Effect of EGR and Fuel Injection Strategies on the Heavy-Duty Diesel Engine Emission Performance under Transient Operation
Abstract
:1. Introduction
2. Experimental Work
2.1. Experimental Setup
2.2. Test Cases and Procedure
3. Results and Discussion
3.1. Effect of EGR Valve Open Loop Control Strategy on Diesel Transient Performance
3.1.1. Effect of Different EGR Valve-off Time on Diesel Transient Performance
3.1.2. Effect of Different EGR Valve-Reopen Time on Diesel Transient Performance
3.2. Performance Study of EGR Valve Close Loop Control Strategy under Transient Process
3.3. Optimization Method of Injection Parameters on Diesel Transient Performance
3.3.1. Effect of Sectional-Stage Rail Pressure (SSRP) Strategy on Transient Performance
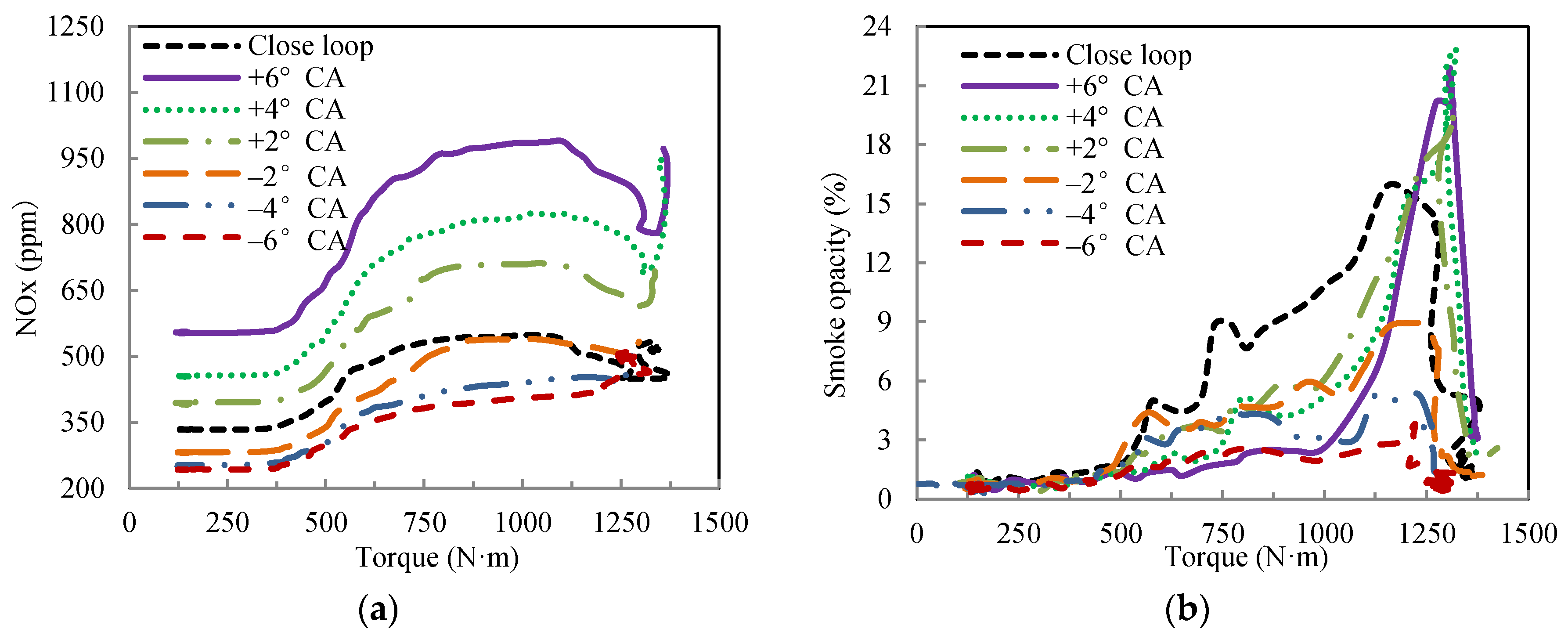
3.3.2. Effect of Full-Stage Injection Timing (FSIT) Strategy on Transient Performance
4. Conclusions
- (1).
- Aimed at different stage of transient process, the open loop control strategy is put forward. By setting the valve-off at 1.5 s, valve-reopen at 4.0 s, compared to the original performance (fixed valve opening), the EGR rate is restrained at the middle stage of transient process, and the mixing quality of air and fuel is improved. The reduction of smoke opacity peak is 64.4% (from 19.4% to 6.9%), and the increase of NOx is 34.9% (from 506 ppm to 683 ppm) which can achieve the compromise between NOx and smoke emissions preliminarily.
- (2).
- Choose exhaust oxygen concentration as the feedback variable which has the advantages of rapid, working and measurement reliably. Moreover, the exhaust oxygen concentration of “no EGR” (the transient performance of two-stage series turbocharging diesel engine without EGR) is taken as a reference. The variation of EGR rate is similar to EGR valve open loop control strategy, so the smoke emission is reduced 18.6% (from 19.4% to 15.8%). However, because of the time delay of feedback control and EGR valve, the smoke opacity peak is higher than “no EGR”, furthermore, the NOx emission decreases, and is lower than 600 ppm during the transient process.
- (3).
- The injection parameters have great influence on increasing air-fuel mixing which can compensate the air-fuel mixing quantity deterioration caused by air inflow delay. Combining sectional-stage rail pressure (SSRP) strategy (increasing injection pressure from a turning point load to 100% load) and full-stage injection timing (FSIT) strategy (decreasing injection timing from 10% load to 100% load) based on the close loop control strategy, the biggest drop of NOx reaches 28.2% (from 532 ppm to 382 ppm), the smoke opacity peak is reduced to 3.8% and the reduction reaches to 80.4% compared to close loop control strategy. At last, it achieves the optimization of transient performance.
Author Contributions
Funding
Conflicts of Interest
References
- Serrano, J.R.; Arnau, F.J.; Dolz, V.; Piqueras, P. Methodology for characterisation and simulation of turbocharged diesel engines combustion during transient operation. Part 1: Data acquisition and post-processing. Appl. Therm. Eng. 2009, 29, 142–149. [Google Scholar] [CrossRef]
- Serrano, J.R.; Climent, H.; Guardiola, C.; Piqueras, P. Methodology for characterisation and simulation of turbocharged diesel engines combustion during transient operation. Part 2: Phenomenological combustion simulation. Appl. Therm. Eng. 2009, 29, 150–158. [Google Scholar] [CrossRef]
- Tan, C.; Xu, H.; Ma, H.; Tian, J.; Ghafourian, A. A Study of Methodology for the Investigation of Engine Transient Performance; SAE Paper No. 2010-01-2201; SAE Technical Paper: Michigan, MI, USA, 2010. [Google Scholar] [CrossRef]
- Selmanaj, D.; Waschl, H.; Schinnerl, M.; Savaresi, S.; del Re, L. Dynamic Injection Adaptation by Input Shaping for Low NOx Emissions during Transients; SAE Paper No. 2014-01-1161; SAE Technical Paper: Michigan, MI, USA, 2014. [Google Scholar] [CrossRef]
- Vafaie, M.H.; Dehkordi, B.M.; Moallem, P.; Kiyoumarsi, A. A new predictive direct torque control method for improving both steady-state and transientstate operations of the PMSM. IEEE Trans. Power Electron. 2016, 31, 3738–3753. Available online: https://ieeexplore.ieee.org/document/7169583 (accessed on 18 July 2018). [CrossRef]
- Khalek, I.A.; Spears, M.; Charmley, W. Particle size distribution from a heavy-duty diesel engine: Steady-state and transient emission measurement using twodilution systems and two fuels. SAE Trans. 2003, 112, 137–147. [Google Scholar] [CrossRef]
- Hanson, R.; Reitz, R. Experimental Investigation of Engine Speed Transient Operation in a Light Duty RCCI Engine. SAE Paper No. 2014-01-1323. SAE Int. J. Engines 2014, 7, 888–901. [Google Scholar] [CrossRef]
- Yang, R.; Lou, D.; Tan, P.; Hu, Z.; Ren, H. Fuel Economy and Emissions of a 7L Common Rail Diesel Engine during Torque Rise Transient Process; SAE Paper No. 2015-01-1068; SAE Technical Paper: Michigan, MI, USA, 2015. [Google Scholar] [CrossRef]
- Nilsson, T.; Froberg, A.; Aslund, J. Optimal Operation of a Turbocharged Diesel Engine during Transients. SAE Paper No. 2012-01-0711. SAE Int. J. Engines 2012, 5, 571–578. [Google Scholar] [CrossRef]
- Jin, H.; Choi, S.; Jung, H. Simplified Multiple Sliding Mode Transient Control with VGT and EGR Diesel Engine; SAE Paper No. 2013-01-0345; SAE Technical Paper: Michigan, MI, USA, 2013. [Google Scholar] [CrossRef]
- Spessa, E.; D’ambrosio, S.; Iemmolo, D.; Mancarella, A.; Vitolo, R.; Hardy, G. Steady-State and Transient Operations of a Euro VI 3.0L HD Diesel Engine with Innovative Model-Based and Pressure-Based Combustion Control Techniques. SAE Int. J. Engines 2017, 10, 1080–1092. [Google Scholar] [CrossRef]
- Gupta, S.; Hillman, G.; El-Hannouny, E.; Sekar, R. Transient particulate emission measurements in diesel engine exhausts. SAE Trans. 2003, 112, 2269–2273. [Google Scholar] [CrossRef]
- Khalek, I.A. Characterization of Particle Size Distribution of a Heavy-Duty Diesel Engine during FTP Transient Cycle Using ELPI; SAE Paper No. 2000-01-2001; SAE Technical Paper: Michigan, MI, USA, 2000. [Google Scholar] [CrossRef]
- Filipi, Z.; Hagena, J.; Fathy, H. Investigating the impact of in-vehicle transients on diesel soot emissions. Therm. Sci. 2008, 12, 53–72. [Google Scholar] [CrossRef]
- Glewen, W.; Heuwetter, D.; Foster, D.; Andrie, M.; Krieger, R. Analysis of Deviations from Steady State Performance during Transient Operation of a Light Duty Diesel Engine. SAE Int. J. Engines 2012, 5, 909–922. [Google Scholar] [CrossRef]
- Choi, H.; Kwon, S.; Cho, S. Development of Fuel Consumption of Passenger Diesel Engine with Two-Stage Turbocharger; SAE Paper No. 2006-01-0021; SAE Technical Paper: Michigan, MI, USA, 2006. [Google Scholar] [CrossRef]
- Winkler, N.; Ångström, H.E. Simulations and Measurements of a Two-Stage Turbocharged Heavy-Duty Diesel Engine Including EGR in Transient Operation; SAE Paper No. 2008-01-0539; SAE Technical Paper: Michigan, MI, USA, 2008. [Google Scholar] [CrossRef]
- Raghu, P.; Nallusamy, N.; Pitchandi, K. Spray characteristics of diesel and derivatives in direct injection diesel engines with varying injection pressures. J. Mech. Sci. Technol. 2015, 29, 4465–4471. [Google Scholar] [CrossRef]
- Eagle, W.E.; Morris, S.B.; Wooldridge, M.S. High speed imaging of transient diesel spray behavior during high pressure injection of a multi-hole fuel injector. Fuel 2014, 116, 299–309. [Google Scholar] [CrossRef]
- Tamaki, N.; Shimizu, M.; Nishida, K.; Hiroyasu, H. Effects of Cavitation and Internal Flow on Atomization of a Liquid Jet. Anat. Sprays 1998, 8, 179–197. [Google Scholar] [CrossRef]
- Sun, Z.Y.; Li, G.X.; Yu, Y.S.; Gao, S.C.; Gao, G.X. Numerical investigation on transient flow and cavitation characteristic within nozzle during the oil drainage process for a high-pressure common-rail DI diesel engine. Energy Convers. Manag. 2015, 98, 507–517. [Google Scholar] [CrossRef]
- Agarwal, A.K.; Dhar, A.; Gupta, J.G.; Kim, W.I.; Choi, K.; Lee, C.S.; Park, S.W. Effect of fuel injection pressure and injection timing of Karanja biodiesel blends on fuel spray, engine performance, emissions and combustion characteristics. Energy Convers. Manag. 2015, 91, 302–314. [Google Scholar] [CrossRef]
- Agarwal, A.K.; Dhar, A.; Gupta, J.G.; Kim, W.I.; Lee, C.S.; Park, S.W. Effect of fuel injection pressure and injection timing on spray characteristics and particulate size number distribution in a biodiesel fuelled common rail direct injection diesel engine. Appl. Energy 2014, 130, 212–221. [Google Scholar] [CrossRef]
- Agarwal, A.K.; Srivastava, D.K.; Dhar, A.; Maurya, R.K.; Shukla, P.C.; Singh, A.P. Effect of fuel injection timing and pressure on combustion, emissions and performance characteristics of a single cylinder diesel engine. Fuel 2013, 111, 374–383. [Google Scholar] [CrossRef]
- Hebbar, G.S.; Bhat, A.K. Control of NOx from a DI diesel engine with hot EGR and ethanol fumigation: An experimental investigation. Int. J. Automot. Technol. 2013, 14, 333–341. [Google Scholar] [CrossRef]
- Park, J.; Lee, K.S.; Song, S.; Chun, K.M. Numerical study of a light-duty diesel engine with a dual-loop EGR system under frequent engine operating conditions using the doe method. Int. J. Automot. Technol. 2010, 11, 617–623. [Google Scholar] [CrossRef]
- Heuwetter, D.; Glewen, W.; Meyer, C.; Foster, D.E.; Andrie, M.; Krieger, R. Effects of Low Pressure EGR on Transient Air System Performance and Emissions for Low Temperature Diesel Combustion; SAE Paper No. 2011-24-0062; SAE Technical Paper: Michigan, MI, USA, 2011. [Google Scholar] [CrossRef]
- Nam, K.; Yu, J.; Cho, S. Improvement of Fuel Economy and Transient Control in a Passenger Diesel Engine Using Low Pressure EGR; SAE Paper No. 2011-24-0062; SAE Technical Paper: Michigan, MI, USA, 2011. [Google Scholar] [CrossRef]
- Serrano, J.R.; Arnau, F.J.; Dolz, V.; Tiseira, A.; Lejeune, M.; Auffret, N. Analysis of the capabilities of a two-stage turbocharging system to fulfill the US2007 anti-pollution directive for heavy duty diesel engines. Int. J. Automot. Technol. 2008, 9, 277–288. [Google Scholar] [CrossRef]
- Wang, Z.; Chen, W.; Wang, D.; Tan, M.; Liu, Z.; Dou, H. A novel combustion evaluation method based in-cylinder pressure traces for diesel/natural gas dual fuel engines. Energy 2016, 115, 1130–1137. Available online: www.elsevier.com/locate/energy (accessed on 18 October 2019). [CrossRef]
- Darlington, A.; Glover, K.; Collings, N. A Simple Diesel Engine Air-Path Model Topredict the Cylinder Charge during Transients: Strategies for Reducing Transient Emissions Spikes; SAE Paper No. 2011-24-0062; SAE Technical Paper: Michigan, MI, USA, 2006. [Google Scholar] [CrossRef]
- Jia, H.; Yin, B.; Wang, J.; Chen, L. Visualizations of combustion and emissions characteristics in a light-duty diesel engine with achieved premixed low temperature combustion. Int. J. Automot. Technol. 2015, 16, 201–209. Available online: https://link.springer.com/article/10.1007%2Fs12239-015-0022-5 (accessed on 11 July 2018). [CrossRef]
- Jung, S.; Ishida, M.; Yamamoto, S.; Ueki, H.; Sakaguchi, D. Enhancement of NOx-PM trade-off in a diesel engine adopting bio-ethanol and EGR. Int. J. Automot. Technol. 2010, 11, 611–616. Available online: https://link.springer.com/article/10.1007%2Fs12239-010-0073-6 (accessed on 5 June 2018). [CrossRef]
- Kamran, P.; Rahim, K.S.; Ehsan, A.; Khoshbakht, I.B.; Mehdi, S.; Jeffery, D.N. Effect of diesel injection strategies on natural gas/diesel RCCI combustion characteristics in a light duty diesel engine. Appl. Energy 2017, 199, 430–446. [Google Scholar] [CrossRef]
- Tian, J. Research on Ultra-Low Emission Based on EGR Coupled Multi-Stage Injection Strategies. Ph.D. Thesis, Jilin University, Jilin, China, 2010. Available online: https://www.scholarmate.com/S/JnmhuS (accessed on 18 October 2018).
- Kirchen, P.; Obrecht, P.; Boulouchos, K. Soot emission measurements and validation of a mean value soot model for common-rail diesel engines during transient operation. SAE Int. J. Engines 2009, 2, 1663–1678. [Google Scholar] [CrossRef]
- Alberer, D.; Re, L.D. On-Line Abatement of Transient NOx and PM Diesel Enginee Missions by Oxygen Based Optimal Control; SAE Paper No. 2010-01-2201; SAE Technical Paper: Michigan, MI, USA, 2010. [Google Scholar] [CrossRef]
- Armas, O.; Ballesteros, R.; Cardenas, M.D. Thermodynamic diagnosis of diesel and biodiesel combustion processes during load-increase transient sequences. Appl. Energy 2012, 97, 558–568. [Google Scholar] [CrossRef]
















| Item | Value |
|---|---|
| Engine Type | inline six-cylinder four-valve two-stage turbocharged with inter-cooling |
| Bore (mm) × Stroke (mm) | 112 × 145 |
| Rated power/(kW) | 257 at 2100 r/min |
| Displacement/(L) | 8.6 |
| Compression ratio | 17.0:1 |
| Turbocharged | HOLSET400 |
| Injection system | The 2nd generation of common-rail (Bosch) |
| Combustion chamber shape | ω-type |
| Equipment | Type | Accuracy |
|---|---|---|
| Eddy current dynamometer | CW440 | Speed: ±1 r/min |
| Torque: ±0.2~0.3%FS | ||
| EGR value | KNE-071-11 | 10 mm/60 step |
| In-cylinder pressure sensor | Kistler 6125 C | ±0.4%FS |
| Combustion analyzer | DEWE-2010 | Resolution: 0.2° CA |
| Air flow meter | AVL1000 | ±1.0%FS |
| Opacimeter | AVL439 | ±0.1%FS |
| NOx sensor | 5WK9-6614H | ±0.2%FS |
| Fuel mass flow meter | ToCeiL-CMFD/G | ±0.4%FS |
| Exhaust-gas analyzer | MEXA-7200DEGR | ±1.0%FS |
| dSPACE | MicroAutoBoxII 1401 | ADC: 12-bit |
| DAC: 12-bit |
| Authors | Fangyuan Zhang, et al. | Daniel Alberer, et al. | David Heuwetter, et al. | |
|---|---|---|---|---|
| Qauntity | ||||
| NOx | 28.2% | 67.6% | 54.8% | |
| Smoke | 80.4% | 66.8% | 13.2% | |
© 2020 by the authors. Licensee MDPI, Basel, Switzerland. This article is an open access article distributed under the terms and conditions of the Creative Commons Attribution (CC BY) license (http://creativecommons.org/licenses/by/4.0/).
Share and Cite
Zhang, F.; Wang, Z.; Tian, J.; Li, L.; Yu, K.; He, K. Effect of EGR and Fuel Injection Strategies on the Heavy-Duty Diesel Engine Emission Performance under Transient Operation. Energies 2020, 13, 566. https://doi.org/10.3390/en13030566
Zhang F, Wang Z, Tian J, Li L, Yu K, He K. Effect of EGR and Fuel Injection Strategies on the Heavy-Duty Diesel Engine Emission Performance under Transient Operation. Energies. 2020; 13(3):566. https://doi.org/10.3390/en13030566
Chicago/Turabian StyleZhang, Fangyuan, Zhongshu Wang, Jing Tian, Linlin Li, Kaibo Yu, and Kunyi He. 2020. "Effect of EGR and Fuel Injection Strategies on the Heavy-Duty Diesel Engine Emission Performance under Transient Operation" Energies 13, no. 3: 566. https://doi.org/10.3390/en13030566
APA StyleZhang, F., Wang, Z., Tian, J., Li, L., Yu, K., & He, K. (2020). Effect of EGR and Fuel Injection Strategies on the Heavy-Duty Diesel Engine Emission Performance under Transient Operation. Energies, 13(3), 566. https://doi.org/10.3390/en13030566
