A Comprehensive Review of Small-Signal Stability and Power Oscillation Damping through Photovoltaic Inverters
Abstract
:1. Introduction
2. Overview of PV Inverter System Control
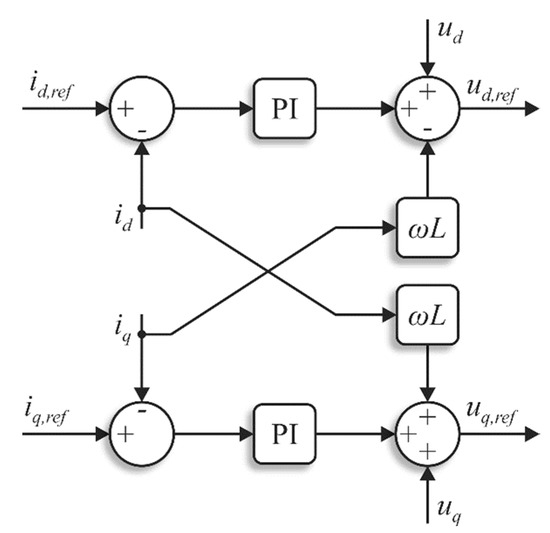
2.1. Current Control
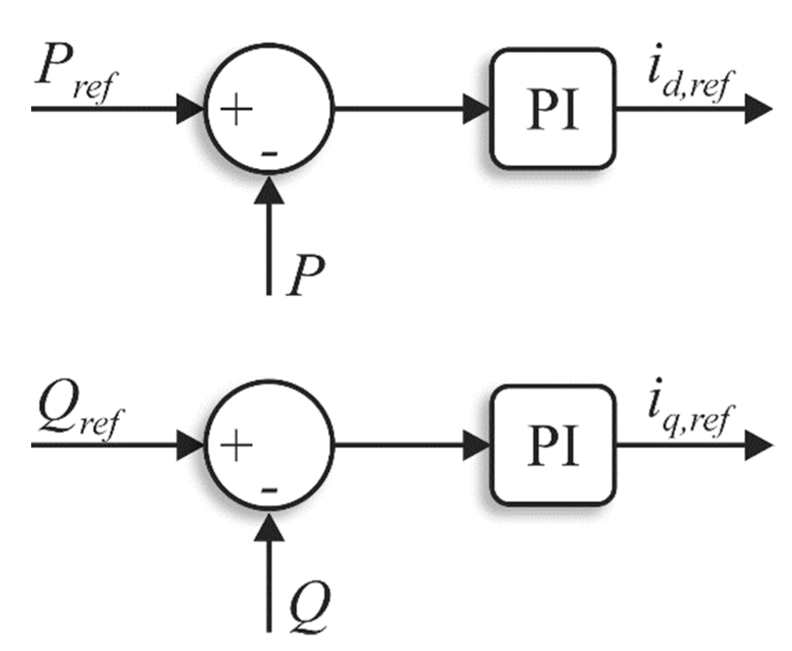
2.2. Active and Reactive Power Control
2.3. Pulse Width Modulation
2.4. Phase-Locked Loop
3. Small-Signal Stability of Power Systems with PV Generation
- The frequency of the electromechanical modes generally increases due to the reduced energy stored in the synchronously rotating masses throughout the power system, i.e., due to the reduced inertia. Only one study suggested a decrease in the modal frequency, but it was not supported by sufficient evidence, additional analysis, and explanation.
- A greater share of PV generation leads to a greater impact on the modal damping. At a relatively small percentage of PV generation, the effect on the damping is negligible. With shares above 15%, the damping either decreases or increases more significantly, depending on various factors, as presented in the subsequent bullet points.
- The damping torque induced by the PV inverters changes with the varying of the power system’s operating point. This torque could be positive or negative.
- Locating the PV generation near synchronous units has a beneficial impact on the damping.
- Voltage-source converters perform better than current-source converters in terms of small-signal stability.
- The operational parameters of the PV installation have the following impact: The cell temperature does not affect the damping, while the solar irradiance improves it. The latter, however, should be treated with caution as the irradiance strongly correlates to the share of PV generation, and the statement that it improves the damping may not always be true.
- In terms of damping, dispersed PV plants are better than bulk concentrated plants.
- The mathematical model of the load characteristics (constant Z, I, or P) does not have a significant influence on the small-signal stability analysis aimed at studying the PV generation impact.
- The inverter’s power factor control performs better than its voltage control in terms of damping. This conclusion is based on a single study, and further research is needed to either confirm or disprove it. It is also possible that a particular type of control cannot be conclusively declared to be superior to another because it may depend on various factors such as grid topology, PV share, power system and operating point.
- The parameters of the inverter’s PLL have a strong effect on the damping, especially when coupled to high-impedance grids. This effect can be either positive or negative, depending on the selection of the control parameters.
4. POD in Bulk Power Systems through PV Inverters
4.1. PID, Lead Lag and Other Types of Damping Control
4.2. Damping Control Based on Wide-Area Measurement Signals
4.3. Virtual Synchronous Generators
5. POD in Microgrids through PV Systems
6. Summary of the Features of the POD Controllers
7. Discussions on the Practical Application of POD Controllers
- Standardize and adopt one or at most a few types of POD controllers for an inverter-based generation.
- Divide the transmission grid into a reasonable number of stability zones that are easier to manage in terms of stability analysis.
- Attach one or a few fictitious identical PV generators to each zone.
- Apply methods to find the optimal parameters for the PODs of the fictitious inverters for each zone.
- Utilities (e.g., TSOs) to request all plant owners in a given zone to set their inverters with the parameter values provided by the TSO.
- Develop and standardize a universal POD structure and methodology that requires no retuning for the particular grid of application.
- Inverter manufacturers must follow the methodology to preset their PODs solely on the basis of the properties and sizes of their devices.
- This approach enables even the small-scale inverters connected to low-voltage grids to participate in the power system stabilization. The VSG is probably the best candidate among the reviewed concepts if its remaining issues are resolved and a practical methodology is established.
8. Conclusions
Funding
Acknowledgments
Conflicts of Interest
Abbreviations
| CSI | Current-source inverter |
| FACTS | Flexible alternate current transmission systems |
| GrHDP | Goal representation heuristic dynamic programming |
| HIL | Hardware-in-the-loop |
| HVDC | High-voltage direct current |
| LQG | Linear quadratic gaussian |
| MPPT | Maximum power point tracking |
| NN | Neural network |
| PCC | Point of common coupling |
| PLL | Phase-locked loop |
| POD | Power oscillation damping |
| PSS | Power system stabilizer |
| PV | Photovoltaic |
| PWM | Pulse width modulation |
| RES | Renewable energy sources |
| RoCoF | Rate of change of frequency |
| SDM | Step-down modulation |
| SMIB | Single-machine infinite bus |
| SPEF | Structure-preserving energy function |
| SSG | Static synchronous generator |
| TSO | Transmission system operator |
| VCLC | Voltage closed-loop control |
| VSG | Virtual synchronous generator |
| VSI | Voltage-source inverter |
| WAMS | Wide-area measurement system |
References
- Kundur, P.; Paserba, J.; Ajjarapu, V.; Andersson, G.; Bose, A.; Canizares, C.; Hatziargyriou, N.; Hill, D.; Stankovic, A.; Taylor, C.; et al. Definition and classification of power system stability. IEEE Trans. Power Syst. 2004, 19, 1387–1401. [Google Scholar] [CrossRef]
- Kundur, P. Power System Stability and Control; McGraw-Hill: New York, NY, USA, 1994; ISBN 0070635153. [Google Scholar]
- Schleif, F.R.; White, J.H. Damping for the Northwest-Southwest Tieline Oscillations—An Analog Study. IEEE Trans. Power Appar. Syst. 1966, PAS-85, 1239–1247. [Google Scholar] [CrossRef]
- Technical Background and Recommendations for Defence Plans in the Continental Europe; ENTSO-E: Brussels, Belgium, 2010; pp. 1–85.
- System Disturbances Review of Selected 1996 Electric System Disturbances in North America; North American Electric Reliability Council: Princeton, NJ, USA, 2002.
- Hsu, Y.Y.; Shyue, S.W.; Su, C.C. Low Frequency Oscillations in Longitudinal Power Systems: Experience with Dynamic Stability of Taiwan Power System. IEEE Trans. Power Syst. 1987, PWRS-2, 92–100. [Google Scholar] [CrossRef]
- Gibson, C.M. Programme of System Proving Tests and Operational Experience. IEE Proc. C (Gener. Transm. Distrib.) 1988, 135, 255–260. [Google Scholar] [CrossRef]
- Interconnection Oscillation Analysis, Reliability Assessment; NERC: Atlanta, GA, USA, 2019.
- Bachmann, U.; Erlich, I.; Grebe, E. Analysis of interarea oscillations in the European electric power system in synchronous parallel operation with the Central-European networks. In Proceedings of the International Conference on Electric Power Engineering, PowerTech Budapest 1999, Budapest, Hungary, 29 August–2 September 1999; Institute of Electrical and Electronics Engineers Inc.: Budapest, Hungary, 1999; p. 49. [Google Scholar] [CrossRef]
- Tor, O.B.; Gencoglu, C.; Yilmaz, O.; Cebeci, M.E.; Guven, A.N. Damping measures against prospective oscillations between Turkish grid and ENTSO-E system. In Proceedings of the 2010 International Conference on Power System Technology: Technological Innovations Making Power Grid Smarter, POWERCON2010, Hangzhou, China, 24–28 October 2010. [Google Scholar] [CrossRef]
- Grebe, E.; Kabouris, J.; López Barba, S.; Sattinger, W.; Winter, W. Low frequency oscillations in the interconnected system of Continental Europe. In Proceedings of the IEEE PES General Meeting, PES 2010, Minneapolis, MN, USA, 24–28 October 2010. [Google Scholar] [CrossRef]
- Kurth, M.; Welfonder, E. Oscillation behaviour of the enlarged European power system under deregulated energy market conditions. Control Eng. Pract. 2005, 13, 1525–1536. [Google Scholar] [CrossRef]
- Giannuzzi, G.; Lauria, D.; Pisani, C.; Villacci, D. Real-time tracking of electromechanical oscillations in ENTSO-e Continental European Synchronous Area. Int. J. Electr. Power Energy Syst. 2015, 64, 1147–1158. [Google Scholar] [CrossRef]
- Analysis of CE Inter-Area Oscillations of 1st December 2016; ENTSO-E: Brussels, Belgium, 2017.
- Wang, H.; Du, W. Power Electronics and Power Systems. In Analysis and Damping Control of Power System Low-Frequency Oscillations; Springer: Boston, MA, USA, 2016. [Google Scholar] [CrossRef]
- Soumyadeep, M.; Ramya, R. A Comprehensive Review of Damping of Low Frequency Oscillations in Power Systems. Int. J. Innov. Technol. Explor. Eng. 2019, 8, 133–138. [Google Scholar]
- Nayini, S.; Raghutu, R. Coordinated PSS and STATCOM Controller for Damping Low Frequency Oscillations in Power Systems. IJERT-Int. J. Eng. Res. Technol. 2014, 3, 609–614. [Google Scholar]
- Milano, F.; Dorfler, F.; Hug, G.; Hill, D.J.; Verbič, G. Foundations and challenges of low-inertia systems (Invited Paper). In Proceedings of the 20th Power Systems Computation Conference, PSCC 2018, Dublin, Ireland, 11–15 June 2018. [Google Scholar] [CrossRef] [Green Version]
- Crivellaro, A.; Tayyebi, A.; Gavriluta, C.; Groß, D.; Anta, A.; Kupzog, F.; Dörfler, F. Beyond low-inertia systems: Massive integration of grid-forming power converters in transmission grids. In Proceedings of the 2020 IEEE Power & Energy Society General Meeting (PESGM), Montreal, QC, Canada, 2–6 August 2019; pp. 1–5. [Google Scholar]
- Annual Renewable Energy Constraint and Curtailment Report 2019; EirGrid: Dublin, Ireland, 2020.
- Peng, Q.; Jiang, Q.; Yang, Y.; Liu, T.; Wang, H.; Blaabjerg, F. On the Stability of Power Electronics-Dominated Systems: Challenges and Potential Solutions. IEEE Trans. Ind. Appl. 2019, 55, 7657–7670. [Google Scholar] [CrossRef]
- Meegahapola, L.; Sguarezi, A.; Bryant, J.S.; Gu, M.; Conde, D.E.R.; Cunha, R. Power System Stability with Power-Electronic Converter Interfaced Renewable Power Generation: Present Issues and Future Trends. Energies 2020, 13, 3441. [Google Scholar] [CrossRef]
- Markovic, U.; Stanojev, O.; Aristidou, P.; Vrettos, E.; Callaway, D.S.; Hug, G. Understanding Small-Signal Stability of Low-Inertia Systems. IEEE Trans. Power Syst. 2021, 1. [Google Scholar] [CrossRef]
- Ratnam, K.S.; Palanisamy, K.; Yang, G. Future low-inertia power systems: Requirements, issues, and solutions—A review. Renew. Sustain. Energy Rev. 2020, 124, 109773. [Google Scholar] [CrossRef]
- Ulbig, A.; Borsche, T.S.; Andersson, G. Impact of low rotational inertia on power system stability and operation. IFAC Proc. Vol. 2014, 19, 7290–7297. [Google Scholar] [CrossRef] [Green Version]
- Mehigan, L.; Al Kez, D.; Collins, S.; Foley, A.; Ó’Gallachóir, B.; Deane, P. Renewables in the European power system and the impact on system rotational inertia. Energy 2020, 203, 117776. [Google Scholar] [CrossRef]
- Kroposki, B.; Johnson, B.; Zhang, Y.; Gevorgian, V.; Denholm, P.; Hodge, B.M.; Hannegan, B. Achieving a 100% Renewable Grid: Operating Electric Power Systems with Extremely High Levels of Variable Renewable Energy. IEEE Power Energy Mag. 2017, 15, 61–73. [Google Scholar] [CrossRef]
- Tielens, P.; Van Hertem, D. The relevance of inertia in power systems. Renew. Sustain. Energy Rev. 2016, 55, 999–1009. [Google Scholar] [CrossRef]
- Till, J.; You, S.; Liu, Y.; Du, P. Impact of High PV Penetration on Voltage Stability. In Proceedings of the 2020 IEEE/PES Transmission and Distribution Conference and Exposition (T&D), Chicago, IL, USA, 12–15 October 2020; pp. 1–5. [Google Scholar] [CrossRef]
- Li, H.; Xu, Y.; Adhikari, S.; Rizy, D.T.; Li, F.; Irminger, P. Real and reactive power control of a three-phase single-stage PV system and PV voltage stability. In Proceedings of the 2020 IEEE Power & Energy Society General Meeting (PESGM), San Diego, CA, USA, 22–26 July 2012. [Google Scholar] [CrossRef]
- Munkhchuluun, E.; Meegahapola, L. Impact of the solar photovoltaic (PV) generation on long-term voltage stability of a power network. In Proceedings of the 2017 IEEE Innovative Smart Grid Technologies—Asia (ISGT-Asia), Auckland, New Zealand, 11 June 2018; pp. 1–6. [Google Scholar] [CrossRef]
- Rajan, R.; Fernandez, F.M. Impact of Distributed Virtual Inertia from Photovoltaic Sources on Frequency Regulation in Hybrid Power System. In Proceedings of the 2020 2nd International Conference on Innovative Mechanisms for Industry Applications (ICIMIA), Bangalore, India, 5–7 March 2020; pp. 13–18. [Google Scholar] [CrossRef]
- Dozein, M.G.; Chaspierre, G.; Mancarella, P. Contribution to System Frequency Stability and Resilience from PV Plants: A Closed-loop System Identification Approach. In Proceedings of the 2020 55th International Universities Power Engineering Conference (UPEC), Turin, Italy, 1–4 September 2020. [Google Scholar] [CrossRef]
- Munkhchuluun, E.; Meegahapola, L.; Vahidnia, A. Reactive power control of PV for improvement of frequency stability of power systems. In Proceedings of the 2020 IEEE Power & Energy Society General Meeting (PESGM), Montreal, QC, Canada, 2–6 August 2020. [Google Scholar] [CrossRef]
- Munkhchuluun, E.; Meegahapola, L.; Vahidnia, A. Optimal battery sizing for large-scale solar-PV generation to improve frequency stability. In Proceedings of the 2019 29th Australasian Universities Power Engineering Conference (AUPEC), Nadi, Fiji, 26–29 November 2019. [Google Scholar] [CrossRef]
- Jawad, A.; Naim, S.A.; Saha, C.; Masood, N. Al Frequency stability enhancement of a large-scale PV integrated grid. In Proceedings of the 2020 11th International Conference on Electrical and Computer Engineering (ICECE), Dhaka, Bangladesh, 17–19 December 2020; pp. 290–293. [Google Scholar] [CrossRef]
- Peng, Q. Coordination of Virtual Inertia Control and Frequency Damping in PV Systems for Optimal Frequency Support. CPSS Trans. Power Electron. Appl. 2020, 5, 305–316. [Google Scholar] [CrossRef]
- Sauer, P.; Pai, M. Power System Dynamics and Stability; Prentice Hall: Upper Saddle River, NJ, USA, 1998; ISBN 0-13-678830-0. [Google Scholar]
- Anderson, P.; Fouad, A. Power System Control and Stability, 2nd ed.; Wiley-IEEE Press: Hoboken, NJ, USA, 2003; ISBN 0-471-23862-7. [Google Scholar]
- Saadatmand, M.; Gharehpetian, G.B.; Kamwa, I.; Siano, P.; Guerrero, J.M.; Alhelou, H.H. A Survey on FOPID Controllers for LFO Damping in Power Systems Using Synchronous Generators, FACTS Devices and Inverter-Based Power Plants. Energies 2021, 14, 5983. [Google Scholar] [CrossRef]
- Warrier, P.; Shah, P. Fractional Order Control of Power Electronic Converters in Industrial Drives and Renewable Energy Systems: A Review. IEEE Access 2021, 9, 58982–59009. [Google Scholar] [CrossRef]
- Tleis, N. Modelling of Voltage-Source Inverters, Wind Turbine and Solar Photovoltaic (PV) Generators; Academic Press: Oxford, UK, 2019. [Google Scholar] [CrossRef]
- Dogga, R.; Pathak, M.K. Recent trends in solar PV inverter topologies. Sol. Energy 2019, 183, 57–73. [Google Scholar] [CrossRef]
- Gonzalez-Longatt, F.M.; Torres, J. Modelling and Simulation of Power Electronic Converter Dominated Power System in PowerFactory; Springer: Cham, Switzerland, 2021; ISBN 978-3-030-54123-1. [Google Scholar]
- Azmi, S.A.; Ahmed, K.H.; Finney, S.J.; Williams, B.W. Comparative analysis between voltage and current source inverters in grid-connected application. In Proceedings of the IET Conference Publications, Edinburgh, UK, 6–8 September 2011; Volume 2011, p. 101. [Google Scholar] [CrossRef]
- Rizqiawan, A.; Hadi, P.; Fujita, G. Development of grid-connected inverter experiment modules for microgrid learning. Energies 2019, 12, 476. [Google Scholar] [CrossRef] [Green Version]
- Wang, X.; Yang, Z.; Fan, B.; Xu, W. Control strategy of three-phase photovoltaic inverter under low-voltage ride-through condition. Math. Probl. Engl. 2015, 2015. [Google Scholar] [CrossRef]
- Li, M.; Xiong, L.; Chai, H.; Xiu, L.; Hao, J. Mechanism of PV Generation System Damping Electromechanical Oscillations. IEEE Access 2020, 8, 135853–135865. [Google Scholar] [CrossRef]
- Ramteke, R.G.; Patil, U.V. Design and comparative study of filters for multilevel inverter for grid interface. In Proceedings of the 2014 International Conference on Power, Automation and Communication (INPAC), Amravati, India, 6–8 October 2014; pp. 39–44. [Google Scholar] [CrossRef]
- Husev, O.; Chub, A.; Romero-Cadaval, E.; Roncero-Clemente, C.; Vinnikov, D. Voltage distortion approach for output filter design for off-grid and grid-connected PWM inverters. J. Power Electron. 2015, 15, 278–287. [Google Scholar] [CrossRef] [Green Version]
- Lettl, J.; Bauer, J.; Linhart, L. Comparison of different filter types for grid connected inverter. In Proceedings of the Electromagnetics Research Symposium Proceedings, Marrakesh, Morocco, 20–23 March 2011; pp. 1426–1429. [Google Scholar]
- Clark, K.; Miller, N.W. Modeling of GE Solar Photovoltaic Plants for Grid Studies; GE Energy: Schenectady, NY, USA, 2009. [Google Scholar]
- WECC Solar Plant Dynamic Modeling Guidelines; WECC: Salt Lake City, UT, USA, 2014.
- Sun, D.; Liu, H.; Song, P.; Wang, X.; Gong, Y.; Cheng, X.; Wang, J. Impact of Voltage Close Loop Control on Small Signal Stability of Virtual Synchronous Generators. In Proceedings of the 2019 IEEE Innovative Smart Grid Technologies—Asia (ISGT Asia), Chengdu, China, 21–24 May 2019; pp. 1623–1627. [Google Scholar] [CrossRef]
- Guerrero, J.M.; Vasquez, J.C.; Matas, J.; De Vicuña, L.G.; Castilla, M. Hierarchical control of droop-controlled AC and DC microgrids—A general approach toward standardization. IEEE Trans. Industrial Electron. 2011, 58, 158–172. [Google Scholar] [CrossRef]
- Delghavi, M.B.; Yazdani, A. A unified control strategy for electronically interfaced distributed energy resources. IEEE Trans. Power Deliv. 2012, 27, 803–812. [Google Scholar] [CrossRef]
- Hamrouni, N.; Younsi, S.; Jraidi, M. A flexible active and reactive power control strategy of a LV grid connected PV system. Energy Procedia 2019, 162, 325–338. [Google Scholar] [CrossRef]
- Zhou, S.; Liu, J.; Zhou, L.; She, H. Cross-coupling and decoupling techniques in the current control of grid-connected voltage source converter. In Proceedings of the 2015 IEEE Applied Power Electronics Conference and Exposition (APEC), Charlotte, NC, USA, 15–19 March 2015; pp. 2821–2827. [Google Scholar] [CrossRef]
- Guo, X.Q.; Wu, W.Y.; Gu, H.R. Phase-locked loop and synchronization methods for grid interfaced converters: A review. Prz. Elektrotechniczny 2011, 87, 182–187. [Google Scholar]
- Du, W.; Wang, H.F.; Dunn, R. Power system small-signal oscillation stability as affected by large-scale PV penetration. In Proceedings of the 2009 International Conference on Sustainable Power Generation and Supply, Nanjing, China, 6–7 April 2009; pp. 1–6. [Google Scholar] [CrossRef]
- Hussain, M.T.; El-Amin, I.M. A PV controlled system for damping power system oscillations. In Proceedings of the 2011 IEEE PES Conference on Innovative Smart Grid Technologies—Middle East, Jeddah, Saudi Arabia, 17–19 December 2011; pp. 1–5. [Google Scholar] [CrossRef]
- Liu, H.; Jin, L.; Le, D.; Chowdhury, A.A. Impact of high penetration of solar photovoltaic generation on power system small signal stability. In Proceedings of the 2010 International Conference on Power System Technology, Hangzhou, China, 24–28 October 2010; pp. 1–7. [Google Scholar] [CrossRef]
- Gurung, S.; Naetiladdanon, S.; Sangswang, A. Impact of large photovoltaic penetration on small signal stability. In Proceedings of the 2016 IEEE Region 10 Conference (TENCON), Singapore, 22–25 November 2016; pp. 646–650. [Google Scholar] [CrossRef]
- Shah, R.; Mithulananthan, N.; Lee, K.Y. Contribution of PV systems with ultra capacitor energy storage on inter-area oscillation. In Proceedings of the 2011 IEEE Power and Energy Society General Meeting, Detroit, MI, USA, 24–28 July 2011; pp. 1–8. [Google Scholar] [CrossRef]
- Shah, R.; Mithulananthan, N. A comparison of ultracapacitor, BESS and shunt capacitor on oscillation damping of power system with large-scale PV plants. In Proceedings of the AUPEC 2011, Brisbane, Australia, 25–28 September 2011; pp. 1–6. [Google Scholar]
- Ravichandran, S.; Dasan, S.G.B.; Devi, R.P.K. Small signal stability analysis of grid connected Photo Voltaic distributed generator system. In Proceedings of the 2011 International Conference on Power and Energy Systems, Chennai, India, 22–24 December 2011; pp. 1–6. [Google Scholar] [CrossRef]
- Shah, R.; Mithulananthan, N.; Bansal, R.C. Oscillatory stability analysis with high penetrations of large-scale photovoltaic generation. Energy Convers. Manag. 2013, 65, 420–429. [Google Scholar] [CrossRef]
- Domínguez-García, J.L.; Gomis-Bellmunt, O.; Bianchi, F.D.; Sumper, A. Power oscillation damping supported by wind power: A review. Renew. Sustain. Energy Rev. 2012, 16, 4994–5006. [Google Scholar] [CrossRef]
- Elliott, R.; Byrne, R.; Ellis, A.; Grant, L. Impact of increased photovoltaic generation on inter-area oscillations in the Western North American power system. In Proceedings of the 2014 IEEE PES General Meeting|Conference Exposition, National Harbor, MD, USA, 27–31 July 2014; pp. 1–5. [Google Scholar] [CrossRef]
- You, S.; Kou, G.; Liu, Y.; Zhang, X.; Cui, Y.; Till, M.J.; Yao, W.; Liu, Y. Impact of High PV Penetration on the Inter-Area Oscillations in the U.S. Eastern Interconnection. IEEE Access 2017, 5, 4361–4369. [Google Scholar] [CrossRef]
- Kumar, D.S.; Sharma, A.; Srinivasan, D.; Reindl, T. Stability implications of bulk power networks with large scale PVs. Energy 2019, 187, 115927. [Google Scholar] [CrossRef]
- Wang, T.; Bi, T.; Wang, H.; Liu, J. Decision tree based online stability assessment scheme for power systems with renewable generations. CSEE J. Power Energy Syst. 2015, 1, 53–61. [Google Scholar] [CrossRef]
- Setiadi, H.; Krismanto, A.U.; Mithulananthan, N. Influence of BES system on local and inter-area oscillation of power system with high penetration of PV plants. In Proceedings of the 2017 International Conference on Applied System Innovation (ICASI), Sapporo, Japan, 13–17 May 2017; pp. 1–4. [Google Scholar] [CrossRef]
- Jia, Q.; Yan, G.; Cai, Y.; Li, Y. Small signal stability analysis of paralleled inverters for multiple photovoltaic generation units connected to weak grid. J. Engl. 2017, 2017, 2015–2020. [Google Scholar] [CrossRef]
- Jia, Q.; Yan, G.; Cai, Y.; Li, Y.; Zhang, J. Small-signal stability analysis of photovoltaic generation connected to weak AC grid. J. Mod. Power Syst. Clean Energy 2019, 7, 254–267. [Google Scholar] [CrossRef] [Green Version]
- Adib, A.; Mirafzal, B.; Wang, X.; Blaabjerg, R. On stability of voltage source inverters in weak grids. IEEE Access 2018, 6, 4427–4439. [Google Scholar] [CrossRef]
- Gurung, S.; Naetiladdanon, S.; Sangswang, A. Impact of photovoltaic penetration on small signal stability considering uncertainties. In Proceedings of the 2017 IEEE Innovative Smart Grid Technologies—Asia (ISGT-Asia), Auckland, New Zealand, 4–7 December 2017; pp. 1–6. [Google Scholar] [CrossRef]
- Liu, D.; Shi, L.; Ni, Y. The influence of wind/PV generation uncertainties on power system low frequency oscillation. In Proceedings of the 8th Renewable Power Generation Conference (RPG 2019), Shanghai, China, 24–25 October 2019; pp. 1–8. [Google Scholar] [CrossRef]
- Kalaitzakis, K.C.; Vachtsevanos, G.J. On the Control and Stability of Grid Connected Photovoltaic Sources. IEEE Trans. Energy Convers. 1987, EC-2, 556–562. [Google Scholar] [CrossRef]
- Ghali, F.M.A.; El-Khashab, H.A.; Abdel-Motaleb, M.S. Dynamic stability analysis of PV-injected power into a parallel AC-DC power system. In Proceedings of the 1994 IEEE 1st World Conference on Photovoltaic Energy Conversion—WCPEC (A Joint Conference of PVSC, PVSEC and PSEC), Waikoloa, HI, USA, 5–9 December 1994; Volume 1, pp. 1056–1059. [Google Scholar] [CrossRef]
- de Leon, F. Boon-Teck Ooi Damping power system oscillations by unidirectional control of alternative power generation plants. In Proceedings of the 2001 IEEE Power Engineering Society Winter Meeting. Conference Proceedings (Cat. No.01CH37194), Columbus, OH, USA, 28 January–1 February. 2001; Volume 2, pp. 747–752. [Google Scholar] [CrossRef]
- Li, G.; Ruan, S.Y.; Choi, S.S. A photo-voltaic damping system for suppressing power system oscillation. In Proceedings of the 2009 IEEE International Conference on Control and Automation, Christchurch, New Zealand, 9–11 December 2009; pp. 1681–1686. [Google Scholar] [CrossRef]
- Remon, D.; Cantarellas, A.M.; Martinez-Garcia, J.; Escaño, J.M.; Rodriguez, P. Hybrid solar plant with synchronous power controllers contribution to power system stability. In Proceedings of the 2017 IEEE Energy Conversion Congress and Exposition (ECCE), Cincinnati, OH, USA, 1–5 October 2017; pp. 4069–4076. [Google Scholar] [CrossRef]
- Dahal, S.; Mithulananthan, N.; Saha, T. An approach to control a photovoltaic generator to damp low frequency oscillations in an emerging distribution system. In Proceedings of the 2011 IEEE Power and Energy Society General Meeting, Detroit, MI, USA, 24–28 July 2011; pp. 1–8. [Google Scholar] [CrossRef]
- Ge, Y.; Du, W.; Wang, H.F.; Littler, T.; Cao, J. Robustness of photovoltaic system based stabilizer to mitigate inter-area oscillation in a multi-machine power system. In Proceedings of the 2013 48th International Universities’ Power Engineering Conference (UPEC), Dublin, Ireland, 2–5 September 2013; pp. 1–5. [Google Scholar] [CrossRef]
- Pothisoonthorn, S.; Ngamroo, I. Active power modulation control of hybrid PV generator-battery for power swing stabilization. In Proceedings of the 2016 13th International Conference on Electrical Engineering/Electronics, Computer, Telecommunications and Information Technology (ECTI-CON), Chiang Mai, Thailand, 28 June-1 July 2016; pp. 1–6. [Google Scholar] [CrossRef]
- Maleki, H.; Varma, R.K. Coordinated control of PV solar system as STATCOM (PV-STATCOM) and Power System Stabilizers for power oscillation damping. In Proceedings of the 2016 IEEE Power and Energy Society General Meeting (PESGM), Boston, MA, USA, 17–21 July 2016; pp. 1–5. [Google Scholar] [CrossRef]
- Khan, M.H.; Abido, M.A. Controller design of PV System to enhance the dynamic stability of smart grid network. In Proceedings of the 2011 IEEE PES Conference on Innovative Smart Grid Technologies—Middle East, Jeddah, Saudi Arabia, 17–19 December 2011; pp. 1–5. [Google Scholar] [CrossRef]
- Khan, M.H.; Abido, M.A. Optimizing the Controller of PV System to Enhance the Dynamic Stability of Smart Grid Network. In Proceedings of the 2012 Third International Conference on Intelligent Systems Modelling and Simulation, Kota Kinabalu, Malaysia, 8–10 February 2012; pp. 96–101. [Google Scholar] [CrossRef]
- Wandhare, R.G.; Agarwal, V. Novel stability enhancing control strategy for centralized PV-grid systems for smart grid applications. IEEE Trans. Smart Grid 2014, 5, 1389–1396. [Google Scholar] [CrossRef]
- Singh, M.; Allen, A.; Muljadi, E.; Gevorgian, V. Oscillation damping: A comparison of wind and photovoltaic power plant capabilities. In Proceedings of the 2014 IEEE Symposium on Power Electronics and Machines for Wind and Water Applications, Milwaukee, WI, USA, 24–26 July 2014; pp. 1–7. [Google Scholar] [CrossRef]
- Pothisoonthorn, S.; Ngamroo, I.; Kunakorn, A. Power swing and voltage stabilization by PV generator with active and reactive power controls. In Proceedings of the 2017 IEEE Manchester PowerTech, Manchester, UK, 18–22 June 2017; pp. 1–6. [Google Scholar] [CrossRef]
- Silva-Saravia, H.D.; Pulgar, H.A.; Tolbert, L.M.; Schoenwald, D.A.; Ju, W. Enabling Utility-Scale Solar PV Plants for Electromechanical Oscillation Damping. IEEE Trans. Sustain. Energy 2020, 1. [Google Scholar] [CrossRef]
- Varma, R.K.; Maleki, H. PV Solar System Control as STATCOM (PV-STATCOM) for Power Oscillation Damping. IEEE Trans. Sustain. Energy 2019, 10, 1793–1803. [Google Scholar] [CrossRef]
- Rafique, Z.; Khalid, H.M.; Muyeen, S.M. Communication Systems in Distributed Generation: A Bibliographical Review and Frameworks. IEEE Access 2020, 8, 207226–207239. [Google Scholar] [CrossRef]
- Shah, R.; Mithulananathan, N.; Lee, K.Y. Design of robust power oscillation damping controller for large-scale PV plant. In Proceedings of the 2012 IEEE Power and Energy Society General Meeting, San Diego, CA, USA, 22–26 July 2012; pp. 1–8. [Google Scholar] [CrossRef]
- John, J.; Revathy, M. B Power oscillation damper design using minimax LQG and LQG methods in large scale PV plants. In Proceedings of the 2016 International Conference on Energy Efficient Technologies for Sustainability (ICEETS), Nagercoil, India, 7–8 April 2016; pp. 591–595. [Google Scholar] [CrossRef]
- Shah, R.; Mithulananthan, N.; Lee, K.Y.; Bansal, R.C. Wide-area measurement signal-based stabiliser for large-scale photovoltaic plants with high variability and uncertainty. IET Renew. Power Gener. 2013, 7, 614–622. [Google Scholar] [CrossRef] [Green Version]
- Shah, R.; Mithulananthan, N.; Lee, K.Y. Large-Scale PV Plant With a Robust Controller Considering Power Oscillation Damping. IEEE Trans. Energy Convers. 2013, 28, 106–116. [Google Scholar] [CrossRef]
- Shah, R.; Mithulananthan, N.; Lee, K.Y. Low-order robust damping controller design for large-scale PV power plants. In Proceedings of the 2014 IEEE PES General Meeting|Conference Exposition, National Harbor, MD, USA, 27–31 July 2014; pp. 1–5. [Google Scholar] [CrossRef]
- Kim, S.J.; Kwon, S.; Moon, Y.H.; Kim, K.H. Low-order robust power system stabilizer for single-machine systems: An LMI approach. In Proceedings of the IECON Proceedings (Industrial Electronics Conference), Paris, France, 6–10 November 2006; pp. 742–747. [Google Scholar] [CrossRef]
- Ge, J.; Zhao, D.; Ma, J.; Wang, Y.; Du, H.; Qian, M. Wide-area damping controller design of large-scale PV power plants in interconnected power systems. In Proceedings of the 2016 China International Conference on Electricity Distribution (CICED), Xi’an, China, 10–13 August 2016; pp. 1–5. [Google Scholar] [CrossRef]
- Varma, R.K.; Akbari, M. Simultaneous Fast Frequency Control and Power Oscillation Damping by Utilizing PV Solar System as PV-STATCOM. IEEE Trans. Sustain. Energy 2020, 11, 415–425. [Google Scholar] [CrossRef]
- Shen, Y.; Yao, W.; Wen, J.; He, H. Adaptive wide-area power oscillation damper design for photovoltaic plant considering delay compensation. IET Gener. Transm. Distrib. 2017, 11, 4511–4519. [Google Scholar] [CrossRef]
- Surinkaew, T.; Ngamroo, I. Two-level coordinated controllers for robust inter-area oscillation damping considering impact of local latency. IET Gener. Transm. Distrib. 2017, 11, 4520–4530. [Google Scholar] [CrossRef]
- Surinkaew, T.; Ngamroo, I. Coordinated DFIG Wind Turbines and Solar PV Generators for Inter-area Oscillation Damping. In Proceedings of the 2018 International Power Electronics Conference (IPEC-Niigata 2018 -ECCE Asia), Niigata, Japan, 20–24 May 2018; pp. 2287–2291. [Google Scholar] [CrossRef]
- Surinkaew, T.; Ngamroo, I. Inter-Area Oscillation Damping Control Design Considering Impact of Variable Latencies. IEEE Trans. Power Syst. 2019, 34, 481–493. [Google Scholar] [CrossRef]
- Surinkaew, T.; Ngamroo, I. Adaptive Signal Selection of Wide-Area Damping Controllers Under Various Operating Conditions. IEEE Trans. Ind. Informatics 2018, 14, 639–651. [Google Scholar] [CrossRef]
- Ngamroo, I. Wide-area damping controllers of wind and solar power using probabilistic signal selection. IET Renew. Power Gener. 2019, 13, 1351–1359. [Google Scholar] [CrossRef]
- Byrne, R.H.; Trudnowski, D.J.; Neely, J.C.; Schoenwald, D.A.; Wilson, D.G.; Rashkin, L.J. Small signal stability analysis and distributed control with communications uncertainty. In Proceedings of the 2016 International Symposium on Power Electronics, Electrical Drives, Automation and Motion (SPEEDAM), Capri, Italy,, 22–24 June 2016; pp. 1284–1291. [Google Scholar] [CrossRef]
- Zhou, L.; Yu, X.; Li, B.; Zheng, C.; Liu, J.; Liu, Q.; Guo, K. Damping Inter-Area Oscillations With Large-Scale PV Plant by Modified Multiple-Model Adaptive Control Strategy. IEEE Trans. Sustain. Energy 2017, 8, 1629–1636. [Google Scholar] [CrossRef]
- Zhang, X.; Lu, C.; Liu, S.; Wang, X. A review on wide-area damping control to restrain inter-area low frequency oscillation for large-scale power systems with increasing renewable generation. Renew. Sustain. Energy Rev. 2016, 57, 45–58. [Google Scholar] [CrossRef]
- Zhong, Q.C.; Weiss, G. Static synchronous generators for distributed generation and renewable energy. In Proceedings of the 2009 IEEE/PES Power Systems Conference and Exposition, PSCE 2009, Seattle, WA, USA, 15–18 March 2009. [Google Scholar] [CrossRef]
- Van Wesenbeeck, M.P.N.; De Haan, S.W.H.; Varela, P.; Visscher, K. Grid tied converter with virtual kinetic storage. In Proceedings of the 2009 IEEE Bucharest PowerTech: Innovative Ideas Toward the Electrical Grid of the Future, Bucharest, Romania, 28 June–2 July 2009. [Google Scholar] [CrossRef]
- Sakimoto, K.; Miura, Y.; Ise, T. Stabilization of a power system with a distributed generator by a Virtual Synchronous Generator function. In Proceedings of the 8th International Conference on Power Electronics—ECCE Asia: “Green World with Power Electronics”, ICPE 2011-ECCE Asia, Jeju, Korea (South), 30 May-3 June 2011; pp. 1498–1505. [Google Scholar] [CrossRef]
- Shintai, T.; Miura, Y.; Ise, T. Oscillation Damping of a Distributed Generator Using a Virtual Synchronous Generator. IEEE Trans. Power Deliv. 2014, 29, 668–676. [Google Scholar] [CrossRef]
- Alipoor, J.; Miura, Y.; Ise, T. Power system stabilization using virtual synchronous generator with alternating moment of inertia. IEEE J. Emerg. Sel. Top. Power Electron. 2015, 3, 451–458. [Google Scholar] [CrossRef]
- Alipoor, J.; Miura, Y.; Ise, T. Stability assessment and optimization methods for microgrid with multiple VSG units. IEEE Trans. Smart Grid 2018, 9, 1462–1471. [Google Scholar] [CrossRef]
- Zheng, T.; Chen, L.; Wang, R.; Li, C.; Mei, S. Adaptive damping control strategy of virtual synchronous generator for frequency oscillation suppression. In Proceedings of the 12th IET International Conference on AC and DC Power Transmission (ACDC 2016), Beijing, China, 28–29 May 2016; pp. 1–5. [Google Scholar] [CrossRef]
- Liu, J.; Miura, Y.; Ise, T. A Novel Oscillation Damping Method of Virtual Synchronous Generator Control Without PLL Using Pole Placement. In Proceedings of the 2018 International Power Electronics Conference, IPEC-Niigata—ECCE Asia 2018, Institute of Electrical and Electronics Engineers Inc., Niigata, Japan, 20–24 May 2018; pp. 775–781. [Google Scholar] [CrossRef]
- Liu, J.; Miura, Y.; Ise, T. Fixed-Parameter Damping Methods of Virtual Synchronous Generator Control Using State Feedback. IEEE Access 2019, 7, 99177–99190. [Google Scholar] [CrossRef]
- Liu, J.; Miura, Y.; Bevrani, H.; Ise, T. A Unified Modeling Method of Virtual Synchronous Generator for Multi-Operation-Mode Analyses. IEEE J. Emerg. Sel. Top. Power Electron. 2020. [Google Scholar] [CrossRef]
- Zheng, T.; Chen, L.; Zhang, H.; Chen, T.; Mei, S. Control strategy for suppressing power oscillation of virtual synchronous generator under unbalanced grid voltage. In Proceedings of the International Conference on Renewable Power Generation (RPG 2015), Beijing, China, 17–18 October 2015; pp. 1–5. [Google Scholar] [CrossRef]
- Remon, D.; Cantarellas, A.M.; Mauricio, J.M.; Rodriguez, P. Power system stability analysis under increasing penetration of photovoltaic power plants with synchronous power controllers. IET Renew. Power Gener. 2017, 11, 733–741. [Google Scholar] [CrossRef] [Green Version]
- Dawei, S.; Hui, L.; Peng, S.; Shunan, G.; Yamin, S. Stability Analysis of Photovoltaic Virtual Synchronous Generators. In Proceedings of the 2018 China International Conference on Electricity Distribution (CICED), Tianjin, China, 17–19 September 2018; pp. 1938–1944. [Google Scholar] [CrossRef]
- Libin, Y.; Hao, Y.; Chunlai, L.; Tai, Z.; Qian, H. Research on Synchronous Frequency Oscillation Mechanism of Photovoltaic Virtual Inverter Under the Coupling of Machine Network. In Proceedings of the 2018 3rd International Conference on Smart City and Systems Engineering (ICSCSE), Xiamen, China, 29–30 December 2018; pp. 537–540. [Google Scholar] [CrossRef]
- Liu, H.; Sun, D.; Zhao, F.; Tian, Y.; Song, P.; Cheng, X. The influence of virtual synchronous generators on low frequency oscillations. CSEE J. Power Energy Syst. 2020, 1–9. [Google Scholar] [CrossRef]
- Kazemlou, S.; Mehraeen, S. Decentralized Discrete-Time Adaptive Neural Network Control of Interconnected DC Distribution System. IEEE Trans. Smart Grid 2014, 5, 2496–2507. [Google Scholar] [CrossRef]
- Hamzeh, M.; Ghafouri, M.; Karimi, H.; Sheshyekani, K.; Guerrero, J.M. Power Oscillations Damping in DC Microgrids. IEEE Trans. Energy Convers. 2016, 31, 970–980. [Google Scholar] [CrossRef] [Green Version]
- Jusoh, A.; Baamodi, H.; Mekhilef, S. Active damping network in DC distributed power system driven by photovoltaic system. Sol. Energy 2013, 87, 254–267. [Google Scholar] [CrossRef]
- Rafi, F.H.M.; Hossain, J.; Lu, J. PV microgrid islanded operation analysis with the designed smart VSI. In Proceedings of the 2015 IEEE 10th Conference on Industrial Electronics and Applications (ICIEA), Auckland, New Zealand, 15–17 June 2015; pp. 632–637. [Google Scholar] [CrossRef]
- Yang, J.; Yuan, W.; Sun, Y.; Han, H.; Hou, X.; Guerrero, J.M. A novel quasi-master-slave control frame for PV-storage independent microgrid. Int. J. Electr. Power Energy Syst. 2018, 97, 262–274. [Google Scholar] [CrossRef]
- Satapathy, P.; Dhar, S.; Dash, P.K. Stability improvement of PV-BESS diesel generator-based microgrid with a new modified harmony search-based hybrid firefly algorithm. IET Renew. Power Gener. 2017, 11, 566–577. [Google Scholar] [CrossRef]
- Nayak, P.; Dash, P.K.; Mishra, S.P. Stability assessment and optimal state-feedback system design for PQ-Vf coordination in a PV/DFIG/DSG based microgrid. Renew. Energy Focus 2018, 27, 14–32. [Google Scholar] [CrossRef]
- Zhao, Z.; Yang, P.; Wang, Y.; Xu, Z.; Guerrero, J.M. Dynamic Characteristics Analysis and Stabilization of PV-Based Multiple Microgrid Clusters. IEEE Trans. Smart Grid 2019, 10, 805–818. [Google Scholar] [CrossRef] [Green Version]
- Thomas, V.; Kumaravel, S.; Ashok, S. Reduction of Frequency Oscillations in Solar PV Microgrid using Virtual Synchronous Machine. In Proceedings of the 2019 International Conference on Power Electronics Applications and Technology in Present Energy Scenario (PETPES), Mangalore, India, 29–37 August 2019; pp. 1–5. [Google Scholar] [CrossRef]
- Jaengarun, P. Comparison of POD Function with Power Controller and Voltage Controller for Photovoltaic Plant. In Proceedings of the 2018 International Electrical Engineering Congress (IEECON), Krabi, Thailand, 7–9 March 2018; pp. 1–4. [Google Scholar] [CrossRef]
- Xiong, J.; Liu, S.; Wang, X.; Zhu, S.; Zheng, J.; Meng, K. A stability enhancement method for inverter-based distributed generation systems. In Proceedings of the 2015 IEEE Power Energy Society General Meeting, Denver, CO, USA, 26–30 July 2015; pp. 1–4. [Google Scholar] [CrossRef]
- Zhang, X.; Yang, L.; Zhu, X. Integrated control of photovoltaic-energy storage system for power oscillation damping enhancement. In Proceedings of the 2016 IEEE 8th International Power Electronics and Motion Control Conference (IPEMC-ECCE Asia), Hefei, China, 22–26 May 2016; pp. 1571–1575. [Google Scholar] [CrossRef]
- Nikam, R.J.; Purkar, R.R. Oscillation Damping Reduction Methodology for Distributed Generator Using VSG. In Proceedings of the 2018 International Conference on Smart Electric Drives and Power System (ICSEDPS), Nagpur, India, 12–13 June 2018; pp. 126–131. [Google Scholar] [CrossRef]
- Gibbard, M.J.; Pourbeik, P.; Vowles, D.J. Small-Signal Stability, Control and Dynamic Performance of Power Systems; University of Adelaide Press: Adelaide, South Australia, 2015. [Google Scholar] [CrossRef]
- Gibbard, M.J. Co-ordinated design of multimachine power system stabilisers based on damping torque concepts. In Proceedings of the IEE Proceedings C (Generation, Transmission and Distribution); The Institution of Electrical Engineers: London, UK, 1988; Volume 135. [Google Scholar] [CrossRef]
- Lam, D.M.; Yee, H. A study of frequency responses of generator electrical torques for power system stabilizer design. IEEE Trans. Power Syst. 1998, 13, 1136–1142. [Google Scholar] [CrossRef]









| Reference | Measured Signals |
|---|---|
| [79,80] | ΔP, ΔU: real power and voltage deviations |
| [83,85,91,96,97,100,120] | ΔP: real power deviations |
| [48,81,82,137] | Δf: frequency deviations |
| [84,90,92] | ΔU: voltage deviations |
| [77] | ΔI: current deviations |
| [48,88] | Δδ: rotor angle deviations |
| [98,104,105,106] | P from WAMS on arbitrary line in the system |
| [94] | I from WAMS on arbitrary line in the system |
| [102] | Δω from WAMS |
| [116,138] | Δω from inverter’s PLL |
| [86,92,139] | Δω from nearby synchronous machine (WAMS use is not explicitly defined in the papers) |
| [135] | Δω, ΔU, ΔP, ΔQ |
| Reference | POD Control Strategy |
|---|---|
| [48,79,80] | PID |
| [82,91,138,139] | P |
| [77,84,85,86,92,94,102,105,106,137] | Lead-lag |
| [88,89] | I |
| [48,135] | PI |
| [96,97,100] | Synthesized controller |
| [90] | D or filtered D |
| [54,83,113,114,115,116,117,118,119,120,121,122,123,124,125,126,127,140] | VSG/SSG |
| [104,128] | NN |
| Reference | Stabilizing Signal Is Fed into |
|---|---|
| [79,80,81,85] | Angle and amplitude controller |
| [48,82,92,135,139] | Both active power and reactive power controllers of the inverter |
| [77,84,90,94,96,97,100,102,104,105,106] | Power factor/reactive power/quadrature current controller |
| [83,86,88,89,91,116,120,137,138] | Active power controller |
| Reference | Unidirectional/Bidirectional Control |
|---|---|
| [81,88,89] | Unidirectional |
| [48,82,83,91] | Bidirectional |
| [86,92,116,120,139] | Bidirectional from an energy storage buffer |
| [79,80,85,135,137] | Authors did not comment or unclear from the paper |
| Reference | POD Controller Parameter Optimization |
|---|---|
| [77,79,80,81,86,90,91,97,106,139] | Authors did not comment |
| [48,82,83,84,88,102,116,120,138] | Analytic |
| [96] | Line search |
| [89,92] | Particle swarm optimization |
| [85,137] | Phase compensation |
| [100] | Solving Lyapunov functions and linear matrix inequalities |
| [94] | Simplex method |
| [105,133,134] | Firefly algorithm |
| [135] | Genetic algorithm |
| [104,128] | Offline and/or online NN training |
Publisher’s Note: MDPI stays neutral with regard to jurisdictional claims in published maps and institutional affiliations. |
© 2021 by the authors. Licensee MDPI, Basel, Switzerland. This article is an open access article distributed under the terms and conditions of the Creative Commons Attribution (CC BY) license (https://creativecommons.org/licenses/by/4.0/).
Share and Cite
Nikolaev, N.; Dimitrov, K.; Rangelov, Y. A Comprehensive Review of Small-Signal Stability and Power Oscillation Damping through Photovoltaic Inverters. Energies 2021, 14, 7372. https://doi.org/10.3390/en14217372
Nikolaev N, Dimitrov K, Rangelov Y. A Comprehensive Review of Small-Signal Stability and Power Oscillation Damping through Photovoltaic Inverters. Energies. 2021; 14(21):7372. https://doi.org/10.3390/en14217372
Chicago/Turabian StyleNikolaev, Nikolay, Kiril Dimitrov, and Yulian Rangelov. 2021. "A Comprehensive Review of Small-Signal Stability and Power Oscillation Damping through Photovoltaic Inverters" Energies 14, no. 21: 7372. https://doi.org/10.3390/en14217372
APA StyleNikolaev, N., Dimitrov, K., & Rangelov, Y. (2021). A Comprehensive Review of Small-Signal Stability and Power Oscillation Damping through Photovoltaic Inverters. Energies, 14(21), 7372. https://doi.org/10.3390/en14217372

