A Remaining Discharge Energy Prediction Method for Lithium-Ion Battery Pack Considering SOC and Parameter Inconsistency
Abstract
:1. Introduction
2. Battery Pack Modeling Approach Considering Inconsistency
2.1. Battery Cell Model Description
- The source of voltage, UOCV: Namely the open circuit voltage (OCV) of the battery. In this paper, an interpolation method, which is commonly used in real-time applications, is applied to calculate the OCV based on the estimated SOC by the look-up table denoting the relationship between SOC and OCV.
- The ohmic internal resistance, R0: Consists of electrode material, electrolyte, internal resistance of the diaphragm, and contact resistance of each part.
- Two RC links: R1 and R2 are polarization resistance, indicating resistance caused by electrochemical polarization and concentration polarization. They connect with polarization capacitances, C1 and C2, in parallel and form RC links to simulate battery polarization and the diffusion effect.
2.2. Off-Line Identification of Model Parameters Based on Genetic Algorithm
2.3. S&D Model of Battery Pack
3. RDE Estimation Method for Battery Pack Considering SOC and R0 Inconsistency
3.1. Dual Time-Scale Battery Pack SOC and R0 Estimation Method
3.1.1. First Time Scale—Specific Cell
3.1.2. Second Time Scale—Other Cells
3.2. Predictive-Adaptive Method for Battery Pack Terminal Voltage Prediction
3.3. RDE Prediction Method for Battery Pack
4. Experiments
4.1. Battery Cell Tests
4.2. Battery Pack Tests
5. Results and Discussion
5.1. Battery Cell Calibration Results
5.2. Battery Pack SOC and R0 Estimation Method Verification and Discussion
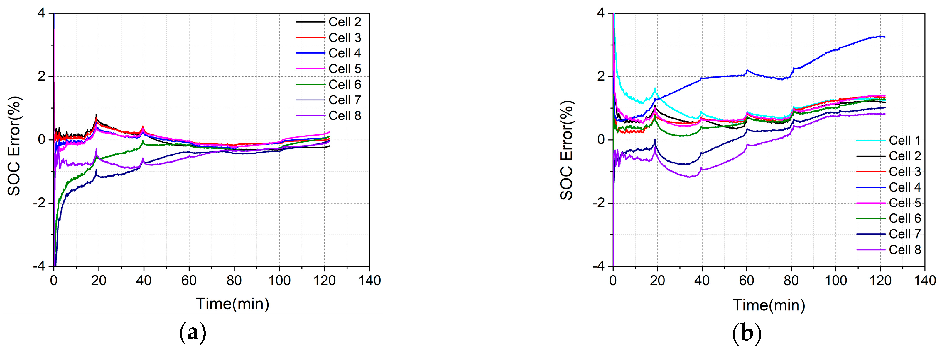
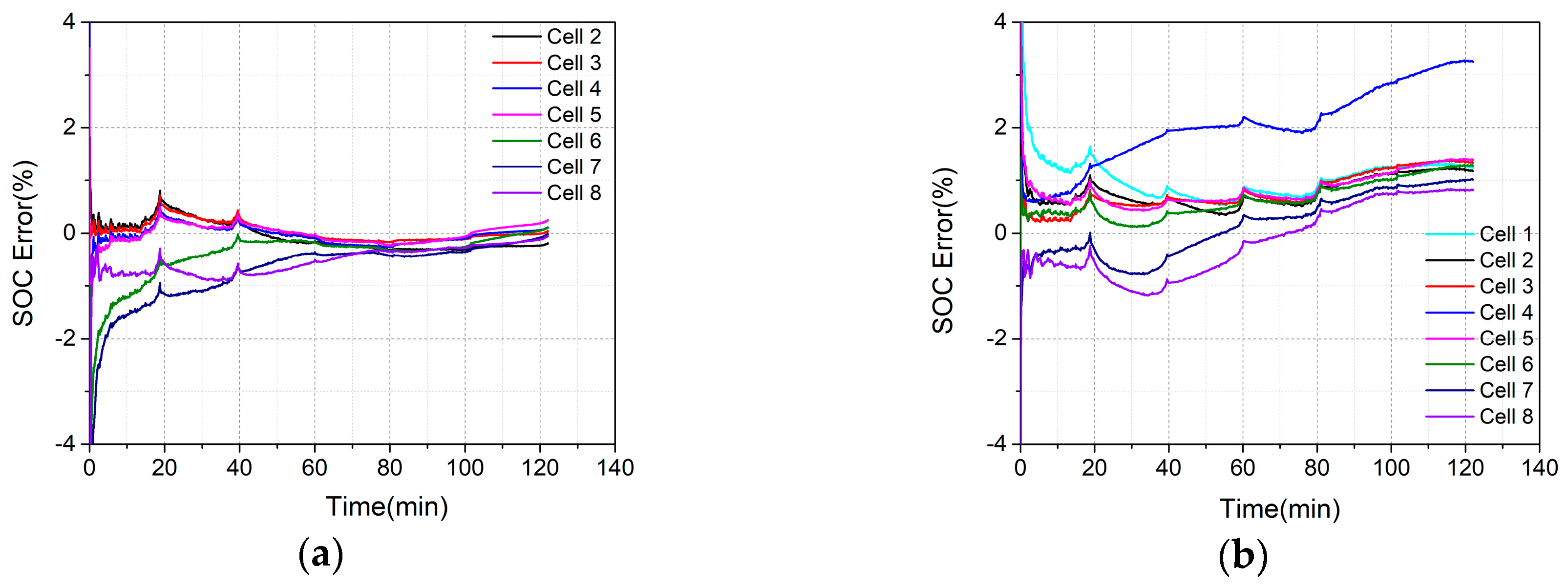
5.2.1. Battery Pack SOC and R0 Estimation Result
5.2.2. Analysis of the Difference between the S&D and M&D Model
5.2.3. Battery Pack RDE Prediction Method Verification
5.2.4. Limitations and Future Work
6. Conclusions
Author Contributions
Funding
Conflicts of Interest
References
- Neubauer, J.; Wood, E. The impact of range anxiety and home, workplace, and public charging infrastructure on simulated battery electric vehicle lifetime utility. J. Power Sources 2014, 257, 12–20. [Google Scholar] [CrossRef]
- Liu, X.T.; Wu, J.; Zhang, C.B.; Chen, Z.H. A method for state of energy estimation of lithium-ion batteries at dynamic currents and temperatures. J. Power Sources 2014, 270, 151–157. [Google Scholar] [CrossRef]
- Bingham, C.; Walsh, C.; Carroll, S. Impact of driving characteristics on electric vehicle energy consumption and range. IET Intell. Transp. Syst. 2012, 6, 29–35. [Google Scholar] [CrossRef]
- Gong, Q.M.; Li, Y.Y.; Peng, Z.R. Trip based optimal power management of plug-in hybrid electric vehicles using gas-kinetic traffic flow model. In Proceedings of the 2008 American Control Conference, Seattle, WA, USA, 11–13 June 2008. [Google Scholar]
- Mamadou, K.; Lemaire, E.; Delaille, A.; Riu, D.; Hing, S.E.; Bultel, Y. Definition of a State-of-Energy Indicator (SoE) for Electrochemical Storage Devices: Application for Energetic Availability Forecasting. J. Electrochem. Soc. 2012, 159, A1298–A1307. [Google Scholar] [CrossRef]
- Wang, Y.J.; Zhang, C.B.; Chen, Z.H. An adaptive remaining energy prediction approach for lithium-ion batteries in electric vehicles. J. Power Sources 2016, 305, 80–88. [Google Scholar] [CrossRef]
- Zhang, W.G.; Shi, W.; Ma, Z.Y. Adaptive unscented Kalman filter based state of energy and power capability estimation approach for lithium-ion battery. J. Power Sources 2015, 289, 50–62. [Google Scholar] [CrossRef]
- He, H.W.; Zhang, Y.Z.; Xiong, R.; Wang, C. A novel Gaussian model based battery state estimation approach: State-of-Energy. Appl. Energy 2015, 151, 41–48. [Google Scholar] [CrossRef]
- Zheng, L.F.; Zhu, J.G.; Wang, G.X.; He, T.T.; Wei, Y.Y. Novel methods for estimating lithium-ion battery state of energy and maximum available energy. Appl. Energy 2016, 178, 1–8. [Google Scholar] [CrossRef]
- Ceraolo, M.; Pede, G. Techniques for estimating the residual range of an electric vehicle. IEEE Trans. Veh. Technol. 2001, 50, 109–115. [Google Scholar] [CrossRef]
- Liu, G.M.; Ouyang, M.G.; Lu, L.G.; Li, J.Q.; Hua, J.F. A highly accurate predictive-adaptive method for lithium-ion battery remaining discharge energy prediction in electric vehicle applications. Appl. Energy 2015, 149, 297–314. [Google Scholar] [CrossRef]
- Hannan, M.A.; Lipu, M.S.H.; Hussain, A.; Mohamed, A. A review of lithium-ion battery state of charge estimation and management system in electric vehicle applications: Challenges and recommendations. Renew. Sust. Energ. Rev. 2017, 78, 834–854. [Google Scholar] [CrossRef]
- Hu, X.S.; Li, S.B.; Peng, H. A comparative study of equivalent circuit models for Li-ion batteries. J. Power Sources 2012, 198, 359–367. [Google Scholar] [CrossRef]
- Xiong, R.; Sun, F.C.; Gong, X.Z.; Gao, C.C. A data-driven based adaptive state of charge estimator of lithium-ion polymer battery used in electric vehicles. Appl. Energy 2014, 113, 1421–1433. [Google Scholar] [CrossRef]
- Zheng, Y.J.; Han, X.B.; Lu, L.G.; Li, J.Q.; Ouyang, M.G. Lithium ion battery pack power fade fault identification based on Shannon entropy in electric vehicles. J. Power Sources 2013, 223, 136–146. [Google Scholar] [CrossRef]
- Prasad, G.K.; Rahn, C.D. Model based identification of aging parameters in lithium ion batteries. J. Power Sources 2013, 232, 79–85. [Google Scholar] [CrossRef]
- Ouyang, M.G.; Liu, G.M.; Lu, L.G.; Li, J.Q.; Han, X.B. Enhancing the estimation accuracy in low state-of-charge area: A novel onboard battery model through surface state of charge determination. J. Power Sources 2014, 270, 221–237. [Google Scholar] [CrossRef]
- Yang, M.L.; Zhang, X.H.; Li, X.H.; Wu, X.Z. A hybrid genetic algorithm for the fitting of models to electrochemical impedance data. J. Electroanal. Chem. 2002, 519, 1–8. [Google Scholar] [CrossRef]
- Lin, C.; Mu, H.; Xiong, R.; Shen, W.X. A novel multi-model probability battery state of charge estimation approach for electric vehicles using H-infinity algorithm. Appl. Energy 2016, 166, 76–83. [Google Scholar] [CrossRef]
- Chen, Z.; Mi, C.C.; Fu, Y.H.; Xu, J.; Gong, X.Z. Online battery state of health estimation based on Genetic Algorithm for electric and hybrid vehicle applications. J. Power Sources 2013, 240, 184–192. [Google Scholar] [CrossRef]
- Zhang, X.; Wang, Y.J.; Liu, C.; Chen, Z.H. A novel approach of battery pack state of health estimation using artificial intelligence optimization algorithm. J. Power Sources 2018, 376, 191–199. [Google Scholar] [CrossRef]
- Plett, G.L. Recursive approximate weighted total least squares estimation of battery cell total capacity. J. Power Sources 2011, 196, 2319–2331. [Google Scholar] [CrossRef]
- Zahid, T.; Li, W.M. A Comparative Study Based on the Least Square Parameter Identification Method for State of Charge Estimation of a LiFePO4 Battery Pack Using Three Model-Based Algorithms for Electric Vehicles. Energies 2016, 9, 16. [Google Scholar] [CrossRef]
- Plett, G.L. Extended Kalman filtering for battery management systems of LiPB-based HEV battery packs: Part 3. State and parameter estimation. J. Power Sources 2004, 134, 277–292. [Google Scholar] [CrossRef]
- Xiong, R.; Sun, F.C.; He, H.W.; Nguyen, T.D. A data-driven adaptive state of charge and power capability joint estimator of lithium-ion polymer battery used in electric vehicles. Energy 2013, 63, 295–308. [Google Scholar] [CrossRef]
- Hu, X.S.; Sun, F.C.; Zou, Y.A. Estimation of State of Charge of a Lithium-Ion Battery Pack for Electric Vehicles Using an Adaptive Luenberger Observer. Energies 2010, 3, 1586–1603. [Google Scholar] [CrossRef]
- Chen, Z.; Li, X.Y.; Shen, J.W.; Yan, W.S.; Xiao, R.X. A Novel State of Charge Estimation Algorithm for Lithium-Ion Battery Packs of Electric Vehicles. Energies 2016, 9, 15. [Google Scholar] [CrossRef]
- Xu, L.; Wang, J.P.; Chen, Q.S. Kalman filtering state of charge estimation for battery management system based on a stochastic fuzzy neural network battery model. Energy Conv. Manag. 2012, 53, 33–39. [Google Scholar] [CrossRef]
- Dai, H.F.; Guo, P.J.; Wei, X.Z.; Sun, Z.C.; Wang, J.Y. ANFIS (adaptive neuro-fuzzy inference system) based online SOC (State of Charge) correction considering cell divergence for the EV (electric vehicle) traction batteries. Energy 2015, 80, 350–360. [Google Scholar] [CrossRef]
- Ouyang, M.G.; Zhang, M.X.; Feng, X.N.; Lu, L.G.; Li, J.Q.; He, X.M.; Zheng, Y.J. Internal short circuit detection for battery pack using equivalent parameter and consistency method. J. Power Sources 2015, 294, 272–283. [Google Scholar] [CrossRef]
- Zheng, Y.J.; Ouyang, M.G.; Lu, L.G.; Li, J.Q. Understanding aging mechanisms in lithium-ion battery packs: From cell capacity loss to pack capacity evolution. J. Power Sources 2015, 278, 287–295. [Google Scholar] [CrossRef]
- Chiu, K.C.; Lin, C.H.; Yeh, S.F.; Lin, Y.H.; Huang, C.S.; Chen, K.C. Cycle life analysis of series connected lithium-ion batteries with temperature difference. J. Power Sources 2014, 263, 75–84. [Google Scholar] [CrossRef]
- Yang, N.X.; Zhang, X.W.; Shang, B.B.; Li, G.J. Unbalanced discharging and aging due to temperature differences among the cells in a lithium-ion battery pack with parallel combination. J. Power Sources 2016, 306, 733–741. [Google Scholar] [CrossRef]
- Sepasi, S.; Roose, L.R.; Matsuura, M.M. Extended Kalman Filter with a Fuzzy Method for Accurate Battery Pack State of Charge Estimation. Energies 2015, 8, 5217–5233. [Google Scholar] [CrossRef]
- Zheng, Y.J.; Ouyang, M.G.; Lu, L.G.; Li, J.Q.; Han, X.B.; Xu, L.F.; Ma, H.B.; Dollmeyer, T.A.; Freyermuth, V. Cell state-of-charge inconsistency estimation for LiFePO4 battery pack in hybrid electric vehicles using mean-difference model. Appl. Energy 2013, 111, 571–580. [Google Scholar] [CrossRef]
- Dai, H.F.; Wei, X.Z.; Sun, Z.C.; Wang, J.Y.; Gu, W.J. Online cell SOC estimation of Li-ion battery packs using a dual time-scale Kalman filtering for EV applications. Appl. Energy 2012, 95, 227–237. [Google Scholar] [CrossRef]
- Waag, W.; Kabitz, S.; Sauer, D.U. Experimental investigation of the lithium-ion battery impedance characteristic at various conditions and aging states and its influence on the application. Appl. Energy 2013, 102, 885–897. [Google Scholar] [CrossRef]
- Boukamp, B.A. Electrochemical impedance spectroscopy in solid state ionics: recent advances. Solid State Ion. 2004, 169, 65–73. [Google Scholar] [CrossRef]




















| Subject | Specification |
|---|---|
| Nominal Voltage/V | 3.62 |
| Nominal Capacity/Ah | 2.9 |
| Electrode chemistry | NCA/graphite |
| Internal resistance/mΩ | 45 |
| Dimension/mm | Diameter: 18.40 Height: 65.02 |
| Storage temperature/℃ | −20 to 25 |
| Weight/g | 45 g |
| Manufacturer | Samsung SDI |
| Variable | CV |
|---|---|
| Mode of Point A (High frequency) | 0.065 |
| Mode from Point B to A (Intermediate frequency) | 0.028 |
| Mode from Point C to A (low frequency) | 0.012 |
| Capacity (@25 °C, 1C Discharge) | 0.0033 |
| Step 1: Initialization |
| Step 2: Iteration and calculation of the two EKF: |
| State and parameter update according to the last iteration result: |
| Kalman gain calculation and state estimation of the first EKF: |
| Kalman gain calculation and parameter estimation of the second EKF: |
| Cell Number | Approximate Initial SOC Value |
|---|---|
| 1 | 65% |
| 2 | 70% |
| 3 | 75% |
| 4 | 80% |
| 5 | 85% |
| 6 | 90% |
| 7 | 95% |
| 8 | 100% |
| Starting Point | Predicted RDE (Wh) | Actual RDE (Wh) |
|---|---|---|
| 20 min | 31.7150 | 31.7163 |
| 40 min | 25.4025 | 25.4035 |
| 60 min | 18.8839 | 18.8846 |
| 80 min | 13.8488 | 13.8493 |
| 100 min | 8.6216 | 8.6220 |
| 120 min | 2.7272 | 2.7273 |
© 2019 by the authors. Licensee MDPI, Basel, Switzerland. This article is an open access article distributed under the terms and conditions of the Creative Commons Attribution (CC BY) license (http://creativecommons.org/licenses/by/4.0/).
Share and Cite
Fang, Q.; Wei, X.; Dai, H. A Remaining Discharge Energy Prediction Method for Lithium-Ion Battery Pack Considering SOC and Parameter Inconsistency. Energies 2019, 12, 987. https://doi.org/10.3390/en12060987
Fang Q, Wei X, Dai H. A Remaining Discharge Energy Prediction Method for Lithium-Ion Battery Pack Considering SOC and Parameter Inconsistency. Energies. 2019; 12(6):987. https://doi.org/10.3390/en12060987
Chicago/Turabian StyleFang, Qiaohua, Xuezhe Wei, and Haifeng Dai. 2019. "A Remaining Discharge Energy Prediction Method for Lithium-Ion Battery Pack Considering SOC and Parameter Inconsistency" Energies 12, no. 6: 987. https://doi.org/10.3390/en12060987
APA StyleFang, Q., Wei, X., & Dai, H. (2019). A Remaining Discharge Energy Prediction Method for Lithium-Ion Battery Pack Considering SOC and Parameter Inconsistency. Energies, 12(6), 987. https://doi.org/10.3390/en12060987
