Study on the Influence of Temperature, Moisture and Electric Field on the Electrical Conductivity of Oil-Impregnated Pressboard
Abstract
:1. Introduction
2. Experimental Descriptions
2.1. Sample Preparation
2.2. Experimental Setup
2.3. Experimental Methods
3. Experimental Results
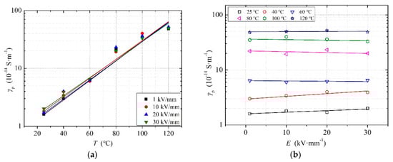
3.1. Temperature and Electric Field Dependency of the Conductivity
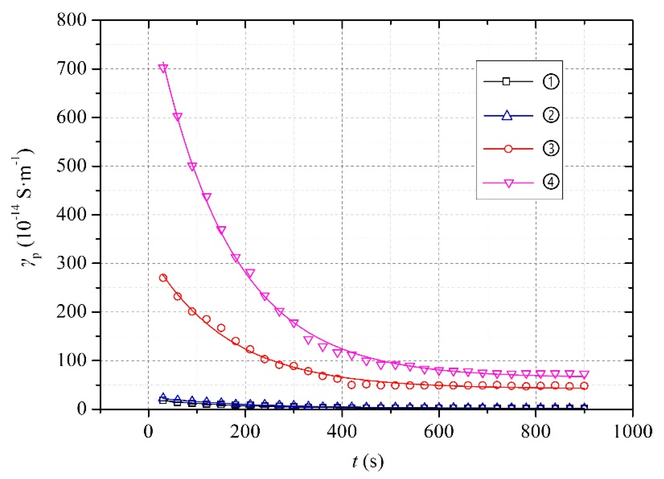
3.2. Moisture and Electric Field Dependency of Conductivity
4. Analysis and Discussion
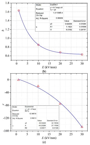
4.1. Analysis on the Temperature and Electric Field Dependency of Conductivity
4.2. Analysis of the Moisture and Electric Field Dependency of Conductivity
4.3. General Remarks
5. Conclusions
Author Contributions
Funding
Acknowledgments
Conflicts of Interest
References
- Bhuvaneswari, G.; Mahanta, B.C. Analysis of converter transformer failure in HVDC systems and possible solutions. IEEE Trans. Power Del. 2009, 24, 814–821. [Google Scholar] [CrossRef]
- Pu, Z.H.; Ruan, J.J.; Zhang, Y.D.; Du, Z.Y.; Xie, Q.J.; Wang, K. Wave process in scale-down model of UHVDC converter transformer under the lightning impulse voltage. IEEE Trans. Magn. 2015, 51, 1–4. [Google Scholar] [CrossRef]
- Takeda, H.; Ayakawa, H.; Tsumenage, M.; Sanpei, M. New protection method for HVDC lines including cables. IEEE Trans. Power Del. 1995, 10, 2035–2039. [Google Scholar] [CrossRef]
- Forrest, J.A.C.; Allard, B. Thermal problems caused by harmonic frequency leakage fluxes in three-phase, three-winding converter transformers. IEEE Trans. Power Del. 2004, 19, 208–213. [Google Scholar] [CrossRef]
- Li, Y.; Zhang, Q.G.; Wang, T.L.; Li, J.Z.; Guo, C.; Ni, H.L. Degradation characteristics of oil-impregnated pressboard samples induced by partial discharges under DC voltage. IEEE Trans. Dielectr. Electr. Insul. 2017, 24, 1110–1117. [Google Scholar] [CrossRef]
- Smajic, J.; Hughes, J.; Steinmetz, T.; Pusch, D.; Mönig, W.; Carlen, M. Numerical computation of ohmic and eddy-current winding losses of converter transformers including higher harmonics of load current. IEEE Trans. Magn. 2012, 48, 827–830. [Google Scholar] [CrossRef]
- Sha, Y.C.; Zhou, Y.X.; Li, J.Z.; Wang, J.Y. Partial discharge characteristics in oil-paper insulation under combined AC-DC voltage. IEEE Trans. Dielectr. Electr. Insul. 2014, 21, 1529–1539. [Google Scholar] [CrossRef]
- Bao, L.W.; Li, J.; Zhang, J.; Li, X.; Li, X.D. Influences of temperature on partial discharge behavior in oil-paper bounded gas cavity under pulsating DC voltage. IEEE Trans. Dielectr. Electr. Insul. 2016, 23, 1482–1490. [Google Scholar] [CrossRef]
- Vahidi, F.; Haegele, S.; Tenbohlen, S.; Rapp, K.; Sbravati, A. Study on moisture influence on electrical conductivity of natural ester fluid and mineral oil. In Proceedings of the 2017 IEEE Electrical Insulation Conference, Baltimore, MA, USA, 11–14 June 2017. [Google Scholar]
- Abedian, B.; Baker, K.N. Temperature effects on the electrical conductivity of dielectric liquids. IEEE Trans. Dielectr. Electr. Insul. 2008, 15, 888–892. [Google Scholar] [CrossRef]
- Zhou, Y.X.; Sha, Y.C.; Chen, W.J.; Lu, L.C.; Nie, D.X.; Wu, Z.R.; Deng, J.G. Conduction characteristics in transformer oil and electrical insulation paper. Power Sys. Tech. 2013, 37, 2527–2533. [Google Scholar]
- Żukowski, P.; Koltunowicz, T.N.; Kierczyński, K.; Subocz, J.; Szrot, M.; Gutten, M. Assessment of water content in an impregnated pressboard based on dc conductivity measurements-theoretical assumptions. IEEE Trans. Dielectr. Electr. Insul. 2014, 21, 1268–1275. [Google Scholar] [CrossRef]
- Żukowski, P.; Koltunowicz, T.N.; Kierczyński, K.; Subocz, J.; Szrot, M.; Gutten, M.; Sebok, M.; Jurcik, J. An analysis of AC conductivity in moist oil-impregnated insulation pressboard. IEEE Trans. Dielectr. Electr. Insul. 2015, 22, 2156–2164. [Google Scholar] [CrossRef]
- Li, H.Q.; Zhong, L.S.; Yu, Q.X.; Mori, S.; Yamada, S. The resistivity of oil and oil-impregnated pressboard varies with temperature and electric field strength. IEEE Trans. Dielectr. Electr. Insul. 2014, 21, 1851–1856. [Google Scholar] [CrossRef]
- Takahashi, E.; Shirasaka, Y.; Okuyama, K. Analysis of anisotropic nonlinear electric field with a discussion of dielectric tests for converter transformers and smoothing reactors. IEEE Trans. Power Del. 1994, 9, 1480–1486. [Google Scholar] [CrossRef]
- Nara, T.; Kato, K.; Endo, F.; Okubo, H. Study on dielectric breakdown at DC polarity reversal in oil/pressboard-composite insulation system. In Proceedings of the 2009 IEEE Conference on Electrical Insulation and Dielectric Phenomena, Virginia Beach, VA, USA, 18–21 October 2009. [Google Scholar]
- Zhong, L.S.; Li, S.T.; Xu, C.X.; Liu, F.Y. Physics of Engineering Dielectrics and Dielectric Phenomena, 1st ed.; Xi’an Jiaotong University Press: Xi’an, China, 2013; pp. 99–109. [Google Scholar]
- Martin, D.; Krause, O.; Saha, T. Measuring the pressboard water content of transformers using cellulose isotherms and the frequency components of water migration. IEEE Trans. Power Del. 2017, 32, 1314–1320. [Google Scholar] [CrossRef]
- Moser, H.P.; Dahinden, V. Transformer Board, 1st ed.; Shenyang Transformer Research Institute Press: Shenyang, China, 1988; pp. 20–22. [Google Scholar]
- Chi, M.H. Influence of Working Condition on Breakdown Characteristics of Oil-paper Insulation under Complex Electric Field. Ph.D. Thesis, Harbin University of Science and Technology, Harbin, China, 2015. [Google Scholar]










| Item | Kunlun KI25X |
|---|---|
| Relative permittivity | 2.3 |
| Breakdown voltage (kV, 2.5 mm) | 66 |
| Volume resistivity (Ω∙m) | ≈1012 |
| Moisture (mg/L, 20 °C) | 7.4 (after drying) |
| Particle numbers (≥5 μm/100 mL) | ≈500 |
| Item | Thickness × Diameter |
|---|---|
| High Voltage Electrode | 10 mm × 80 mm with a chamfer of 5 mm |
| Measuring Electrode | 10 mm × 30 mm without chamfer |
| Shielding Electrode | 10 mm × 60 mm (inner)/80 mm (outer) without chamfer |
| E (kV/mm) | a(E) | b(E) | c(E) |
|---|---|---|---|
| 1 | 0.81 | 1.63 | −0.56 |
| 10 | 19.99 | 0.85 | −19.62 |
| 20 | 75.58 | 0.68 | −75.01 |
| 30 | 148.32 | 0.63 | −147.62 |
© 2019 by the authors. Licensee MDPI, Basel, Switzerland. This article is an open access article distributed under the terms and conditions of the Creative Commons Attribution (CC BY) license (http://creativecommons.org/licenses/by/4.0/).
Share and Cite
Li, Y.; Zhou, K.; Zhu, G.; Li, M.; Li, S.; Zhang, J. Study on the Influence of Temperature, Moisture and Electric Field on the Electrical Conductivity of Oil-Impregnated Pressboard. Energies 2019, 12, 3136. https://doi.org/10.3390/en12163136
Li Y, Zhou K, Zhu G, Li M, Li S, Zhang J. Study on the Influence of Temperature, Moisture and Electric Field on the Electrical Conductivity of Oil-Impregnated Pressboard. Energies. 2019; 12(16):3136. https://doi.org/10.3390/en12163136
Chicago/Turabian StyleLi, Yuan, Kai Zhou, Guangya Zhu, Mingzhi Li, Shiyu Li, and Jiangong Zhang. 2019. "Study on the Influence of Temperature, Moisture and Electric Field on the Electrical Conductivity of Oil-Impregnated Pressboard" Energies 12, no. 16: 3136. https://doi.org/10.3390/en12163136
APA StyleLi, Y., Zhou, K., Zhu, G., Li, M., Li, S., & Zhang, J. (2019). Study on the Influence of Temperature, Moisture and Electric Field on the Electrical Conductivity of Oil-Impregnated Pressboard. Energies, 12(16), 3136. https://doi.org/10.3390/en12163136
