Numerical Simulation Study on Seepage Theory of a Multi-Section Fractured Horizontal Well in Shale Gas Reservoirs Based on Multi-Scale Flow Mechanisms
Abstract
1. Introduction
2. Mathematical Model
2.1. Assumptions
- The gas reservoirs are rectangular, and the flow is an isothermal flow. The gas reservoirs are divided into artificial fractures, natural micro-fractures, and matrix;
- Flows in artificial fractures and natural micro-fractures are described by Darcy’s law. The gas desorption in a matrix pore is described by the Langmuir isotherm equation;
- Horizontal wells produce at constant pressure. There is only a single-phase gas in gas reservoirs;
- The fractures are perpendicular to the horizontal wellbore and symmetrical about the wellbore;
- Permeability anisotropy and gravity effects are ignored, and natural gas can only flow into the horizontal wellbore through artificial fractures;
- Shale gas consists of methane, and does not consider the effect of competitive adsorption on the adsorption-desorption process;
- Gas diffusion process in shale gas matrix is a non-equilibrium, quasi-steady-state process, which obeys Fick’s first law.
2.2. Governing Equation
2.2.1. Flow Equation
2.2.2. Initial Conditions
2.2.3. Boundary Conditions
3. Discretization and Numerical Solution
3.1. Domain Discretization
3.2. Equation Discretization
3.3. Sequential Solution
3.4. Gradient Computation
3.5. Non-Orthogonality
3.6. Model Verification
4. Example Simulation
4.1. Model Parameters
4.2. Results Analysis
4.2.1. Pressure Distribution in Artificial Fractures
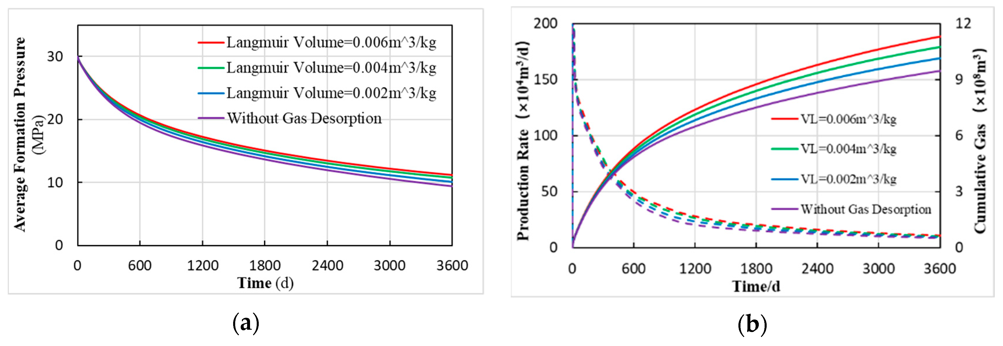
4.2.2. Gas Desorption Process
4.2.3. The Klinkenberg effect and Diffusive Gas Transport
4.2.4. Artificial Fracture Morphology
5. Conclusions
Author Contributions
Funding
Conflicts of Interest
Nomenclature
| MPa | flowing bottom hole pressure | |
| MPa | original reservoir pressure | |
| kg/m3 | gas density | |
| kg/m3 | gas density in the matrix | |
| kg/m3 | gas density in the fracture | |
| - | gas deviation factor | |
| J/(mol·K) | universal gas constant | |
| K | reservoir temperature | |
| m/s | apparent gas velocity | |
| m/s | corrected gas velocity considering the Klinkenberg effect | |
| m/s | corrected gas velocity considering the diffusive transport | |
| - | porosity of matrix | |
| - | porosity of micro-fracture | |
| - | porosity of artificial fracture | |
| mD | permeability of matrix | |
| mD | permeability of micro-fracture | |
| mD | permeability of artificial fracture | |
| m3/kg | Langmuir volume | |
| MPa | Langmuir pressure | |
| kg/m3 | density of shale | |
| g/mol | molecular mass | |
| m3/mol | standard molar volume | |
| mPa·s | gas viscosity | |
| mPa·s | gas effective viscosity | |
| - | rarefaction coefficient | |
| - | Knudsen number | |
| - | constrictivity of the shale matrix | |
| - | tortuosity of the shale matrix | |
| 1/Pa | gas compression factor | |
| m2/s | Knudsen molecule diffusivity | |
| m3/s | desorption gas flow | |
| m3/s | cross-flow rate | |
| m3 | adsorption capacity of per unit volume matrix | |
| MPa | pressure of matrix | |
| MPa | pressure of micro-fracture | |
| MPa | pressure of artificial fracture | |
| - | dimensionless fracture aperture | |
| m3/s | well production | |
| - | faces of control element | |
| - | bounds of face | |
| - | surface vector of faces | |
| - | surface vector of bounds | |
| - | unit normal vector |
References
- Kucuk, F.; Sawyer, W.K. Transient Flow in Naturally Fractured Reservoirs and Its Application to Devonian Gas Shales. In Proceedings of the SPE Annual Technical Conference and Exhibition, Dallas, TX, USA, 21–24 September 1980. [Google Scholar]
- Bumb, A.C.; McKee, C.R. Gas-well testing in the presence of desorption for coalbed methane and devonian shale. SPE Form. Eval. 1988, 3, 179–185. [Google Scholar] [CrossRef]
- Carlson, E.S.; Mercer, J.C. Devonian Shale Gas Production: Mechanisms and Simple Models. J. Pet. Technol. 1991, 43, 476–482. [Google Scholar] [CrossRef]
- Swami, V. Shale Gas Reservoir Modeling: From Nanopores to Laboratory. In Proceedings of the SPE Annual Technical Conference and Exhibition, San Antonio, TX, USA, 8–10 October 2012. [Google Scholar]
- Saputelli, L.; Lopez, C.; Chacon, A.; Soliman, M. Design Optimization of Horizontal Wells with Multiple Hydraulic Fractures in the Bakken Shale. In Proceedings of the SPE/EAGE European Unconventional Resources Conference and Exhibition, Vienna, Austria, 25–27 February 2014. [Google Scholar]
- Rubin, B. Accurate Simulation of Non Darcy Flow in Stimulated Fractured Shale Reservoirs. In Proceedings of the SPE Western regional meeting, Anaheim, CA, USA, 27–29 May 2010. [Google Scholar]
- Klimkowski, Ł.; Nagy, S. Key factors in shale gas modeling and simulation. Arch. Min. Sci. 2014, 59. [Google Scholar] [CrossRef]
- Mirzaei, M.; Cipolla, C.L. A Workflow for Modeling and Simulation of Hydraulic Fractures in Unconventional Gas Reservoirs. Geol. Acta 2012, 10, 283–294. [Google Scholar]
- Yao, J.; Wang, Z.; Zhang, Y.; Huang, Z.Q. Numerical simulation method of discrete fracture network for naturally fractured reservoirs. Acta Pet. Sin. 2010, 31, 284–288. [Google Scholar]
- Hoteit, H.; Firoozabadi, A. Compositional Modeling of Fractured Reservoirs without Transfer Functions by the Discontinuous Galerkin and Mixed Methods. SPE J. 2004, 11, 341–352. [Google Scholar] [CrossRef]
- Moinfar, A.; Narr, W.; Hui, M.H.; Mallison, B.T.; Lee, S.H. Comparison of Discrete-Fracture and Dual-Permeability Models for Multiphase Flow in Naturally Fractured Reservoirs. In Proceedings of the SPE Reservoir Simulation Symposium, The Woodlands, TX, USA, 21–23 February 2011. [Google Scholar]
- Kuuskraa, V.A.; Wicks, D.E.; Thurber, J.L. Geologic and Reservoir Mechanisms Controlling Gas Recovery from the Antrim Shale. In Proceedings of the SPE Annual Technical Conference and Exhibition, Washington, DC, USA, 4–7 October 1992. [Google Scholar]
- Schepers, K.C.; Gonzalez, R.J.; Koperna, G.J.; Oudinot, A.Y. Reservoir Modeling in Support of Shale Gas Exploration. In Proceedings of the Latin American and Caribbean Petroleum Engineering Conference, Cartagena de Indias, Colombia, 31 May–3 June 2009. [Google Scholar]
- Dehghanpour, H.; Shirdel, M. A Triple Porosity Model for Shale Gas Reservoirs. In Proceedings of the Canadian Unconventional Resources Conference, Calgary, AB, Canada, 15–17 November 2011. [Google Scholar]
- Wu, Y.S.; Moridis, G.; Bai, B.; Zhang, K. A Multi-Continuum Model for Gas Production in Tight Fractured Reservoirs. In Proceedings of the SPE Hydraulic Fracturing Technology Conference, The Woodlands, TX, USA, 19–21 January 2009. [Google Scholar]
- Aboaba, A.L.; Cheng, Y. Estimation of Fracture Properties for a Horizontal Well With Multiple Hydraulic Fractures in Gas Shale. In Proceedings of the SPE Eastern Regional Meeting, Morgantown, WV, USA, 13–15 October 2010. [Google Scholar]
- Wang, H.T. Performance of multiple fractured horizontal wells in shale gas reservoirs with consideration of multiple mechanisms. J. Hydrol. 2014, 510, 299–312. [Google Scholar] [CrossRef]
- Fang, W.; Jiang, H.; Li, J.; Wang, Q.; Killough, J.; Li, L.; Peng, Y.; Yang, H. A numerical simulation model for multi-scale flow in tight oil reservoirs. Pet. Explor. Dev. 2017, 44, 415–422. [Google Scholar] [CrossRef]
- Javadpour, F. Nanopores and Apparent Permeability of Gas Flow in Mudrocks (Shales and Siltstone). J. Can. Pet. Technol. 2009, 48, 16–21. [Google Scholar] [CrossRef]
- Ferziger, J.H.; Perić, M. Computational Methods for Fluid Dynamics. Phys. Today 1997, 50, 80–84. [Google Scholar] [CrossRef]
- Caumon, G.; Collon-Drouaillet, P.L.C.D.; De Veslud, C.L.C.; Viseur, S.; Sausse, J. Surface-Based 3D Modeling of Geological Structures. Math. Geosci. 2009, 41, 927–945. [Google Scholar] [CrossRef]
- Juanes, R.; Samper, J.; Molinero, J. A general and efficient formulation of fractures and boundary conditions in the finite element method. Int. J. Numer. Methods Eng. 2002, 54, 1751–1774. [Google Scholar] [CrossRef]
- Çengel, Y.A.Y. Cengel, Heat and Mass Transfer: A Practical Approach, 3rd ed.; McGraw-Hill: Singapore, 2006. [Google Scholar]
- Incropera, F.P. Fundamentals of Heat and Mass Transfer; John Wiley & Sons: Jefferson City, MO, USA, 2007. [Google Scholar]
- Patankar, S.V. Numerical Heat Transfer and Fluid Flow; CRC Press: New York, NY, USA, 1980. [Google Scholar]
- Darwish, M.; Moukalled, F. A new approach for building bounded skew-upwind schemes. Comput. Methods Appl. Mech. Eng. 1996, 129, 221–233. [Google Scholar] [CrossRef]
- Spekreijse, S. Multigrid solution of monotone second-order discretizations of hyperbolic conservation laws. Math. Comput. 1987, 49, 135–155. [Google Scholar] [CrossRef]
- Fan, D.; Yao, J.; Sun, H.; Zeng, H. Numerical simulation of multi-fractured horizontal well in shale gas reservoir considering multiple gas transport mechanisms. Chin. J. Theor. Appl. Mech. 2015, 47, 906–915. [Google Scholar]













| Option | Diagram | ||
|---|---|---|---|
| Minimum Correction Approach | ![]() | Ef = (e·Sf)e = (Sfcosθ)e | Tf = (n − cosθe)Sf |
| Orthogonal Correction Approach | ![]() | Ef = Sfe | Tf = (n − e)Sf |
| Over-Relaxed Approach | ![]() |
| Parameter | Unit | Value |
|---|---|---|
| Reservoir length | m | 2000 |
| Reservoir width | m | 2000 |
| Reservoir height | m | 50 |
| Horizontal well length | m | 800 |
| Artificial fracture height | m | 40 |
| Wellbore radius, | m | 0.1 |
| Matrix permeability, | mD | 0.5 |
| Matrix porosity, | - | 0.05 |
| Artificial fracture number | - | 15 |
| Artificial fracture length, | m | 200 |
| Artificial fracture spacing | m | 50 |
| Artificial fracture permeability | mD | 100 |
| Reservoir Length | m | 1200 |
| Reservoir width | m | 800 |
| Reservoir height | m | 100 |
| Horizontal well length | m | 800 |
| Artificial fracture height | m | 100 |
| Bottom hole pressure, | MPa | 5 |
| Original formation pressure, | MPa | 30 |
| Gas deviation factor, | - | 0.93 |
| Universal gas constant, | J/(mol·K) | 8.314 |
| Formation temperature, | K | 343.15 |
| Porosity of the matrix, | - | 0.05 |
| Porosity of the microfracture, | - | 0.005 |
| Porosity of the artificial fracture, | - | 0.1 |
| Permeability of the matrix, | mD | 0.01 |
| Permeability of the microfracture, | mD | 0.1 |
| Permeability of the artificial fracture, | mD | 150 |
| Langmuir volume, | m3/kg | 0.004 |
| Langmuir pressure, | MPa | 5 |
| Shale density, | kg/m3 | 2600 |
| Gas molar mass, | g/mol | 16 |
| Standard gas molar volume, | m3/mol | 0.0024 |
| Gas viscosity, | mPa·s | 0.185 |
| Constrictivity and of the shale matrix, | - | 1.2 |
| Tortuosity of the shale matrix, | - | 1.5 |
| Gas compression factor, | 1/Pa | 4.39 × 10−8 |
© 2018 by the authors. Licensee MDPI, Basel, Switzerland. This article is an open access article distributed under the terms and conditions of the Creative Commons Attribution (CC BY) license (http://creativecommons.org/licenses/by/4.0/).
Share and Cite
Tang, C.; Chen, X.; Du, Z.; Yue, P.; Wei, J. Numerical Simulation Study on Seepage Theory of a Multi-Section Fractured Horizontal Well in Shale Gas Reservoirs Based on Multi-Scale Flow Mechanisms. Energies 2018, 11, 2329. https://doi.org/10.3390/en11092329
Tang C, Chen X, Du Z, Yue P, Wei J. Numerical Simulation Study on Seepage Theory of a Multi-Section Fractured Horizontal Well in Shale Gas Reservoirs Based on Multi-Scale Flow Mechanisms. Energies. 2018; 11(9):2329. https://doi.org/10.3390/en11092329
Chicago/Turabian StyleTang, Chao, Xiaofan Chen, Zhimin Du, Ping Yue, and Jiabao Wei. 2018. "Numerical Simulation Study on Seepage Theory of a Multi-Section Fractured Horizontal Well in Shale Gas Reservoirs Based on Multi-Scale Flow Mechanisms" Energies 11, no. 9: 2329. https://doi.org/10.3390/en11092329
APA StyleTang, C., Chen, X., Du, Z., Yue, P., & Wei, J. (2018). Numerical Simulation Study on Seepage Theory of a Multi-Section Fractured Horizontal Well in Shale Gas Reservoirs Based on Multi-Scale Flow Mechanisms. Energies, 11(9), 2329. https://doi.org/10.3390/en11092329




