Temperature Characterization of Unipolar-Doped Electroluminescence in Vertical GaN/AlN Heterostructures
Abstract
1. Introduction
2. Materials and Methods
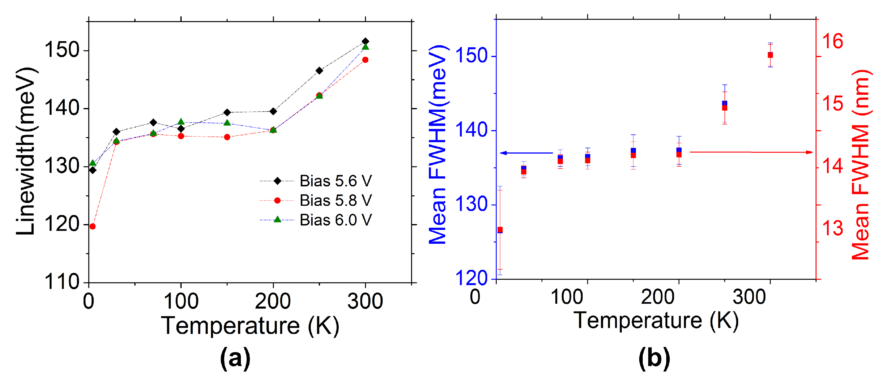
3. Results
4. Conclusions
Author Contributions
Funding
Institutional Review Board Statement
Informed Consent Statement
Data Availability Statement
Acknowledgments
Conflicts of Interest
Abbreviations
| EL | Electroluminescence |
| MBE | Molecular-beam epitaxy |
| PAMBE | Plasma-assisted molecular-beam epitaxy |
| HVPE | Hydride vapor phase epitaxy |
| PECVD | Plasma Enhanced Chemical Vapor Deposition |
References
- Growden, T.; Zhang, W.-D.; Brown, E.R.; Storm, D.; Meyer, D.; Berger, P. Near-UV Electroluminescence in Unipolar-Doped, Bipolar-Tunneling (UDBT) GaN/AlNHeterostructures. Nat. Light. Sci. Appl. 2018, 7, 17150. [Google Scholar] [CrossRef]
- Ambacher, O.; Foutz, B.; Smart, J.; Shealy, J.; Weimann, N.; Chu, K.; Murphy, M.; Sierakowski, A.; Schaff, W.; Eastman, L.; et al. Two dimensional electron gases induced by spontaneous and piezoelectric polarization in undoped and doped AlGaN/GaN heterostructures. J. Appl. Phys. 2000, 87, 334–344. [Google Scholar] [CrossRef]
- Chow, T.P.; Ghezzo, K. III-Nitride, SiC, and Diamond Materials for Electronic Devices. Mater. Res. Soc. Symp. Proc. 1996, 423, 69–73. [Google Scholar]
- Storm, D.; Growden, T.; Zhang, W.-D.; Brown, E.R.; Nepal, N.; Katzer, D.; Hardy, M.; Berger, P.; Meyer, D. AlN/GaN/AlN resonant tunneling diodes grown by rf-plasma assisted molecular beam epitaxy on freestanding GaN. J. Vac. Sci. Tech. B 2017, 35, 02B110. [Google Scholar] [CrossRef]
- Growden, T.; Storm, D.; Zhang, W.-D.; Brown, E.R.; Meyer, D.; Fakhimi, P.; Berger, P. Highly repeatable room temperature negative differential resistance in AlN/GaN resonant tunneling diodes grown by molecular beam epitaxy. Appl. Phys. Lett. 2016, 109, 083504. [Google Scholar] [CrossRef]
- Kane, E.O. Zener tunneling in semiconductors. J. Phys. Chem. Solids 1959, 12, 181–188. [Google Scholar] [CrossRef]
- Monemar, B.; Bergman, J.; Buyanova, I.; Li, W.; Amano, H.; Akasaki, I. Free Excitons in GaN. MRS Internet J. Nitride Semicond. Res. 1996, 1, E2. [Google Scholar] [CrossRef]
- Monemar, B. Fundamental energy gap of GaN from photoluminescence excitation spectra. Phys. Rev. B 1974, 10, 676–681. [Google Scholar] [CrossRef]
- Varshni, Y. Temperature Dependence of the Energy Gap in Semi-Conductor. Physica 1967, 34, 149–154. [Google Scholar] [CrossRef]
- Eliseev, P.G.; Perlin, P.; Lee, J.; Osiński, M. “Blue” temperature-induced shift and band-tail emission in InGaN-based light sources. Appl. Phys. Lett. 1997, 71, 569–571. [Google Scholar] [CrossRef]
- Dingle, R.; Sell, D.D.; Stokowski, S.E. Absorption, Reflectance and Luminescence of GaN Epitaxial layers. Phys. Rev. B 1971, 4, 1211–1218. [Google Scholar] [CrossRef]
- Monemar, B.; Bergman, J.P.; Amano, H.; Akasaki, I.; Detchprohm, T.; Hiramatsu, K.; Sawaki, N. Proc International Symposium on Blue Laser and Light Emitting Diodes; Yoshikawa, A., Kishino, K., Kobayashi, M., Yasuda, T., Eds.; Ohmsha Ltd.: Tokyo, Japan, 1996; pp. 135–140. [Google Scholar]
- Eckey, L.; Podlowski, L.; Göldner, A.; Hoffmann, A.; Broser, I.; Meyer, B.K.; Volm, D.; Streibl, T.; Hiramatsu, K.; Detchprohm, T.; et al. Excitonic structure of GaN epitaxial films grown by hydride-vapor-phase epitaxy. Inst. Phys. Conf. Ser. 1996, 142, 943–946. [Google Scholar]
- Stepniewski, R.; Korona, K.P.; Wysmalek, A.; Baranowski, J.M.; Pakula, K.; Potemski, M.; Martinez, G.; Grzegory, I.; Porowski, S. Polariton effects in reflectance and emission spectra of homoepitaxial GaN. Phys. Rev. B 1997, 56, 15151–15156. [Google Scholar] [CrossRef]
- Pakula, K.; Wysmolek, A.; Korona, K.P.; Baranowski, J.M.; Stepniewski, R.; Grzegory, I.; Bockowski, M.; Jun, J.; Krukowski, S.; Wroblewski, M.; et al. Luminescence and reflectivity in the exciton region of homoepitaxial GaN layers grown on GaN substrates. Sol. St. Comm. 1996, 97, 919–922. [Google Scholar] [CrossRef]
- Korona, K.P.; Wysmol, A.; Pakula, K.; Stepniewski, R.; Baranowski, J.M.; Grzegory, I.; Lucznik, B.; Wróblewski, M.; Porowski, S. Exciton region reflectance of homoepitaxial GaN layers. Appl. Phys. Lett. 1996, 69, 788–790. [Google Scholar] [CrossRef]
- Kudrawisec, R.; Rudziński, M.; Serafinczuk, J.; Zajac, M.; Misiewicz., J. Photoreflectance study of exciton energies and linewidths for homoepitaxial and heteroepitaxial GaN layers. J. Appl. Phys. 2009, 105, 093541. [Google Scholar] [CrossRef]
- Bouzidi, M.; Benzarti, A.; Halidou, I.; Chine, Z.; Bchetnia, A.; El Jani, B. Photoreflectance study of GaN grown on SiN treated sapphire substrate by MOVPE. Superlattices Microstruct. 2015, 84, 13–23. [Google Scholar] [CrossRef]
- Eckey, L.; Holst, J.; Maxim, P.; Heitz, R.; Hoffmann, A.; Broser, I.; Meyer, B.; Wetzel, C.; Mokhov, E.; Baranov, P. Dynamics of bound-exciton luminescences from epitaxial GaN. Appl. Phys. Lett. 1996, 68, 415–417. [Google Scholar] [CrossRef]
- Smith, M.; Chen, G.D.; Li, J.Z.; Lin, J.Y.; Jiang, H.X.; Salvador, A.; Kim, W.K.; Aktas, O.; Botchkarev, A.; Morkoc, H. Excitonic recombination in GaN grown by molecular beam epitaxy. Appl. Phys. Lett. 1995, 67, 3387–3389. [Google Scholar] [CrossRef]
- Smith, M.; Chen, G.D.; Lin, J.Y.; Jiang, H.X.; Asif Khan, M.; Sun, C.J.; Chen, Q.; Yang, J.W. Free excitonic transitions in GaN, grown by metal-organic chemical-vapor deposition. J. Appl. Phys. 1996, 79, 7001–7004. [Google Scholar] [CrossRef]
- Reynolds, D.C.; Look, D.C.; Kim, W.; Aktas, O.; Botchkarev, A.; Salvador, A.; Morkoc, H.; Talwar, D.N. Ground and Excited State Exciton Spectra from GaN Grown by Molecular-Beam Epitaxy. J. Appl. Phys. 1996, 80, 594–596. [Google Scholar] [CrossRef]
- Kimura, T.; Kataoka, K.; Uedono, A.; Amano, H.; Nakamura, D. Growth of high-quality GaN by halogen-free vapor phase epitaxy. Appl. Phys. Express 2020, 13, 085509. [Google Scholar] [CrossRef]
- Schubert, E.F.; Goepfert, I.D.; Grieshaber, W. Optical properties of Si-doped GaN. Appl. Phys. Lett. 1997, 71, 921–923. [Google Scholar] [CrossRef][Green Version]





Publisher’s Note: MDPI stays neutral with regard to jurisdictional claims in published maps and institutional affiliations. |
© 2021 by the authors. Licensee MDPI, Basel, Switzerland. This article is an open access article distributed under the terms and conditions of the Creative Commons Attribution (CC BY) license (https://creativecommons.org/licenses/by/4.0/).
Share and Cite
Zhang, W.; Growden, T.A.; Berger, P.R.; Storm, D.F.; Meyer, D.J.; Brown, E.R. Temperature Characterization of Unipolar-Doped Electroluminescence in Vertical GaN/AlN Heterostructures. Energies 2021, 14, 6654. https://doi.org/10.3390/en14206654
Zhang W, Growden TA, Berger PR, Storm DF, Meyer DJ, Brown ER. Temperature Characterization of Unipolar-Doped Electroluminescence in Vertical GaN/AlN Heterostructures. Energies. 2021; 14(20):6654. https://doi.org/10.3390/en14206654
Chicago/Turabian StyleZhang, Weidong, Tyler A. Growden, Paul R. Berger, David F. Storm, David J. Meyer, and Elliott R. Brown. 2021. "Temperature Characterization of Unipolar-Doped Electroluminescence in Vertical GaN/AlN Heterostructures" Energies 14, no. 20: 6654. https://doi.org/10.3390/en14206654
APA StyleZhang, W., Growden, T. A., Berger, P. R., Storm, D. F., Meyer, D. J., & Brown, E. R. (2021). Temperature Characterization of Unipolar-Doped Electroluminescence in Vertical GaN/AlN Heterostructures. Energies, 14(20), 6654. https://doi.org/10.3390/en14206654

