Abstract
In Poland the use of solid biomass obtained from intentional plantations of energy plants is increasing. This biomass is most often processed into solid fuels. There are growing indications that renewable energy sources, in particular biomass production, will continue to develop, so the better we know the raw material, the more effectively we will be able to use it. The results of tests that determine the impact of compaction pressure on selected quality parameters of pellets made from selected biomass types are presented. Material from plants such as Giant miscanthus (Miscanthus × giganteus Greef et Deu), Cup plant (Silphium perfoliatum L.), Virginia mallow (Sida hermaphrodita (L.) Rusby) was studied. The compaction process was carried out using the SIRIO P400 hydraulic press with a closed chamber with a diameter of 12 mm. Samples were made in four pressures: 131; 196; 262; 327 MPa and three moisture levels: 8%, 11%, 14%. It was found that with increasing compaction pressure and moisture content up to a certain point, the density and durability of the pellets also increased. Each of the materials is characterized by a specific course of changes in the parameters tested.
1. Introduction
Biomass is a raw material that can come from woody crops, it can be biomass of whole plants, e.g., poplars [1,2] or a part of it, so far treated as waste [3,4]. The second source is agricultural crops in the form of targeted crops e.g., switchgrass [5] or virginia mallow and miscanthus [6] and crop residue e.g., bean straw [7]. With the currently existing restrictions on the use of firewood from forests and waste wood from industry, wider use is required for the production of solid biofuels from biomass from agriculture, mainly straw of different plants [8,9]. The solution to this problem may be deliberate plantations of energy plants, i.e., those which by definition obtain large mass gains in a relatively short time, suitable mainly for burning and obtaining a lot of thermal energy [10]. Among the species of plants, perennials especially Helianthus tuberosus [11], Phalaris arundinacea [12], Rudbeckia laciniata [13] and Miscanthus [14], shrubs, trees like Pinus sylvestris [15], Quercus [16] or Fagus sylvatica [17] are gaining a special attention for energy use. Perennial plantations are becoming increasingly popular in Poland. Perennial plants can be divided into monocotyledonous (Reed canary, Giant miscanthus) and dicotyledonous (Cup plant, Virginia mallow) [14,18]. These are species with rapid growth, high yields, and high resistance to diseases and pests [19,20]. These plants have low soil requirements and, therefore, can be grown in lower-class soils without competing with food crops. Research on energy crops is being conducted in many research centers where the process of densification is studied [21,22], as well as the impact of other biomass additives [23,24] but also the combustion process [25]. Observations indicate an increase in popularity of using renewable energy sources (RES) in the form of biomass converted into solid biofuels [1,20,26].
The definition of biomass is solid or liquid substances of plant and animal origin, obtained from products, waste and residues from agricultural and forestry production, as well as the industry processing their products and parts of other waste that are biodegradable [27]. Biomass resources for energy purposes, estimated in various scenarios and strategic documents, are the highest among all available renewable energy sources in Poland. Their use, compared to other renewable energy RES, is dominant in all energy sectors of the country [28]. The most popular and significant energy plants in Poland are willow [29], poplar [30], miscanthus [18], alder [31], black locust [29], pine [32], and beech [32].
The rational use of plant biomass is closely related with the processing of raw material in the form of loose mass into pressure-compacted granules [22,29]. The problem of raw material is its considerable volume, i.e., low bulk density. Compaction may be the solution to this problem, among others. The compaction process is a process whose presence can be observed in many industrial branches. It is used, among others, by food, pharmaceutical, feed, zoological and biofuel concerns. The reason for the popularity of the material compaction process are mainly: volume reduction, maximization of density, unified dose composition, unified shapes, reduction of storage costs, easier storage, dust reduction or reduction of transport costs.
Both in industrial and laboratory processes compaction as a process that consists of three stages characteristic of this process. The first is the movement of particles, during which particles of material move relative to each other, reducing free space, and maximizing the contact surface with each other. The second stage is elasto-plastic deformation. In this phase, an increase in pressure to the maximum value can be observed. The particles during this stage are already tightly packed, and establish intermolecular connections with each other. The last, third stage of the thickening process is stabilization. At this stage, the pressure decreases, and the material that is compacted expands, i.e., a slight increase in its volume occurs [33,34].
Factors directly affecting the compaction process, i.e., technological factors, are factors that we are able to control during the compaction process or before the start of the process. Each of them has a direct impact on the quality of the resulting product, in this case pellets. Sources [33,35] say that the best moisture that is used in the compaction process of biomass oscillates around the level of 7.8%–15%. This is the extent to which the material thickens, it is neither too dry and does not crumble or crumbs, nor is it too wet, so it does not “stick” or stratify.
For the production of pellets, the moisture range 10%–15% is the most common [36,37,38]. Quality standards for solid biofuels require moisture below 10% (pellet class A1) and 12% (briquette class A1). The upper moisture limit of lower quality classes never exceeds 15%.
The above recommendations apply to the pelletising process, where apart from moisture and pressure, the quality obtained is also influenced by temperature, which is considered together with moisture to be the most important factor determining the pelletising process and which extends the technological moisture range to the mentioned values.
In the basic research, the influence of moisture without temperature which does not include the thickening process is determined. The process which often takes place below the lignite plasticizing temperature (about 85 °C [39]) is briquetting in which only pressure and moisture determine the quality of the agglomerate obtained. Studies of this process indicate that the value of optimal moisture content depends on the compacted material. Križan [40], when studying the wood dust compaction process, showed that in the moisture range 5%–23%, the highest density is achieved by a material with 15% moisture. According to Brożek [41], for the biomass of plane, the optimal moisture level is about 8%.
The degree of material refinement and the unification of its geometry allows us to get rid of too much space between the material particles, which increases the contact area of the material [42]. Too low a compaction pressure of the material can result in too high expansion and thus delamination and general decomposition. Pressure and compaction time directly affect the durability of the pellet, because it allows the appropriate “packing” of the material in a specific volume, which is determined by the matrices [34,35]. The temperature allows melting lignins, natural binders, vitrification of the material, which also translates into product durability [33].
The literature on the subject lacks clear, unequivocal evidence of the susceptibility of the aforementioned energy plant species to the pressure compaction process [2,24,25] especially species relatively recently recognized as energetic. In the process of producing compact biofuels, the value of the compacting pressure used is important [43]. The purpose of the work is to determine the impact of biomass compaction pressure and moisture content of raw material of selected plants on main quality parameters of pellets.
2. Materials and Methods
The material that was used for the research was obtained from a plantation of energy plants located in University of Agriculture in Krakow. The chosen material was shoots of Giant miscanthus Miscanthus × giganteus Greef et Deu, Cup plant Silphium perfoliatum L. and Virginia mallow Sida hermaphrodita (L.) Rusby. Shoots were harvested after the growing season, in November 2018.
The compaction tests were carried out on material (which firstly was ground to grain size below 1 mm) with three moisture levels: 8%, 11% and 14%. A compaction process was carried out for each moisture level at four different pressures (131; 196; 262; 327 MPa), three replicates per trial with three samples were prepared for each material at each of the four pressures and each of the three moistures, which resulted in 108 samples. The test of mechanical durability (DU) and solid density (DE) was carried out 24 h after the production of pellets. Details of the research process are presented in Figure 1.
Figure 1.
Research schedule.
2.1. Seasoning
First of all, the whole shoots of collected material were cut into 5 cm pieces, then material was subjected to natural drying to reach a moisture content of about 10%. It is necessary to carry out this process before further preparation of the material for testing.
The moisture content was determined in accordance with EN ISO 18134-1 [44]. A sample of the material was placed in a weighing vessel and dried in the laboratory dryer (SLW 115, Pol-Eko, Wodzisław Śląski, Poland). Drying took place at 105 ± 2 °C until the material was stabilized. Total moisture Mad was determined according to the formula:
- Mar—total moisture (%),
- m1—mass of the empty tray used for the portion (g),
- m2—mass of the tray and test portion before drying (weight in room temp) (g),
- m3—mass of the tray and test portion after drying (weight when still hot) (g),
- m4—mass of the reference tray before drying (weight at room temp) (g),
- m5—mass of the tray after drying (weight when still hot) (g).
2.2. Grinding
The dried material to be tested was ground to obtain the raw material in grain size below 1 mm, which will be subjected to the compaction process in subsequent stages of the test. Grinding was carried out in two stages. The first stage involved grinding the material into a fraction below 6 mm using a knife mill (Testchem LMN-100, Pszów, Poland). In the second stage, the material was ground using a flail mill (PX-MFC 90D, Polymix, Kinematika, Luzern, Switzerland). The grinder was equipped with a sieve with 1 mm hole diameter.
2.3. Determination of Particle Size Distribution
The determination of the particle size distribution was carried out in accordance with EN ISO 17827-2 [45]. This standard is intended for biomass in the form of dust and sawdust; 3.15 mm diameter sieves and # 2,8 sieves are required; 2; 1.4; 1; 0.5; 0.25; 0.1 mm. The test material was ground to the fraction d < 1 mm, so the samples were sieved using a shaker (LPzE-4e, Morek Multiserw, Marcyporęba, Poland), with a set consisting of woven sieves with mesh size 1; 0.5; 0.25; 0.1 mm. In this way, the test material samples were divided into 4 dimensional fractions, called sieve classes:
- C1: 0.1—grain diameter d ≤ 0.1 mm,
- C2: 0.25—grain diameter in terms 0.1 < d ≤ 0.25 mm,
- C3: 0.5—grain diameter in terms 0.25 < d ≤ 0.5 mm,
- C4: 1—grain diameter in terms 0.5 < d ≤ 1 mm.
The next step was to calculate d50 (3) (middle value of grain size), which showes a significant difference between each material particle size distribution. The difference between the fractional composition of the samples was demonstrated to eliminate the impact, and it was decided to standardize the composition. Influence of material composition has already been demonstrated, inter alia, in studies of Jewiarz [46], Wróbel [42] or Manouchehrinejad [47].
A mix of material with a particle size distribution proposed by Wróbel was used for the tests [42].
where:
- S<50—the highest cumulative share of the S fraction but not exceeding the value 50%,
- S>50—the lowest cumulative share of fraction S, however, exceeding the values 50%,
- C<50—sieve class corresponding S<50
- C>50—sieve class corresponding S>50
2.4. Reaching Specific Moisture
To obtain the desired level of moisture content of raw material the climate chamber (KBF-S 115, Binder, Tuttlingen, Germany) was used. The material was moisturized successively to three levels of moisture: 8%, 11% and 14%. This kind of appliance gives the possibility of precise moistening of the material to the desired moisture, which is important in the accuracy of the results. Before pressure compaction, it was decided to determine the analytical moisture (2):
- Mad—total moisture (%),
- m1—dish weight with lid (g),
- m2—dish weight with lid and sample before drying (g),
- m3—dish weight with lid and sample after drying (g).
2.5. Pressure Compaction
The pressure compaction process was carried out according to methodology created by Wróbel [42]. The pressure compaction process of base mixtures was carried out with the use of the hydraulic press (P400, Sirio, Meldola, Italy, Figure 2), having a compaction set placed between the upper and lower planes of the press head. This set includes: a dia, a piston and a counter piston. After preparing the station, the sleeve, counter-piston and piston formed a closed chamber (Ø 12 mm) in which a sample (1 g) of previously prepared material was compacted. For the test were used four levels of pressure: 131; 196; 262; 327 MPa, constant temperature 20 °C and constant speed of compaction 12.9 mm/min. The produced pellets were placed in tightly closed containers for 24 h.
Figure 2.
Compaction station: (a) hydraulic press SIRIO P400, (b) compaction chamber and piston, (c) samples.
2.6. Pellets Solid Density
After 24 h solid density DE was determined using a quassic liquid pycnometer (GeoPyc 1360, Micromeritics Instrument Corp., Norcross, GA, USA, Figure 3). The resulting samples were placed in a measuring cylinder, which is filled with powder with a particle size of 250 μm. This powder enables eliminating the phenomenon of wetting and soaking the liquid into the pores of the tested material, as would be the case if the liquid was used. The detailed measurement method is described by Wróbel [42].
Figure 3.
GeoPyc 1360 density determination station.
2.7. Mechanical Durability
To measure the mechanical durability (DU) of the pellets, a mechanical tester (Figure 4.) was used, whose construction and operating principle complies with the modified European standard EN ISO 17831-1 [48]. The modification introduced to the methodology involved the use of ballast material (made of polystyrene) with a density similar to the samples (approx. 1070 kg/m3). The weight of the ballast material used was 500 g and the weight of the samples subjected to the durability test did not exceed 10 g, so the total weight of the sample was consistent with standard guidelines. Another modification of the research method was the reduction of the rotation of the chamber in which the material is located. Studies have shown that at standard revolutions, ballast material can cause destruction of samples, so based on preliminary tests carried out by Wróbel [42], revolutions of 250 rpm/min were assumed. The granule durability test lasted 10 min. After stopping the tester, samples were taken from polystyrene ballast material. Each of the samples was weighed and their dimensions checked. Then DU was counted for each granule. Calculations of the mechanical durability of the pellet were made according to the formula (2) defined by standard EN ISO 17831-1:
Figure 4.
Mechanical durability determination station [48].
- DU—mechanical durability of the pellets (%),
- mE—mass of the sample of the tested pellet before the test (g),
- mA—mass of the sample of the tested pellet after the test (g).
The EN ISO 17225-6 [49] the standard indicates two quality groups of pellets made from straw A (DU ≥ 97.5) and B (DU ≥ 96.5).
3. Results
Studies have shown a relationship between increasing compaction pressure, moisture content in the material, and mechanical durability and density of the pellets produced. It was shown that with the parameters used, the pellet density required by the standard was achieved, while the mechanical durability was lower than required by the standard.
3.1. Particle Size Distribution
To reject the impact of material fragmentation, material particle size distribution was determined.
The analysis showed differences in percentage shares. Research on the particle size distribution showed differences between the grain size of individual fractions of the tested material (Figure 5). Differences was observed between the mass distribution of the material on individual screens among all tested materials. The most numerous group turned out to be a group with grain size C3 (0.1< d ≤ 0.25) mm and C4 (0.5 < d ≤ 1 mm).
Figure 5.
Particle size distribution.
To better present the differences, a cumulative graph was made that shows that Miscanthus differs from other materials (Figure 6).
Figure 6.
Cumulative particle size distribution.
Based on the above chart, it can be seen that particle size distribution of Miscanthus is significantly different from the other materials, which determined the d50.
In order to show significant differences between individual fraction groups, the d50 was calculated, which was determined for each of the tested materials and amounted to 0.37 mm for Miscanthus, 0.42 mm for Cup plant and 0.41 mm for Virginia mallow. In order to avoid the influence on the results, the tested material was unified (Table 1).
Table 1.
Standarized particle size distribution.
3.2. Density and Durability
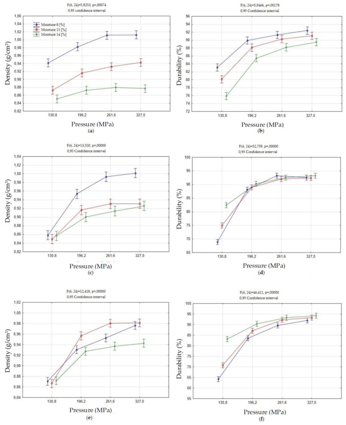
3.2.1. Miscanthus
The diagram on Figure 7a presents a graph of the solid density variation of the finished pellet sample depending on the compaction pressure and moisture content. As the moisture content of the raw material increases, the density of the resulting pellets decreases. The increase in agglomeration pressure causes the expected increase in density. However, only for material with a moisture content of 8% after exceeding 262 was a density above 1000 kg/m3 achieved—this value is the threshold value characterized by high-quality pellets [34]. The material with 11% moisture obtained max DE at the level of 940 kg/m3. In the case of 14% moisture material after exceeding the pressure of 196 MPa, changes in density are slight and the density obtained does not exceed 880 kg/m3.
Figure 7.
Influence of moisture and pressure on: (a) Miscanthus (solid density, DE), (b) Miscanthus (mechanical durability, DU), (c) Silphium DE, (d) Silphium DU, (e) Sida DE, (f) Sida DU.
In the case of durability similar dependencies were observed. An increase in moisture causes a decrease in durability. The increase in pressure causes an increase in durability, while relatively more significant increases were observed during an increase in pressure from 131 to 196. A further increase in pressure resulted in a relatively lower increase in the value of durability.
3.2.2. Silphium
In Figure 7c one can observe the results of the process of compaction of material originating from Cup plant similar to the Miscanthus case. The most favorable moisture level for the compacting process of this material is 8% of moisture content. The highest density (1000 kg/m3) was recorded in the granules, which were compacted using a pressure of 327 MPa. Here, also, the increase in density is clear until the pressure reaches 262 MPa.
The course of density changes for material with 11% and 15% moisture is similar. This density from about 850 kg/m3 at a pressure of 131 increases to 900–920 kg/m3 at a pressure of 196. A further increase in pressure results only in an average value of 930 kg/m3. At 131, the material’s moisture content does not affect the density achieved.
Figure 7d shows the results of the test of mechanical durability of granules made of crushed Silphium. Compared to Miscanthus, moisture causes differences in density only at the lowest compaction pressure. In this case, unlike the miscanthus, an increase in moisture causes an increase in durability from about 68% to about 83%. An increase in pressure to a value of 196 causes an increase in durability to an average level of about 89% regardless of material moisture. A further increase results in a slight increase in durability (up to approx. 93%). without differences due to moisture. The most resistant to the test of mechanical durability turned out to be granules produced at a pressure of 327 MPa from a material with a moisture content of 14%. The least durable granules were those made of a material with a water content of 8% using a pressure of 131 MPa. The highest durability was 93.3% and this was higher than the lowest durability by 35.33%.
3.2.3. Sida
Figure 7e presents the results of the process of compaction of a sample of material from Virginia mallow.
In this case, the course of density changes is still different (compared to Miscanthus and Sylphia). In no case was the threshold value DE 1000 kg/m3 achieved—the maximum density achieved was 980 kg/m3. In this case, the highest density values were obtained for materials with a moisture content of 11%. In this case, as for Silphium, at 131 pressure the effect of moisture on density is not noticeable. The highest density of the resulting granules was observed at moisture of 11%. The pressure that turned out to be the best for compacting this material was 262 MPa. In turn, the lowest density was observed for granules made of a material with a moisture content of 11%, compacted with a pressure of 131 MPa. The highest density was 980.1 kg/m3 and this was higher than the lowest density by 13.19%.
Figure 7f contains the results of the test of mechanical durability of granules made of crumbled Sida. In this case, the course of changes is similar to sylph pellets. Differences in durability caused by moisture can only be seen at a pressure of 131, an increase in pressure reduces the effect of moisture on durability.
The most resistant to the test of mechanical durability turned out to be granules produced at a pressure of 327 MPa from a material with a moisture content of 14%. The least durable granules were those made of a material with a water content of 8% using a pressure of 131 MPa. The highest durability was 94.27% and this was higher than the lowest durability by 46.9%. Photographs of the samples after the endurance test are shown below (Figure 8).
Figure 8.
Samples after mechanical durability test-Sida.
3.3. Analysis
Based on the above results, statistical analysis was conducted. A detailed statistical analysis was made for two hypotheses:
- differences in the moisture content of the material have a significant impact on the quality parameters of the pellets at compaction pressures levels.
- differences in the compaction pressure significantly affect the quality parameters of the pellets in investigated values of raw material moisture content.
The selected quality parameters were solid density (DE) and mechanical durability (DU). The analyses were carried out for all three examined perennial biomass.
In this paper two-way analysis of variance (ANOVA) was carried out. Normality of decomposition was checked (Shapiro–Wilk test). For all cases, the distribution was normal. Then the assumption of the equality of variance was also checked (Brown–Forsythe test). For all cases, this equality has been met. The next step was to carry out one-way ANOVA and post-hoc analysis (Scheffé’s test), which allowed to indicate between which groups there are statistically significant differences.
The tables (Table 2,Table 3,Table 4,Table 5,Table 6,Table 7) show two-way ANOVA results for the significance level α = 0.05. The individual values mean: SS-sum of squares, df—degrees of freedom, MS—mean square, F Value—F test value, p—Value-probability value. The p—Value indicator shows the probability of obtaining results as extreme as the observed results of a statistical hypothesis test. The F Value indicator is the value of a statistical hypothesis test value. The results are presented for single factors (Pressure, Moisture) and for combined factors (Pressure × Moisture).
Table 2.
Two-way analysis of variance (ANOVA)—DE.
Table 3.
Two-way ANOVA—DU.
Table 4.
Two-way ANOVA—DE.
Table 5.
Two-way ANOVA—DU.
Table 6.
Two-way ANOVA—DE.
Table 7.
Two-way ANOVA—DU.
3.3.1. Miscanthus
The two-way ANOVA results for Miscanthus showed that pressure and moisture as well as their joint effect significantly affect both tested qualitative features (DE and DU).
After one-way ANOVA and post-hoc analysis (Scheffé’s test), it was found that:
- Statistical analysis showed that the best density and durability were obtained for a material with a moisture content of 8%.
- For each pressure, except for 131 MPa, the influence of moisture on the density obtained was significant (Figure 9a). The pressure of 131 MPa significantly affected the density of the material with a moisture of 8%.
Figure 9. Influence of moisture and pressure on: (a) Miscanthus DE, (b) Miscanthus DU, (c) Silphium DE, (d) Silphium DU, (e) Sida DE, (f) Sida DU. - As the moisture increases, the significance of the differences between pressures on the density obtained decreases, while the significance of the differences between the pressures on the achieved durability decreases as the moisture increases (Figure 9b).
- An increase in pressure results in a decrease in the significance of differences between moisture for the durability obtained.
3.3.2. Silphium
Two-way ANOVA results for the Silphium showed that pressure and moisture and their joint effect significantly affect both tested qualitative features (DE and DU).
After one-way ANOVA and post-hoc analysis (Scheffé’s test), it was found that:
- Statistical analysis showed that for each pressure, except for 131 MPa, only for 8% moisture there were significant differences in the density obtained (Figure 9c). At 131 MPa, there were no significant differences between moistures.
- The use of 8% moisture significantly affects the density obtained in the entire pressure range, resulting in the best results. At 11% and 14% moisture, there are no significant differences between the pressures on the density obtained.
- For each pressure, except for 131 MPa, moisture does not affect the durability of the granules produced (Figure 9d).
- For each moisture value, significant differences in the granule durability occur only at a pressure of 131 MPa (lower values).
3.3.3. Sida
The ANOVA two-way results for mallow have shown that pressure and moisture as well as their joint effect significantly affect both tested qualitative features (DE and DU).
After one-way ANOVA and post-hoc analysis (Scheffé’s test), it was found that:
- Statistical analysis of the results showed that for all given pressure values, except for 131 MPa, the best granule density was obtained for moisture 11% (Figure 9e).
- For 14% moisture, there are no significant differences between pressures, except for a pressure of 131 MPa in DE.
- Density significantly different from the others was obtained each time using a pressure of 131 MPa for each moisture.
- For each pressure, except for 131 MPa, there were significant differences between moisture in durability (Figure 9f).
- For any pressure, except 131 MPa, moisture does not affect the durability obtained. For moisture of 11% and 14%, significant differences in the durability obtained occur only at a pressure of 131 MPa (lower values).
4. Discussion
The results show how complex the process is and how many factors can affect the quality parameters of the pellets obtained. The paper shows that both pressure and moisture of the compacted material have a significant impact on the density and durability of the obtained pellets. The aim of the study was to show only the influence of the compaction pressure and moisture of the material on the indicated quality parameters. Therefore, other factors such as grain composition, process temperature, compaction time and speed were unified. It was shown that depending on the material, the influence of moisture and pressure varies. In the case of Miscanthus, in the whole range of pressure tested, the highest values of DE were obtained for a material with 8% moisture (Figure 7a). A similar relationship was observed for Sylphium, however, in this case, it occurred after the pressure of 262 MPa was exceeded (Figure 7c). At 132 MPa the influence of moisture was insignificant. A different relation occurs in the case of Sida, in this case with the moisture of 11%, at a pressure above 262 MPa, allows to obtain the highest values of DE (Figure 7e).
For DU for the lowest value of the test pressure (132 MPa), the course of changes is characterized by the greatest differences for the materials tested. For Miscanthus, with the increase in material moisture, the durability of pellets decreases from 82.8% to 76.84% level (Figure 7b). Different trends were observed for Sylphium and Sida. In these cases the durability increases from 70.49% to 83.98% for Sylphium (Figure 7d) and from 66.21% to 83.85% for Sida (Figure 7f). However, when a certain pressure value (characteristic for the material) is exceeded, the resulting DU value stabilizes and does not depend on moisture.
Literature data indicate that the technological moisture range of the raw material should be between 8%–18% [50,51]. Obernberger and Thek [52] report that pellet production is possible in the moisture range of 8%–12%, however, their research included evaluation of the quality of wood pellets whose moisture content ranged from 5.7%–7.7% and straw pellets with moisture content of 5.6%–7.2%. Pellets came from producers from the European Union (EU) countries and were produced on professional production lines. Consequently, their quality was influenced not only by pressure and moisture but also by the type of material, temperature and type of pelletiser.
The research conducted showed that the increase in moisture in the case of Miscanthus and Sylphium causes a decrease in the DE values of the obtained granules. In the case of the slime the highest density was obtained at 11% moisture. Similar trends are also found in other studies [39] that studied the change in density of briquettes made from pine and oak biomass (moisture ranging from 5% to 15%) depending on the densification pressure. For both pine and oak, the specific density of the briquettes decreases with increasing moisture.
A similar relationship was observed for briquettes made from beech biomass [53]. With an increase in moisture from 4.7% to 19.5%, the specific gravity of the briquettes obtained decreases. The relative decrease of specific density depends on the densification pressure. Studies on the process of pellet production from spruce biomass indicate similar relationships [54]. However, studies carried out for acacia biomass and tobacco stems showed an inverse relationship [55,56]. This means that the type of material has an influence on how moisture influences the course of the densification process.
In the case of DU, at a pressure of 132 MPa, the differences between Miscanthus and other materials were noted. As the moisture content increases, DU of miscanthus pellets decreases, in the case of Sylphium and slime the situation is the opposite. The influence of raw material on the course of DU changes can be found in literature.
Samuelson [57] showed that the durability of pellets made of pine biomass with 8.1% moisture content was characterized by mechanical durability at 91.8%, for 10.7% DU it was 96.9%, and for 13.1% DU it was noted that DU dropped to almost 70%.
Colley [58] showed that in the 6%–8% moisture range the durability of millet pellets was approximately 96.0% and with increasing DU it decreased to 78% at 17%.
Ishii [59] in his study presented that by increasing the moisture content of the material from 15% to 20% the mechanical durability of the pellets can be increased. By comparing this data with the results obtained in the study, it can be concluded that depending on the course of the study, the number of factors taken into account or the choice of material, the influence of the material moisture on the density and durability may vary. Therefore, it is not possible to compare materials compacted under different conditions, of different origin, because it has been clearly shown that the materials compacted in different, characteristic ways.
Analyzing the results obtained, the highest values of both tested quality parameters can be obtained at the moisture and pressure levels characteristic for the tested material. For Miscanthus and Silphium, it is the material moisture at 8% and minimum pressure of 262 MPa, for the glacier at 11% moisture and 262 MPa. Density is more dependent on material moisture and compaction pressure in comparison to DU, whose value, for a given material, after overturning the characteristic pressure level, does not correlate with moisture. In the cases studied only for Miscanthus and Silphium the assumed density thresholds of 1000 kg/m3 were obtained. In the case of DU the assumed threshold was not obtained for any of the tested materials. The tested moisture range after exceeding a certain pressure value is insignificant and further pressure increase does not cause a DU increase. This means that the density is possible to obtain with the tested factors, whereas to obtain the threshold durability it is necessary to consider the influence of further factors such as the speed of the densification process and the process temperature. As the literature indicates, the mechanical durability of the pellets is also dependent on the temperature of the process. It is an important factor because it allows activation of binders naturally present in the material in the form of lignin, lignocellulose or resin. The temperature has been kept constant at 20 °C in the tests, resulting in a lack of activation of the binders. Kaliyan [60] describes in his research that both temperature and moisture of the material can activate the binders, which gives the possibility to reduce process costs. From the literature it can be concluded that higher moisture ranges (above 10% Colley [58]) do not always increase durability (on the contrary), so another factor must be considered to increase durability to a minimum 97.5%.
Usually the influence of material moisture on the durability of the pellet is tested in combination with the temperature of the process. As the study presents basic research, temperature as one of many influencing factors has been omitted. It should be noted that the tests were carried out for pellets, but the results can also be used in the briquetting process, where temperature is not always taken into account.
The results obtained and their juxtaposition with the literature data suggest that the number of factors influencing the quality parameters of pellets will increase, which will be continued in subsequent studies.
5. Conclusions
In this research, we followed the effect of material moisture content and compression pressure on the final specific density and mechanical durability of pellets with a standardized particle size distribution. This impact was followed by compaction of three materials: Giant miscanthus, Cup plant and Virginia mallow. The results indicate that the pressure but also the moisture of the material have a significant impact on the final density and mechanical durability of the pellets and it is different depending on the tested material.
It turns out that to achieve Giant miscanthus pellets with the best parameters, just use a material with a moisture content of 8% and compress it at a pressure of 196 MPa (for durability) and 262 for density. Above this level of pressure, the differences are not so significant and this allows energy saving in the processing processes.
For Silphium, the course of changes in DE and DU is slightly different. The highest DE values were obtained for material with a moisture content of 8%. At a pressure of 262 pellets achieve values close to the assumed threshold (1000 kg/m3), a further increase in pressure does not cause a significant change in DE. In the case of DU, 14% moisture allows the best values of this parameter to be obtained at a pressure of 132 MPa, compared to 11% and 8% moisture. At higher pressures, the influence of moisture is negligible and the obtained DU value stabilizes at around 90%–93%. To obtain the maximum values of both quality parameters it is therefore necessary to compact the material with a moisture of 8% with a pressure of 262 MPa.
Similar properties were noted in pellets made of Cup plant. The material moisturize to 8% has the highest density. The compaction pressure that gave the best result in terms of mechanical durability is 262 MPa. No significant differences in mechanical durability were noticed using the pressure of 327 MPa, so the lower level is completely sufficient and also allows for energy savings and thus a reduction in production costs.
The results of the process of compression pellets made of Virginia mallow indicate that the best level of moisture is 11%. However, the difference between the highest density for 8% and 11% moisture at 372 MPa is not significant, but the same DE level can be obtained for a material with a moisture content of 11% already at a pressure of 262 MPa. The lowest density was found in pellets made of material with a moisture content of 14%. In turn, testing of mechanical durability showed that the highest durability parameters were achieved by pellets made at a pressure of 327 MPa, while this durability is not significantly different from the durability obtained at a pressure of 262 MPa. To obtain the maximum values of both quality parameters, it is therefore necessary to thicken the material with a moisture content of 11% to adjust 262 MPa.
Studies have shown that material of different origin shows differences in the results obtained and moisture and pressure does not eliminate it. The expressive differences are between the grass-coated Miscanthus and the Cup plant and Virginia mallow which represents the dicotyledonous perennials. Characteristic is the different course of DU changes with increasing moisture at a pressure of 132 MPa. For Miscanthus, DU decreases as moisture increases, unlike for other materials.
In the future, it is planned to perform further tests enriched with factors such as: compaction speed and temperature. It is also planned to demonstrate the effect of material moisture and compaction pressure on the elastic spring-back of finished pellets.
Author Contributions
Conceptualization, J.S. and M.W., methodology, M.W., J.S.; formal analysis, J.F.; data curation, A.K.; writing—original draft preparation, J.S.; writing—review and editing, J.S., M.W.; visualization, A.K.; All authors have read and agreed to the published version of the manuscript.
Funding
This research was supported by the Ministry of Science and Higher Education of the Republic of Poland (of Production and Power Engineering, University of Agriculture in Kraków).
Conflicts of Interest
The authors declare no conflict of interest.
References
- Karbowniczak, A.; Hamerska, J.; Wróbel, M.; Jewiarz, M.; Nęcka, K. Evaluation of selected species of woody plants in terms of suitability for energy production. In Renewable Energy Sources: Engineering, Technology, Innovation; Springer Proceedings in Energy: Cham, Switzerland, 2018. [Google Scholar]
- Civitarese, V.; Acampora, A.; Sperandio, G.; Assirelli, A.; Picchio, R. Production of wood pellets from poplar trees managed as coppices with different harvesting cycles. Energies 2019, 12, 2973. [Google Scholar] [CrossRef]
- Relova, I.; Vignote, S.; León, M.A.; Ambrosio, Y. Optimisation of the manufacturing variables of sawdust pellets from the bark of Pinus caribaea Morelet: Particle size, moisture and pressure. Biomass Bioenergy 2009, 33, 1351–1357. [Google Scholar]
- Dołżyńska, M.; Obidziński, S.; Kowczyk-Sadowy, M.; Krasowska, M. Densification and combustion of cherry stones. Energies 2019, 12, 3042. [Google Scholar] [CrossRef]
- Tumuluru, J. Pelleting of pine and switchgrass blends: Effect of process variables and blend ratio on the pellet quality and energy consumption. Energies 2019, 12, 1198. [Google Scholar] [CrossRef]
- Kowalczyk-Juśko, A.; Kulig, R.; Laskowski, J. The influence of moisture content of selected Energy crops on the briqueting process parameters. TEKA Comm. Mot. Energ. Agric. 2011, 11, 189–196. [Google Scholar]
- Ovcharuk, V.; Boyko, O.; Horodyska, O.; Vasulyeva, O.; Mudryk, K.; Jewiarz, M.; Wróbel, M.; Styks, J. Prospects for the production of biofuels from crop residues bean and its environmental and technological characteristics. In Renewable Energy Sources: Engineering, Technology, Innovation; Springer: Cham, Switzerland, 2020. [Google Scholar]
- Kościk, B. Rośliny Energetyczne; Wydawnictwo Akademii Rolniczej: Lublin, Poland, 2003. [Google Scholar]
- Kulig, R.; Laskowski, J. The effect of preliminary processing on compaction parameters of oilseed rape straw. TEKA Comm. Mot. Energ. Agric. 2011, 11, 209–217. [Google Scholar]
- Artyszak, D. Rośliny energetyczne—Charakterystyka podstawowych gatunków i ich wykorzystanie w polskiej energetyce. In Proceedings of the Nowoczesna Energetyka Europy Środkowo-Wschodniej 2015, Warsaw, Poland, 19–28 October 2015. [Google Scholar]
- Czeczko, R. Porównanie stopnia uwodnienia różnych części Helianthus tuberosus aspekcie ich przydatności jako biopaliwa. Ochrona Środowiska Zasobów Naturalnych 2011, 49, 521–524. [Google Scholar]
- Księżak, J.; Faber, A. Ocena możliwości pozyskiwania biomasy z mozgi trzcinowatej na cele energetyczne. Łąkarstwo W Polsce 2007, 11, 141–148. [Google Scholar]
- Mudryk, K.; Frączek, J.; Ślipek, Z.; Francik, S.; Wróbel, M. Chosen physico-mechanical properties of cutleaf coneflower (Rudbeckia laciniata L.) shoots. In Proceedings of the 12th International Scientific Conference Engineering for Rural Development, Jelgava, Latvia, 23–24 May 2013. [Google Scholar]
- Ivanyshyn, V.; Nedilska, U.; Khomina, V.; Klymyshena, R.; Hryhoriev, V.; Ovcharuk, O.; Hutsol, T.; Mudryk, K.; Jewiarz, M.; Wróbel, M.; et al. Prospects of growing Miscanthus as alternative source of biofuel. In Renewable Energy Sources: Engineering, Technology, Innovation; Springer Proceedings in Energy: Cham, Switzerland, 2018. [Google Scholar]
- Wąsik, R.; Michalec, K.; Mudryk, K. Research reports variability in static bending strength of the “Tabórz” scots pine wood (Pinus sylvestris L.). Drewno Prace Naukowe Doniesienia Komunikaty 2016, 59. [Google Scholar] [CrossRef]
- Li, Y.; Liu, H. High pressure densification of wood residues to form an upgraded fuel. Biomass Bioenergy 2000, 19, 177–186. [Google Scholar] [CrossRef]
- Križan, P.; Matúš, M.; Šooš, J.; Beniak, J. Behavior of beech sawdust during densification into a solid biofuel. Energies 2015, 8, 6382–6398. [Google Scholar] [CrossRef]
- Knapczyk, A.; Francik, S.; Wójcik, A.; Bednarz, G. Influence of storing Miscanthus × gigantheus on its mechanical and energetic properties. In Renewable Energy Sources: Engineering, Technology, Innovation; Springer: Cham, Switzerland, 2018; pp. 651–660. [Google Scholar]
- Czeczko, R. Uprawy wybranych roślin energetycznych. Energia odnawialna w nauce i praktyce. In Proceedings of the EKOENERGIA ’2012: Energia odnawialna w nauce i praktyce, Lublin, Poland, 26–27 October 2012; pp. 170–172. [Google Scholar]
- Kieć, J. Wady i zalety roślin energetycznych. In Energetyka Alternatywna; Wydawnictwo Dolnośląskiej Wyższej Szkoły Przedsiębiorczości i Techniki w Polkowicach: Polkowice, Poland, 2011. [Google Scholar]
- Ovcharuk, O.; Hutsol, T.; Ovcharuk, O.; Rudskyi, V.; Mudryk, K.; Jewiarz, M.; Wróbel, M.; Styks, J. Prospects of use of nutrient remains of corn plants on biofuels and production technology of pellets. In Renewable Energy Sources: Engineering, Technology, Innovation; Springer: Cham, Switzerland, 2020; pp. 293–300. [Google Scholar]
- Hejft, R. Ciśnieniowa aglomeracja materiałów roślinnych. In Białystok Wydaw; I Zakład Poligrafii Instytutu Technologii Eksploatacji: Radom, Poland, 2002; ISBN 83-7204-251-9. [Google Scholar]
- Anukam, A.; Berghel, J.; Frodeson, S.; Bosede Famewo, E.; Nyamukamba, P. Characterization of pure and blended pellets made from Norway spruce and Pea starch: A comparative study of bonding mechanism relevant to quality. Energies 2019, 12, 4415. [Google Scholar] [CrossRef]
- Moliner, C.; Lagazzo, A.; Bosio, A.; Botter, R.; Arato, E. Production, Characterization, and Evaluation of Pellets from Rice Harvest Residues. Energies 2020, 13, 4415. [Google Scholar] [CrossRef]
- Greinert, A.; Mrówczyńska, A.; Grech, R.; Szefner, W. The use of plant biomass pellets for energy production by combustion in dedicated furnaces. Energies 2020, 13, 463. [Google Scholar] [CrossRef]
- Francik, S.; Knapczyk, A.; Francik, R.; Ślipek, Z. Analysis of possible application of olive pomace as biomass source. In Renewable Energy Sources: Engineering, Technology, Innovation; Springer: Cham, Switzerland, 2018; pp. 583–592. [Google Scholar]
- ISO, BSEN. Solid Biofuels—Terminology, Definitions and Descriptions; ISO: Geneva, Switzerland, 2014. (In Polish) [Google Scholar]
- Janowicz, L. Biomasa w Polsce. Energ. I Ekol. 2006, 8, 601–604. [Google Scholar]
- Wrobel, M.; Mudryk, K.; Jewiarz, M.; Knapczyk, A. Impact of raw material properties and agglomeration pressure on selected parmeters of granulates obtained from willow and black locust biomass. In Proceedings of the 17th International Scientific Conference Engineering for Rural Development, Jelgava, Latvia, 23–25 May 2018; pp. 1933–1938. [Google Scholar]
- Niemczyk, M.; Kaliszewski, A.; Jewiarz, M.; Wróbel, M.; Mudryk, K. Productivity and biomass characteristics of selected poplar (Populus spp.) cultivars under the climatic conditions of northern Poland. Biomass Bioenergy 2018, 111, 46–51. [Google Scholar] [CrossRef]
- Saletnik, B.; Puchalski, C.; Zaguła, G.; Bajcar, M. Porównanie użyteczności energetycznej wybranych brykietów z biomasy. Inżynieria Rolnicza 2013, 3, 341–347. [Google Scholar]
- Stolarski, M.; Szczukowski, S.; Tworkowski, J. Characteristics of selected biofuels produced from solid biomass. Problemy Inzynierii Rolniczej 2007, 15, 21–26. [Google Scholar]
- Pietsch, W. Agglomeration Processes: Phenomena, Technologies, Equipment; John Wiley & Sons: Hoboken, NJ, USA, 2008. [Google Scholar]
- Stelte, W.; Holm, J.; Sanadi, A.; Barsberg, S.; Ahrenfeldt, J.; Henriksen, U. Fuel pellets from biomass: The importance of the pelletizing pressure and its dependency on the processing conditions. Fuel 2011, 90, 3285–3290. [Google Scholar] [CrossRef]
- Križan, P.; Svátek, M.; Matúš, M.; Beniak, J.; Lisý, M. Determination of compacting pressure and pressing temperature impact on biomass briquettes density and their mutual interactions. In Proceedings of the 4th SGEM GeoConference on Energy and Clean Technologies, Albena, Bulgaria, 19–25 June 2014; pp. 133–140. [Google Scholar]
- Abdoli, M.A.; Golzary, A.; Hosseini, A.; Sadeghi, P. Wood Pellet as a Renewable Source of Energy from Production to Consumption; Springer: Cham, Switzerland, 2018. [Google Scholar]
- Hu, Q.; Shao, J.; Yang, H.; Yao, D.; Wang, X.; Chen, H. Effects of binders on the properties of bio-char pellets. Appl. Energy 2015, 157, 508–516. [Google Scholar] [CrossRef]
- Tumuluru, J. Effect of moisture content and hammer mill screen size on the briquetting characteristics of woody and herbaceous biomass. KONA Powder Part. J. 2019. [Google Scholar] [CrossRef]
- Križan, P.; Šooš, L.; Matúš, M.; Beniak, J.; Svátek, M. Research of significant densification parameters influence on final briquettes quality. Wood Res. 2015, 60, 301–316. [Google Scholar]
- Križan, P. The Densification Process of Wood Waste; Capello, E., Boyd, M., Eds.; Walter de Gruyter GmbH & Co. KG: Berlin, Germany, 2015. [Google Scholar]
- Brožek, M. The effect of moisture of the raw material on the properties briquettes for energy use. Acta Univ. Agric. Silv. Mendel. Brun. 2016, 64, 1453–1458. [Google Scholar] [CrossRef]
- Wróbel, M. Zagęszczalność i Kompaktowalność Biomasy Celulozowej; Polskie Towarzystwo Inżynierii Rolniczej: Kraków, Poland, 2019. [Google Scholar]
- Mani, S.; Tabil, S.; Sokhansanj, S. Effects of compressive force, particle size and moisture content on mechanical properties of biomass pellets from grasses. Biomass Bioenergy 2006, 30, 648–654. [Google Scholar] [CrossRef]
- ISO, BSEN. Solid Biofuels—Determination in Moisture Content—Oven Dry Method—Part 3: Moisture in General Analysis Sample; British Standards Institution: Bonn, Germany, 2015; pp. 1–14. (In Polish) [Google Scholar]
- DS/EN. Solid biofuels—Determination of Particle Size Distribution for Uncompressed Fuels—Part 2: Vibrating Screen Method Using Sieves with Aperture of 3,15 mm and Below; Dansk standard: Copenhagen, Denmark, 2010. (In Polish) [Google Scholar]
- Jewiarz, M.; Mudryk, K.; Wróbel, M.; Frączek, J.; Dziedzic, K. Parameters affecting RDF-based pellet quality. Energies 2020, 13, 910. [Google Scholar] [CrossRef]
- Manouchehrinejad, M.; Yue, Y.; Lopes de Morais, R.; Souza, L.; Singh, H.; Mani, S. Densification of thermally treated energy cane and Napier grass. BioEnergy Res. 2018, 11, 538–550. [Google Scholar] [CrossRef]
- European Committee for Standardization (CEN). Solid Biofuels—Determination of Mechanical Durability of Pellets and Briquettes—Part 1: Pellets; CEN: Brussels, Belgium, 2010. (In Polish) [Google Scholar]
- ISO, BSEN. Solid Biofuels—Fuel Specifications and Classes—Part 6: Graded Non-Woody Pellets; British Standards Institution: Bonn, Germany, 2014. (In Polish) [Google Scholar]
- Serrano, C.; Monedero, E.; Lapuerta, M.; Portero, H. Effect of moisture content, particle size and pine addition on quality parameters of barley straw pellets. Fuel Process. Technol. 2011, 92, 699–706. [Google Scholar] [CrossRef]
- Tumuluru, J.S.; Wright, C.T.; Hess, J.R.; Kenney, K.L. A review of biomass densification systems to develop uniform feedstock commodities for bioenergy application. Biofuels Bioprod. Biorefin. 2011, 5, 683–707. [Google Scholar] [CrossRef]
- Obernberger, I.; Thek, G. Physical characterisation and chemical composition of densified biomass fuels with regard to their combustion behaviour. Biomass Bioenergy 2004, 27, 653–669. [Google Scholar] [CrossRef]
- Van Quyen, T.; Nagy, S.; Csőke, B. Effect of moisture content and particle size on beech biomass agglomeration. Adv. Agric. Bot. 2017, 9, 79–89. [Google Scholar]
- Rhén, C.; Gref, R.; Sjöström, M.; Wästerlund, I. Effects of raw material moisture content, densification pressure and temperature on some properties of Norway. Fuel Process. Technol. 2005, 87, 11–16. [Google Scholar] [CrossRef]
- Obidziński, S.; Joka, M.; Luto, E.; Bieńczak, A. Research of the densification process of post-harvest tobacco waste. J. Res. Appl. Agric. Eng. 2017, 62, 149–154. [Google Scholar]
- Van Quyen, T.; Sándor, N. Agglomeration of Acacia mangium biomass. Vietnam J. Sci. Technol. 2018, 56, 198. [Google Scholar] [CrossRef]
- Samuelsson, R.; Larsson, S.H.; Tyhrel, M.; Lestander, T.A. Moisture content and storage time influence the binding mechanisms in biofuel wood pellets. Appl. Energy 2012, 99, 109–115. [Google Scholar] [CrossRef]
- Colley, Z.; Fasina, O.O.; Bransby, D.; Lee, Y.Y. Moisture effect on the physical characteristics of switchgrass pellets. Trans. ASABE 2006, 49, 1845–1851. [Google Scholar] [CrossRef]
- Ishii, K.; Furuichi, T. Influence of moisture content, particle size and forming temperature on productivity and quality of rice straw pellets. Waste Manag. 2014, 34, 2621–2626. [Google Scholar] [CrossRef]
- Kaliyan, N.; Vance Morey, R. Factors affecting strength and durability of densified biomass products. Biomass Bioenergy 2009, 33, 337–359. [Google Scholar] [CrossRef]
© 2020 by the authors. Licensee MDPI, Basel, Switzerland. This article is an open access article distributed under the terms and conditions of the Creative Commons Attribution (CC BY) license (http://creativecommons.org/licenses/by/4.0/).








