The Equivalent Effect of Initial Condition Coupling on the Laminar Burning Velocity of Natural Gas Diluted by CO2
Abstract
1. Introduction
2. Experimental Setup
3. Data Processing
3.1. Extraction of Flame Radius
3.2. Data Calculation
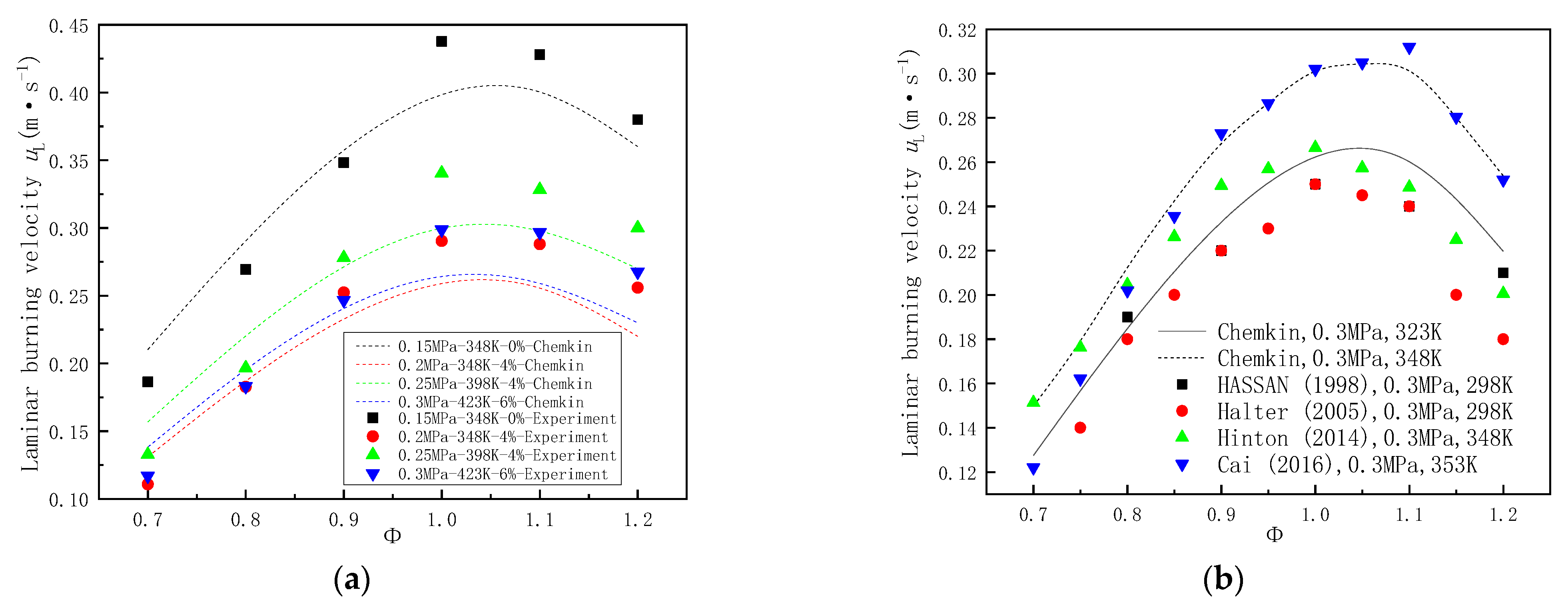
3.3. Chemical Kinetic Model
4. Results and Discussion
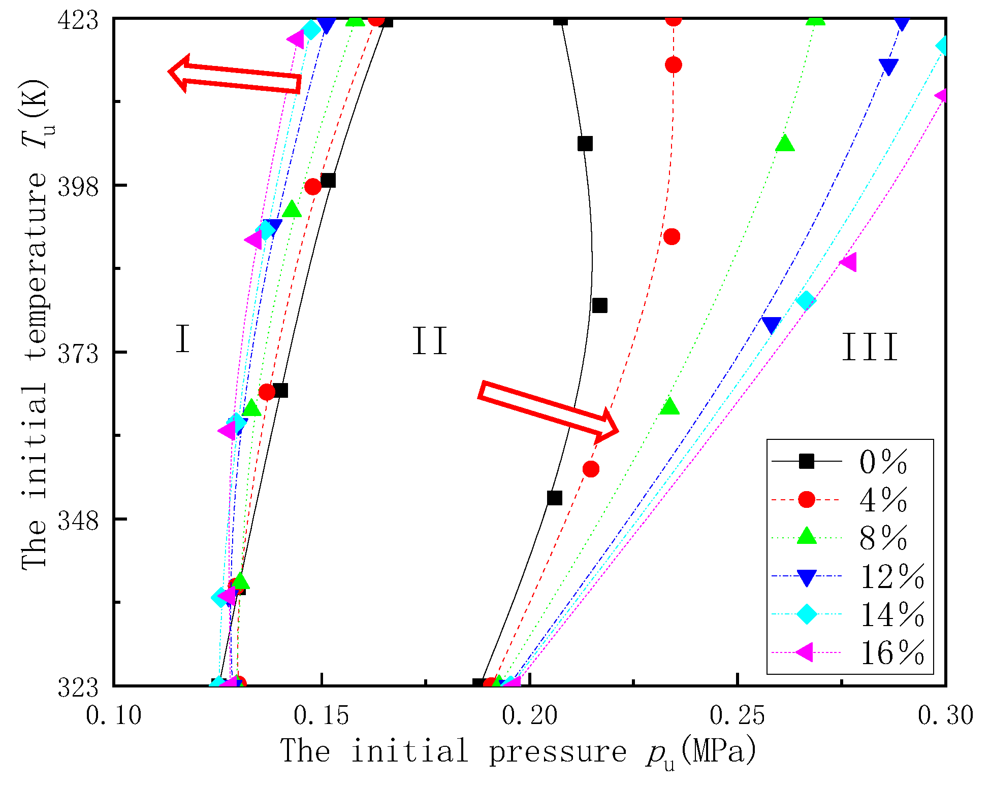
Analysis of Laminar Burning Velocities Distribution of Natural Gas
5. Conclusions
- As the initial temperature increases and the initial pressure decreases, the rate of change in laminar burning velocity increases. Moreover, the increase in equivalent ratio makes the variation of laminar burning velocity show a trend increasing first and then decreasing and the maximum value is reached when Φ = 1.1, while with the increase in the dilution rate, the variation in laminar burning velocity gradually decreases and the isoline of laminar burning velocity gradually moves towards the high-temperature and low-pressure area.
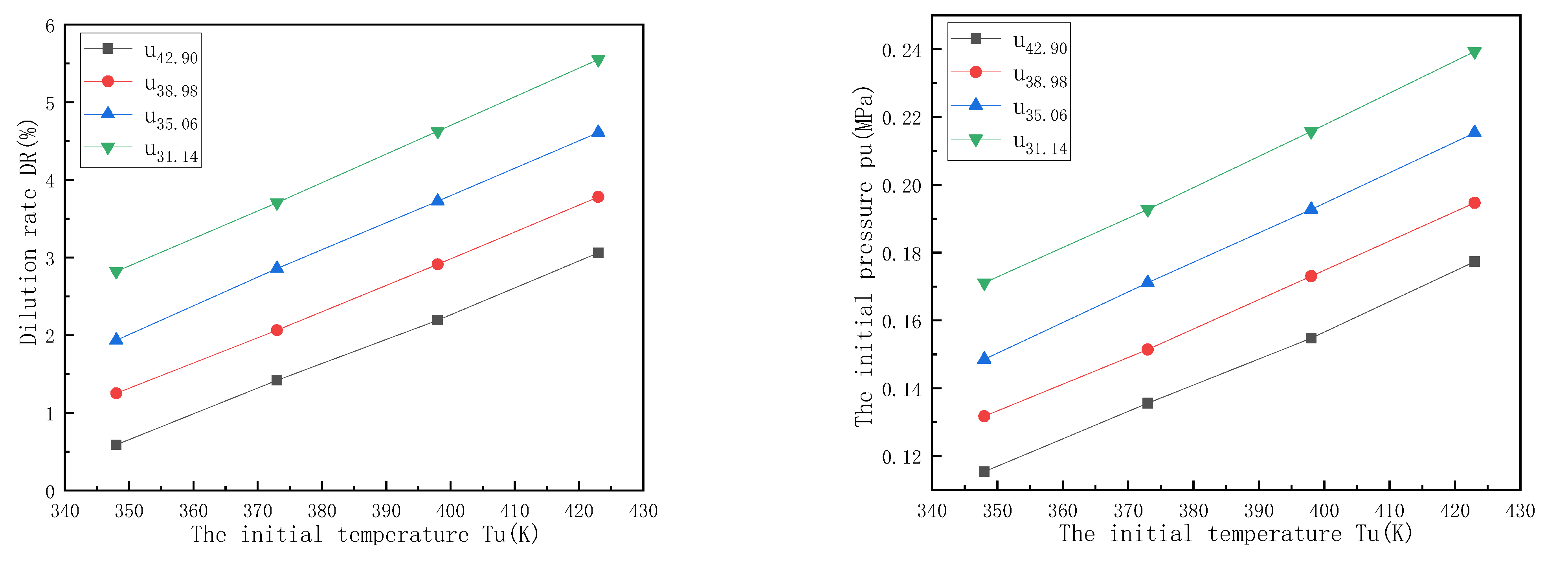
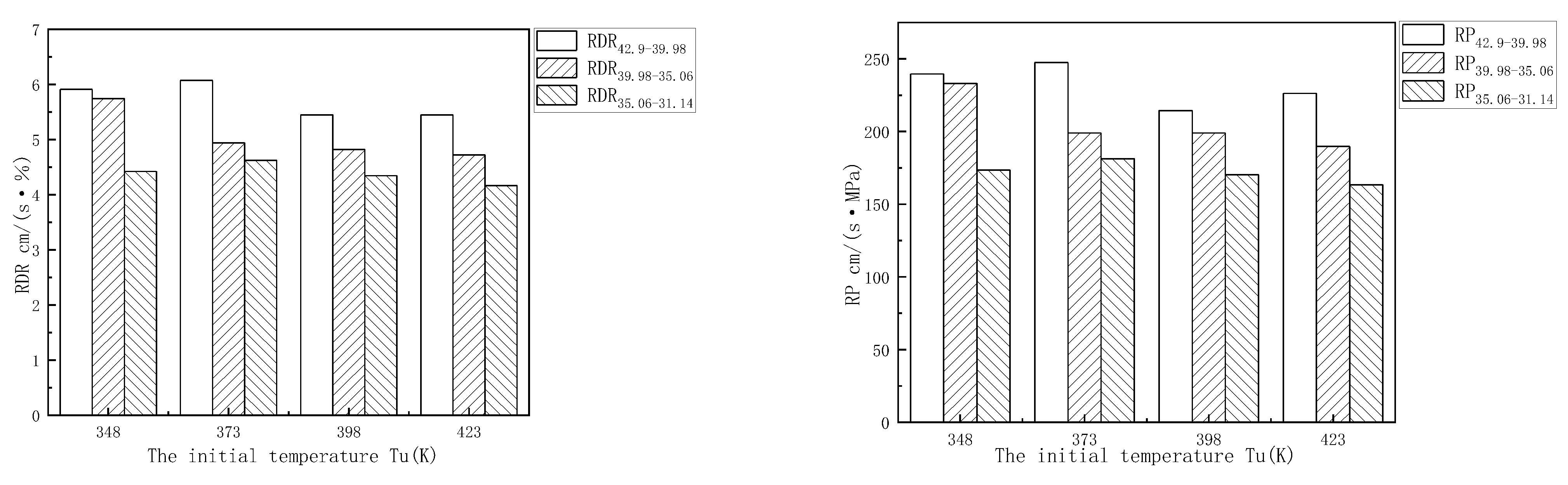
- The equivalent effect of initial condition coupling can obtain equal laminar burning velocity with the dilution rate increasing (or decreasing) by 2% and the initial temperature increasing (or decreasing) by 29 K. Additionally, the variation in laminar burning velocity tends to decrease with the increase in initial pressure, and the isoline of laminar burning velocity gradually moves towards the high-temperature and low-dilution rate area.
- With the dilution rate and the initial pressure decreasing, the rate of change in laminar burning velocity increases. Additionally, the variation in laminar burning velocity tends to increase with the increase in initial temperature, and the isoline of laminar burning velocity gradually moves towards the high-pressure and high-dilution rate area.
- As the equivalence ratio increases when the initial temperature is less than 384 K, the area with the greater initial temperature influence weight gradually increases, and when it exceeds 384 K, the area increases first and then decreases; when the initial temperature is greater than 412 K, the area gradually decreases with the increase in equivalence ratio, while when the initial temperature is less than 342 K, the area gradually increases with the increase in equivalence ratio.
- With the increase in dilution rate, the area with the greater initial temperature influence weight gradually decreases and the decrease rate gradually decreases. In the low-pressure and high-dilution rate region, the initial pressure has a greater influence weight on laminar burning velocity, while in the high-pressure and low-dilution rate region, the dilution rate has a greater influence weight on laminar burning velocity.
Author Contributions
Funding
Institutional Review Board Statement
Informed Consent Statement
Data Availability Statement
Conflicts of Interest
Nomenclature
| Pu | Initial pressure, MPa |
| Tu | Initial temperature, K |
| uL | Laminar burning velocity, m·s−1 |
| DR | Dilution rate |
| Φ | Equivalence ratio |
| CVC | Constant volume chamber |
| EGR | Exhaust gas recirculation |
| Ru | Instantaneous flame radius: mm |
| Sn | Stretched flame propagation speed, m·s−1 |
| κ | Curvature of spherical flame, mm−1 |
| K | Stretch rate, s−1 |
| Lb | Markstein length, mm |
| Sl | Unstretched flame propagation speed, m·s−1 |
| Le | Lewis number |
| λ | Thermal conductivity, W∙(m∙K)−1 |
| ρu | Density of unburned gas, kg∙m−3 |
| cp | Specific heat capacity, J∙(kg∙K)−1 |
| Dm | Mass diffusion coefficient, m2·s−1 |
| DT | Thermal diffusion coefficient, m2·s−1 |
| ρb | Density of burned gas, kg∙m−3 |
| σ | Thermal expansion ratio |
References
- Verma, G.; Prasad, R.K.; Agarwal, R.A.; Jain, S.; Agarwal, A.K. Experimental investigations of combustion, performance and emission characteristics of a hydrogen enriched natural gas fuelled prototype spark ignition engine. Fuel 2016, 178, 209–217. [Google Scholar] [CrossRef]
- Zheng, J.; Wang, J.; Zhao, Z.; Wang, D.; Huang, Z. Effect of equivalence ratio on combustion and emissions of a dual-fuel natural gas engine ignited with diesel. Appl. Therm. Eng. 2019, 146, 738–751. [Google Scholar] [CrossRef]
- Moon, S. Potential of direct-injection for the improvement of homogeneous-charge combustion in spark-ignition natural gas engines. Appl. Therm. Eng. 2018, 136, 41–48. [Google Scholar] [CrossRef]
- Wang, S.; Wang, Z.; He, Y.; Han, X.; Sun, Z.; Zhu, Y.; Costa, M. Laminar burning velocities of CH4/O-2/N-2 and oxygen-enriched CH4/O-2/CO2 flames at elevated pressures measured using the heat flux method. Fuel 2020, 259, 116152. [Google Scholar] [CrossRef]
- Hu, E.; Xu, Z.; Gao, Z.; Xu, J.; Huang, Z. Experimental and numerical study on laminar burning velocity of gasoline and gasoline surrogates. Fuel 2019, 256. [Google Scholar] [CrossRef]
- Van Treek, L.; Lavadera, M.L.; Seidel, L.; Mauss, F.; Konnov, A.A. Experimental and modelling study of laminar burning velocity of aqueous ethanol. Fuel 2019, 257, 116069. [Google Scholar] [CrossRef]
- Han, Z.; Zhu, Z.; Wang, P.; Liang, K.; Zuo, Z.; Zeng, D. The Effect of Initial Conditions on the Laminar Burning Characteristics of Natural Gas Diluted by CO2. Energies 2019, 12, 2892. [Google Scholar] [CrossRef]
- Hermanns, R.R.; Konnov, A.A.; Bastiaans, R.R.; De Goey, L.P.; Lucka, K.; Kohne, H. Effects of temperature and composition on the laminar burning velocity of CH4+H2+O2+N2 flames. Fuel 2010, 89, 114–121. [Google Scholar] [CrossRef]
- Halter, F.; Chauveau, C.; Djeballi-Chaumeix, N.; Gokalp, I. Characterization of the effects of pressure and hydrogen concentration on laminar burning velocities of methane-hydrogen-air mixtures. Proc. Combust. Inst. 2005, 30, 201–208. [Google Scholar] [CrossRef]
- Xie, M.; Fu, J.; Zhang, Y.; Shu, J.; Shu, J.; Liu, J.; Zeng, D. Numerical analysis on the effects of CO2 dilution on the laminar burning velocity of premixed methane/air flame with elevated initial temperature and pressure. Fuel 2020, 264, 116858. [Google Scholar] [CrossRef]
- Chan, Y.L.; Zhu, M.M.; Zhang, Z.Z.; Liu, P.F.; Zhang, D.K. The Effect of CO2 Dilution on the Laminar Burning Velocity of Premixed Methane/Air Flames. Energy Procedia 2015, 75, 3048–3053. [Google Scholar] [CrossRef]
- Zhou, Q.; Cheung, C.S.; Leung, C.W.; Li, X.; Huang, Z. Effects of diluents on laminar burning characteristics of bio-syngas at elevated pressure. Fuel 2019, 248, 8–15. [Google Scholar] [CrossRef]
- Huang, Z.; Zhang, Y.; Zeng, K.; Liu, B.; Wang, Q.; Jiang, D. Measurements of laminar burning velocities for natural gas-hydrogen-air mixtures. Combust. Flame 2006, 146, 302–311. [Google Scholar] [CrossRef]
- Dirrenberger, P.; Le Gall, H.; Bounaceur, R.; Herbinet, O.; Glaude, P.A.; Konnov, A.; Battin-Leclerc, F. Measurements of Laminar Flame Velocity for Components of Natural Gas. Energy Fuels 2011, 25, 3875–3984. [Google Scholar] [CrossRef]
- Li, H.-M.; Li, G.-X.; Sun, Z.-Y.; Zhai, Y.; Zhou, Z.-H. Measurement of the laminar burning velocities and markstein lengths of lean and stoichiometric syngas premixed flames under various hydrogen fractions. Int. J. Hydrog. Energy 2014, 39, 17371–17380. [Google Scholar] [CrossRef]
- Qian, Y. Research on the Influence of Key Parameters on the Equivalent Effect of Natural Gas-CO2-Air Premixed Combustion; Xi hua University: Chengdu, China, 2018. [Google Scholar]
- Zhang, X.; Huang, Z.; Zhang, Z.; Zheng, J.; Yu, W.; Jiang, D. Measurements of laminar burning velocities and flame stability analysis for dissociated methanol-air-diluent mixtures at elevated temperatures and pressures. Int. J. Hydrog. Energy 2009, 34, 4862–4875. [Google Scholar] [CrossRef]
- Wang, J.; Huang, Z.; Kobayashi, H.; Ogami, Y. Laminar burning velocities and flame characteristics of CO-H-2-CO2-O-2 mixtures. Int. J. Hydrog. Energy 2012, 37, 19158–19167. [Google Scholar] [CrossRef]
- Vu, T.M.; Park, J.; Kwon, O.B.; Bae, D.S.; Yun, J.H.; Keel, S.I. Effects of diluents on cellular instabilities in outwardly propagating spherical syngas-air premixed flames. Int. J. Hydrogen Energy 2010, 35, 3868–3880. [Google Scholar] [CrossRef]
- Luo, Z.; Hao, Q.; Wang, T.; Li, R.; Cheng, F.; Deng, J. Experimental study on the deflagration characteristics of methane-ethane mixtures in a closed duct. Fuel 2020, 259, 116295. [Google Scholar] [CrossRef]
- Lu, L.; Pei, Y.; Qin, J.; Zuo, Z.; Xu, H. Laminar burning characteristics of premixed methane-dissociated methanol-diluent mixtures. Int. J. Hydrogen Energy 2019, 44, 11097–11110. [Google Scholar] [CrossRef]
- Zuo, Z.; Pei, Y.; Qin, J.; Lu, L.; Xu, H. Impact of dissociated Methanol addition on premixed Toluene reference fuel-air mixtures in a constant-volume chamber. Int. J. Hydrogen Energy 2018, 43, 6745–6755. [Google Scholar] [CrossRef]
- Law, C.K.; Sung, C.J. Structure, aerodynamics, and geometry of premixed flamelets. Prog. Energy Combust. Sci. 2000, 26, 459–505. [Google Scholar] [CrossRef]
- Liao, S.Y.; Jiang, D.M.; Huang, Z.H.; Zeng, K.; Cheng, Q. Determination of the laminar burning velocities for mixtures of ethanol and air at elevated temperatures. Appl. Therm. Eng. 2007, 27, 374–380. [Google Scholar] [CrossRef]
- Chen, Z. On the extraction of laminar flame speed and Markstein length from outwardly propagating spherical flames. Combust. Flame 2011, 158, 291–300. [Google Scholar] [CrossRef]
- Kelley, A.P.; Law, C.K. Nonlinear effects in the extraction of laminar flame speeds from expanding spherical flames. Combust. Flame 2009, 156, 1844–1851. [Google Scholar] [CrossRef]
- Markstein, H.G. Experimental and theoretical studies of flame-front stability. Dyn. Curved Front. 1988, 18, 413–423. [Google Scholar] [CrossRef]
- Bradley, D.; Lawes, M.; Liu, K.; Verhelst, S.; Woolley, R. Laminar burning velocities of lean hydrogen-air mixtures at pressures up to 1.0 MPa. Combust. Flame 2007, 149, 162–172. [Google Scholar] [CrossRef]
- Han, X.; Wang, Z.; Wang, S.; Whiddon, R.; He, Y.; Lv, Y.; Konnov, A.A. Parametrization of the temperature dependence of laminar burning velocity for methane and ethane flames. Fuel 2019, 239, 1028–1037. [Google Scholar] [CrossRef]
- Varghese, R.J.; Kolekar, H.; Kumar, S. Laminar burning velocities of H2/CO/CH4/CO2/N2 -air mixtures at elevated temperatures. Int. J. Hydrogen Energy 2019, 44, 12188–12199. [Google Scholar] [CrossRef]
- Rau, F.; Hartl, S.; Hasse, C. Numerical and experimental investigation of the laminar burning velocity of biofuels at atmospheric and high-pressure conditions. Fuel 2019, 247, 250–256. [Google Scholar] [CrossRef]
- Hassan, M.I.; Aung, K.T.; Kwon, O.C.; Faeth, G.M. Faeth, Properties of Laminar Premixed Hydrocarbon/Air Flames at Various Pressures. J. Propuls. Power 1998, 14, 479–488. [Google Scholar] [CrossRef]
- Cai, X.; Wang, J.; Zhang, W.; Xie, Y.; Zhang, M.; Huang, Z. Effects of oxygen enrichment on laminar burning velocities and Markstein lengths of CH4/O2/N2 flames at elevated pressures. Fuel 2016, 184, 466–473. [Google Scholar] [CrossRef]
- Hinton, N.; Stone, R. Laminar burning velocity measurements of methane and carbon dioxide mixtures (biogas) over wide ranging temperatures and pressures. Fuel 2014, 116, 743–750. [Google Scholar] [CrossRef]


















| Parameter (Unit) | Value |
|---|---|
| Inner diameter (mm) | 350 |
| Volume (L) | 22.4 |
| Maximum heating temperature (K) | 600 |
| Maximum pressure (MPa) | 4 |
| Effective diameter of windows (mm) | Φ120 |
Publisher’s Note: MDPI stays neutral with regard to jurisdictional claims in published maps and institutional affiliations. |
© 2021 by the authors. Licensee MDPI, Basel, Switzerland. This article is an open access article distributed under the terms and conditions of the Creative Commons Attribution (CC BY) license (http://creativecommons.org/licenses/by/4.0/).
Share and Cite
Wu, X.; Wang, P.; Zhu, Z.; Qian, Y.; Yu, W.; Han, Z. The Equivalent Effect of Initial Condition Coupling on the Laminar Burning Velocity of Natural Gas Diluted by CO2. Energies 2021, 14, 809. https://doi.org/10.3390/en14040809
Wu X, Wang P, Zhu Z, Qian Y, Yu W, Han Z. The Equivalent Effect of Initial Condition Coupling on the Laminar Burning Velocity of Natural Gas Diluted by CO2. Energies. 2021; 14(4):809. https://doi.org/10.3390/en14040809
Chicago/Turabian StyleWu, Xueshun, Peng Wang, Zhennan Zhu, Yunshou Qian, Wenbin Yu, and Zhiqiang Han. 2021. "The Equivalent Effect of Initial Condition Coupling on the Laminar Burning Velocity of Natural Gas Diluted by CO2" Energies 14, no. 4: 809. https://doi.org/10.3390/en14040809
APA StyleWu, X., Wang, P., Zhu, Z., Qian, Y., Yu, W., & Han, Z. (2021). The Equivalent Effect of Initial Condition Coupling on the Laminar Burning Velocity of Natural Gas Diluted by CO2. Energies, 14(4), 809. https://doi.org/10.3390/en14040809
