Optimal Slow Steaming Speed for Container Ships under the EU Emission Trading System
Abstract
1. Introduction
2. Methodological Approaches for Decarbonising Maritime Transport
3. Methodology
3.1. Case Study
3.2. The Economic Optimization Model
- (a)
- = fuel price in Rotterdam.
- (b)
- = fuel price in Shanghai.
- (c)
- FBX11 = China/East Asia to Northern Europe freight rate.
- (d)
- FBX12 = Northern Europe to China/East Asia freight rate.
- (e)
- = emission allowance price if the round trip is subject to carbon prices.
4. Results
4.1. Optimisation
4.2. Optimal Behaviour for Selected Vessels
4.3. The Influence of Freight Rates on Optimal Speed
4.4. Analysis of Sensitivity to Future Emission Prices
5. Discussion and Conclusions
Author Contributions
Funding
Data Availability Statement
Acknowledgments
Conflicts of Interest
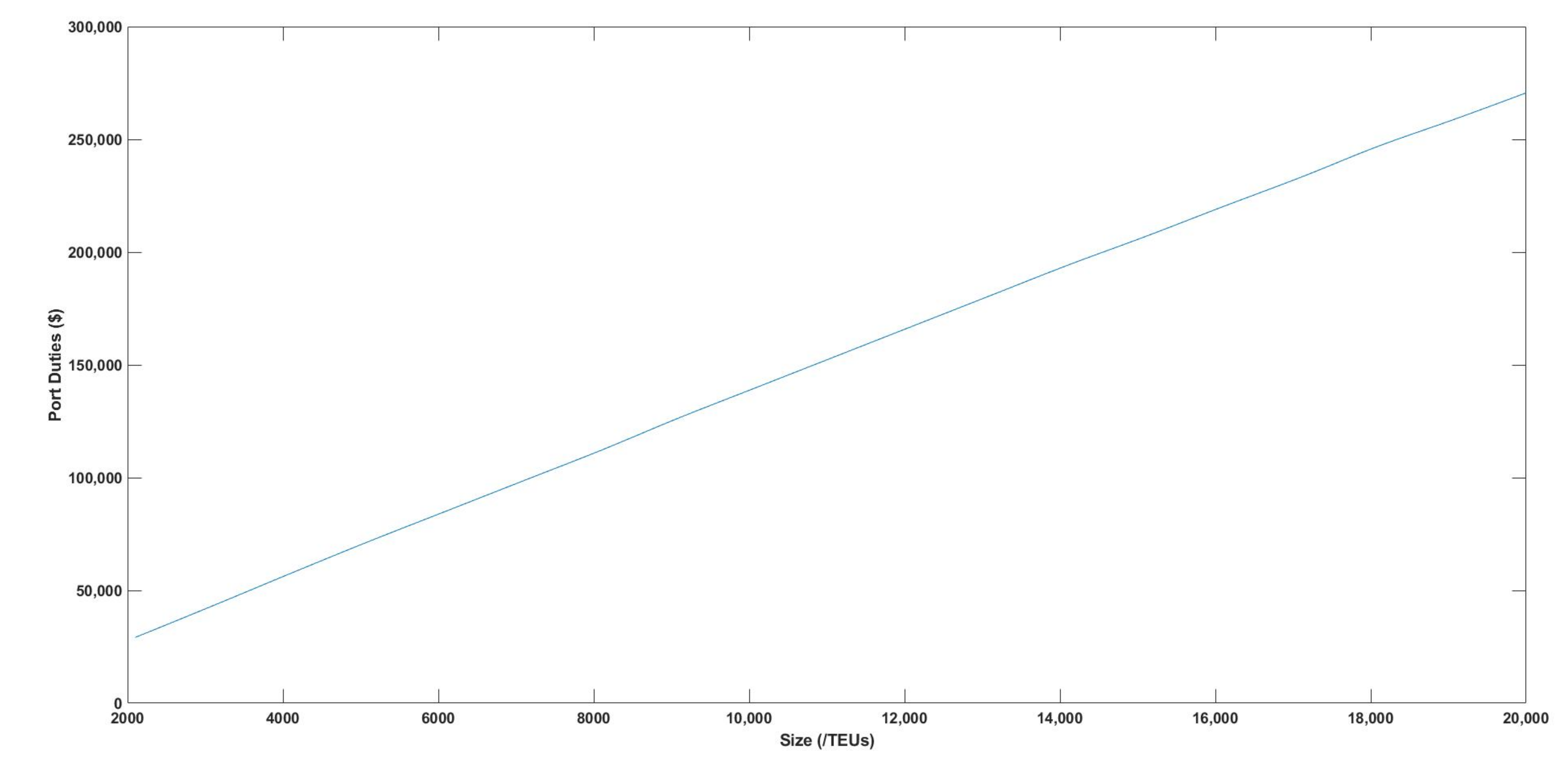
Appendix A. Port Duties
| TEU-s | Port Dues (€) |
|---|---|
| 2000 | 24,078.48 |
| 3000 | 35,679.48 |
| 4000 | 47,499.60 |
| 5000 | 59,100.60 |
| 6000 | 70,263.36 |
| 7000 | 81,426.12 |
| 8000 | 92,588.88 |
| 9000 | 104,409.00 |
| 10,000 | 115,571.76 |
| 11,000 | 126,734.52 |
| 12,000 | 137,897.28 |
| 13,000 | 149,060.04 |
| 14,000 | 160,222.80 |
| 15,000 | 170,728.20 |
| 16,000 | 181,671.84 |
| 17,000 | 192,396.36 |
| 18,000 | 203,778.24 |
| 19,000 | 213,845.40 |
| 20,000 | 224,350.80 |
Appendix B. Suez Canal Tolls
| TEU-s | Northbound (Shanghai–Rotter.) | Southbound (Rotter.-Shanghai) |
|---|---|---|
| 2000 | 119,088.36 | 65,601.04 |
| 3000 | 152,234.35 | 83,447.10 |
| 4000 | 181,495.07 | 103,058.41 |
| 5000 | 205,160.30 | 117,229.73 |
| 6000 | 225,049.74 | 129,080.32 |
| 7000 | 244,812.42 | 140,931.92 |
| 8000 | 263,848.82 | 152,783.01 |
| 9000 | 302,009.92 | 181,705.56 |
| 10,000 | 320,475.48 | 190,150.88 |
| 11,000 | 338,886.67 | 198,596.22 |
| 12,000 | 357,638.99 | 207,041.54 |
| 13,000 | 376,050.18 | 215,486.87 |
| 14,000 | 393,298.94 | 223,682.20 |
| 15,000 | 403,648.87 | 229,672.03 |
| 16,000 | 416,884.52 | 237,297.83 |
| 17,000 | 428,677.31 | 244,104.09 |
| 18,000 | 444,548.65 | 253,118.95 |
| 19,000 | 452,012.90 | 257,466.61 |
| 20,000 | 476,664.37 | 263,453.35 |
Appendix C. Average Port Time
| Ship Classification (TEU) | Average Waiting Time (h) | Average Berthing Time (h) | Average Port Time (h) |
|---|---|---|---|
| 10,001–20,000 | 75.5 | 21.5 | 97.0 |
| 8001–10,000 | 54.0 | 19.8 | 73.8 |
| 5001–8000 | 69.6 | 17.1 | 86.7 |
| 3001–5000 | 36.6 | 14.6 | 51.2 |
| 1001–3000 | 22.4 | 8.7 | 31.1 |
| 501–1000 | 20.0 | 7.4 | 27.4 |
| 1–500 | 14.2 | 7.7 | 21.9 |
References
- MEPC. Resolution MEPC 304 (72), Initial IMO Strategy on Reduction of GHG Emissions from Ships. 2018. Available online: https://www.imo.org/en/OurWork/Environment/Pages/GHG-Emissions.aspx (accessed on 15 July 2021).
- United Nations. Paris Agreement. 2016. Available online: https://unfccc.int/process-and-meetings/the-paris-agreement/what-is-the-paris-agreement (accessed on 15 July 2021).
- EU. The European Green Deal EN. Communication from the Commission to the European Parliament, the European Council, the European Economic and Social Committee and the Committee of Regions, Brussel 11.12.2019 COM 640, 30 March 2019. 2019. Available online: https://eur-lex.europa.eu/legal-content/EN/TXT/PDF/?uri=CELEX:52019DC0640&from=EN (accessed on 15 July 2021).
- MEPC. Final Report MEPC 75/7/15 Reduction of GHG Emissions from Ships, Fourth IMO GHG Study 2020. 2020. Available online: https://imoarcticsummit.org/wp-content/uploads/2020/09/MEPC-75-7-15-Fourth-IMO-GHG-Study-2020-Final-report-Secretariat.pdf (accessed on 15 July 2021).
- Bullock, S.; Mason, J.; Broderick, J.; Larkin, A. Shipping and the Paris climate agreement: A focus on committed emissions. BMC Energy 2020, 2, 5. [Google Scholar] [CrossRef]
- Balcombe, P.; Brierley, J.; Lewis, C.; Skatvedt, L.; Speirs, J.; Hawkes, A.; Staffel, I. How to decarbonise international shipping: Options for fuels, technologies and policies. Energy Conv. Manag. 2019, 182, 72–88. [Google Scholar] [CrossRef]
- Faber, J.; Huigen, T.; Nelissen, D. Regulating Speed: A Short Term Measure to Reduce Maritime GHG Emissions. CE Delft. 2017. Available online: https://cedelft.eu/wp-content/uploads/sites/2/2021/03/CE_Delft_7L90_Regulating_speed_DEF.pdf (accessed on 15 July 2021).
- European Commission. 2019 Annual Report from the European Commission on CO2 Emission from Maritime Transport. 2020. Available online: https://ec.europa.eu/clima/sites/default/files/transport/shipping/docs/swd_2020_82_en.pdf (accessed on 15 July 2021).
- Ronen, D. The effect of oil price on containership speed and fleet size. J. Oper. Res. Soc. 2011, 62, 211–216. [Google Scholar] [CrossRef]
- Meyer, J.; Stahlbock, R.; Voß, S. Slow steaming in container shipping. In Proceedings of the 45th Hawaii International Conference on System Sciences, Maui, HI, USA, 4–7 January 2012. [Google Scholar] [CrossRef]
- Czermanski, E.; Cirella, G.T.; Oniszczuk-Jastrzabek, A.; Pawlowska, B.; Notteboom, T. An energy consumption approach to estimate air emission reductions in container shipping. Energies 2021, 14, 278. [Google Scholar] [CrossRef]
- Psaraftis, H.N. Speed optimization vs. speed reduction: The choice between speed limits and bunker levy. Sustainability 2019, 11, 2249. [Google Scholar] [CrossRef]
- Polo, G. On maritime transport costs, evolution, and forecast. Ship Sci. Technol. 2012, 5, 19–31. [Google Scholar] [CrossRef]
- Glave, T.; Joerss, M.; Saxon, S. The Hidden Opportunity in Container Shipping; McKinsey & Company: Chicago, IL, USA, 2014; Available online: https://www.mckinsey.com/business-functions/strategy-and-corporate-finance/our-insights/the-hidden-opportunity-in-container-shipping (accessed on 15 July 2021).
- Zanne, M.; Pocuca, M.; Bajec, P. Environmental and economic benefits of slow steaming. Trans. Marit. Sci.-ToMS 2013, 2, 123–127. [Google Scholar] [CrossRef][Green Version]
- Faber, J.; Nelissen, D.; Hon, G.; Wang, H.; Tsimplis, M. Regulated Slow Steaming in Maritime Transport: An Assessment of Options, Costs and Benefits; Publication Code: 12.7442.23; CE Delft: Delft, The Netherlands, 2012; Available online: https://theicct.org/sites/default/files/publications/CEDelft_slow_steaming_2012.pdf (accessed on 19 August 2021).
- Cepeda, M.; Assis, L.F.; Marujo, L.G.; Caprace, J.D. Effects of slow steaming strategies on a ship fleet. Mar. Syst. Ocean Technol. 2017, 12, 178–186. [Google Scholar] [CrossRef]
- Gurning, S.R.O.; Busse, W.; Lubnan, M. Decision making of full speed, slow steaming, extra slow steaming and super slow steaming using TOPSIS. Int. J. Marit. Eng. Innov. Res. 2017, 2, 41–50. [Google Scholar] [CrossRef][Green Version]
- Healy, S.; Graichen, J. Impact of Slow Steaming for Different Types of Ships Carrying Bulk Cargo; Öko-Institute e.V.: Freiburg, Germany, 2019; Available online: https://www.oeko.de/publikationen/p-details/impact-of-slow-steaming-for-different-types-of-ships-carrying-bulk-cargo (accessed on 15 July 2021).
- Haralambides, H.E.; Thanopoulou, H. The economic crisis of 2008 and world shipping: Unheeded warnings. J. Econ. Bus. 2014, 64, 5–13. [Google Scholar]
- Finnsgard, C.; Kalantari, J.; Raza, Z.; Roso, V.; Woxenius, J. Swedish shippers’ strategies for coping with slow-steaming in deep sea container shipping. J. Ship. Trade 2018, 3, 8. [Google Scholar] [CrossRef]
- Psaraftis, H.N.; Kontovas, C.A. CO2 emissions statistics for the world commercial fleet. WMU J. Marit. Aff. 2009, 8, 1–25. [Google Scholar] [CrossRef]
- Buhaug, Ø.; Corbett, J.J.; Eyring, V.; Endresen, Ø.; Faber, J.; Hanayama, S.; Lee, D.S.; Lindstad, H.; Markowska, A.Z.; Mjelde, A.; et al. Second IMO GHG Study 2009 Final Report Covering Phase 1 and Phase 2. International Maritime Organization (IMO) (Included as Annex in Document MEPC59/INF.10). 2009. Available online: https://www.transportenvironment.org/docs/mepc59_ghg_study (accessed on 15 July 2021).
- Mersin, K.; Bayirhan, I.; Gazioglu, C. Analysis of the effects of CO2 emissions sourced by commercial marine fleet by using energy efficiency design index. Therm. Sci. 2020, 24, S187–S197. [Google Scholar] [CrossRef]
- Armstrong, V.N. Vessel optimization for low carbon shipping. Ocean Eng. 2013, 73, 195–207. [Google Scholar] [CrossRef]
- Izquierdo, U.; Galera, L.; Albaina, I.; Esteban, G.A.; Aristondo, A.; Blanco, J.M. Experimental and numerical characterization of a 2D wave flume. Dyna 2019, 94, 662–668. [Google Scholar] [CrossRef]
- Vitali, N.; Prpic-Orsic, J.; Guedes, C. Coupling voyage and weather data to estimate speed loss of container ships in realistic conditions. Ocean Eng. 2020, 210, 106758. [Google Scholar] [CrossRef]
- Taskar, B.; Andersen, P. Benefit of speed reduction for ships in different weather conditions. Transport. Res. D Transp. Environ. 2020, 85, 102337. [Google Scholar] [CrossRef]
- Seithe, G.J.; Bonou, A.; Giannopoulos, D.; Georgopoulou, C.A.; Founti, M. Maritime transport in a life cycle perspective: How fuels, vessel types, and operational profiles influence energy demand and greenhouse gas emissions. Energies 2020, 13, 2739. [Google Scholar] [CrossRef]
- Lindstad, H.; Asbjornslett, B.; Stroman, A. Reductions in greenhouse gas emissions and cost by shipping al lower speeds. Energ. Policy 2011, 39, 3456–3464. [Google Scholar] [CrossRef]
- IMO. Third IMO Greenhouse Gas Study 2014. 2015. Available online: https://wwwcdn.imo.org/localresources/en/OurWork/Environment/Documents/Third%20Greenhouse%20Gas%20Study/GHG3%20Executive%20Sumary%20and%20Report.pdf (accessed on 15 July 2021).
- Bouman, E.A.; Lindstad, E.; Rialland, A.I.; Stromman, A.H. State-of-the-art technologies, measures, and potential for reducing GHG emissions from shipping—A review. Transport. Res. D Transp. Environ. 2017, 52, 408–421. [Google Scholar] [CrossRef]
- Wan, Z.; Makhloufi, A.; Chen, Y.; Tang, J. Decarbonizing the international shipping industry: Solutions and policy recommendations. Mar. Pollut. Bull. 2018, 126, 428–435. [Google Scholar] [CrossRef] [PubMed]
- Yang, H.; Ma, X.; Xing, Y. Trends in CO2 emissions from China-oriented international marine transportation activities and policy implications. Energies 2017, 10, 980. [Google Scholar] [CrossRef]
- ICS. Reducing CO2 Emissions to Zero: The “Paris Agreement for Shipping”; International Chamber of Shipping: London, UK, 2018; Available online: https://www.ammoniaenergy.org/wp-content/uploads/2021/04/ICS-Reducing-CO2-Emissions-to-Zero-The-%E2%80%98Paris-Agreement-for-Shipping-2018_07.pdf (accessed on 15 July 2021).
- IMO. Control of Greenhouse Gas Emissions from Ships Engaged in International Trade—Submission by the IMO to the UNFCCC AWG-LCA 8 at COP 15. Copenhagen. 2009. Available online: https://unfccc.int/files/methods/emissions_from_intl_transport/application/pdf/imo_awg-lca_8_submission.pdf (accessed on 15 July 2021).
- Kachi, A.; Mooldijk, S.; Warnecke, C. Carbon Pricing Options for International Maritime Emissions; New Climate-Institute for Climate Policy and Global Sustainability gGmbH: Berlin, Germany, 2019; Available online: https://newclimate.org/wp-content/uploads/2019/04/Carbon-pricing-options-for-international-maritime-emissions.pdf (accessed on 15 July 2021).
- Transport & Environment. Statistical Analysis of the Energy Efficiency Performance (EEDI) of New Ships Built in 2013–2017. 2017. Available online: https://www.transportenvironment.org/sites/te/files/publications/Statistical%20analysis%20of%20the%20energy%20efficiency%20performance%20%28EEDI%29%20of%20new%20ships.pdf (accessed on 15 July 2021).
- Lindstad, E.; Bo, T.I. Potential power setups, fuels and hull designs capable of satisfying future EEDI requirements. Transport. Res. D Transp. Environ. 2018, 63, 276–290. [Google Scholar] [CrossRef]
- Olmer, N.; Comer, B.; Roy, B.; Mao, X.; Rutherford, D. Greenhouse Gas Emissions from Global Shipping 2013–2015; The International Council on Clean Transportation: Washington, DC, USA, 2017; Available online: https://theicct.org/sites/default/files/publications/Global-shipping-GHG-emissions-2013-2015_ICCT-Report_17102017_vF.pdf (accessed on 15 July 2021).
- Prill, K.; Behrendt, C.; Szczepanek, M.; Michalska-Pozoga, I. A new method of determining energy efficiency operational indicator for spezialized ships. Energies 2020, 13, 1082. [Google Scholar] [CrossRef]
- European Union 2015/757 Regulation of the European Parliament and of the Council of 29April 2015 on the Monitoring, Reporting and Verification of Carbon Dioxide Emissions from Maritime Transport, and Amending Directive 2009/16/EC. Available online: https://eur-lex.europa.eu/legal-content/EN/TXT/PDF/?uri=CELEX:32015R0757&from=EN (accessed on 15 July 2021).
- Hermeling, C.; Klement, J.H.; Koesler, S.; Köhler, J.; Klement, D. Sailing into a dilemma: An economic legal analysis of an EU trading scheme for maritime emissions. Transp. Res. Part A Policy Pract. 2015, 78, 34–53. [Google Scholar] [CrossRef]
- ECSA; ICS. Implications of Application of the EU Emissions Trading System (ETS) to International Shipping, and Potential Benefits of Alternative Market-Based-Measures (MBMs). 2020. Available online: https://www.anave.es/images/documentos/ECSA_estudio_ETS.pdf (accessed on 15 July 2021).
- OECD/ITF International Transport Forum. Decarbonising Maritime Transport Pathways to Zero-Carbon Shipping by 2035. 2018. Available online: https://www.itf-oecd.org/decarbonising-maritime-transport (accessed on 15 July 2021).
- Lagouvardou, S.; Psaraftis, H.N.; Zis, T. A literature survey on market-based-measures for the decarbonisation of shipping. Sustainability 2020, 12, 3953. [Google Scholar] [CrossRef]
- Lee, T.; Nam, H. A study on green shipping in major countries: In the view of shipyards, shipping companies, ports, and policies. Asian J. Shipp. Logist. 2017, 33, 253–262. [Google Scholar] [CrossRef]
- UNCTAD. United Nations Conference on Trade and Development. Review of Maritime Transport 2019; UNCTAD: Geneva, Switzerland, 2020; ISBN 9789211129588. Available online: https://unctad.org/system/files/official-document/rmt2019_en.pdf (accessed on 19 August 2021).
- Zheng, B.; Jin, J.G.; Hu, H. Analysis of profitability for container shipping on artic routes by navigation speed and risk of disruption. Transp. Res. Record 2016, 2549, 54–63. [Google Scholar] [CrossRef]
- Kontovas, C.A. The green ship routing and scheduling problem (GSRSP): A conceptual approach. Transport. Res. Part D Transp. Environ. 2014, 31, 61–69. [Google Scholar] [CrossRef]
- Wan, Z.; Ge, J.; Chen, J. Energy-saving potential and an economic feasibility analysis for an Artic route between Shanghai and Rotterdam: Case study from China’s largest container sea freight operator. Sustainability 2018, 10, 921. [Google Scholar] [CrossRef]
- Containerships Group. 2018. Available online: http://www.containershipsgroup.com/wp-content/uploads/2016/05/Port-Tariff-2017-7.4.pdf (accessed on 15 July 2021).
- Fritsch, F.N.; Carlson, R.E. Monotone piecewise cubic interpolation. SIAM J. Numer. Anal. 1980, 17, 238–246. [Google Scholar] [CrossRef]
- Kahaner, D.; Moler, C.; Nash, S. Numerical Methods and Software; Prentice Hall: Hoboken, NJ, USA, 1988; ISBN 9780136272588. [Google Scholar]
- Park, N.K.; Suh, S.C. Tendency toward Mega containerships and the constraints of container terminals. J. Mar. Sci. Eng. 2019, 7, 131. [Google Scholar] [CrossRef]
- Corbett, J.J.; Koehler, H.W. Updated emissions from ocean shipping. J. Geophys. Res. 2003, 108, 4650. [Google Scholar] [CrossRef]
- Notteboom, T.; Cariou, P. Fuel surcharge practices of container shipping lines: Is it about cost recovery or revenue-making? In Proceedings of the IAME 2009 Conference, Copenhagen, Denmark, 24–26 June 2009. [Google Scholar]
- Blanco, J.M.; Ramos, J.C. Energy and climate change in the post-COVID-19 scenario. Dyna 2020, 95, 570–571. [Google Scholar] [CrossRef]
- Gkonis, K.G.; Psaraftis, H.N. Some Key Variables Affecting Liner Shipping Costs; Laboratory for Maritime Transport, National Technical University of Athens: Athens, Greece, 2010; pp. 1–22. Available online: http://martrans.org/documents/2009/prt/TRB_paper%2010_3188_Gkonis_Psaraftis_revised.pdf (accessed on 24 April 2021).
- La Vissiere, A. Vessel port dues: An influence from path dependency rather than geography ports. Asian J. Shipp. Logist. 2018, 34, 61–70. [Google Scholar] [CrossRef]
- Meersman, H.; Strandenes, S.P.; Van de Voorde, E. Port Pricing: Principles, Structure and Models; Discussion Paper No. 14/2014; NHH Department of Economics: Bergen, Norway, 2014. [Google Scholar] [CrossRef][Green Version]
- Rodrigue, J.P. The Geography of Transport System; Routledge: London, UK, 2020; ISBN 9780367364632. Available online: https://transportgeography.org/contents/chapter5/maritime-transportation/draft-containership-capacity/ (accessed on 22 April 2021).
- Abramowski, T.; Cepowski, T.; Zvolenský, P. Determination of regression formulas for key design characteristics of container ships at preliminary design stage. New Trends Prod. Eng. 2018, 1, 247–257. [Google Scholar] [CrossRef]
- Sys, C.; Blauwens, G.; Omey, E.; Van de Voorde, E.; Witlox, F. In search of the link between ship size and operations. Transp. Plan. Technol. 2008, 31, 435–463. [Google Scholar] [CrossRef]
- Abioye, O.F.; Dulebenets, M.A.; Pasha, J.; Kavoosi, M. A vessel schedule recovery problem at the liner shipping route with emission control areas. Energies 2019, 12, 2380. [Google Scholar] [CrossRef]
- Ahmed, E.; El-Abbasy, M.S.; Zayed, T.; Alfalah, G.; Alkass, S. Synchronized scheduling model for container terminals using simulated double-cycling strategy. Comput. Ind. Eng. 2021, 154, 107118. [Google Scholar] [CrossRef]













| Parameter | Panamax | Post-Panamax | New-Panamax | ULSC | VLC |
|---|---|---|---|---|---|
| Cargo capacity (TEU) | 3000–4500 | 4000–8500 | 10,000–13,000 | 13,000–15,000 | 18,000–20,200 |
| Tonnage (DWT) | 58,500 | 85,000 | 133,000 | 156,900 | 192,670 |
| Length (m) | 286 | 333.9 | 366 | 397 | 400 |
| Beam (m) | 32.2 | 42.9 | 49 | 53.6 | 58.8 |
| Draught (m) | 12.0 | 13.0 | 15.2 | 16 | 16 |
| Acronym | Description | Value/Unit |
|---|---|---|
| SS | Ship Size in Twenty-foot Equivalent Units (TEUs) 1 | From 2000 to 20,000 |
| VS | Vessel Speed (knots) (nautical miles per hour) | Variable to be optimised |
| D | Distance (nautical miles) | 11,078 |
| TS | Round trip duration, sailing time (days) | TS(VS) = 2D/VS |
| TT | Total duration (days), including time in port | TT(VS, SS) |
| TP | Time in port (hours) | TP(SS) |
| NT | Number of trips in a year | NT(VS,SS) |
| FBX11 | China/East Asia to Northern Europe freight rate | ($/FEU)2 |
| FBX12 | Northern Europe to China/East Asia freight rate | ($/FEU)2 |
| CC | Capacity Coefficient | 0.90 |
| LC | Load Coefficient | 0.42 |
| C1 | Rotterdam fuel cost per round trip | C1(VS,SS) |
| C2 | Shanghai fuel cost per round trip | C2(VS,SS) |
| Fuel price in Rotterdam | ($/tonne) | |
| fuel price in Shanghai | ($/tonne) | |
| Fuel consumption | ||
| Emissions allowance price | ($/CO2tonne) |
| Acronym | Size (TEUs) | ||||||
|---|---|---|---|---|---|---|---|
| Size (TEUs) | 250 | 750 | 2000 | 4000 | 6500 | 9000 | 15,000 |
| Port time (hours) | 21.9 | 27.4 | 31.1 | 51.2 | 86.7 | 73.8 | 97.0 |
| Vessel Speed (Knots) | Mean Size (TEUs) | ||||||||
|---|---|---|---|---|---|---|---|---|---|
| 2530 | 3432 | 4385 | 5491 | 6505 | 7372 | 8293 | 9307 | 11,680 | |
| 18 | 47.0 | 54.9 | 52.8 | 57.9 | 68.8 | 77.8 | 87.9 | 98.8 | 124.1 |
| 19 | 56.1 | 65.6 | 63.1 | 69.3 | 82.2 | 93.0 | 105.1 | 118.1 | 148.4 |
| 20 | 66.5 | 77.7 | 74.7 | 82.0 | 97.4 | 110.1 | 124.5 | 139.8 | 175.7 |
| 21 | 78.1 | 91.3 | 87.8 | 96.4 | 114.4 | 129.4 | 146.2 | 164.2 | 206.4 |
| 22 | - | 106.4 | 102.4 | 112.3 | 133.4 | 150.8 | 170.5 | 191.5 | 240.7 |
| 23 | - | - | 118.5 | 130.1 | 154.5 | 174.7 | 197.5 | 221.8 | 278.7 |
| 24 | - | - | 136.4 | 149.7 | 177.8 | 201.0 | 227.2 | 255.2 | 320.7 |
| 25 | - | - | - | 171.3 | 203.4 | 230.0 | 260.0 | 292.0 | 367.0 |
| Item | Units | Mean | Minimum | Maximum | Standard Deviation | 90% Confidence Interval |
|---|---|---|---|---|---|---|
| $/tonne fuel | 369.66 | 155.50 | 593.50 | 86.292 | 203.57–496.35 | |
| $/tonne fuel | 332.40 | 123.00 | 482.50 | 80.675 | 181.07–442.92 | |
| FBX11 | $/FEU | 1996.70 | 1029.10 | 8455.30 | 1508.4 | 1216–6992.3 |
| FBX12 | $/FEU | 936.47 | 415.00 | 1500.60 | 285.37 | 602.25–1456.1 |
| $/tonne CO2 | 26.688 | 12.134 | 48.335 | 6.5471 | 16.365–39.926 |
| Variable | FBX11 | FBX12 | |||
|---|---|---|---|---|---|
| 1.000 | − | − | − | − | |
| 0.947 | 1.000 | − | − | − | |
| FBX11 | −0.089 | −0.034 | 1.000 | − | − |
| FBX12 | −0.652 | −0.541 | 0.523 | 1.000 | − |
| −0.183 | −0.204 | 0.700 | 0.334 | 1.000 |
| Results | Minimum | Panamax | Post-Panamax | New Panamax | ULSC | VLC |
|---|---|---|---|---|---|---|
| 2000 | 4500 | 8500 | 13,000 | 14,800 | 20,000 | |
| With 100% emission price | ||||||
| Optimal Speed (knots) | 15.9 | 17.4 | 18.0 | 17.9 | 17.8 | 17.4 |
| Variable Margin ($) | 5,435,876 | 16,617,004 | 32,760,526 | 50,167,756 | 56,324,548 | 67,571,408 |
| Cost of Emissions ($) | 810,712 | 1,315,773 | 2,438,432 | 3,645,283 | 4,006,049 | 4,446,637 |
| Emissions (tonnes) | 30,377 | 49,302 | 91,368 | 136,589 | 150,107 | 166,616 |
| Variable Margin ($/TEUs) | 2717.94 | 3692.67 | 3854.18 | 3859.06 | 3805.71 | 3378.57 |
| Cost of Emissions ($/TEUs) | 405.36 | 292.39 | 286.87 | 280.41 | 270.68 | 222.33 |
| Emissions (tonnes/TEUs) | 15.19 | 10.96 | 10.75 | 10.51 | 10.14 | 8.33 |
| With 50% emission price | ||||||
| Optimal Speed (knots) | 16.1 | 18.0 | 18.7 | 18.7 | 18.5 | 17.8 |
| Variable Margin ($) | 5,847,938 | 17,306,443 | 34,056,482 | 52,120,091 | 58,459,748 | 69,874,931 |
| Cost of Emissions ($) | 416,965 | 732,825 | 1,377,294 | 2,096,556 | 2,266,558 | 2,383,289 |
| Emissions (tonnes) | 31,247 | 54,918 | 103,214 | 157,116 | 169,856 | 178,604 |
| Variable Margin ($/TEUs) | 2923.97 | 3845.88 | 4006.64 | 4009.24 | 3949.98 | 3493.75 |
| Cost of Emissions ($/TEUs) | 208.48 | 162.85 | 162.03 | 161.27 | 153.15 | 119.16 |
| Emissions (tonnes/TEUs) | 15.62 | 12.20 | 12.14 | 12.09 | 11.48 | 8.93 |
| With 0% emission price | ||||||
| Optimal Speed (knots) | 16.4 | 18.8 | 19.6 | 19.6 | 19.3 | 18.3 |
| Variable Margin ($) | 6,276,801 | 18,091,454 | 35,552,756 | 54,375,926 | 60,901,254 | 72,368,127 |
| Cost of Emissions ($) | 0 | 0 | 0 | 0 | 0 | 0 |
| Emissions (tonnes) | 32,688 | 63,144 | 119,897 | 182,526 | 194,593 | 195,067 |
| Variable Margin ($/TEUs) | 3138.40 | 4020.32 | 4182.68 | 4182.76 | 4114.95 | 3618.41 |
| Cost of Emissions ($/TEUs) | 0.00 | 0.00 | 0.00 | 0.00 | 0.00 | 0.00 |
| Emissions (tonnes/TEUs) | 16.34 | 14.03 | 14.11 | 14.04 | 13.15 | 9.75 |
| Results | Minimum | Panamax | Post-Panamax | New Panamax | ULSC | VLC |
|---|---|---|---|---|---|---|
| 2000 | 4500 | 8500 | 13,000 | 14,800 | 20,000 | |
| 0% Emission vs 50% emission prices | ||||||
| Optimal Speed (knots) | 0.3 | 0.8 | 0.9 | 0.9 | 0.8 | 0.5 |
| Variable Margin ($) | 428,863 | 785,011 | 1,496,273 | 2,255,835 | 2,441,506 | 2,493,196 |
| Cost of Emissions ($) | −416,965 | −732,825 | −1,377,294 | −2,096,556 | −2,266,558 | −2,383,289 |
| Emissions (tonnes) | 1441 | 8226 | 16,682 | 25,410 | 24,737 | 16,463 |
| Variable Margin ($/TEUs) | 214.43 | 174.45 | 176.03 | 173.53 | 164.97 | 124.66 |
| Cost of Emissions ($/TEUs) | −208.48 | −162.85 | −162.03 | −161.27 | −153.15 | −119.16 |
| Emissions (tonnes/TEUs) | 0.72 | 1.83 | 1.96 | 1.95 | 1.67 | 0.82 |
| 0% Emission vs 100% emission prices | ||||||
| Optimal Speed (knots) | 0.5 | 1.4 | 1.6 | 1.7 | 1.5 | 0.9 |
| Variable Margin ($) | 840,925 | 1,474,450 | 2,792,230 | 4,208,170 | 4,576,706 | 4,796,719 |
| Cost of Emissions ($) | −810,712 | −1,315,773 | −2,438,432 | −3,645,283 | −4,006,049 | −4,446,637 |
| Emissions (tonnes) | 2311 | 13,842 | 28,529 | 45,938 | 44,486 | 28,451 |
| Variable Margin ($/TEUs) | 420.46 | 327.66 | 328.50 | 323.71 | 309.24 | 239.84 |
| Cost of Emissions ($/TEUs) | −405.36 | −292.39 | −286.87 | −280.41 | −270.68 | −222.33 |
| Emissions (tonnes/TEUs) | 1.16 | 3.08 | 3.36 | 3.53 | 3.01 | 1.42 |
| Month | Price (€/Tonne) | Price ($/Tonne) |
|---|---|---|
| Mar-21 | 37.07 | 44.93 |
| Apr-21 | 37.07 | 44.93 |
| May-21 | 37.07 | 44.93 |
| Jun-21 | 37.08 | 44.94 |
| Sep-21 | 37.10 | 44.97 |
| Dec-21 | 37.13 | 45.01 |
| Mar-22 | 37.22 | 45.11 |
| Jun-22 | 37.29 | 45.20 |
| Sep-22 | 37.37 | 45.30 |
| Dec-22 | 37.45 | 45.39 |
| Dec-23 | 37.91 | 45.95 |
| Dec-24 | 38.57 | 46.75 |
| Dec-25 | 39.35 | 47.70 |
| Dec-26 | 40.13 | 48.64 |
| Dec-27 | 40.91 | 49.59 |
| Results | Minimum | Panamax | Post-Panamax | New Panamax | ULSC | VLC |
|---|---|---|---|---|---|---|
| 2000 | 4500 | 8500 | 13,000 | 14,800 | 20,000 | |
| With 100% emission price | ||||||
| Optimal Speed (knots) | 15.6 | 16.6 | 17.1 | 17.0 | 17.0 | 16.9 |
| Variable Margin ($) | 4,742,205 | 15,555,854 | 30,806,880 | 47,223,953 | 53,062,085 | 63,840,905 |
| Cost of Emissions ($) | 1,460,704 | 2,132,958 | 3,887,872 | 5,805,717 | 6,501,504 | 7,664,857 |
| Emissions (tonnes) | 29,214 | 42,659 | 77,757 | 116,114 | 130,030 | 153,297 |
| Variable Margin ($/TEUs) | 2371.10 | 3456.86 | 3624.34 | 3632.61 | 3585.28 | 3192.05 |
| Cost of Emissions ($/TEUs) | 730.35 | 473.99 | 457.40 | 446.59 | 439.29 | 383.24 |
| Emissions (tonnes/TEUs) | 14.61 | 9.48 | 9.15 | 8.93 | 8.79 | 7.66 |
| With 50% emission price | ||||||
| Optimal Speed (knots) | 15.9 | 17.4 | 18.1 | 18.0 | 17.9 | 17.5 |
| Variable Margin ($) | 5,487,153 | 16,700,226 | 32,915,483 | 50,401,575 | 56,581,730 | 67,853,307 |
| Cost of Emissions ($) | 759,435 | 1,232,551 | 2,324,936 | 3,476,073 | 3,820,273 | 4,237,787 |
| Emissions (tonnes) | 30,377 | 49,302 | 92,997 | 139,043 | 152,811 | 169,511 |
| Variable Margin ($/TEUs) | 2743.58 | 3711.16 | 3872.41 | 3877.04 | 3823.09 | 3392.67 |
| Cost of Emissions ($/TEUs) | 379.72 | 273.90 | 273.52 | 267.39 | 258.13 | 211.89 |
| Emissions (tonnes/TEUs) | 15.19 | 10.96 | 10.94 | 10.70 | 10.33 | 8.48 |
| With 0% emission price | ||||||
| Optimal Speed (knots) | 16.4 | 18.8 | 19.6 | 19.6 | 19.3 | 18.3 |
| Variable Margin ($) | 6,276,801 | 18,091,454 | 35,552,756 | 54,375,926 | 60,901,254 | 72,368,127 |
| Cost of Emissions ($) | 0 | 0 | 0 | 0 | 0 | 0 |
| Emissions (tonnes) | 32,688 | 63,144 | 119,897 | 182,526 | 194,593 | 195,067 |
| Variable Margin ($/TEUs) | 3138.40 | 4020.32 | 4182.68 | 4182.76 | 4114.95 | 3618.41 |
| Cost of Emissions ($/TEUs) | 0.00 | 0.00 | 0.00 | 0.00 | 0.00 | 0.00 |
| Emissions (tonnes/TEUs) | 16.34 | 14.03 | 14.11 | 14.04 | 13.15 | 9.75 |
| Results | Minimum | Panamax | Post-Panamax | New Panamax | ULSC | VLC |
|---|---|---|---|---|---|---|
| 2000 | 4500 | 8500 | 13,000 | 14,800 | 20,000 | |
| With 100% emission price | ||||||
| Optimal Speed (knots) | 15.5 | 15.6 | 16.0 | 16.0 | 16.0 | 16.3 |
| Variable Margin ($) | 3,297,326 | 13,607,750 | 27,313,231 | 41,962,346 | 47,125,122 | 56,543,639 |
| Cost of Emissions ($) | 2,886,546 | 3,590,512 | 6,404,877 | 9,720,684 | 10,932,893 | 14,004,003 |
| Emissions (tonnes) | 28,865 | 35,905 | 64,049 | 97,207 | 109,329 | 140,040 |
| Variable Margin ($/TEUs) | 1648.66 | 3023.94 | 3213.32 | 3227.87 | 3184.13 | 2827.18 |
| Cost of Emissions ($/TEUs) | 1443.27 | 797.89 | 753.51 | 747.74 | 738.71 | 700.20 |
| Emissions (tonnes/TEUs) | 14.43 | 7.98 | 7.54 | 7.48 | 7.39 | 7.00 |
Publisher’s Note: MDPI stays neutral with regard to jurisdictional claims in published maps and institutional affiliations. |
© 2021 by the authors. Licensee MDPI, Basel, Switzerland. This article is an open access article distributed under the terms and conditions of the Creative Commons Attribution (CC BY) license (https://creativecommons.org/licenses/by/4.0/).
Share and Cite
Goicoechea, N.; Abadie, L.M. Optimal Slow Steaming Speed for Container Ships under the EU Emission Trading System. Energies 2021, 14, 7487. https://doi.org/10.3390/en14227487
Goicoechea N, Abadie LM. Optimal Slow Steaming Speed for Container Ships under the EU Emission Trading System. Energies. 2021; 14(22):7487. https://doi.org/10.3390/en14227487
Chicago/Turabian StyleGoicoechea, Nestor, and Luis María Abadie. 2021. "Optimal Slow Steaming Speed for Container Ships under the EU Emission Trading System" Energies 14, no. 22: 7487. https://doi.org/10.3390/en14227487
APA StyleGoicoechea, N., & Abadie, L. M. (2021). Optimal Slow Steaming Speed for Container Ships under the EU Emission Trading System. Energies, 14(22), 7487. https://doi.org/10.3390/en14227487

