Abstract
The air filters applied in utility terrain vehicles (UTVs), which are usually driven on dust-prone unpaved roads, employ a two-stage air cleaner that increases the lifespan of the filter element by using a pre-cleaner stage in the air filter intake housing to centrifugally separate any dust particles contained in the intake air before sending the cleaned air to the primary filter. Thus, maximizing the centrifugation capacity by properly modifying the geometry of the intake air passage in the filter housing is important to ensure engine performance and filter lifespan. The geometry of the pre-cleaner air passage was therefore optimized in this study in terms of the inclination angle and air passage location angle using a computational flow analysis to maximize the centrifugal removal of dust particles. The resulting overall pre-cleaner efficiency and overall pre-cleaner efficiency per pressure drop were then used as the objective functions to maximize the dust particle removal capacity according to centrifugation speed. The method demonstrated in this study for optimizing air filter intake geometry can be used to improve and prolong the performance of UTV engines.
1. Introduction
Because they are usually used for agricultural purposes or mountain activities on unpaved roads, utility terrain vehicles (UTVs) are operated in environments with a large amount of soil dust compared to vehicles traveling on paved roads. This results in relatively more soil dust being sucked into the intake system, thereby sharply reducing the air filter lifespan. Thus, instead of the one-stage air cleaner used in general passenger vehicles, which consists of a single filter as shown in Figure 1, a two-stage air cleaner is employed in UTVs that first applies a pre-cleaner stage to separate dust particles from the intake air and into an evacuator through centrifugal force, then sends the cleaned air to the primary filter, as shown in Figure 2 [1,2,3,4,5,6,7]. Thus, only a minimum amount of dust is removed in the second-stage primary filter element. The effective removal of dust is therefore critically important in realizing the desired engine performance and acceptable primary filter lifespan.
Figure 1.
Air purification mechanism of one-stage air cleaner [7].
Figure 2.
Air purification mechanism of a two-stage air cleaner [7].
However, until now, most of the research on air filters has been focused on one-stage air cleaners. In addition, studies related to the shape and material of the filter elements have become mainstream. Looking at some of the representative studies, Maddineni, A.K. et al. researched a numerical methodology for the estimation of flow field and pressure drop within a pleated air filter system that is typically used for automotive engine intake application. They determined an optimal pleat pitch to obtain minimum pressure drop, and this was found to be dependent on pleat height significantly [1]. Mahesh Jagadale carried out a systematic theoretical investigation of the effects of filter element geometric parameters. He found that pressure drop varied non-linearly with filter width and filter thickness [2]. In a study similar to the previous one, Allam, S. et al. conducted a study on the pleated air filter optimization to improve diesel engine performance. They found that in an optimization study considering several variables such as pleat height, pleat spacing, pleat shape and filter medium thickness, the sine wave-shaped pleated air filter minimized pressure dropped [3]. Dziubak, T. et al. introduced a dust absorption coefficient km of a filtering medium. Furthermore, methods of testing filter elements made of nonwoven filter fabrics and working in conditions corresponding to the primary and secondary air filtration stage have been discussed [4]. Song, H.S. et al. studied the new shape of the air cleaner diffuser in the automotive intake system in order to reduce the pressure drop and flow noise. As a result, they purposed the new shape of the air cleaner diffuser [5]. Ramasamy, D. et al. performed optimal design of the intake system for an automobile engine, changing guide vanes placement in the inlet plenum of the filter. The results showed good improvement in flow behavior [6].
To efficiently remove dust particles in the first stage, it is important that the pre-cleaner have a geometric design that effectively induces the dust particles in the intake air into the evacuator by applying the appropriate centrifugal force. As discussed in the previous review, it is difficult to find the study on filter shape optimization to efficiently remove dust in a two-stage air cleaner. This study therefore employed a series of computational flow analyses to optimize the geometric design of the air filter intake pre-cleaner in the two-stage air cleaner of a 0.8 L-class 2-cylinder natural aspiration gasoline engine, which is typically mounted on UTVs. The optimization criteria were established to maximize the centrifugation capacity of the air filter intake pre-cleaner so that the most dust possible was removed.
2. Materials and Methods
2.1. Intake System and Dust Parameters
Although the purpose of this study is to optimize the shape of a two-stage air cleaner, it is very important to consider the entire intake system in the filter shape optimization process because the air cleaner is affected by the intake pipe as a part of the engine intake system [8,9,10]. For this reason, in this study, filter optimization analysis was performed by including the entire intake system as an object of flow analysis. Figure 3 shows the geometry of the engine and intake system considered in this study and the trajectories of the coarse dust particles that can be introduced through the intake system during UTV engine operation. As shown in the figure, when the first stage pre-cleaner of the air filter is effectively designed, most of the coarse dust particles will be collected in the evacuator for discharge, and only clean air is sent to the primary filter.
Figure 3.
Air intake system configuration and traces of dust particles during operation.
Figure 4 shows the definitions of the design variables α and β used to control the passage of air through the pre-cleaner and into the primary filter. As shown in the figure, the air containing dust particles is introduced into the air filter through the snorkel of the intake system and moves toward the end where the evacuator is located while rotating along the outer surface of the air filter at the pre-cleaner inlet. The inclination angle α shown in the figure controls the direction of the dust particles as they move forward under rotation. As can be seen from Figure 2 and Figure 4, the dust particles that are forced out of the end of the pre-cleaner drop into the evacuator, which is located below the filter, under the influence of both centrifugal force and gravity, realizing separation. Then, only the cleaned air moves from the pre-cleaner into the primary filter through the air passage connecting the two spaces. The angle β determines the location of this air passage, and is thus an important variable dictating the efficacy of dust particle separation according to the filter operating conditions (e.g., the intake air volume, which determines the flow velocity) and the properties of the dust particles (e.g., their size and weight, which are related to the applied centrifugal force).
Figure 4.
Definition of design variables α and β.
An analysis was accordingly conducted in this study by setting the actual position of the intake system inside the engine as the basic coordinates because the location of the intake system may also influence the effects of gravity on the dust particles. The analysis was then performed using (density: 2648 kg/m3, molecular weight: 60 g/mol) dust particles with reference to the standard dust particle composition provided by International Standards Organization (ISO) 12103-1, as shown in Table 1, and the particle size distribution for the off-road case, shown in Table 2 [11].
Table 1.
Chemical composition of dust particles from International Standards Organization (ISO) 12103-1 [11].
Table 2.
Dust particle size distribution according to driving environment from ISO 12103-1 [11].
2.2. Numerical Analysis
Figure 5 shows the geometric configuration and model mesh employed in the computational fluid dynamics (CFD) analysis of the air intake system conducted in this study using ANSYS CFX. Since the resolution of the mesh defining the computational domain directly affects the quality and cost of the analysis, the geometry and size of the computational mesh were determined using a mesh-independence test [12]. As a result of this test, approximately 4,100,000 meshes were used to construct the model in this study. Considering the complexity of the geometry, the inside of the air intake system was constructed with tetrahedral meshes. For the walls, four-layer inflation was inserted using prism meshes so that the y+ value could be 100 or less in order to properly consider the effect of turbulence on the calculation results [13]. Table 3 shows the boundary conditions used for the analysis. As shown in the table, an air temperature of 25 ℃ and an air pressure of 1 bar were set as inlet boundary conditions. For the outlet boundary conditions, an air mass flow of 0.0255 kg/s was applied at 4500 rpm full load condition and 0.0340 kg/s was applied at 6000 rpm full load condition. These values were provided by the engine manufacturer that produces the 0.8 L-class 2-cylinder natural aspiration gasoline engine mounted on off-road UTVs. Note that 4500 rpm is the most frequently used full load operating condition for UTVs, while operating at 6000 rpm can produce the maximum output from UTVs. The shear stress transport (SST) model recommended by CFX as being suitable for rotating flow was employed as the turbulence model in this analysis [13].
Figure 5.
Computational mesh of the intake system with four-layer inflation.
Table 3.
Computational fluid dynamics (CFD) model and boundary conditions.
2.3. Rig Test to Determine Flow Characteristics of Primary Filter
Figure 6 shows the exterior of the pre-cleaner and the primary filter element inside the two-stage air cleaner, as well as the test rig used to measure the flow resistance according to the air flow. The primary filter element, which filters the particulate matter, is generally modelled as a porous material in computational flow analyses [2,3,4,5,13]. As a result, the most important flow characteristic value in the model is the pressure drop across the primary filter element according to the air flow rate. When using ANSYS CFX, the flow resistance of the porous filter material is taken as the momentum source term () as follows [13]:
where µ and ρ are the viscosity and density of the working fluid, respectively; the linear term of the velocity () is modified by , which represents the magnitude of viscous loss; and the quadratic term of the velocity is modified by , which represents the inertial loss.
Figure 6.
Test rig with air cleaner used to determine the flow characteristics of primary filter.
To obtain the coefficients and in Equation (1) using the experimentally obtained values, can be defined as the pressure drop () that occurs when the working fluid passes through the thickness (L) of the primary filter element, and the values of (the linear resistance coefficient) and (the quadratic resistance coefficient) are determined by transforming Equation (1) into [13]
Figure 7 shows the experimentally measured flow resistance of the air cleaner according to the air flow rate, which was controlled by the flow control valve and measured by the Flowmeter, when the primary filter element was and was not installed in the test rig shown in Figure 6. Based on these results, the flow resistance of the primary filter element alone () was defined as the difference between the pressure drop measured when the primary filter element was installed inside the air cleaner and that measured when it was not. Then, the values of = 66 kg/m3·s = 6820 kg/m4 were obtained through regression analysis using Equation (2). Finally, the primary filter element was modelled as a porous material by reflecting these experimentally obtained flow resistance properties and the computational flow analysis was conducted.
Figure 7.
Flow resistance characteristics of primary filter element in air cleaner.
2.4. Objective Function for Design Optimization
To determine the optimal values of the design variables α and β for the pre-cleaner used to filter coarse dust particles from the intake air into the evacuator, the filtering efficiency of the pre-cleaner must first be obtained. To this end, it is necessary to analyze the behaviour of the dust particles inside the pre-cleaner according to the operating conditions. In this study, the movements of dust particles inside the intake system were calculated according to the air flow using the one-way coupling method. In this method, the air flow field inside the intake system is analyzed first, and the particle path in the flow field is then predicted by injecting dust particles into the calculated air flow field. Considering CPU usage, two-way coupling uses around 200 particles, but one-way coupling uses a value of more than 5000 for accuracy of interpretation [14,15,16,17]. In this study, the behaviours of dust particles were analyzed by introducing total 10,000 SiO2 particles each of sized 10, 50, 100, 150 and 200 μm into the air flow based on the off-road condition particle size distribution shown in Table 2 and applied as shown in Table 3.
The efficiency of the pre-cleaner in filtering dust particles of size i, , was determined by
where is the total mass of the i-th size dust particles added at the inlet of the intake system and is the total mass of the i-th size dust particles collected in the evacuator. Using , the overall pre-cleaner efficiency can be calculated by
where is the ratio of the mass of the i-th size particles to the total mass of the dust particles added at the inlet of the intake system.
The objective function used to maximize the overall pre-cleaner efficiency is dominated by the two design optimization variables α and β, which largely determine the flow of dust particles inside the pre-cleaner. The optimization analysis range of each design variable was therefore set considering the physical limitations of the air intake system considered in this study, with 30° ≤ α ≤ 50° and 0° ≤ β ≤ 360°.
When optimizing α and β to realize the maximum pre-cleaner performance, the pressure drop problem must also be considered. When the geometry of the pre-cleaner, which is a part of the flow path of the intake system, is changed according to α and β, the pressure drop () also changes, affecting the overall resistance of the filter. Therefore, when considering the change in , the objective function must be newly defined. In this study, the optimization process was thus performed by additionally defining an overall pre-cleaner efficiency per pressure drop, , using a new objective function
3. Results and Discussion
Figure 8 shows the simulated movement behaviour of dust particles sized 10, 50, 100, 150 and 200 μm in the intake system at a centrifugation speed of 4500 rpm, which is the most frequently used operating condition. To calculate the overall pre-cleaner efficiency using Equations (3) and (4), the primary filter element was modelled as a porous material, and the analysis was conducted under the condition that only flow resistance applies and the unseparated dust particles pass through the porous material. This allowed the efficiency to be easily calculated by distinguishing the dust particles caught in the evacuator located in the pre-cleaner during operation from those that exited toward the primary filter element through the air passage. As can be seen from the figure, some of the 10 μm dust particles, which are the lightest under the given operating and design conditions, were caught in the evacuator but others exited toward the primary filter element through the air passage, whereas all of the relatively heavy 50, 100 and 150 μm particles were filtered by the evacuator due to the sufficient centrifugal force. However, some of the heaviest 200 μm particles escaped through the air passage, indicating that complex correlations may occur between the operating conditions and design variables.
Figure 8.
Dust traces in intake system at 4500 rpm condition, where α = 30° and β = 60°.
An optimization analysis was then conducted based on the simulation results using Design Exploration, an optimization software program provided by ANSYS [18]. Design Exploration was used to obtain the maximum value of the objective function by creating response surface functions representing the overall pre-cleaner efficiency and the overall pre-cleaner efficiency per pressure drop based on the analysis points extracted from the numerical analyses.
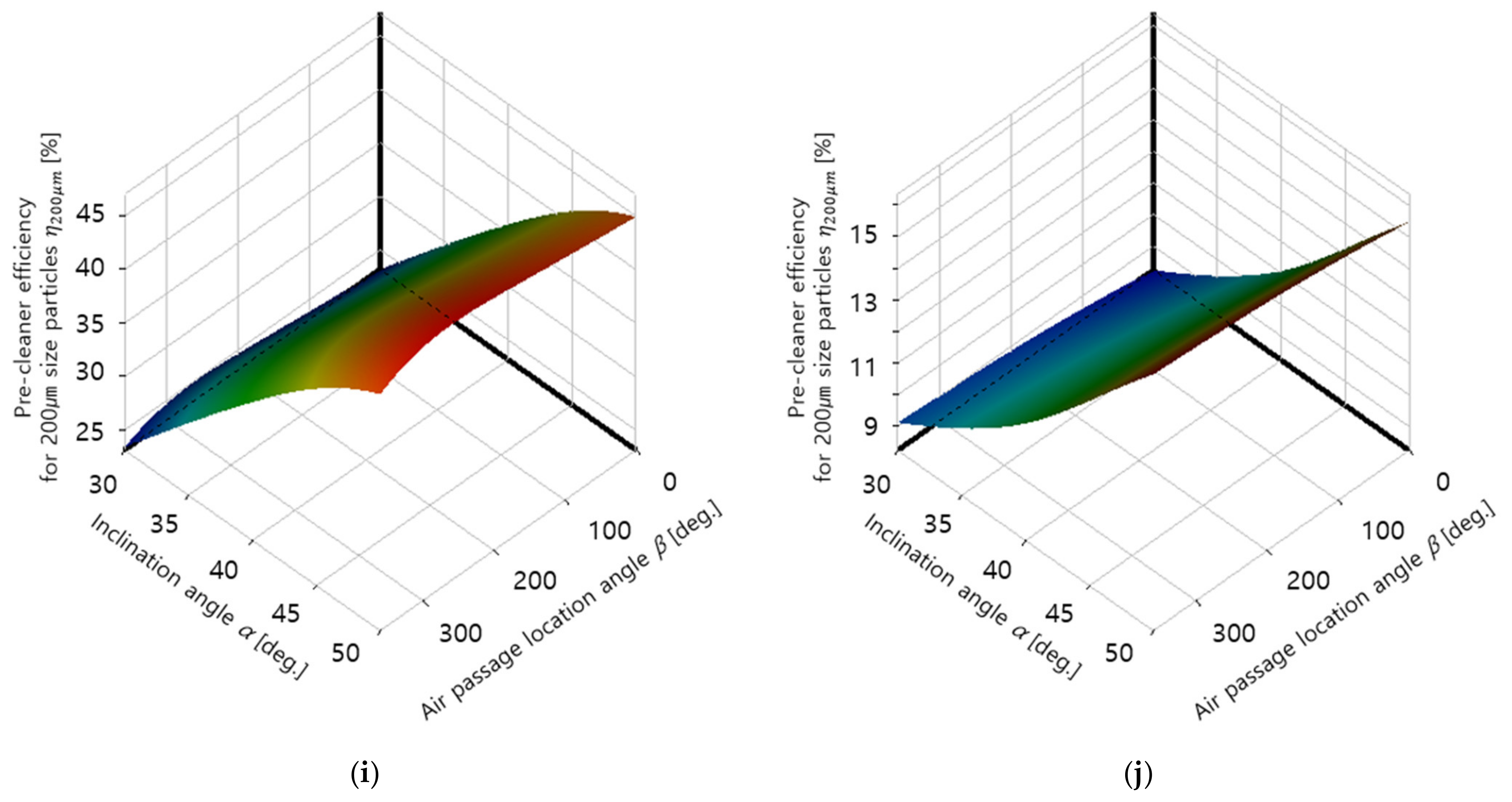
Figure 9 shows the response surfaces obtained from the results of the computational flow analysis of pre-cleaner efficiency for each dust particle size according to the values of α and β. The efficiency of 10 μm particle removal was notably lower than that of the other particles. This appears to be because these particles could not be sufficiently separated from air as they were relatively light and thus did not receive sufficient centrifugal force from the rotation of the air along the flow path inside the pre-cleaner. The case of the 10 μm particles demonstrates that the angle β exhibits a maximum efficiency at a specific value. This tendency to exhibit a discrete maximum gradually decreased as the particle size increased, and particles sized of 150 μm or larger were not affected by the β value at all. In terms of the angle α, which affects the rotational direction of the intake air, the pre-cleaner efficiency also reacted very sensitively to particle size. Overall, as the particle size increased, the α value that maximized the pre-cleaner efficiency also showed a tendency to increase.


Figure 9.
Response surface of pre-cleaner efficiency for dust particle of each size according to change of design variables α and β: (a) 4500 rpm, dust size = 10 μm; (b) 6000 rpm, dust size = 10 μm; (c) 4500 rpm, dust size = 50 μm; (d) 6000 rpm, dust size = 50 μm; (e) 4500 rpm, dust size = 100 μm; (f) 6000 rpm, dust size = 100 μm; (g) 4500 rpm, dust size = 150 μm; (h) 6000 rpm, dust size = 150 μm; (i) 4500 rpm, dust size = 200 μm; and (j) 6000 rpm, dust size = 200 μm.
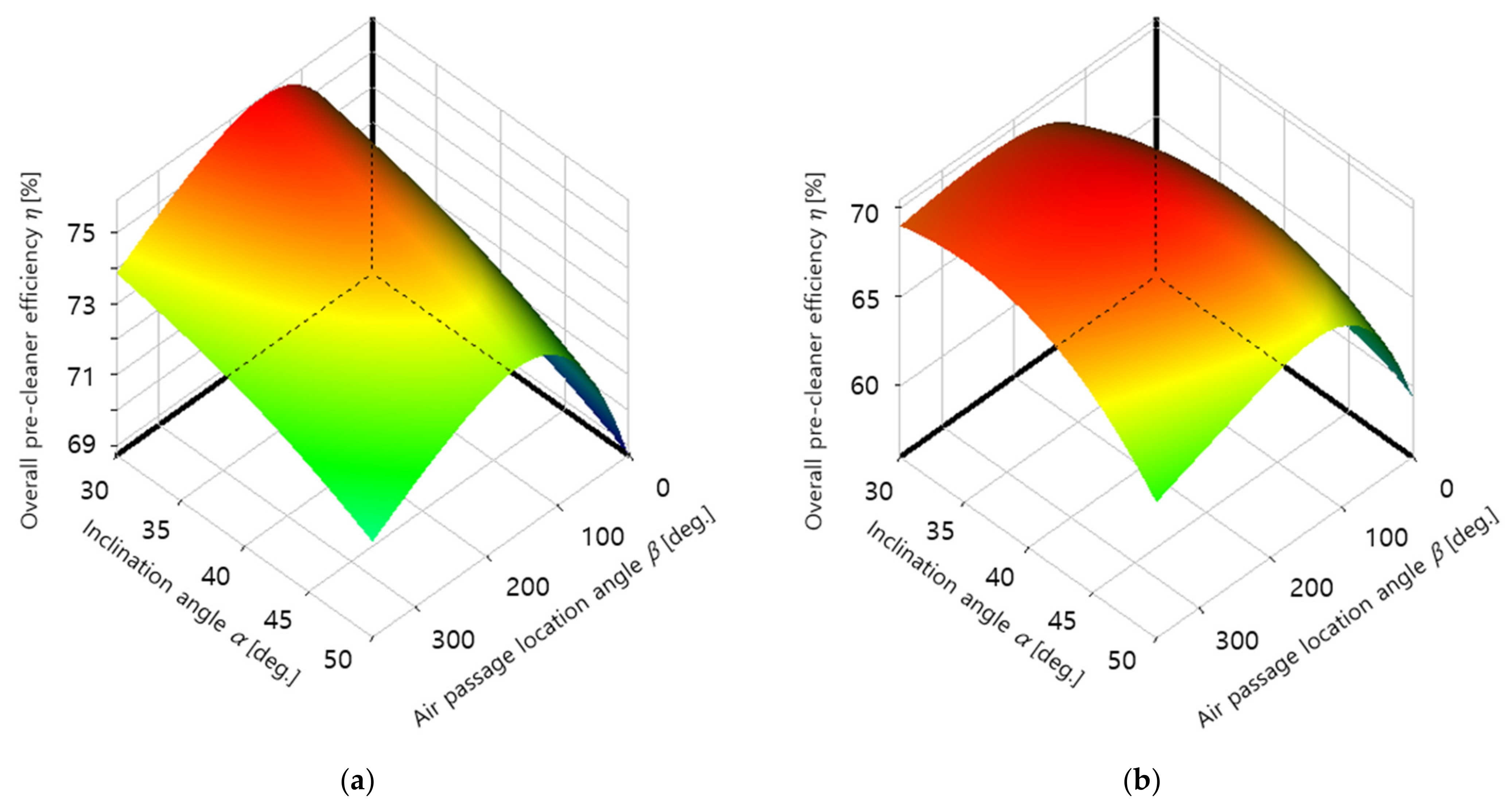
Figure 10 shows the response surfaces for the overall pre-cleaner efficiency calculated using Equation (4). When the optimal values for design variables α and β were calculated using the ANSYS Design Exploration optimization software, it was found that the pre-cleaner efficiency was maximized at α = 30° and β = 156° for 4500 rpm and at α = 37° and β = 233° for 6000 rpm.

Figure 10.
Overall pre-cleaner efficiency according to change in design variables α and β: response surfaces at (a) 4500 rpm and (b) 6000 rpm and response planes at (c) 4500 rpm and (d) 6000 rpm.
Figure 11 shows the calculated pressure drop in the intake system according to the design variables α and β, in which it can be observed that the pressure drop was not sensitive to but was very sensitive to α. This is because the frictional resistance decreased with increasing α, as the air introduced into the pre-cleaner was bent and rotated at a larger angle, thereby decreasing the number of air rotations during its movement through the pre-cleaner and thus the total travel distance of the air before escaping through the air passage.
Figure 11.
Response surfaces of pressure drop in intake system according to change in design variables α and β: (a) 4500 rpm and (b) 6000 rpm.
Figure 12 is a picture drawn from the pressure distribution and velocity vector in a specific section of the air cleaner calculated at 4500 rpm condition. Looking closely at the picture, it can be seen that the suction air passing through a pre-cleaner stage rotates very quickly and moves toward the evacuator. On the contrary, it can be seen that the speed of air passing through the primary filter rapidly drops due to the resistance of the filter element.
Figure 12.
Velocity vectors and pressure contour on specific plan of air cleaner box at 4500 rpm condition.
Figure 13 and Figure 14 are the results showing how the pressure drop of the air passing through the air cleaner changes as the optimization design variable α and engine speed change. Comparing the pressure contour results at the pre-cleaner stage of the air cleaner in the figure, it can be confirmed once again that the pressure drop rapidly decreases as the variable α increases. As shown by Equation (2), it can be seen by comparing the results of Figure 13 and Figure 14 that the pressure drop phenomenon in the filter becomes more severe because the flow velocity through the filter increases as the engine speed increases to 6000 rpm.

Figure 13.
Pressure and velocity contour on plan specified Figure 12 according to change in design variable α at 4500 rpm condition: pressure contours at (a) α = 30°, (b) α = 40° and (c) α = 50°, and velocity contours at (d) α = 30°, (e) α = 40° and (f) α = 50°.
Figure 14.
Pressure and velocity contour on plan specified Figure 12 according to change in design variable α at 6000 rpm condition: pressure contours at (a) α = 30°, (b) α = 40° and (c) α = 50°, and velocity contours at (d) α = 30°, (e) α = 40° and (f) α = 50°.
Figure 15 shows the response surfaces for the overall pre-cleaner efficiency per pressure drop according to the design variables α and β, in which a higher value indicates that a higher pre-cleaner dust particle collection efficiency was achieved with a lower pressure drop. When was calculated according to the design variables α and β using the ANSYS Design Exploration optimization software, exhibited its highest value at α = 50° and β = 163° for 4500 rpm and at α = 44° and β = 164° for 6000 rpm. Finally, it was necessary to compromise between these two values to maximize the dust particle filtering efficiency of the pre-cleaner while minimizing the pressure drop at both 4500 rpm, which is the centrifugation speed typically used by UTVs, and 6000 rpm, which can produce the maximum UTV engine output. Since the difference between these two values was not large, the best results can be obtained using α = 50° and β = 163°, as 4500 rpm is the most common operating condition.

Figure 15.
Overall pre-cleaner efficiency per pressure drop according to change in design variables α and β: response surfaces at (a) 4500 rpm and (b) 6000 rpm and response planes at (c) 4500 rpm and (d) 6000 rpm.
4. Conclusions
This study optimized the pre-cleaner in the intake air filter housing of a two-stage UTV air filter, which is designed to remove dust by converting the linear kinetic energy of the intake air including soil dust into rotational kinetic energy by applying centrifugal force to the dust particles. The geometry of this pre-cleaner was optimized to maximize its dust particle removal capacity using a series of computational flow analyses. The inclination angle α and air passage location angle β, which control the flow of air through the pre-cleaner, were selected as the design variables, and a geometric optimization was performed using the overall pre-cleaner efficiency per pressure drop , which is determined from these variables as the objective function. The conclusions drawn from the results of this study are summarised as follows.
- The overall pre-cleaner efficiency , which represents the dust particle filtering capacity of the pre-cleaner, was defined for optimization. The analysis results showed that was maximized for the target filter at α = 30° and β = 156° for 4500 rpm, which is the operating condition commonly used by UTVs, and at α = 37° and β = 233° for 6000 rpm, which can produce the maximum UTV engine output.
- The overall pre-cleaner efficiency per pressure drop was defined considering both the dust particle filtering capacity of the filter and the degradation of filter functionality due to the increase in flow resistance. The results indicated that the target filter has the largest at α = 50° and β = 163° for 4500 rpm and at α = 44° and β = 164° for 6000 rpm.
The optimization method demonstrated in this study is expected to be useful for realizing the improved design of two-stage UTV air filters to ensure longer life of the primary filter and more reliable engine performance in dusty off-road environments. However, the optimization design study was performed with two design variables such as the inclination angle α and the air passage location angle β. In addition to these two variables, several variables are directly or indirectly involved in the filter performance. In the future, optimization studies considering even the characteristics of primary filters are expected to be carried out.
Author Contributions
J.-E.Y. planned research and prepared this paper by conducting CFD analysis and summarising the results. All authors have read and agreed to the published version of the manuscript.
Funding
This research was supported by the Centre for Environmentally Friendly Vehicles (CEFV) as the Global-Top Project of the Ministry of Environment, Korea (KMOE).
Acknowledgments
This work was supported by the Centre for Environmentally Friendly Vehicles (CEFV) as the Global-Top Project of the Ministry of Environment, Korea (KMOE).
Conflicts of Interest
The authors declare no conflict of interest.
References
- Maddineni, A.K.; Das, D.; Damodaran, R.M. Numerical investigation of pressure and flow characteristics of pleated air filter system for automotive engine intake application. Sep. Purif. Technol. 2019, 212, 126–134. [Google Scholar] [CrossRef]
- Mahesh, J. Parametric Study and CFD Analysis of Air Filter. Asian J. Converg. Technol. 2019, 5, 1–9. [Google Scholar]
- Allam, S.; Elsaid, A.M. Parametric study on vehicle fuel economy and optimization criteria of the pleated air filter designs to improve the performance of an I.C diesel engine: Experimental and CFD approaches. Sep. Purif. Technol. 2020, 241, 116680. [Google Scholar] [CrossRef]
- Dziubak, T.; Szwedkowicz, S. Experimental research on nonwoven filter fabric for intake air filtration in the IC engine of an off-road vehicle. Arch. Motoryz. 2014, 66, 3–22. [Google Scholar]
- Song, H.S.; Yang, B.M.; Cho, H.M. A Study on the Optimum Shape of Automobile Air Cleaner Diffuser. Int. J. Appl. Eng. Res. 2017, 12, 3377–3381. [Google Scholar]
- Ramasamy, D.; Zamri, M.; Mahendran, S.; Vijayan, S. Design Optimization of Air Intake System (AIS) of 1.6L Engine by Adding Guide Vane. In Proceedings of the International MultiConference of Engineers and Computer Scientists 2010 Vol II, IMECS 2010, Hong Kong, China, 17–19 March 2010. [Google Scholar]
- Engine Air Filtration for Light, Medium, & Heavy Dust Conditions. Available online: https://www.donaldson.com/content/dam/donaldson/engine-hydraulics-bulk/catalogs/air-intake/north-america/F110027-ENG/Air-Intake-Systems-Product-Guide.pdf (accessed on 5 April 2021).
- Xiongbo, D.; Yiqun, L.; Jingping, L.; Lai, M.-C.; Jansons, M.; Guo, G.; Zhang, S.; Tang, Q. Experimental and numerical investigation of the effects of low-pressure, high-pressure and internal EGR configurations on the performance, combustion and emission characteristics in a hydrogen-enriched heavy-duty lean-burn natural gas SI engine. Energy Convers. Manag. 2019, 195, 1319–1333. [Google Scholar]
- Xiongbo, D.; Lai, M.-C.; Jansons, M.; Guo, G.; Liu, J. A review of controlling strategies of the ignition timing and combustion phase in homogeneous charge compression ignition (HCCI) engine. Fuel 2021, 285, 119142. [Google Scholar]
- Yun, J.E. 1-D transient emission analysis of LPG engine catalytic converter with secondary air injection during cold start period of CVS-75 mode. Int. J. Automot. Technol. 2013, 14, 343–353. [Google Scholar] [CrossRef]
- International Standards Organization (ISO). ISO 12103-1:2016, Road Vehicles—Test Contaminants for Filter Evaluation; ISO: Geneva, Switzerland, 2016. [Google Scholar]
- Atac, O.F.; Yun, J.E.; Noh, T.H. Aerodynamic Design Optimization of a Micro Radial Compressor of a Turbocharger. Energies 2018, 11, 1827. [Google Scholar] [CrossRef]
- ANSYS, Inc. ANSYS CFX-Solver Theory Guide, Release R1; ANSYS: Canonsburg, PA, USA, 2020. [Google Scholar]
- Al-Sarkhi, A.; Chambers, F.W. Optimization technique for design of automotive air filter housings with improved fluid dynamic performance and filtration. Part Sci. Technol. 2004, 22, 235–252. [Google Scholar] [CrossRef]
- Coates, M.S.; Chan, H.K.; Fletcher, D.F.; Raper, J.A. Effect of Design on the Performance of Dry Power Inhaler Using Computational Fluid Dynamics. Part 2: Air Inlet Size. J. Pharm. Sci. 2006, 95, 1382–1392. [Google Scholar] [CrossRef] [PubMed]
- Zhang, Z.; Chen, Q. Comparison of the Eulerian and Lagrangian Methods for Predicting Particle Transport in Enclosed Spaces. Atmos. Environ. 2007, 41, 5236–5248. [Google Scholar] [CrossRef]
- ANSYS, Inc. ANSYS CFX Tutorials, Release R1; ANSYS: Canonsburg, PA, USA, 2020. [Google Scholar]
- ANSYS, Inc. ANSYS Design Exploration, Release R1; ANSYS: Canonsburg, PA, USA, 2020. [Google Scholar]
Publisher’s Note: MDPI stays neutral with regard to jurisdictional claims in published maps and institutional affiliations. |
© 2021 by the author. Licensee MDPI, Basel, Switzerland. This article is an open access article distributed under the terms and conditions of the Creative Commons Attribution (CC BY) license (https://creativecommons.org/licenses/by/4.0/).



















