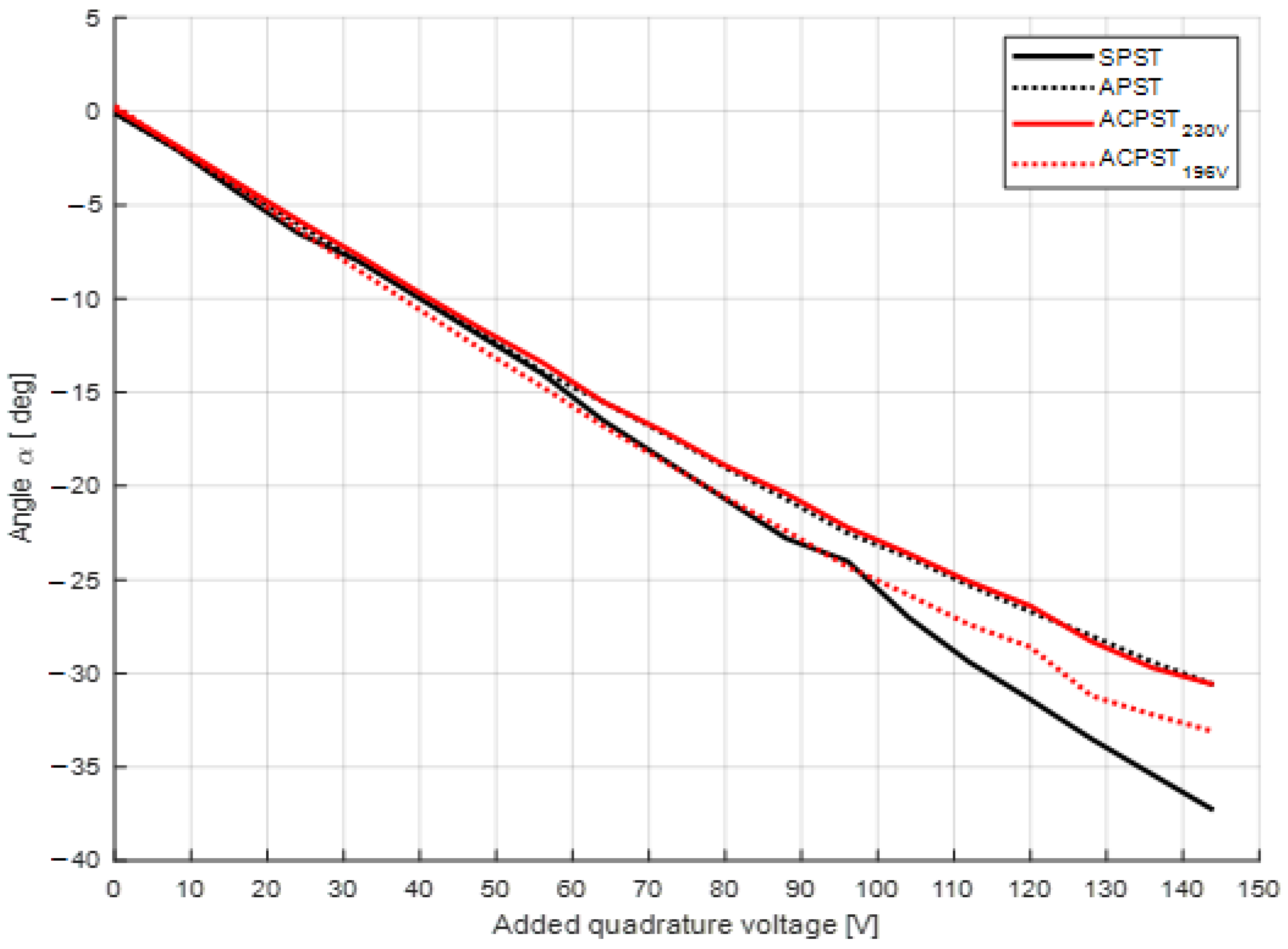
For all PST devices considered in this research, the obtained angles α are relatively small. The maximum value for the SPST case was equal to 37°. This fact does not allow us to check the real angle curves because theoretical angle waveforms are prepared in a broader range of angles. Figure 15 shows the angle values for the injected quadrature voltages from 0 to 144 V.
The ACPST 230 V case and APST have very similar courses. The ACPST 196 V case shows that lowered longitudinal voltage allows for obtaining higher angle values, which confirms the theoretical assumption. The highest angle α is obtained for the SPST type; however, this dependency is visible for quadrature voltages greater than 100 V. This fact is connected to the voltage drops in the ACPST impedance, which is higher than in the SPST. The confirmation of this thesis is presented in Figure 16. The real quadrature voltage versus the set quadrature voltage clearly shows that SPST can maintain the real voltage injected into the line. For a maximum set value of 144 V, there is a 2 V drop, and the real quadrature voltage is equal to 142 V. In contrast to SPST are all the asymmetrical PSTs. Above a set quadrature voltage of 60 V, the voltage drops are higher than in the SPST case. For the maximal set quadrature voltage, the real quadrature voltage is 130 V for the ACPST type and 128 for the APST.

6. Discussion

The presented results of the laboratory measurements and simulations for the ACPST case show that the prepared model is convergent with a real system. Based on this, preparation of the APST and SPST models was also possible.
Considering only the ability of the active power transfer for the chosen system configuration, it is visible that SPST and APST have better properties than ACPST. However, in the case of the APST, there must be information added about the APST output voltage value for the highest transmitted active powers. However, it is not acceptable for this system (the output voltage value is higher than 270 V, while the nominal phase-to-ground voltage is 230 V). This dependency is consistent with the asymmetrical PST theory, which points out that the APST output voltage value is always greater than the input one. This disadvantage can be efficiently liquidated by the ACPST construction, enabling longitudinal and quadrature voltage regulation. The tests conducted proved that it is possible to obtain similar power flow in the ACPST as in the APST case by adding higher quadrature voltage to lowered longitudinal line voltage. Furthermore, these regulation possibilities may be used to obtain higher angle α values, and in this way, influence the transmitted power parameters.
The SPST type, for the given assumptions, has the best properties concerning the electric power transmission parameters. It achieved the highest angle α for the same added voltages, the real quadrature voltage was almost equal to the set one (for 144 V, the real quadrature voltage was 142 V), and the problem with the PST output voltage increment was also omitted, as is shown in Figure 14 and Table 3.
The APST is able to transfer high power; however, as it was mentioned before, this is occupied by the output voltage value. This is not an acceptable feature because the regulation range can be widely reduced, especially in the power systems nodes, where voltages may be above nominal ones. As a consequence, the angles α possible to obtain are smaller than in the other PST types.
A solution enabling high active power transfer with simultaneous output voltage control is presented in ACPST construction. It allows controlling both longitudinal and quadrature voltages, which is the most important feature compared to the classical constructions of APST or SPST widely used in the literature. Longitudinal voltage regulation influences the angle α values and output voltage. Active power transfer for the given voltages is lower than in the SPST and APST. Conducted measurements and simulations claim that it is possible to obtain the same active power flow by adding 8–24 V higher quadrature voltage for 230 V and 196 V cases, respectively. In some ranges (until c.a. 100 V of quadrature voltage for U’S = 230 V and 140 V for U’S = 196 V), the output voltages are smaller than in the SPST type, so the higher voltage injection does not worsen voltage parameters and enables an equal power flow as in the SPST.
The ACPST allows more flexible adjustment to the power system conditions, which is especially important in areas with variable voltage profiles. Nowadays, more and more renewable energy sources are installed in different grid areas on different voltage levels. This, taking into account the possible lack of remote electrical energy sources, or the opposite situation with its maximal amount, may expose the system to serious danger. A flexible device that controls power flows is needed, and the ACPST analysis clearly shows that it has comparative properties to the widely used SPST or APST units, but the regulation range is much greater.
For all considered cases, it should be noted that the results are obtained for low-voltage PST unit parameters, used as a base point for simulations. The relation between inductive reactance and resistance is different in the extra high voltage (EHV) power systems. However, regardless of the voltage level, any PST idea is the same.
The most important electric parameters and the impact of the chosen PSTs are displayed in Table 4. The ACPST has the best properties due to the wide regulation possibilities presented in the results section. The main disadvantage of this device is the need for two transformers. However, this problem may be solved soon in future research.

7. Conclusions

This article describes the comparative analysis of the symmetrical, asymmetrical, and in-phase asymmetrical (called asymmetrically controllable) phase shifting transformers installed in a cross-border transmission line connecting two power systems. As a base for the research, two laboratory transformers were used, which create the laboratory ACPST unit. Then the simulation model of the ACPST was built and compared with the laboratory measurements. Thanks to both arrangements’ good convergency, the SPST and APST were also implemented in the simulation stage. Using the obtained results for all considered PST types, their influence on the active power transfer was analyzed with regard to other electric energy parameters.
The SPST seems to have the best properties. The APST can also influence the active power transfer and control the flows, but the output voltage is too high, which in some cases may be unacceptable. ACPST, for the same quadrature voltages, allows one to transfer smaller power, but the rest of the considered parameters are on the best level. The whole analysis, taking into account all of the presented data, indicates that ACPST can be a good alternative to the SPST, or fulfill its role even better, especially when the nodal voltage may vary frequently. Due to this, ACPST construction should be considered the most flexible PST unit, which is important in modern grids with connected renewable energy sources with a variable energy production profile.
The data collected in Table 4 clearly underline each PST type’s advantages and possible operation utility. However, the proposed ACPST unit stands out among the other regulating devices.
This article presents an ACPST solution only as a testing version, and the next tasks are linked to its automatic regulation depending on the required active power flow, voltages, or power losses in the power system.

Author Contributions

Conceptualization, P.A. and B.R.; Data curation, P.A. and B.R.; Formal analysis, P.A., B.R. and P.C.; Investigation, P.A. and B.R.; Methodology, P.A.; Resources, P.C.; Software, P.A.; Validation, P.C.; Writing—original draft, P.A.; Writing—review & editing, B.R. and P.C. All authors have read and agreed to the published version of the manuscript.

Funding

This research received no external funding.

Institutional Review Board Statement

Not applicable.

Informed Consent Statement

Not applicable.

Data Availability Statement

Not applicable.

Conflicts of Interest

The authors declare no conflict of interest.

References

  1. Verboomen, J.; Van Hertem, D.; Schavemaker, P.H.; Kling, W.L.; Belmans, R. Phase shifting transformers: Principles and applications. In Proceedings of the 2005 International Conference on Future Power Systems, Amsterdam, The Netherlands, 16–18 November 2005; p. 6. [Google Scholar] [CrossRef]
  2. Van Hertem, D. The Use of Power Flow Controlling Devices in the Liberalized Market. Master’s Thesis, Katholieke Universiteit Leuven, Leuven, Belgium, 2009. [Google Scholar]
  3. Korab, R.; Owczarek, R. Cross-border power flow control by using phase shifting transformers. Przegląd Elektrotechniczny 2012, 88, 299–302. [Google Scholar]
  4. Bresesti, P.; Sforna, M.; Allegranza, V.; Canever, D.; Vailati, R. Application of phase shifting transformers for a secure and efficient operation of the interconnection corridors. In Proceedings of the IEEE Power Engineering Society General Meeting, Denver, CO, USA, 6–10 June 2004; IEEE: Piscataway, NJ, USA, 2004; Volume 2, pp. 1192–1197. [Google Scholar] [CrossRef]
  5. ENTSOE. Regional Investment Plan Northern Seas; Draft Version Prior to Public Consultation; ENTSOE: Brussels, Belgium, 2020. [Google Scholar]
  6. ENTSOE. Regional Investment Plan CCE; Draft Version Prior to Public Consultation; ENTSOE: Brussels, Belgium, 2020. [Google Scholar]
  7. Joint Study by ČEPS, MAVIR, PSE and SEPS Regarding the Issue of Unplanned Flows in the CEE Region in Relation to the Common Market Area Germany–Austria; 2013. Available online: https://www.pse.pl/documents/20182/51490/Unplanned_flows_in_the_CEE_region.pdf/44c6534e-a30d-4f06-9f7e-cb941b0ccf40 (accessed on 25 March 2021).
  8. Singh, A.; Frei, T.; Chokani, N.; Abhari, R.S. Impact of unplanned power flows in interconnected transmission systems—Case study of Central Eastern European region. Energy Policy 2016, 91, 287–303. [Google Scholar] [CrossRef]
  9. Kocot, H.; Korab, R.; Owczarek, R.; Przygrodzki, M.; Zmuda, K. Countermeasures for Dealing with Uncheduled Power Flows within an Interconnected Power System; Elektryka: Szczecin, Poland, 2015. [Google Scholar]
  10. Korab, R.; Połomski, M.; Owczarek, R. Application of particle swarm optimization for optimal setting of Phase Shifting Transformers to minimize unscheduled active power flows. Appl. Soft Comput. 2021, 105, 107243. [Google Scholar] [CrossRef]
  11. Sen, K.K.; Sen, M.L. Introducing the family of “Sen” transformers: A set of power flow controlling transformers. IEEE Trans. Power Deliv. 2003, 18, 149–157. [Google Scholar] [CrossRef]
  12. Song, H.; Na, R. Out-of-Phase Technique Based Few-Step Type Extended “Sen” Transformer and Its Practical Tap Selection Algorithm. Chinese Patent CN5262079A, 18 September 2017. [Google Scholar]
  13. Feng, J.; Han, S.; Pan, Y.; Hu, X. Steady-state modelling of Extended Sen Transformer for unified iterative power flow solution. Electr. Power Syst. Res. 2020, 187, 106492. [Google Scholar] [CrossRef]
  14. Bednarczyk, T.; Szablicki, M.; Halinka, A.; Rzepka, P.; Sowa, P. Phase Shifting Transformer Electromagnetic Model Dedicated for Power System Protection Testing in a Transient Condition. Energies 2021, 14, 627. [Google Scholar] [CrossRef]
  15. Aboshady, F.M. Modified distance protection for transmission line with hexagonal phase-shifting transformer. Int. J. Electr. Power Energy Syst. 2022, 134, 107379. [Google Scholar] [CrossRef]
  16. Albrechtowicz, P. Phase-Shifting Transformer Efficiency Analysis Based on Low-Voltage Laboratory Units. Energies 2021, 14, 5049. [Google Scholar] [CrossRef]
  17. Albrechtowicz, P.; Szczepanik, J. The Comparative Analysis of Phase Shifting Transformers. Energies 2021, 14, 4347. [Google Scholar] [CrossRef]
  18. Szczepanik, J.; Rozegnał, B. The development of the real life model of the five node power system. Czas. Tech. Elektrotechnika 2015, 112, 83–102. [Google Scholar]
Figure 1. APST active power flow and angle versus injected quadrature voltage.
Figure 1. APST active power flow and angle versus injected quadrature voltage.
Energies 15 06224 g001
Figure 2. SPST active power flow and angle versus injected quadrature voltage.
Figure 2. SPST active power flow and angle versus injected quadrature voltage.
Energies 15 06224 g002
Figure 3. ACPST active power flow for 95% Un (yellow), Un (blue), and 105% Un (red).
Figure 3. ACPST active power flow for 95% Un (yellow), Un (blue), and 105% Un (red).
Energies 15 06224 g003
Figure 4. ACPST angle α range for 95% Un (yellow), Un (blue), and 105% Un (red).
Figure 4. ACPST angle α range for 95% Un (yellow), Un (blue), and 105% Un (red).
Energies 15 06224 g004
Figure 5. The ACPST single-phase equivalent scheme. ET—extra transformer responsible for longitudinal voltage regulation, ST—series transformer implementing quadrature voltage into the line, USx—input voltage of any phase, U’Sx—regulated longitudinal voltage of any phase, ΔUx—quadrature voltage injected into the line, ULx—PST output voltage of any phase.
Figure 5. The ACPST single-phase equivalent scheme. ET—extra transformer responsible for longitudinal voltage regulation, ST—series transformer implementing quadrature voltage into the line, USx—input voltage of any phase, U’Sx—regulated longitudinal voltage of any phase, ΔUx—quadrature voltage injected into the line, ULx—PST output voltage of any phase.
Energies 15 06224 g005
Figure 6. The laboratory ACPST phasor diagram for all control possibilities.
Figure 6. The laboratory ACPST phasor diagram for all control possibilities.
Energies 15 06224 g006
Figure 7. Some possible connections of the ST secondary windings in a single-phase equivalent: (a) The base set, (b) 20 V quadrature voltage, (c) 88 V quadrature voltage, (d) 208 V quadrature voltage.
Figure 7. Some possible connections of the ST secondary windings in a single-phase equivalent: (a) The base set, (b) 20 V quadrature voltage, (c) 88 V quadrature voltage, (d) 208 V quadrature voltage.
Energies 15 06224 g007
Figure 8. Simplified laboratory testing scheme.
Figure 8. Simplified laboratory testing scheme.
Energies 15 06224 g008
Figure 9. The Simulink connection scheme for simulation tests of ACPST, APST, and SPST cases.
Figure 9. The Simulink connection scheme for simulation tests of ACPST, APST, and SPST cases.
Energies 15 06224 g009
Figure 10. Measured active power flows versus injected quadrature voltage for analyzed two cases of longitudinal voltages.
Figure 10. Measured active power flows versus injected quadrature voltage for analyzed two cases of longitudinal voltages.
Energies 15 06224 g010
Figure 11. ACPST output voltage versus added quadrature voltage for two cases of longitudinal voltages (230 V—continuous line, 196 V—dotted line).
Figure 11. ACPST output voltage versus added quadrature voltage for two cases of longitudinal voltages (230 V—continuous line, 196 V—dotted line).
Energies 15 06224 g011
Figure 12. Comparison of transferred active power during laboratory tests (continuous line) and simulations (dotted lines).
Figure 12. Comparison of transferred active power during laboratory tests (continuous line) and simulations (dotted lines).
Energies 15 06224 g012
Figure 13. Active power transfer for different PSTs as a function of the set quadrature voltage.
Figure 13. Active power transfer for different PSTs as a function of the set quadrature voltage.
Energies 15 06224 g013
Figure 14. PSTs’ output voltages versus set quadrature voltages.
Figure 14. PSTs’ output voltages versus set quadrature voltages.
Energies 15 06224 g014
Figure 15. Angle α versus injected quadrature voltage for SPST, APST, and both ACPST cases.
Figure 15. Angle α versus injected quadrature voltage for SPST, APST, and both ACPST cases.
Energies 15 06224 g015
Figure 16. Real quadrature voltage versus set quadrature voltage for all PSTs.
Figure 16. Real quadrature voltage versus set quadrature voltage for all PSTs.
Energies 15 06224 g016
Table 1. Transformers’ data.
Table 1. Transformers’ data.
Series Transformer STExtra Transformer ET
Rated Primary Voltage [V]3 × 4003 × 400
Rated Secondary voltage [V]3 × 128/3 × 64/3 × 32/3 × 16/3 × 8/3 × 43 × 400 + 5 × 1.5% − 10 × 1.5%
Rated Primary Current [A]3 × 33.23 × 33
Rated Secondary Current [A]3 × 30/3 × 30/3 × 30/3 × 30/3 × 30/3 × 303 × 32.5
Rated Power [kVA]22.522.5
Rated Frequency [Hz]5050
Connection GroupD/iiiiii *Yy0
Short-Circuit Voltage [%]3.885.10
*—the insulated windings connected in series to the transmission line.
Table 2. Parameters of the output voltage and phase angle for chosen cases of ACPST settings.
Table 2. Parameters of the output voltage and phase angle for chosen cases of ACPST settings.
Longitudinal
Voltage US
Quadrature
Voltage ΔU
Output
Voltage UL [V]
Angle
α [°]
USmax02480
USmin01960
USmaxΔUmax356±45.9
USminΔUmax322±52.6
UnΔUmax344±48.1
Table 3. Comparison of the system voltage and the SPST output voltage for considered quadrature voltage range.
Table 3. Comparison of the system voltage and the SPST output voltage for considered quadrature voltage range.
ΔU081624324048566472
US247.3247.1246.8246.5246.3245.9245.6245.3244.9244.5
UL247.2246.8246.4246245.7245.2244.8244.3243.9243.4
ΔU808896104112120128136144
US244.2243.8243.4242.9242.5242241.7241.2240.7
UL242.9242.4241.9241.3240.5240239.3238.7238.1
Table 4. The comparison of the considered PST.
Table 4. The comparison of the considered PST.
ParameterACPSTAPSTSPST
Active power regulationYesYesYes
Reactive power regulationYesYes *No
Voltage incrementYesYesNo
Voltage decrementYesNo No
Angle regulation range±90°±90°±90°
* Reactive power regulation is not independent as in case of ACPST.
Publisher’s Note: MDPI stays neutral with regard to jurisdictional claims in published maps and institutional affiliations.

Share and Cite

MDPI and ACS Style

Albrechtowicz, P.; Rozegnał, B.; Cisek, P. Comparison of Phase-Shifting Transformers Properties. Energies 2022, 15, 6224. https://doi.org/10.3390/en15176224

AMA Style

Albrechtowicz P, Rozegnał B, Cisek P. Comparison of Phase-Shifting Transformers Properties. Energies. 2022; 15(17):6224. https://doi.org/10.3390/en15176224

Chicago/Turabian Style

Albrechtowicz, Paweł, Bartosz Rozegnał, and Piotr Cisek. 2022. "Comparison of Phase-Shifting Transformers Properties" Energies 15, no. 17: 6224. https://doi.org/10.3390/en15176224

APA Style

Albrechtowicz, P., Rozegnał, B., & Cisek, P. (2022). Comparison of Phase-Shifting Transformers Properties. Energies, 15(17), 6224. https://doi.org/10.3390/en15176224

Note that from the first issue of 2016, this journal uses article numbers instead of page numbers. See further details here.

Article Metrics

Back to TopTop