Abstract
Particulate Matter (PM) emissions from gasoline direct injection (GDI) engines, particularly Particle Number (PN) emissions, have been studied intensively in both academia and industry because of the adverse effects of ultrafine PM emissions on human health and other environmental concerns. GDI engines are known to emit a higher number of PN emissions (on an engine-out basis) than Port Fuel Injection (PFI) engines, due to the reduced mixture homogeneity in GDI engines. Euro 6 emission standards have been introduced in Europe (and similarly in China) to limit PN emissions from GDI engines. This article summarises the current state of research in GDI PN emissions (engine-out) including a discussion of PN formation, and the characteristics of PN emissions from GDI engines. The effect of key GDI engine operating parameters is analysed, including air-fuel ratio, ignition and injection timing, injection pressure, and EGR; in addition the effect of fuel composition on particulate emissions is explored, including the effect of oxygenate components such as ethanol.
Keywords:
PM emissions; GDI engines; particulate; particle number; fuel effects; biofuels; oxygenates 1. Introduction
Gasoline Direct Injection (GDI) engines are a key enabler for reducing CO2 emissions from gasoline-powered vehicles. In contrast to Port Fuel Injection (PFI) engines, GDI engines have higher compression ratios and lower charge temperatures which deliver higher volumetric efficiencies with lower fuel consumption. However, because of the reduced time for fuel atomisation and the associated fuel impingement, most GDI engines generate one or two times more Particulate Matter (PM) emissions than conventional PFI engines [1,2,3,4]. Furthermore, in comparison with diesel engines fitted with diesel particle filter (DPF), GDI vehicles produce more ultrafine particles [2,5]. These ultrafine particles, below the size of 100 nm, have been associated with adverse impacts on human health and environment [3,6,7,8,9,10,11,12]. This review will focus on Particle Number (PN) emissions, rather than the historically measured quantity of particle mass, in spite of the fact that number, unlike mass, is not a conserved quantity. However, the health impact of PM emissions is thought to be strongly correlated to the number of particles emitted, rather than the mass emitted [13]. Ultrafine particles, which effectively make no contribution to the mass emission, penetrate further into the lungs before deposition and are much more likely to pass into the bloodstream [13].
Although ultrafine PM may contribute little to the total particle mass, they occupy a significant proportion of the total particle number. This has led to the introduction of the Euro 6 regulations where PN emissions are now regulated from GDI powered vehicles. The first phase of the Euro 6 standard was implemented in September 2014 with a limit of 6.0 × 1012 particles/km for all new types/models. The second phase will be effective from September 2017 with a limit of 6.0 × 1011 particles/km [2]. Table 1 shows the EU emission standards for particulate emissions from GDI-powered vehicles since they were first regulated in 2009. Although the California Air Resources Board (CARB) considered PN limits in 2010 [14], no such limits have yet become part of the standard. China has adopted the China 6 standards, incorporating the same limits as in Europe—6.0 × 1011 particles/km—this limit has been in force (depending on the region of China) since 2015.
Table 1.
EU emissions standards for particulate emissions from GDI-powered vehicles.
This review article describes the characteristics of PM number emitted from GDI engines including chemical composition, size distributions, and PM formation. The effect of combustion parameters influencing PM number emissions such as injection timing, ignition timing, air-fuel ratio, and injection pressure are discussed. The impact of fuel composition, including the effect of certain common oxygenate components (ethanol, methanol, and isobutanol), on PM emissions and PM reduction technologies for GDI engines are also reviewed. Limited review work on GDI PM emissions has been conducted previously other than a review by Überall et al. [15] and one by Myung and Park, [16] which cover a wide range of topics, including the effect of particulate emissions on health, PM measurement techniques, PM chemical analysis and fuel influences. This review paper provides a comprehensive report on recent progress in GDI PM number emissions research and PM number reduction techniques.
2. Particle Formation
2.1. Formation Mechanisms
Particles can be emitted directly from an engine or subsequently formed in the atmosphere. Primary particles are directly emitted into atmosphere from their sources whereas secondary particles are formed in the air due to chemical reactions. These chemical reactions produce low volatility compounds and these condense into a solid or liquid phase, and hence become PM [17,18]. Volatile particles including sulphates, nitrates and organic carbon (OC) may be present in the form of vapour or liquid phase particles in GDI engine exhaust. These volatile species are predominantly generated by partial combustion of the fuel and lubricants. Lube oil (also known as engine oil, motor oil, and engine lubricant) coats the piston and cylinder walls, from which semivolatile organic compounds (SVOC) desorb during the exhaust stroke, providing a major pathway for oil consumption and PM emissions [19].
It is well-known that lube oil is continually consumed in the combustion chamber. Although its consumption is around 0.2% [20] or as low as 0.1% in modern engines [21] but, in some cases, it may significantly contribute in particulate matter formation [13,22]. Sonntag et al. [19] estimated that the lube oil contributes around 25% to PM emissions from gasoline powered vehicles. Pirjola et al. [22] studied the influence of five different lube oils on particulate matter (PM) emissions from a modern turbocharged gasoline direct injection engine passenger car. The results indicated that the particle emissions during transient operation strongly depend on the lube oil, and a 78% reduction in PN emissions was observed solely by changing its properties. It was also noticed that the concentration of additives (Zn, Mg, P and S) in lube oil positively correlate with PN emission and the lube oils containing high metal (Zn, Ca, Mg) and S content contributed in higher PM emissions.
Volatile species such as sulphates and nitrates are formed from the oxidation of sulphur dioxide (SO2) and nitrogen dioxide (NO2). Organic carbon (OC) particles (often volatile) are formed by some of the following mechanisms; (a) Flame quenching at the combustion chamber walls, (b) Filling of crevice volumes with unburnt mixture, (c) Absorption of fuel vapour into oil layers on the cylinder wall during intake and compression strokes followed by desorption of fuel vapour during expansion and exhaust strokes, (d) Flame extinction—i.e., bulk quenching due to misfires, partial burns, transient behaviour of air-fuel ratio and EGR [23]. Fuel films on the combustion chamber wall contribute significantly to particulate matter formation in GDI engines [24,25]. The fuel deposited on the wall cannot be well mixed with air until ignition starts. These locally fuel-rich zones lead to higher levels of particle formation [26]. Crevices prevent the flame from entering because of significant heat transfer to the walls. The unburnt fuel-air mixture present in these crevices escapes from crevice during the exhaust stroke leading to increased engine-out emissions.
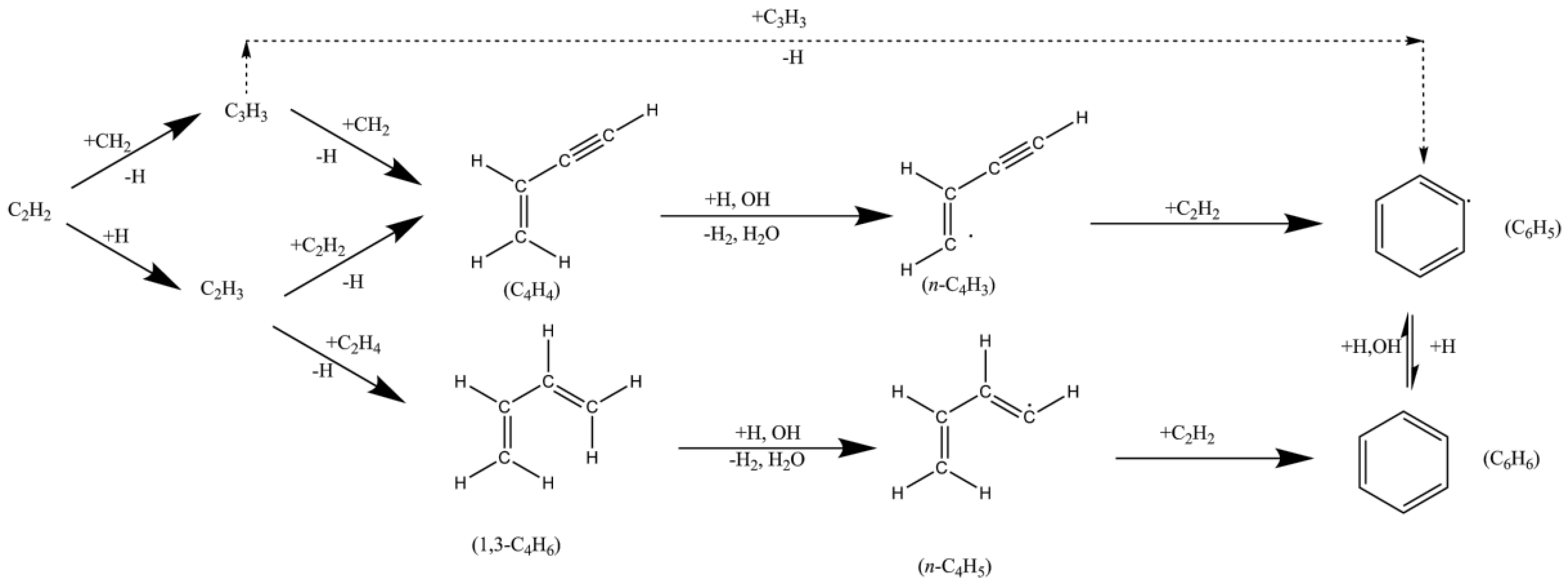
Particulate formation in the combustion chamber is a complex mix of chemical and physical processes (pyrolysis, nucleation, oxidation, piston wetting, carbonisation, particle coagulation and agglomeration) [15,27,28,29]. Pyrolysis is the primary contributor of particle formation in the combustion chamber. In thermal pyrolysis (without oxygen at a temperature of more than 400 °C) fuel molecules break up into hydrogen (H), hydroxide (OH) and methyl (CH3) radical molecules and organic compounds e.g., ethylene (C2H4) and acetylene (C2H2). This reaction is dehydration with high activation energy. These radicals and organic compounds begin to create polycyclic aromatic hydrocarbons (PAHs), which originates soot particles known as soot precursors. After passing through an inception process, these soot precursors become primary soot particles. Primary particles grow into larger particles because of surface growth reaction of Acetylene (C2H2), organic compound addition, hydrogen atom transfer (HAT), and hydrogen abstraction acetylene addition (HACA) mechanisms with ‘growth species’ such as PAHs and C2H2. Growth of the larger particles occurs as a result of the collision between smaller particles forming non-spherical shape agglomerates [15,30]. A proposed chemical mechanism for the initial formation of aromatic species during combustion is shown in Scheme 1.
Scheme 1.
Suggested pathways for initial aromatic formation during combustion (adapted from ref. [31]).
Once these initial aromatics have been formed (either due to the process described above or due to their presence in the combustion fuel) there are a number of pathways hypothesised for their subsequent development into soot particles. An example of one of these pathways is shown in Scheme 2.
Scheme 2.
Example reaction pathway for PAH growth mechanism (adapted from ref. [31]).
The reaction pathways described here are fully reversible, generally at temperatures greater than 1800 K, so at these higher temperatures, these same processes can also lead to the decomposition of PAHs. Once PAHs have become four-ringed or larger, they collide and form clusters, whereby these clusters continue to react with acetylene to eventually form soot particles.
Atomisation of fuel, temperature, local equivalence ratio, and residence time are the parameters which influence soot formation during the pyrolysis process [32]. Figure 1 shows a schematic of the soot formation process. The sequential nature of this process may distinctly be observed in a laminar diffusion flame, however in pre-mixed combustion, these processes mostly occur simultaneously [33].
Figure 1.
Steps involved in soot formation process.
Having created new particles by pyrolysis, the primary particles (5–30 nm) grow into spheres by polymerisation. After temperatures have fallen, the nucleation particles coagulate into groups of particles (typically 70–100 nm). This phase of the nucleation can be heterogeneous or homogeneous [15]. The process of coagulation via reactive particle-particle collision considerably increases particle size and reduces particle number without varying particle total mass.
In the coagulation process, coalescence occurs as a result of two particles colliding in a reactive manner and forming a new, broadly spherical particle. In the agglomeration process, the existing two particles combine into a single particle (or aggregate) without significantly changing the total surface area [34].
Primary particle size and formation of agglomerates is associated with processes such as coagulation, sintering and surface growth. In addition oxidation, carbonisation and nucleation processes also perform a significant role in particle formation [28,35,36,37]. Oxidation reduces the mass of polycyclic aromatic hydrocarbons (PAHs) and soot particles because of the formation of carbon monoxide (CO) and carbon dioxide (CO2).
Surface growth and oxidation are the most significant processes that affect particle shape and surface structure. During the surface growth process, gas-phase precursors directly accumulate onto the surface of the fine particles through chemical bonding or physical adhesion and change surface reactivity [38]. Moreover, direct condensation of PAH molecules can lead to additional mass and surface growth [39].
2.2. Non-Carbonaceous Particles
Metallic particles including iron, copper, nickel or other metallic compounds as well as metallic oxides, are found in engine exhaust which originate from lube oil, mechanical wear-and-tear of engine parts (such as piston rings, cylinders, valves), and lube oil additives containing metal organic elements. Lube oil transfers these particles into combustion chamber where they partially vaporize and form extremely fine particles (less than 50 nm) [40].
3. Gasoline Direct Injection (GDI) Engine PM Characteristics
3.1. Particle Composition
Particulate matter (PM) emitted from GDI-powered vehicles are known to be a complex combination of volatile and non-volatile species. Typically, volatile species contain sulphates, nitrates, and organic elements and non-volatile species contain a carbonaceous fraction and ash. The organic fraction contains thousands of compounds including esters, alkenes, ketones, aromatics, and alcohols [41]. The sulphate fraction includes sulphate ions (SO42−), sulphuric acid (H2SO4), and water-soluble sulphates; however, H2SO4 covers the major proportion of this fraction. The carbonaceous fraction is generated within the engine and its formation is complete by the time the exhaust valve opens (although this fraction can subsequently oxidise in the exhaust at high enough temperatures) while volatile species tend to form later in the exhaust system, or when the exhaust plume enters the surrounding air. The ash fraction consists of metals and also a few non-metals, which are incombustible. A detailed breakdown of PM is depicted in Figure 2.
Figure 2.
Conceptual model of typical PM composition.
The composition of PM emissions is determined by fuel properties, lubricants, exhaust after-treatment technologies and engine operating conditions such as coolant temperature, engine load, and engine speed [42]. The carbon composition of PM is broken down into elemental carbon (EC) and organic carbon (OC); studies have shown that EC accounts for around 90% of PM mass emitted from GDI engines [43]. EC (also labelled black carbon or soot) is normally considered to be the product of incomplete combustion of carbon based fuels whereas OC is either directly emitted to the atmosphere or formed by the condensation of compounds produced by the atmospheric photo-oxidation and polymerisation of organic species [44,45]. OC is considered more toxic than EC because it contains polycyclic aromatic hydrocarbons (PAH), a group well-known for their carcinogenicity [46,47,48,49,50].
3.2. Particle Size Distribution
Typical particles from GDI engines can be sorted into two distinct types based on their size, and these are labelled as nucleation mode (less than 50 nm), and accumulation mode (50–200 nm), as shown in Figure 3 [51].
Figure 3.
Typical engine exhaust particle size distributions [51].
Many studies have concluded that nucleation mode particles are volatile organic carbons (VOCs) which originate from fuel and lube oil whilst accumulation mode particles consisted of soot particles containing a crystalline form of carbon with a carbon elemental structure [43]. However, some recent studies [52,53,54,55,56] have reported the presence of ‘solid core’ particles in nucleation mode, with a size of several nanometers that do not evaporate at high dilution or in a heated tube thermal denuder. Nucleation mode particles and VOCs are undesirable emissions since these species may adsorb onto to larger particles, increasing the toxicity of emissions, and contributing to photochemical smog and secondary atmospheric particle formation [57]. Indeed these smallest particles have also been shown to penetrate further into the lungs before deposition, and are much more likely to pass into the bloodstream [13].
Accumulation mode particles generally lie in the size range 40–200 nm. Their formation is thought to occur when fuel molecules undergo pyrolysis at high temperatures, using the processes described in Section 2.1 to form carbon spherules, which are found to be approximately 15–40 nm in diameter [58]. Two processes can then cause these particles to grow; firstly gaseous phase species in the exhaust condense and adsorb onto these spherules, causing them to grow—the composition of some of these condensed species leads to some of the concerns around the health effects of particulates. The larger the surface area of these spherules gives a greater area to adsorb onto. The second process is that these spherules can agglomerate by colliding and sticking together using a sintering process, [59] which produces particles with a fractal like shape (technically, accumulation mode particles are aggregates rather than agglomerates, as the forces that hold them together are chemical or sinter-like forces, whereas an agglomerate is held together by physical forces (e.g., Van der Waal’s) and the primary particles retain their original shape—clearly not the case here. Accepted terminology however, seems to be to refer to them as agglomerates.) [60]. This can clearly be seen in Figure 4, a microscope image of an accumulation mode particle, showing a large fractal like shaped accumulation mode particle [51].
Figure 4.
Microscope image of an accumulation mode particle [61].
It should be noted that some exhaust aerosols contain a third mode—the coarse mode—generally of a diameter higher than 1 µm. These particles are thought to be from re-entrained deposits on the combustion chamber and exhaust system [62] and other deposits (e.g. rust) [13]. This mode has not been further considered in this review.
Figure 5 provides a general view of the size of these three modes. Generally, the nucleation mode particle emissions depend on the dilution process, that is, the manner in which the exhaust gas is handled. In this sense, the accumulation mode is a more repeatable measure of PM emissions from an engine, [8,57,63,64] and the mode that is typically considered in legislation. However, given the concerns over the health effects of the smallest particles, recent work [65] has looked extending the current 23nm limit in the legislation to smaller particles, such as has been done in the aviation industry where particles as small as 10nm are considered [66].
Figure 5.
Typical particles depicted schematically: coarse mode, nucleation mode, and accumulation mode (adapted from ref. [13]).
4. Effect of Engine Combustion Parameters on GDI PM Emissions
A wide variety of combustion parameters, are important in determining the characteristics of PM emissions [2,67,68,69,70,71,72,73,74,75].
4.1. Pool Fires
Combustion of liquid fuel, commonly referred to as pool fires, is a dominant feature of particulate emissions from GDI engines, [3,76] and PM emissions are significantly reduced in their absence [77]. Fuel spray impingement on the piston and combustion chamber walls leads to the formation of liquid fuel films. Fuel films that exist during combustion of a premixed charge ignite as diffusion flames, which are easily recognized by their bright yellow flames, [78] and are usually located on the piston surface and remain so as the piston moves. These pool fires initiate in the power stroke, [79] and can survive into the exhaust stroke [77]. Pool fires leave behind carbon deposits on the surfaces on which they have been burning. Engine geometry, piston temperature, and fuel injector design, as well as fuel injection pressure and timing, have significant effects on fuel film formation. Given the importance of combustion surface wetting, combustion chamber design is critical in determining the PM emissions. Two types of GDI engines exist, wall guided direct injection (WGDI) and spray guided direction injection (SGDI). A WGDI engine injects the fuel towards a bowl in the piston, which is deflected and mixed in-cylinder designed to achieve a stratified mixture around the spark plug. With this type of engine design fuel films commonly form on the piston crown and cylinder walls, causing large quantities of unburned hydrocarbons (UHCs) and particulates to be emitted. SGDI uses the characteristics of the injector and in-cylinder air motion to guide the fuel spray and allows fuel to be injected towards the spark plug. This has the potential to avoid surface wetting and hence such engines in general give lower PN emissions compared to WGDI engines [80].
4.2. Air-Fuel Ratio
Generally the combustion parameter with the greatest effect on PM emissions is the air fuel ratio (AFR), where a rich mixture is often observed to give approximately an order of magnitude larger number of particles, compared to the stoichiometric case [2,69,70,81]. This is what would be expected given the reduction in soot oxidation that is possible with less air present than would be sufficient to burn all of the fuel. However, too lean mixture can deteriorate combustion quality and lead to incomplete combustion, which may lead to an increase in PM emissions, particularly the volatile organic fraction. Price et al. [70] examined the impact of air-fuel ratio (0.8 < λ < 1.2) on particulate matter emissions from single cylinder spray-guided direct injection engine fuelled with ULG, at 1500 rpm. They found an increase of PN concentration with decreasing air-fuel ratio—compared to a λ of 1.2, the PN concentration in accumulation mode was reported as having a two-fold increase in magnitude at a λ of 0.8. He et al. [2] found higher PN emissions from GDI engine with rich mixtures without a catalyst. They found that at 1000 rpm—3 bar BMEP—with a cold engine, the particle number emissions increased by a factor of two once the AFR reduced from 14.6 (stoichiometric in their case) to 13.1. However, only a 20% increase in particle number emissions were measured reducing the AFR from 14.6 to 13.4 at 1500 rpm—13 bar BMEP—with a hot engine.
4.3. Ignition Timing
The effect of ignition timing on PN emissions will depend on where the initial ignition timing was. Assuming that the timing is such that the engine is at maximum brake torque (MBT) (the maximum load for a given condition), then deviations from either side of MBT will result in a decrease in particulate emissions. Early ignition (in advance of MBT) will lead to there being a longer time for combustion, leading to a decrease in PM emissions due to more time available for particulate oxidation. Retarding the ignition from MBT increases the exhaust temperature, leading to more post-flame oxidation of particulates, hence a decrease in PM emissions. In practical applications (where engines are knock limited—i.e., always operating retarded from MBT) GDI engines show a clear trend of increasing PM number emissions as ignition timing advances [67,69,70].
The studies focusing solely on the effect of ignition timing on GDI PM emissions are rarely found in the open literature. Qin et al. [69] experimentally investigated the effect of ignition timing on particulate matter emissions from a 4-cylinder T-GDI engine without a catalyst. They found that as the ignition timing was advanced the PN emissions increased. They also found that PN concentration primarily concentrated in the nucleation mode. Premature combustion of the air-fuel mixture increased the cylinder temperature which could also promote the creation of nucleation mode particles. Price et al. [70] tested the effect of ignition timing on particulate matter emissions from a GDI engine. They found that the particle number generally increased with ignition advance. Rodriguez et al. [82] found that retardation of ignition timing from −45° aTDC to 20° aTDC at early injection timing (SOI = 90° aTDC), resulted in a PM reduction by an order of magnitude.
4.4. Fuel Injection Timing and Injection Strategies
Fuel Injection timing is a key calibration parameter. Early injection is desirable to get the full benefit of GDI—charge cooling, with its associated fuel consumption and CO2 emissions benefits. On the other hand very late injection can be used for stratified engine operation, increasing efficiency. Fuel injection timing has a significant impact on the PM emissions from GDI engines because it influences the air-fuel mixture preparation. Injecting fuel too early could lead to fuel impingement on combustion chamber surfaces and hence pool fires—a source of high levels of PM emissions [2,72]. On the other hand, retarding the fuel injection timings can lead to insufficient time for air-fuel mixing which may produce higher particle number emissions as well [3,12,68,69,70,71,72,83,84,85]. Therefore, for any given combustion system, there exists an optimal injection timing (neither too early nor too late), which produces the minimal amount of PM emissions. Fuel-air mixing time and piston-wall wetting are the two key factors which significantly affect PM emission from GDI engines and the previous research studies reported that decreasing the air-fuel mixing time resulted in higher PM emissions [70].
Szybist et al. [68] reported that, in their work, fuel injection timing had the greatest impact on PM emissions from GDI engines: too advanced an injection timing led to fuel spray impingement on the piston which resulted in higher particulate matter emissions, however, a retarded injection timing led to insufficient time for air-fuel mixing. He et al. [2] reported the impact of fuel injection timings on PN emissions from GDI engine without using catalyst, they found that PN emissions were dominated by the accumulation of particulate matter and could be reduced by retarding the fuel injection timing. Qin et al. [69] studied the impact of injection timings (260°, 300° and 340° CA bTDC) on particle number (PN) emissions from a turbocharged GDI engine. They found that as injection timing was advanced (260° to 300° CA bTDC), particle number emissions initially decreased then subsequently increased after 340° CA bTDC. On the other hand, Cho et al. [72] investigated the impact of injection timing (260° to 340° CA bTDC) and found that PM emissions slightly decreased for retarded injection timing at 280° CA bTDC and then increased to 340° CA bTDC. The effects of injection timing variation on PM number emissions are summarized in Figure 6.
Figure 6.
The impact of injection timings on PN emission (data from [69,72]).
Fuel is directly injected into combustion chamber in GDI engines and there is a very short time available for fuel evaporation and air-fuel mixing to achieve a sufficiently homogenous mixture. As a result direct fuel injection increased the chance of spray-piston and spray-wall impingement. Numerous studies have reported that the shorter time for mixture preparation and in-cylinder spray-wall impingement are the primary reasons for higher particulate emissions from direct-injection gasoline engines [86,87]. Multiple fuel injection strategies have been considered as one of the most efficient ways to reduce PN emissions by shortening fuel jet length [88]. Split injection breaks the fuel injection event into two or more pulses aiming to achieve a homogeneous air-fuel mixture before the beginning of combustion process. With split injection, individual fuel injection pulses may terminate before attaining the quasi-steady liquid length, which can decrease liquid impingement on both the piston bowl and cylinder wall. In a single fuel injection strategy at low loads, split injection will probably not further decrease particle number emissions if liquid impingement is avoided with single injection. Conversely, at high loads engine condition, a reduction in total particle number emissions of more than 50% can be attained compared to the lowest particle number emission achieved using a single injection strategy [2]. The results reported by Su et al. [89] indicated that compared to single injection strategy, multiple injection strategies such as double and triple injection reduced PN concentration up to 60% and 80% respectively. The double injection strategy improved the mixture preparation and impeded the interaction of spray with the piston and—wall and resulted in lower particle number emissions. The triple injection strategy further enhanced these effects. Paul et al. [74] reported that multiple fuel injection strategies can be used to minimize the interactions between fuel and combustion chamber walls leading to reduced particle formation.
4.5. Fuel Injection Pressure
Fuel injection pressure has a significant impact on PM downsized. It has been widely reported that with increasing the fuel injection pressure, GDI engines produced less particle number (PN) emissions [2,72,90,91]. Increased fuel injection pressure enhances the air-fuel mixing; at higher injection pressures, fuel droplets become smaller which leads to better evaporation. Fuel injection pressure has been shown to have a considerable influence on the nucleation mode particles whereas the accumulation mode particles are much less effected [91]. Rarely, however, an increase in fuel injection pressure can lead to an increase in PM emissions, due to the increase in fuel pressure leading to the fuel penetrating further into the combustion chamber and impinging on combustion surfaces, ultimately leading to pool fires.
Wang et al. [73] studied the effects of fuel injection pressure (3.5–8.5 bar IMEP) variation on PM emissions from a SGDI engine, under the stoichiometric air/fuel ratio and 1500 rpm engine speed. They found that the injection pressure greatly affects the PM mass and number emissions. At higher injection pressure, gasoline direct injection engines produce fewer PM emissions. The results of an experimental study conducted by He et al. [2] showed an explicit inclination of particle number emissions reduction by increasing fuel injection pressure. Cho et al. [72] investigated the influence of fuel injection pressures variation (45 to 75 bar) on PM emissions from a SIDI engine at 2000 rpm. They found that particle number emissions decreased at higher injection pressure. As a result of increasing injection pressure from low to high, the significant declined in PN concentration was observed. The impacts of fuel injection pressures on particle number (PN) emissions are presented in Figure 7.
Figure 7.
The impact of fuel injection pressure (FIP) variation on particulate number emissions. (presented data from left to right are taken from [2,73], respectively).
4.6. EGR and Inlet Air Conditions
Inlet air temperature has an impact on PN emissions, in particular the warmer the inlet air the more homogeneous the fuel/air mixture will be at ignition, and therefore the lower the levels of PN emissions, this result is supported by numerous studies [92,93]. EGR, if it is not cooled, will have a similar effect for similar reasons, however cooled external EGR is becoming more common in GDI engines today, and the effect of EGR on inlet air temperature is not present with this type of EGR. Therefore the effect of cooled, external EGR can be to increase particulate emissions as EGR reduces exhaust temperatures, reducing post-flame oxidation, other studies have found a modest decrease with EGR, attributed to lower combustion temperatures, and a reduction in mixture enrichment at high load [94,95,96].
4.7. Cold Start and Ambient Temperature Conditions
The cold start engine condition is an important factor influencing PN emissions from GDI engines. At cold-start, the heat transfer the combustion chamber surface to the fuel-air mixture is considerably reduced and thus less fuel vaporisation and air-fuel mixing will occur, resulting in a heterogeneous charge and localized fuel-rich regions [97,98]. The cold-start particulate emission accounted for more than 50% of the total PN emission from gasoline direct-injection vehicles over a drive cycle [99]. Price et al. [100] examined the PM emissions from direct-injection gasoline engine under cold-start condition. They found higher PN concentration at cold-start and as the engine warmed up, PN concentration were decreased. Fu et al. [101] studied the influence of cold-start and hot-start conditions on PM emission from a gasoline direct-injection vehicle over New European Driving Cycle (NEDC). They found that more particles were produced under cold-start engine condition in the first 200s of NEDC compared to a warm-start NEDC, which can be linked to the combustion of inhomogeneous air-fuel mixtures during cold start engine conditions.
Ambient temperature, is another important factor that affects vehicular emissions. Ramadhas et al. [102] found that the proportion of particles of 50–200 nm decreased significantly when the ambient temperature increased from 10 °C to 45 °C. Mamakos et al. [103] demonstrated that the PM emissions doubled under NEDC driving cycle but kept roughly constant with the Common Artemis Driving Cycle (CADC) regardless of temperature change from +22 °C to −7 °C. Mathis et al. [104] demonstrated that the effect of ambient temperature on particulate emissions was limited in a warmed-up engine under the Common Artemis Driving Cycle (CADC), yet Fushimi et al. [43] found that under hot start Japanese cycle (JC08) conditions, PM emissions tripled in a GDI engine as the ambient temperature changed from 35 °C to 5 °C.
4.8. Factors Influencing the Particle Morphology, Nanostructure and Primary Particle Size
It is considered that particulate characteristics such as particle morphology, particle micro-structure, and particle size are significantly influenced by engine types, engine operating conditions, and fuel composition but the literature on detailed characterization of GDI PM is relatively scarce to date. Seong et al. [105] studied the effects of operating conditions on GDI PM characteristics including primary and aggregate particle sizes, morphology, and nanostructures. They found that the primary and aggregate particle sizes gradually increased with advancement in injection timings which implies that air-fuel mixing is a critical factor affecting particle size. At 190° bTDC, an increased number of nanoparticles having size smaller than 20 nm were observed. Fractal analysis revealed that compactness of aggregates emitted from gasoline-direct injection engine lie between aggregates emitted from light-duty diesel engines and heavy duty diesel engines. The analysis of GDI PM emissions by high resolution transmission electron microscopy (HR-TEM) technique observed that compared to typical diesel engine, graphitic structures of GDI PM are less-ordered. Barone et al. [8] studied GDI soot morphology to measure primary particle size. They found that the GDI primary particle size from 7 to 60 nm was larger than diesel particulates size range [106,107]. Lee et al. [108] investigated the nanostructure and primary particle size of a GDI engine fueled with alcohol blends. They observed that the primary particles emitted from GDI engine burning gasoline-isobutanol (iB16) and gasoline-ethanol blends (E10) were increased from 31 to 39 nm at 75% engine load condition. Lee et al. [109] examined the morphology of nanoparticles from GDI engine burning gasoline and its ethanol blend E20 at various fuel injection timings. They found the primary particle size about 25 nm for gasoline and E20 at various injection timings. The result of primary particle size distribution implies that the number of larger primary particles (30–40 nm) increased with injection timing advance.
4.9. Boosted Engines
Modern GDI engines are increasingly employing turbochargers and superchargers (such engines are referred to as boosted engines) to further increase the efficiency of GDI technology [110,111,112]. Such engines will not have inherent differences in their PM emissions, and such emissions have not been significantly studied in detail at the time of writing. The studies that have been undertaken report that there is a bias towards smaller particle sizes in the PN emissions from these engines (possibly due to their higher in-cylinder pressures), and that certain parameters important in boosted engines, such as exhaust back pressure, serve to reduce PN emissions [96,113,114].
5. Fuel Effects on GDI PM Emissions
5.1. Effect of Gasoline Composition and Properties on GDI PM Emissions
There is a strong link between PM emissions from GDI engines and the composition and properties of the gasoline. These effects are in general dominated by the aromatic content of the fuel, but other fuel components and properties notably olefin content, oxygenate content, sulphur content, fuel volatility, enthalpy of vaporization and boiling points of individual components have significant effects on PM emissions [1,69,84,85,115,116,117,118,119,120,121,122,123,124,125,126,127].
In the formation mechanisms discussed earlier, existence of aromatic rings plays an important role in PM formation. Therefore it might be expected that high levels of aromatics in the fuel would lead to a higher level of PM emissions. This is well supported by the literature [12,67,128]. Higher sulphur content in gasoline has also been shown to result in increased particulate matter emissions an effect greater than aromatic content [116]. Some studies have reported that higher octane number in gasoline reduces PM emissions from a GDI engine, [115] however care should be taken with this as often octane number is increased by adding aromatic components, which would serve to increase PM emissions.
Fuel volatility has a noticeable impact on PN emissions, [119,120,121,128] as a fuel with a lower vapour pressure will be slower to evaporate on injection, and produce a less well prepared mixture leading to higher PN emissions. In extreme cases, fuel with very low volatility will impact on the piston or walls and burn as a pool fire, leading to a significant increase in PN emissions. However, fuels with very high volatility can flash evaporate on injection, giving a poorly prepared mixture with locally rich zones, again leading to high levels of PN emissions.
The enthalpy of vaporization is also important for the performance of GDI engines as high enthalpies of vaporization increase the charge cooling effect so that the volumetric efficiency is improved. However fuels with high enthalpies of vaporization will require more energy to evaporate fully on injection into the cylinder, and so would tend to have higher levels of PN emissions [129], however large differences of enthalpy of vaporization are rare without the addition of oxygenated components (see next section).
Numerous attempts have been made to link fuel composition and particulate emissions [119,120,121,122,125,126]. All of these indices take a similar form generally linking some measure of aromatic content and vapour pressure, and have shown that there is an excellent correlation between fuel composition and PN emissions, although the detail depends on the parameters used, and the details of the engine and operating point. The Honda PM index [130] takes the form , was initially formulated to compare fuel composition and PN emissions from PFI engines, but recently has also shown a very good correlation with emissions from GDI engines [130]. Recently work such as that by Hamje, Karavalakis, Moriya, and Shi has indicated that there is a dependence on PN emissions and late-middle distillation parameter of the gasoline being used (parameters such as T70, T80, and E150) [131,132,133]. Work is ongoing in this area.
At this point such indices are at best comparative rather than predictive. Although clearly of interest, it has proven more difficult to extend such indices to include oxygenate components fully, due to the variable effects on PN of adding oxygenates to gasoline, and these are discussed further in the next section. A good overview comparing several such indices with some of their own data was undertaken by Menger and Wittmann [130], and they developed their own index taking in 14 different fuel parameters. A detailed review of these indices would be the topic of a wholly separate paper (and indeed it is [134]).
5.2. Impact of Oxygenated Fuels on GDI PM Emissions
Oxygenated fuels (often referred to as Biofuels) are seen as a potential pathway to reducing well-to-wheel CO2 emissions from vehicles [135]. Ethanol is by far the most common oxygenate component added to gasoline today; methanol and butanol are also added commonly, and a limited amount of others are noted as well (MTBE for instance). E5 (up to 5% by volume of ethanol in gasoline) blends are ubiquitous in Europe, with E10 and E15 common in the USA; E85 is also common, although requiring vehicles that have been specially adapted (so-called flex-fuel vehicles); E100 is common in Brazil [136,137]. A number of recent studies on the influence of oxygenated fuel blends on PM emissions from GDI engines have been reported [1,85,114,138,139,140,141]. Typically oxygenated fuels have higher vapour pressures, significantly higher (kJ/kg stoichiometric mixture), and significantly lower LHVs compared to gasoline. Some examples of these parameters are shown in Table 2. All of these features are likely to affect the quantity of fuel injected into the cylinder, as well as the spray evaporation once the fuel has been injected. Ultimately, many of these effects will compete as to whether the effect will be a net positive or negative on PN emissions depending on combustion system design and engine operating point. Common to all oxygenates is the presence of the –OH bond, which is likely to promote the oxidation of soot precursors, which should lead to a reduction in PN emissions, all other things being equal.
Table 2.
Summary of different oxygenates and their compounds [142].
Figure 8 shows PN emissions from a variety of oxygenated fuels from a single cylinder engine at light load. Here, low levels of oxygenated components can be seen to increase PN emissions (probably due to the increasing and increasing quantities of fuel injected to ensure stoichiometry. However at high levels of oxygenates, the PN emissions are reduced to almost zero, showing perhaps the dominance of the chemically bonded oxygen.
Figure 8.
PN emissions a single cylinder optical engine for fuels with varying levels of oxygenates, the error bars correspond to ± σ [142].
5.3. Impact of Ethanol Fuel Blends on GDI PM Emissions
It has been consistently reported that burning of ethanol in port fuel injection gasoline engines can reduce particulate matter emissions [85,143]. However, for GDI engines, results show both increases and decreases, [1,2,3,73,85,139,140,144,145,146] demonstrating that the details of combustion system design and engine operating point are very important. In general with any ethanol fuel, when liquid fuel impingement occurs (due to the challenges ethanol can pose to spray formation), then an increase in PN emissions compared to gasoline is reported. This is particularly prevalent at cold start and engine transients. However, where such impingement can be avoided and there is sufficient time and energy available for good mixture formation then a decrease is noted. As levels of ethanol increase above ~45% most studies report a decrease in PN emissions, and this is most likely due to the dominance of the chemically bonded oxygen in reducing soot precursors. It should be noted that recent work such as Burke et al. [147] reports that high levels of ethanol can increase the relative levels of heavy aromatics at the end of the droplet evaporation process in both the liquid an vapour phases. This occurs due to the presence of azeotropes between ethanol and aromatic components. This effectively stratifies the aromatics within the evaporated mixture and may lead to levels of PN emissions higher than might be expected given the dilution of the aromatics overall by the presence of such high levels of ethanol.
Ethanol addition hinders the formation of soot precursors, e.g., polycyclic aromatic hydrocarbons (PAHs) which can ultimately reduce PM emissions. Storey et al. [144] investigated the impact of ethanol-blended fuel (E10 and E20) on PM emissions from GDI engine over FTP75 and US06 cycle. An increase of ethanol concentration in gasoline fuel decreased PM mass and number emissions. Maricq et al. [139] examined the influence of ethanol fuel blends on PM emissions from a light-duty vehicle equipped with a T-GDI engine. They found that increasing of ethanol content in gasoline resulted in a reduction of particle mass and number emission. Zhang et al. [140] studied the impact of ethanol blends E10 and E20 on PN emission at 2000 rpm engine speed and 210 Nm engine load. The particle number (PN) emission measurement was taken before the catalyst (TWCs). They found that ethanol blends decreased the PN emissions from a GDI engine, whilst other studies [2,3,73] have reported contrary results.
Ethanol has a higher heat of vaporisation and smaller vapour pressure as compared to gasoline which reduces the evaporation of ethanol blended fuel and enhances heterogeneous air-fuel mixture, consequently producing higher PM emissions [148,149,150,151]. Experiments were conducted by Wang et al. [73] at varying engine load from 3.5–8.5 bar BMEP and 1500 rpm without using a catalyst. They found that an addition of ethanol into gasoline led to higher PN emissions from GDI engine. Luo et al. [151] studied the impact of ethanol fuel blends in a GDI engine without using a catalyst. They found that ethanol fuel blends increased particle number (PN) concentration at low load engine conditions. However, at high load engine conditions PN concentration decreased.
He et al. [2] found that ethanol blends showed mixed effects on PN emissions depending on engine operational parameters. Generally, ethanol blend (E20) decreases particle number emissions at low and medium loads condition. But in some cases, when the liquid fuel impingement arises on the piston head or cylinder wall then E20 generates more PN emissions as compared to gasoline and this may be attributed to the higher heat vaporisation of ethanol. Francesco et al. [145] examined the ethanol blends combustion in a GDI optical engine without using a catalyst. At 2000 rpm and full load the particle number (PN) concentration decreased by increasing the ethanol percentage in gasoline, whilst at 4000 rpm and partial load an increase of particle number were observed for E50 and E85 fuels. This is most likely because of a higher fuel impingement on the piston head and the volatility properties of ethanol/gasoline blends. Wang et al. [73] investigated the impact of ethanol-blended fuel on a spray guided GDI engine. They found that addition of ethanol into gasoline fuel significantly reduced particle mass, but increased PN emission as compared to gasoline. Karavalakis et al. [1,85] studied the PM emissions from a wall guided spark ignition engine over the Federal Test Procedure (FTP) Cycle and Unified Cycle (UC) burning different ethanol blends. They found that particle number generally decreased with the addition of ethanol, implying that oxygen content in the fuel was the primary factor for particle number decreasing by allowing the suppression of soot formation. Figure 9 shows the impact of ethanol fuel blends (E10, E15, E20) on PN emissions over FTP and UC cycle [1,85].
Figure 9.
Impact of ethanol fuel blends on PN emissions (data from [1,85]).
5.4. Impact of Methanol Fuel Blends on GDI PM Emissions
Use of methanol is not as widespread in the USA and EU as ethanol, however in China blends of up to M100 (100% methanol) are available, and methanol makes up 7–8% of China’s transportation fuels. Methanol is typically made from coal or natural gas, and under current market conditions is cheaper on an energy basis than ethanol or gasoline. Similar to ethanol, methanol has a lower volumetric energy density than gasoline and a higher RON than gasoline (see Table 2). When blended with gasoline, methanol reduces the final boiling point of the fuel, potentially promoting spray evaporation (and hence reducing PN emissions) however the increased and high volatility (leading to possible flash evaporation) may lead to poor mixture preparation and potentially higher levels of PN emissions. With such a mixed effect, as might be expected, studies on PN emissions from methanol-gasoline blends have again showed mixed results [141,152,153,154].
Qin et al. [69] investigated the impact of gasoline, neat methanol, and methanol-gasoline blends on particulate matter emitted from a T-GDI engine. They found that as an increase of methanol concentration in gasoline, PN emissions decreased significantly. Moreover, GDI engine powered with methanol produced fewer particle numbers as compared to gasoline. Wang et al. [138] reported that compared with gasoline, methanol blends (M15, M25, and M40) reduced PN emissions from 33.2–40.2%. On the other hand, Safwan et al. [153] investigated the impact of M15 methanol/gasoline blends in a single cylinder GDI Engine. They reported that methanol fuel blend (M15) does not correlated to consistently lower levels of PN emissions from GDI engine.
Recently there has also been an interest in blends of gasoline, ethanol, and methanol in GDI engines [155,156,157,158]. At the time of writing only one study had been published on their impact on PN emissions, showing a similar effect to extrapolating between the emissions from blends of methanol and ethanol binary mixtures.
5.5. Impact of Butanol Fuel Blends on GDI PM Emissions
PN emissions from butanol fuels have not been studied as extensively as ethanol. Butanol is a higher alcohol containing four-carbon (C4) molecules [159]. Compared to ethanol, butanol has a higher energy density, smaller latent heat of vaporization and is less corrosive. Both n-butanol and isobutanol isomers are commonly blended in gasoline. Butanol is being seen by some as the next major oxygenate component to appear in gasoline, butanol has several advantages over methanol and ethanol including a higher volumetric energy density (although not as high as gasoline), meaning there will be less deterioration of the volumetric fuel consumption compared to gasoline. Like ethanol, n-butanol is generally produced using a fermentation process. There are far fewer studies on PN emissions from butanol fuels, but those that have been done report trends similar to those seen in Figure 8—namely a modest increase in PN emissions with increasing butanol levels [1,85,159,160].
6. Conclusions and Future Trends
Particulate matter emissions from GDI engines are complex mixtures of volatile and non-volatile materials containing soot, organic carbon and hydrocarbons. In terms of particle size, GDI-derived particles are composed mainly of nucleation mode (<50 nm) and accumulation mode (50–200 nm). Nucleation mode particles have normally been considered as volatile particles, but recent studies report nucleation mode contains solid particles as well. Accumulation mode particles comprise carbonaceous soot particles with an elemental carbon structure and adsorbed volatile material.
In general, particulate formation in GDI engines is driven by mixture preparation. A homogeneous, fully vaporised fuel-air mixture will give low levels of PN emissions. Any fuel that remains in a liquid state at ignition, particularly on combustion chamber surfaces, will burn as a diffusion flame leading to high levels of PN emissions known as a pool fire. Such liquid impingement may be caused by injection strategy, fuel composition (particularly a high enthalpy of vaporisation), or cold conditions in cylinder (notably during startup). Therefore careful design of the combustion system and optimisation of the injection and ignition strategy is needed to avoid high levels of engine out PN.
A number of engine effects on PN emissions have been studied, fundamentally the common theme is that good mixture preparation (i.e., fully vaporised fuel, well mixed with the air) reduces PN emissions. Parameters that promote that such as early injection, high fuel pressure and warm inlet air/EGR have all been shown to reduce particulate emissions. Air fuel ratio is a key parameter for PN emissions, with AFRs rich of stoichiometric giving very high levels of PN (an increase of up to an order of magnitude in many cases)—this is particularly important during engine transients. Engine parameters that increase exhaust temperature (such as late ignition) also lead to a reduction in PN due to an increase in post-flame oxidation.
With an increase in highly boosted GDI engines in the market, their PN emissions are beginning to be studied. It seems that the effects of high levels of boosting do not change the overall effect of engine operating parameters on PN emissions, and indeed some parameters particular to highly boosted engines, have been shown to decrease PN emissions.
Fuel composition plays an important role in engine-out PM emissions, however in general, its effects can be masked by other engine operating parameters (for example air-fuel ratio). High levels of aromatic components present in fuel have been conclusively shown to increase PN emissions, an aromatic ring being an early stage of the fundamental particulate formation process. Other fuel composition parameters do have an effect, but are dependent on engine design and operating point. Low levels of oxygenates in fuels show mixed effects in the literature, but high levels of oxygenate have been shown to reduce PN emissions, with fuels such as E85 capable of giving extremely low levels of particulate emissions.
Overall PN from GDI engines are a well-studied phenomenon, with a good understanding now available of PN formation in GDI engines. Unfortunately there is a trade-off between the measures that best reduce PN from GDI engines (such as high inlet air temperatures, high exhaust temperatures, or low aromatic (and hence low RON) fuels), and those which give the efficiency gains that are such significant advantages of GDI engines. Engine designers and calibrators should be aware of these compromises in their work. Of course this review has only focused on engine-out PN emissions, many control strategies and aftertreatment devices, such as gasoline particulate filters are available, but these are outside the scope of this review.
Author Contributions
M.R. and L.C. made substantial contributions to the conception and design of the work; M.R. and F.L. played a vital role in analyses and interpretation of data; M.R., F.L. and S.D. participated in drafting the article or revising it critically for important intellectual content.
Acknowledgments
This research is supported by the Project ‘Fundamental Investigation of Quasi-Azeotropic Hydrous Ethanol and Bio-jet Fuel Blends and their Influence on the Characteristics of Particulate Matter Emissions’ funded by National Natural Science Foundation of China (51306011). Valuable guidance and support from Jianxin Wang and Shijin Shuai at Tsinghua University are gratefully acknowledged.
Conflicts of Interest
The authors declare no conflict of interest.
Abbreviations
| AFR | air fuel ratio |
| bTDC | before top dead center |
| CARB | California air resources board |
| DPF | diesel particulate Filter |
| DISI | direct injection spark ignition |
| EC | elemental carbon |
| FTP | federal test procedure |
| GDI | gasoline direct injection |
| HAT | hydrogen atom transfer |
| MTBE | methyl tert-butyl ether |
| OC | organic carbon |
| PAHs | polycyclic aromatic hydrocarbons |
| PFI | port fuel injection |
| PM | particulate matter |
| PN | particle number |
| SGDI | spray guided direct injection |
| SIDI | spark ignition direct injection |
| T-GDI | turbo-charged gasoline direct injection |
| UC | unified cycle |
| UHCs | unburned hydrocarbons |
| VOCs | volatile organic carbons |
| WHO | world health organization |
| WGDI | wall guided direct injection |
| FIP | fuel injection pressure |
References
- Karavalakis, G.; Short, D.; Vu, D.; Russell, R.L.; Asa-Awuku, A.; Jung, H.; Johnson, K.C.; Durbin, T.D. The impact of ethanol and iso-butanol blends on gaseous and particulate emissions from two passenger cars equipped with spray-guided and wall-guided direct injection SI (spark ignition) engines. Energy 2015, 82, 168–179. [Google Scholar] [CrossRef]
- He, X.; Ratcliff, M.A.; Zigler, B.T. Effects of Gasoline Direct Injection Engine Operating Parameters on Particle Number Emissions. Energy Fuel 2012, 26, 2014–2027. [Google Scholar] [CrossRef]
- Chen, L.; Stone, R.; Richardson, D. A study of mixture preparation and PM emissions using a direct injection engine fuelled with stoichiometric gasoline/ethanol blends. Fuel 2012, 96, 120–130. [Google Scholar] [CrossRef]
- Chen, L.; Liang, Z.; Zhang, X.; Shuai, S. Characterizing particulate matter emissions from GDI and PFI vehicles under transient and cold start conditions. Fuel 2017, 189, 131–140. [Google Scholar] [CrossRef]
- Fatouraie, M.; Wooldridge, M.S.; Petersen, B.R.; Wooldridge, S.T. Effects of Ethanol on In-Cylinder and Exhaust Gas Particulate Emissions of a Gasoline Direct Injection Spark Ignition Engine. Energy Fuel 2015, 29, 3399–3412. [Google Scholar] [CrossRef]
- Bernstein, J.A.; Alexis, N.; Barnes, C.; Bernstein, I.L.; Bernstein, J.A.; Nel, A.; Peden, D.; Diaz-Sanchez, D.; Tarlo, S.M.; Williams, P.B. Health effects of air pollution. J. Allergy Clin. Immunol. 2004, 114, 1116–1123. [Google Scholar] [CrossRef] [PubMed]
- Kampa, M.; Castanas, E. Human health effects of air pollution. Environ. Pollut. 2008, 151, 362–367. [Google Scholar] [CrossRef] [PubMed]
- Barone, T.L.; Storey, J.M.E.; Youngquist, A.D.; Szybist, J.P. An analysis of direct-injection spark-ignition (DISI) soot morphology. Atmos. Environ. 2012, 49, 268–274. [Google Scholar] [CrossRef]
- Chen, L.; Zhang, Z.; Lu, Y.; Zhang, C.; Zhang, X.; Zhang, C.; Roskilly, A.P. Experimental study of the gaseous and particulate matter emissions from a gas turbine combustor burning butyl butyrate and ethanol blends. Appl. Energy 2017, 195, 693–701. [Google Scholar] [CrossRef]
- Chen, L.; Liang, Z.; Liu, H.; Ding, S.; Li, Y. Sensitivity analysis of fuel types and operational parameters on the particulate matter emissions from an aviation piston engine burning heavy fuels. Fuel 2017, 202, 520–528. [Google Scholar] [CrossRef]
- Chen, L.; Raza, M.; Xiao, J. Combustion Analysis of an Aviation Compression Ignition Engine Burning Pentanol—Kerosene Blends under Different Injection Timings. Energy Fuels 2017, 31, 9429–9437. [Google Scholar] [CrossRef]
- Choi, S.; Myung, C.L.; Park, S. Review on characterization of nano-particle emissions and PM morphology from internal combustion engines: Part 2. Int. J. Automot. Technol. 2014, 15, 219–227. [Google Scholar] [CrossRef]
- Eastwood, P. Particulate Emissions from Vehicles; John Wiley & Sons, Ltd.: Hoboken, NJ, USA, 2008. [Google Scholar]
- State of California AIR RESOURCES BOARD. Available online: https://www.arb.ca.gov/msprog/levprog/leviii/meetings/051810/pm_disc_paper-v6.pdf (accessed on 25 April 2017).
- Überall, A.; Otte, R.; Eilts, P.; Krahl, J. A literature research about particle emissions from engines with direct gasoline injection and the potential to reduce these emissions. Fuel 2015, 147, 203–207. [Google Scholar] [CrossRef]
- Myung, C.L.; Park, S. Exhaust nanoparticle emissions from internal combustion engines: A review. Int. J. Automot. Technol. 2011, 13, 9. [Google Scholar] [CrossRef]
- Yao, Q.; Li, S.Q.; Xu, H.W.; Zhuo, J.K.; Song, Q. Reprint of: Studies on formation and control of combustion particulate matter in China: A review. Energy 2010, 35, 4480–4493. [Google Scholar] [CrossRef]
- Kelly, F.J.; Fussell, J.C. Size, source and chemical composition as determinants of toxicity attributable to ambient particulate matter. Atmos. Environ. 2012, 60, 504–526. [Google Scholar] [CrossRef]
- Sonntag, D.B.; Bailey, C.R.; Fulper, C.R.; Baldauf, R.W. Contribution of Lubricating Oil to Particulate Matter Emissions from Light-Duty Gasoline Vehicles in Kansas City. Environ. Sci. Technol. 2012, 46, 4191–4199. [Google Scholar] [CrossRef] [PubMed]
- Jung, H.; Kittelson, D.B.; Zachariah, M.R. The Influence of Engine Lubricating Oil on Diesel Nanoparticle Emissions and Kinetics of Oxidation; SAE Technical Paper; SAE International: Warrendale, PA, USA, 2003. [Google Scholar]
- Amirante, R.; Distaso, E.; Napolitano, M.; Tamburrano, P.; Iorio, S.D.; Sementa, P.; Vaglieco, B.M.; Reitz, R.D. Effects of lubricant oil on particulate emissions from port-fuel and direct-injection spark-ignition engines. Int. J. Engine Res. 2017, 18, 606–620. [Google Scholar] [CrossRef]
- Pirjola, L.; Karjalainen, P.; Heikkilä, J.; Saari, S.; Tzamkiozis, T.; Ntziachristos, L.; Kulmala, K.; Keskinen, J.; Rönkkö, T. Effects of Fresh Lubricant Oils on Particle Emissions Emitted by a Modern Gasoline Direct Injection Passenger Car. Environ. Sci. Technol. 2015, 49, 3644–3652. [Google Scholar] [CrossRef] [PubMed]
- Heywood, J.B. Internal Combustion Engine Fundamentals; McGraw Hill: New York, NY, USA, 1988. [Google Scholar]
- Köpple, F.; Jochmann, P.; Kufferath, A.; Bargende, M. Investigation of the Parameters Influencing the Spray-Wall Interaction in a GDI Engine—Prerequisite for the Prediction of Particulate Emissions by Numerical Simulation. SAE Int. J. Engines 2013, 6, 911–925. [Google Scholar] [CrossRef]
- Köpple, F.; Seboldt, D.; Jochmann, P.; Hettinger, A.; Kufferath, A.; Bargende, M. Experimental Investigation of Fuel Impingement and Spray-Cooling on the Piston of a GDI Engine via Instantaneous Surface Temperature Measurements. SAE Int. J. Engines 2014, 7, 1178–1194. [Google Scholar] [CrossRef]
- Velji, A.; Yeom, K.; Wagner, U.; Spicher, U.; Rossbach, M.; Suntz, R.; Bockhorn, H. Investigations of the Formation and Oxidation of Soot Inside a Direct Injection Spark Ignition Engine Using Advanced Laser-Techniques; SAE Technical Paper; SAE International: Warrendale, PA, USA, 2010. [Google Scholar]
- Smith, O.I. Fundamentals of soot formation in flames with application to diesel engine particulate emissions. Prog. Energy Combust. Sci. 1981, 7, 275–291. [Google Scholar] [CrossRef]
- Glassman, I. Soot formation in combustion processes. In Symposium (International) on Combustion; Elsevier: New York, NY, USA, 1989; Volume 22, pp. 295–311. [Google Scholar]
- Dobbins, R.A.; Fletcher, R.A.; Lu, W. Laser microprobe analysis of soot precursor particles and carbonaceous soot. Combust. Flame 1995, 100, 301–309. [Google Scholar] [CrossRef]
- An, Y.Z.; Teng, S.P.; Pei, Y.Q.; Qin, J.; Li, X.; Zhao, H. An experimental study of polycyclic aromatic hydrocarbons and soot emissions from a GDI engine fueled with commercial gasoline. Fuel 2016, 164, 160–171. [Google Scholar] [CrossRef]
- Law, C.K. Combustion Physics; Cambridge University Press: Cambridge, MA, USA, 2006. [Google Scholar]
- Oh, K.C.; Lee, C.B.; Lee, E.J. Characteristics of soot particles formed by diesel pyrolysis. J. Anal. Appl. Pyrolysis 2011, 92, 456–462. [Google Scholar] [CrossRef]
- Dastanpour, R.; Rogak, S.N. Observations of a Correlation between Primary Particle and Aggregate Size for Soot Particles. Aerosol. Sci. Technol. 2014, 48, 1043–1049. [Google Scholar] [CrossRef]
- Wen, J.Z. Chemical and Physical Aspects of Soot/Nano-Particle Formation in Combustion; University of Toronto: Toronto, ON, Canada, 2005. [Google Scholar]
- Kholghy, M.; Saffaripour, M.; Yip, C.; Thomson, M.J. The evolution of soot morphology in a laminar flow diffusion flame of a surrogate for Jet A-1. Combust. Flame 2013, 160, 2119–2130. [Google Scholar] [CrossRef]
- Park, S.H.; Rogak, S.N. A One-Dimensional Model for Coagulation, Sintering, and Surface Growth of Aerosol Agglomerates. Aerosol. Sci. Technol. 2003, 37, 947–960. [Google Scholar] [CrossRef]
- Park, S.H.; Rogak, S.N.; Bushe, W.K.; Wen, J.Z.; Thomson, M.J. An aerosol model to predict size and structure of soot particles. Combust. Theory Model. 2005, 9, 499–513. [Google Scholar] [CrossRef]
- Appel, J.; Bockhorn, H.; Frenklach, M. Kinetic modeling of soot formation with detailed chemistry and physics: Laminar premixed flames of C2hydrocarbons. Combust. Flame 2000, 121, 122–136. [Google Scholar] [CrossRef]
- Bisetti, F.; Blanquart, G.; Mueller, M.E.; Pitsch, H. On the formation and early evolution of soot in turbulent nonpremixed flames. Combust. Flame 2012, 159, 317–335. [Google Scholar] [CrossRef]
- Mayer, A.; Czerwinski, J.; Kasper, M.; Ulrich, A.; Mooney, J.J. Metal Oxide Particle Emissions from Diesel and Petrol Engines; SAE Technical Paper; SAE International: Warrendale, PA, USA, 2012. [Google Scholar]
- Thiruvengadam, A.; Besch, M.C.; Yoon, S.; Collins, J.; Kappanna, H.; Carder, D.K.; Ayala, A.; Herner, J.; Gautam, M. Characterization of Particulate Matter Emissions from a Current Technology Natural Gas Engine. Environ. Sci. Technol. 2014, 48, 8235–8242. [Google Scholar] [CrossRef] [PubMed]
- Andrews, G.E.; Abbass, M.K.; Williams, P.T.; Bartle, K.D. Factors influencing the composition of the organic fraction of diesel particulates. J. Aerosol. Sci. 1989, 20, 1373–1376. [Google Scholar] [CrossRef]
- Fushimi, A.; Kondo, Y.; Kobayashi, S.; Fujitani, Y.; Saitoh, K.; Takami, A.; Tanabe, K. Chemical composition and source of fine and nanoparticles from recent direct injection gasoline passenger cars: Effects of fuel and ambient temperature. Atmos. Environ. 2016, 124, 77–84. [Google Scholar] [CrossRef]
- Jimenez, J.L.; Canagaratna, M.R.; Donahue, N.M.; Prevot, A.S.; Zhang, Q.; Kroll, J.H.; DeCarlo, P.F.; Allan, J.D.; Coe, H.; Ng, N.L.; et al. Evolution of organic aerosols in the atmosphere. Science 2009, 326, 1525–1529. [Google Scholar] [CrossRef] [PubMed]
- Fuzzi, S.; Andreae, M.O.; Huebert, B.J.; Kulmala, M.; Bond, T.C.; Boy, M.; Doherty, S.J.; Guenther, A.; Kanakidou, M.; Kawamura, K.; et al. Critical assessment of the current state of scientific knowledge, terminology, and research needs concerning the role of organic aerosols in the atmosphere, climate, and global change. Atmos. Chem. Phys. 2006, 6, 2017–2038. [Google Scholar] [CrossRef]
- Li, N.; Sioutas, C.; Cho, A.; Schmitz, D.; Misra, C.; Sempf, J.; Wang, M.; Oberley, T.; Froines, J.; Nel, A. Ultrafine particulate pollutants induce oxidative stress and mitochondrial damage. Enviorn. Health Perspect. 2003, 111, 455–460. [Google Scholar] [CrossRef]
- Hiura, T.S.; Kaszubowski, M.P.; Li, N.; Nel, A.E. Chemicals in diesel exhaust particles generate reactive oxygen radicals and induce apoptosis in macrophages. J. Immunol. 1999, 163, 5582–5591. [Google Scholar] [PubMed]
- Seagrave, J.; McDonald, J.D.; Gigliotti, A.P.; Nikula, K.J.; Seilkop, S.K.; Gurevich, M.; Mauderly, J.L. Mutagenicity and in Vivo Toxicity of Combined Particulate and Semivolatile Organic Fractions of Gasoline and Diesel Engine Emissions. Toxicol. Sci. 2002, 70, 212–226. [Google Scholar] [CrossRef] [PubMed]
- Cheng, Y.W.; Lee, W.W.; Li, C.H.; Lee, C.C.; Kang, J.J. Genotoxicity of motorcycle exhaust particles in vivo and in vitro. Toxicol. Sci. 2004, 81, 103–111. [Google Scholar] [CrossRef] [PubMed]
- Castranova, V.; Ma, J.Y.; Yang, H.M.; Antonini, J.M.; Butterworth, L.; Barger, M.W.; Roberts, J.; Ma, J.K. Effect of exposure to diesel exhaust particles on the susceptibility of the lung to infection. Enviorn. Health Perspecct. 2001, 109, 609–612. [Google Scholar] [CrossRef]
- Leach, F. Particulate Emissions from Gasoline Direct Injection Engines. Ph.D. Thesis, Engineering Science, University of Oxford, Oxford, UK, 2014. [Google Scholar]
- Lee, D.; Miller, A.; Kittelson, D.; Zachariah, M.R. Characterization of metal-bearing diesel nanoparticles using single-particle mass spectrometry. J. Aerosol. Sci. 2006, 37, 88–110. [Google Scholar] [CrossRef]
- Kittelson, D.B.; Watts, W.F.; Johnson, J.P. On-road and laboratory evaluation of combustion aerosols—Part 1: Summary of diesel engine results. J. Aerosol. Sci. 2006, 37, 913–930. [Google Scholar] [CrossRef]
- Filippo, A.D.; Maricq, M.M. Diesel nucleation mode particles: Semivolatile or solid? Enviorn. Sci. Technol. 2008, 42, 7957–7962. [Google Scholar] [CrossRef]
- Rönkkö, T.; Virtanen, A.; Kannosto, J.; Keskinen, J.; Lappi, M.; Pirjola, L. Nucleation mode particles with a nonvolatile core in the exhaust of a heavy duty diesel vehicle. Enviorn. Sci. Technol. 2007, 41, 6384–6389. [Google Scholar] [CrossRef]
- Lähde, T.R.T.; Virtanen, A.; Solla, A.; Kytö, M.; Söderström, C.; Keskinen, J. Dependence between nonvolatile nucleation mode particle and soot number concentrations in an EGR equipped heavy-duty Diesel engine exhaust. Enviorn. Sci. Technol. 2010, 44, 3175–3180. [Google Scholar] [CrossRef] [PubMed]
- Sgro, L.A.; Sementa, P.; Vaglieco, B.M.; Rusciano, G.; D’Anna, A.; Minutolo, P. Investigating the origin of nuclei particles in GDI engine exhausts. Combust. Flame 2012, 159, 1687–1692. [Google Scholar] [CrossRef]
- Burtscher, H. Physical characterization of particulate emissions from diesel engines: A review. J. Aerosol. Sci. 2005, 36, 896–932. [Google Scholar] [CrossRef]
- Eggersdorfer, M.L.; Pratsinis, S.E. The Structure of Agglomerates Consisting of Polydisperse Particles. Aerosol. Sci. Technol. 2012, 46, 347–353. [Google Scholar] [CrossRef] [PubMed]
- Eggersdorfer, M.L.; Kadau, D.; Herrmann, H.J.; Pratsinis, S.E. Multiparticle Sintering Dynamics: From Fractal-Like Aggregates to Compact Structures. Langmuir 2011, 27, 6358–6367. [Google Scholar] [CrossRef] [PubMed]
- Price, P. Direct Injection Gasoline Engine Particulate Emissions. Ph.D. Thesis, Engineering Science, University of Oxford, Oxford, UK, 2009. [Google Scholar]
- Kittelson, D.B. Engines and nanoparticles. J. Aerosol. Sci. 1998, 29, 575–588. [Google Scholar] [CrossRef]
- Sementa, P.; Maria Vaglieco, B.; Catapano, F. Thermodynamic and optical characterizations of a high performance GDI engine operating in homogeneous and stratified charge mixture conditions fueled with gasoline and bio-ethanol. Fuel 2012, 96, 204–219. [Google Scholar] [CrossRef]
- Karjalainen, P.; Pirjola, L.; Heikkila, J.; Lahnde, T.; Tzamkiozis, T.; Ntziachristos, L.; Keskinen, J.; Ronkko, T. Exhaust particles of modern gasoline vehicles: A laboratory and an on-road study. Atmos. Environ. 2014, 97, 262–270. [Google Scholar] [CrossRef]
- Giechaskiel, B.; Vanhanen, J.; Väkevä, M.; Martini, G. Investigation of vehicle exhaust sub-23 nm particle emissions. Aerosol. Sci. Technol. 2017, 51, 626–641. [Google Scholar] [CrossRef]
- Lobo, P.; Durdina, L.; Smallwood, G.J.; Rindlisbacher, T.; Siegerist, F.; Black, E.A.; Yu, Z.; Mensah, A.A.; Hagen, D.E.; Miake-Lye, R.C.; et al. Measurement of Aircraft Engine Non-Volatile PM Emissions: Results of the Aviation-Particle Regulatory Instrumentation Demonstration Experiment (A-PRIDE) 4 Campaign. Aerosol. Sci. Technol. 2015, 49, 472–484. [Google Scholar] [CrossRef]
- Zhao, L.; Yu, X.; Qian, D.; Dong, W.; Sun, P.; He, L.; Yang, S. The effects of EGR and ignition timing on emissions of GDI engine. Sci. China Technol. Sci. 2013, 56, 3144–3150. [Google Scholar] [CrossRef]
- Szybist, J.P.; Youngquist, A.D.; Barone, T.L.; Storey, J.M.; Moore, W.R.; Foster, M.; Confer, K. Ethanol Blends and Engine Operating Strategy Effects on Light-Duty Spark-Ignition Engine Particle Emissions. Energy Fuel 2011, 25, 4977–4985. [Google Scholar] [CrossRef]
- Qin, J.; Li, X.; Pei, Y. Effects of Combustion Parameters and Lubricating Oil on Particulate Matter Emissions from a Turbo-Charged GDI Engine Fueled with Methanol/Gasoline Blends; SAE Technical Paper; SAE International: Warrendale, PA, USA, 2014. [Google Scholar]
- Price, P.; Twiney, B.; Stone, R.; Kar, K.; Walmsley, H. Particulate and Hydrocarbon Emissions from a Spray Guided Direct Injection Spark Ignition Engine with Oxygenate Fuel Blends; SAE Technical Paper 2007-01-0472; 2007. [Google Scholar]
- Pei, Y.Q.; Qin, J.; Pan, S.Z. Experimental study on the particulate matter emission characteristics for a direct-injection gasoline engine. Proc. Inst. Mech. Eng. Part D J. Automob. Eng. 2014, 228, 604–616. [Google Scholar] [CrossRef]
- Cho, J.; Si, W.; Jang, W.; Jin, D.; Myung, C.-L.; Park, S. Impact of intermediate ethanol blends on particulate matter emission from a spark ignition direct injection (SIDI) engine. Appl. Energy 2015, 160, 592–602. [Google Scholar] [CrossRef]
- Wang, C.; Xu, H.; Herreros, J.M.; Wang, J.; Cracknell, R. Impact of fuel and injection system on particle emissions from a GDI engine. Appl. Energy 2014, 132, 178–191. [Google Scholar] [CrossRef]
- Whitaker, P.; Kapus, P.; Ogris, M.; Hollerer, P. Measures to Reduce Particulate Emissions from Gasoline DI engines. SAE Int. J. Engines 2011, 3, 1498–1512. [Google Scholar] [CrossRef]
- Chen, L.; Stone, R.; Richardson, D. Effect of the valve timing and the coolant temperature on particulate emissions from a gasoline direct-injection engine fuelled with gasoline and with a gasoline–ethanol blend. Proc. Inst. Mech. Eng. Part D J. Automob. Eng. 2012, 226, 1419–1430. [Google Scholar] [CrossRef]
- Drake, M.C.; Fansler, T.D.; Solomon, A.S.; Szekely, G.A. Piston Fuel Films as a Source of Smoke and Hydrocarbon Emissions from a Wall-Controlled Spark-Ignited Direct-Injection Engine; SAE Technical Paper; SAE International: Warrendale, PA, USA, 2003. [Google Scholar]
- Stevens, E.; Steeper, R. Piston Wetting in an Optical DISI Engine: Fuel Films, Pool Fires, and Soot Generation; SAE Technical Paper; SAE International: Warrendale, PA, USA, 2001. [Google Scholar]
- Mehta, D.; Alger, T.; Hall, M.; Matthews, R.D.; Ng, H. Particulate Characterization of a DISI Research Engine using a Nephelometer and In-Cylinder Visualization; SAE Technical Paper; SAE International: Warrendale, PA, USA, 2001. [Google Scholar]
- Karlsson, R.B.; Heywood, J.B. Piston Fuel Film Observations in an Optical Access GDI Engine; SAE Technical Paper; 2001. [Google Scholar]
- Short, D.; Vu, D.; Chen, V.; Espinoza, C.; Berte, T.; Karavalakis, G.; Durbin, T.D.; Asa-Awuku, A. Understanding particles emitted from spray and wall-guided gasoline direct injection and flex fuel vehicles operating on ethanol and iso-butanol gasoline blends. Aerosol. Sci. Technol. 2017, 51, 330–341. [Google Scholar] [CrossRef][Green Version]
- Braisher, M.; Stone, R.; Price, P. Particle Number Emissions from a Range of European Vehicles; SAE Technical Paper; SAE International: Warrendale, PA, USA, 2010. [Google Scholar]
- Rodriguez, J.F.; Cheng, W.K. Effect of Operation Strategy on First Cycle CO, HC, and PM/PN Emissions in a GDI Engine. SAE Int. J. Engines 2015, 8, 1098–1106. [Google Scholar] [CrossRef]
- Zhao, F.; Lai, M.C.; Harrington, D.L. Automotive spark-ignited direct-injection gasoline engines. Prog. Energy Combust. Sci. 1999, 25, 437–562. [Google Scholar] [CrossRef]
- Stone, R.; Chen, L.; Hinton, N.; Leach, F.; Xu, F. GDI Engine Operation with Ethanol/Gasoline Blends and Aqueous Ethanol. J Automot. Saf. Energy 2012, 3, 257–264. [Google Scholar]
- Karavalakis, G.; Short, D.; Vu, D.; Villela, M.; Asa-Awuku, A.; Durbin, T.D. Evaluating the regulated emissions, air toxics, ultrafine particles, and black carbon from SI-PFI and SI-DI vehicles operating on different ethanol and iso-butanol blends. Fuel 2014, 128, 410–421. [Google Scholar] [CrossRef]
- Whitaker, P.; Kapus, P.; Ogris, M.; Hollerer, P. Measures to Reduce Particulate Emissions from Gasoline DI engines. SAE Int. J. Engines 2011, 4, 1498–1512. [Google Scholar] [CrossRef]
- Sabathil, D.; Koenigstein, A.; Schaffner, P.; Fritzsche, J.; Doehler, A. The Influence of DISI Engine Operating Parameters on Particle Number Emissions; SAE Technical Paper; SAE International: Warrendale, PA, USA, 2011. [Google Scholar]
- De Francqueville, L. Effects of Ethanol Addition in RON 95 Gasoline on GDI Stratified Combustion; SAE Technical Paper; SAE International: Warrendale, PA, USA, 2011. [Google Scholar]
- Su, J.; Xu, M.; Yin, P.; Gao, Y.; Hung, D. Particle Number Emissions Reduction Using Multiple Injection Strategies in a Boosted Spark-Ignition Direct-Injection (SIDI) Gasoline Engine. SAE Int. J. Engines 2014, 8, 20–29. [Google Scholar] [CrossRef]
- Bertsch, M.; Weidenlener, A.; Dörnhöfer, J.; Koch, T.; Velji, A. Effect of implementing large-scale charge motion, reducing hydraulic flow of the injector and increasing injection pressure on particle emissions of a GDI engine at WOT and boosted operation. Int. J. Engine Res. 2016, 18, 467–489. [Google Scholar] [CrossRef]
- Piock, W.; Hoffmann, G.; Berndorfer, A.; Salemi, P.; Fusshoeller, B. Strategies towards Meeting Future Particulate Matter Emission Requirements in Homogeneous Gasoline Direct Injection Engines. SAE Int. J. Engines 2011, 4, 1455–1468. [Google Scholar] [CrossRef]
- Stone, R. Introduction to Internal Combustion Engines; Macmillan Press Ltd.: London, UK, 1999. [Google Scholar]
- Efthymiou, P.; Davy, M.H.; Garner, C.P.; Hargrave, G.K.; Rimmer, J.E.T.; Richardson, D. Insights into Cold-Start DISI Combustion in an Optical Engine Operating at −7 °C. SAE Int. J. Engines 2013, 6, 1059–1074. [Google Scholar] [CrossRef]
- Hedge, M.; Weber, P.; Gingrich, J.; Alger, T.; Khalek, I.A. Effect of EGR on Particle Emissions from a GDI Engine. SAE Int. J. Engines 2011, 4, 650–666. [Google Scholar] [CrossRef]
- Alger, T.; Gingrich, J.; Khalek, I.A.; Mangold, B. The Role of EGR in PM Emissions from Gasoline Engines. SAE Int. J. Fuels Lubr. 2010, 3, 85–98. [Google Scholar] [CrossRef]
- Leach, F.; Stone, R.; Richardson, D.; Lewis, A.; Akehurst, S.; Turner, J.; Remmert, S.; Campbell, R.; Cracknell, R. Particulate emissions from a highly boosted GDI engine. Int. J. Engine Res. 2017. [Google Scholar] [CrossRef]
- Stępień, Z.; Czerwinski, J.; Comte, P.; Oleksiak, S. Nanoparticle and Non-legislated Gaseous Emissions from a Gasoline Direct-Injection Car with Ethanol Blend Fuels and Detergent Additives. Energy Fuels 2016, 30, 7268–7276. [Google Scholar] [CrossRef]
- Zhu, R.; Hu, J.; Bao, X.; He, L.; Zu, L. Effects of aromatics, olefins and distillation temperatures (T50 & T90) on particle mass and number emissions from gasoline direct injection (GDI) vehicles. Energy Policy 2017, 101, 185–193. [Google Scholar]
- Czerwinski, J.; Comte, P.; Stepien, Z.; Oleksiak, S. Effects of Ethanol Blend Fuels E10 and E85 on the Non-Legislated Emissions of a Flex Fuel Passenger Car; SAE Technical Paper; SAE International: Warrendale, PA, USA, 2016. [Google Scholar]
- Price, P.; Stone, R.; OudeNijeweme, D.; Chen, X. Cold Start Particulate Emissions from a Second Generation DI Gasoline Engine; SAE Technical Paper; SAE International: Warrendale, PA, USA, 2007. [Google Scholar]
- Fu, H.; Wang, Y.; Li, X.; Shuai, S.-J. Impacts of Cold-Start and Gasoline RON on Particulate Emission from Vehicles Powered by GDI and PFI Engines; SAE Technical Paper; SAE International: Warrendale, PA, USA, 2014. [Google Scholar]
- Ramadhas, A.S.; Singh, P.K.; Mathai, R.; Sehgal, A.K. Impact of Ambient Temperature Conditions on Cold Start Combustion, Gaseous and Particle Emissions from Gasoline Engines; SAE Technical Paper; SAE International: Warrendale, PA, USA, 2017. [Google Scholar]
- Mamakos, A.; Martini, G.; Marotta, A.; Manfredi, U. Assessment of different technical options in reducing particle emissions from gasoline direct injection vehicles. J. Aerosol. Sci. 2013, 63, 115–125. [Google Scholar] [CrossRef]
- Mathis, U.; Mohr, M.; Forss, A.-M. Comprehensive particle characterization of modern gasoline and diesel passenger cars at low ambient temperatures. Atmos. Environ. 2005, 39, 107–117. [Google Scholar] [CrossRef]
- Seong, H.; Lee, K.; Choi, S. Effects of Engine Operating Parameters on Morphology of Particulates from a Gasoline Direct Injection (GDI) Engine; SAE Technical Paper; SAE International: Warrendale, PA, USA, 2013. [Google Scholar]
- Lee, K.O.; Cole, R.; Sekar, R.; Choi, M.Y.; Kang, J.S.; Bae, C.S.; Shin, H.D. Morphological investigation of the microstructure, dimensions, and fractal geometry of diesel particulates. Proc. Combust. Inst. 2002, 29, 647–653. [Google Scholar] [CrossRef]
- Lapuerta, M.; Martos, F.J.; Herreros, J.M. Effect of engine operating conditions on the size of primary particles composing diesel soot agglomerates. J. Aerosol. Sci. 2007, 38, 455–466. [Google Scholar] [CrossRef]
- Lee, K.; Seong, H.; Church, W.; McConnell, S. IExamination of Particulate Emissions from Alcohol Blended Fuel Combustion in a GDI Engine. In Proceedings of the 8th International Symposium on Diagnostics and Modeling of Combustion in Internal Combustion Engines (COMODIA), Fukuoka, Japan, 24–28 July 2012. [Google Scholar]
- Lee, K.O.; Seong, H.; Sakai, S.; Hageman, M.; Rothamer, D. Detailed Morphological Properties of Nanoparticles from Gasoline Direct Injection Engine Combustion of Ethanol Blends; SAE Technical Paper; SAE International: Warrendale, PA, USA, 2013. [Google Scholar]
- Hancock, D.; Fraser, N.; Jeremy, M.; Sykes, R.; Blaxill, H. A New 3 Cylinder 1.2l Advanced Downsizing Technology Demonstrator Engine; SAE Technical Paper; SAE International: Warrendale, PA, USA, 2008. [Google Scholar]
- Martin, S.; Beidl, C.; Mueller, R. Responsiveness of a 30 Bar BMEP 3-Cylinder Engine: Opportunities and Limits of Turbocharged Downsizing; SAE Technical Paper; SAE International: Warrendale, PA, USA, 2014. [Google Scholar]
- Friedfeldt, R.; Zenner, T.; Ernst, R.; Fraser, A. Three-Cylinder Gasoline Engine with Direct Injection. Auto Tech. Rev. 2013, 2, 32–37. [Google Scholar] [CrossRef]
- Li, T.; Yin, T.; Wang, B. Anatomy of the cooled EGR effects on soot emission reduction in boosted spark-ignited direct-injection engines. Appl. Energy 2017, 190, 43–56. [Google Scholar] [CrossRef]
- Leach, F.C.P.; Stone, R.; Richardson, D.; Turner, J.W.G.; Lewis, A.; Akehurst, S.; Remmert, S.; Campbell, S.; Cracknell, R. The effect of oxygenate fuels on PN emissions from a highly boosted GDI engine. Fuel 2018, 225, 277–286. [Google Scholar] [CrossRef]
- Di Iorio, S.; Catapano, F.; Sementa, P.; Vaglieco, B.M.; Florio, S.; Rebesco, E.; Terna, D. Effect of Octane Number Obtained with Different Oxygenated Components on the Engine Performance and Emissions of a Small GDI Engine; SAE Technical Paper; SAE International: Warrendale, PA, USA, 2014. [Google Scholar]
- Yinhui, W.; Rong, Z.; Yanhong, Q.; Jianfei, P.; Mengren, L.; Jianrong, L.; Yusheng, W.; Min, H.; Shijin, S. The impact of fuel compositions on the particulate emissions of direct injection gasoline engine. Fuel 2016, 166, 543–552. [Google Scholar] [CrossRef]
- Barrientos, E.J.; Anderson, J.E.; Maricq, M.M.; Boehman, A.L. Particulate matter indices using fuel smoke point for vehicle emissions with gasoline, ethanol blends, and butanol blends. Combust. Flame 2016, 167, 308–319. [Google Scholar] [CrossRef]
- Oh, C.; Cha, G. Influence of oxygenate content on particulate matter emission in gasoline direct injection engine. Int. J. Automot. Technol. 2013, 14, 829–836. [Google Scholar] [CrossRef]
- Aikawa, K.; Sakurai, T.; Jetter, J.J. Development of a Predictive Model for Gasoline Vehicle Particulate Matter Emissions. SAE Int. J. Fuels Lubr. 2010, 3, 610–622. [Google Scholar] [CrossRef]
- Leach, F.; Stone, R.; Richardson, D. The Influence of Fuel Properties on Particulate Number Emissions from a Direct Injection Spark Ignition Engine; SAE Technical Paper; SAE International: Warrendale, PA, USA, 2013. [Google Scholar]
- Aikawa, K.; Jetter, J.J. Impact of gasoline composition on particulate matter emissions from a direct-injection gasoline engine: Applicability of the particulate matter index. Int. J. Engine Res. 2013, 15, 298–306. [Google Scholar] [CrossRef]
- Graham, J.H.; Dixon, R.; Gregory, K. Predicting the Thermal State of Generators On-Board UAVs; SAE Technical Paper; SAE International: Warrendale, PA, USA, 2013. [Google Scholar]
- Sobotowski, R.A.; Butler, A.D.; Guerra, Z. A Pilot Study of Fuel Impacts on PM Emissions from Light-Duty Gasoline Vehicles. SAE Int. J. Fuels Lubr. 2015, 8, 214–233. [Google Scholar] [CrossRef]
- Karavalakis, G.; Short, D.; Vu, D.; Russell, R.; Hajbabaei, M.; Asa-Awuku, A.; Durbin, T.D. Evaluating the Effects of Aromatics Content in Gasoline on Gaseous and Particulate Matter Emissions from SI-PFI and SIDI Vehicles. Environ. Sci. Technol. 2015, 49, 7021–7031. [Google Scholar] [CrossRef] [PubMed]
- Leach, F.; Stone, R.; Fennell, D.; Hayden, D.; Richardson, D.; Wicks, N. Predicting the particulate matter emissions from spray-guided gasoline direct-injection spark ignition engines. Proc. Inst. Mech. Eng. Part D J. Automob. Eng. 2016, 231, 717–730. [Google Scholar] [CrossRef]
- Chapman, E.; Winston-Galant, M.; Geng, P.; Latigo, R.; Boehman, A. Alternative Fuel Property Correlations to the Honda Particulate Matter Index (PMI); SAE Technical Paper 2016-01-2250; 2016. [Google Scholar]
- Chen, L.; Zhang, Z.; Gong, W.; Liang, Z. Quantifying the effects of fuel compositions on GDI-derived particle emissions using the optimal mixture design of experiments. Fuel 2015, 154, 252–260. [Google Scholar] [CrossRef]
- Kim, Y.; Kim, Y.; Kang, J.; Jun, S.; Rew, S.; Lee, D.; Park, S. Fuel Effect on Particle Emissions of a Direct Injection Engine; SAE Technical Paper; SAE International: Warrendale, PA, USA, 2013. [Google Scholar]
- Chen, L.; Stone, R. Measurement of Enthalpies of Vaporization of Isooctane and Ethanol Blends and Their Effects on PM Emissions from a GDI Engine. Energy Fuels 2011, 25, 1254–1259. [Google Scholar] [CrossRef]
- Wittmann, J.-H.; Menger, L. Novel Index for Evaluation of Particle Formation Tendencies of Fuels with Different Chemical Compositions. SAE Int. J. Fuels Lubr. 2017, 10. [Google Scholar] [CrossRef]
- Karavalakis, G.; Durbin, T.D.; Yang, J.; Ventura, L.; Xu, K. Fuel Effects on PM Emissions from Different Vehicle/Engine Configurations: A Literature Review; SAE Technical Paper; SAE International: Warrendale, PA, USA, 2018. [Google Scholar]
- Shi, Y.; Cortes-Morales, A.; Taylor, B. Study of Gasoline Particulate Matter Index with Refinery Blends; SAE Technical Paper; SAE International: Warrendale, PA, USA, 2018. [Google Scholar]
- Concawe Environmental Science for the European Refining Industry. Available online: https://circabc.europa.eu/webdav/CircaBC/GROW/wltp/Library/RDE-LDV/RDE%204/Meeting%20RDE4%204-5%20May%202017/Concawe%20presentation%20for%20RDE-LDV%20WG.pdf (accessed on 5 May 2017).
- Leach, F. A Review of the Requirements for Injection Systems and the Effects of Fuel Quality on Particulate Emissions from GDI Engines; SAE Technical Paper; SAE International: Warrendale, PA, USA, 2018. [Google Scholar]
- Liu, H.; Ma, X.; Li, B.; Chen, L.; Wang, Z.; Wang, J. Combustion and emission characteristics of a direct injection diesel engine fueled with biodiesel and PODE/biodiesel fuel blends. Fuel 2017, 209, 62–68. [Google Scholar] [CrossRef]
- Automotive Fuels—Unleaded Petrol—Requirements and Test Methods. Available online: https://infostore.saiglobal.com/preview/is/en/2012/i.s.en228-2012.pdf?sku=1600459 (accessed on 12 May 2016).
- 42 U.S.Code §7546-Renewable fuel. Available online: https://www.law.cornell.edu/uscode/text/42/7546 (accessed on 12 May 2016).
- Wang, X.; Ge, Y.; Liu, L.; Peng, Z.; Hao, L.; Yin, H.; Ding, Y.; Wang, J. Evaluation on toxic reduction and fuel economy of a gasoline direct injection-(GDI-)powered passenger car fueled with methanol–gasoline blends with various substitution ratios. Appl. Energy 2015, 157, 134–143. [Google Scholar] [CrossRef]
- Maricq, M.M.; Szente, J.J.; Jahr, K. The Impact of Ethanol Fuel Blends on PM Emissions from a Light-Duty GDI Vehicle. Aerosol. Sci. Technol. 2012, 46, 576–583. [Google Scholar] [CrossRef]
- Zhang, Z.; Wang, T.; Jia, M.; Wei, Q.; Meng, X.; Shu, G. Combustion and particle number emissions of a direct injection spark ignition engine operating on ethanol/gasoline and n-butanol/gasoline blends with exhaust gas recirculation. Fuel 2014, 130, 177–188. [Google Scholar] [CrossRef]
- Turner, J.W.; Lewis, A.G.; Akehurst, S.; Brace, C.J.; Verhelst, S.; Vancoillie, J.; Sileghem, L.; Leach, F.; Edwards, P.P. Alcohol fuels for spark-ignition engines: Performance, efficiency and emission effects at mid to high blend rates for binary mixtures and pure components. Proc. Inst. Mech. Eng. Part D J. Automob. Eng. 2018, 232, 36–56. [Google Scholar] [CrossRef]
- Leach, F.; Stone, R.; Davy, M.; Richardson, D. Richardson, Comparing the effect of different oxygenate components on PN emissions from GDI engines. In Internal Combustion Engines; Royal College of Physicians: London, UK, 2015. [Google Scholar]
- Mulawa, P.A.; Cadle, S.H.; Knapp, K.; Zweidinger, R.; Snow, R.; Lucas, R.; Goldbach, J. Effect of Ambient Temperature and E-10 Fuel on Primary Exhaust Particulate Matter Emissions from Light-Duty Vehicles. Environ. Sci. Technol. 1997, 31, 1302–1307. [Google Scholar] [CrossRef]
- Storey, J.; Barone, T.; Norman, K.; Lewis, S. Ethanol Blend Effects on Direct Injection Spark-Ignition Gasoline Vehicle Particulate Matter Emissions. SAE Int. J. Fuels Lubr. 2010, 3, 650–659. [Google Scholar] [CrossRef]
- Catapano, F.; Di Iorio, S.; Lazzaro, M.; Sementa, P.; Vaglieco, B.M. Characterization of Ethanol Blends Combustion Processes and Soot Formation in a GDI Optical Engine; SAE Technical Paper; SAE International: Warrendale, PA, USA, 2013. [Google Scholar]
- Chen, L.; Braisher, M.; Crossley, A.; Stone, R.; Richardson, D. The Influence of Ethanol Blends on Particulate Matter Emissions from Gasoline Direct Injection Engines; SAE Technical Paper; SAE International: Warrendale, PA, USA, 2010. [Google Scholar]
- Burke, S.C.; Ratcliff, M.; McCormick, R.; Rhoads, R.; Windom, B. Distillation-based Droplet Modeling of Non-Ideal Oxygenated Gasoline Blends: Investigating the Role of Droplet Evaporation on PM Emissions. SAE Int. J. Fuels Lubr. 2017, 10, 69–81. [Google Scholar] [CrossRef]
- Sarathy, S.M.; Oßwald, P.; Hansen, N.; Kohse-Höinghaus, K. Alcohol combustion chemistry. Prog. Energy Combust. Sci. 2014, 44, 40–102. [Google Scholar] [CrossRef]
- Chen, R.; Nishida, K. Spray evaporation of ethanol–gasoline-like blend and combustion of ethanol–gasoline blend injected by hole-type nozzle for direct-injection spark ignition engines. Fuel 2014, 134, 263–273. [Google Scholar] [CrossRef]
- Rodríguez-Antón, L.M.; Gutiérrez-Martín, F.; Martinez-Arevalo, C. Experimental determination of some physical properties of gasoline, ethanol and ETBE ternary blends. Fuel 2015, 156, 81–86. [Google Scholar] [CrossRef]
- Luo, Y.Q.; Zhu, L.; Fang, J.H.; Zhuang, Z.Y.; Guan, C.; Xia, C.; Xie, X.M.; Huang, Z. Size distribution, chemical composition and oxidation reactivity of particulate matter from gasoline direct injection (GDI) engine fueled with ethanol-gasoline fuel. Appl. Therm. Eng. 2015, 89, 647–655. [Google Scholar] [CrossRef]
- Geng, P.; Zhang, H.; Yang, S. Experimental investigation on the combustion and particulate matter (PM) emissions from a port-fuel injection (PFI) gasoline engine fueled with methanol–ultralow sulfur gasoline blends. Fuel 2015, 145, 221–227. [Google Scholar] [CrossRef]
- Mohd Murad, S.H.; Camm, J.; Stone, C.R.; Davy, M.H.; Richardson, D. Spray Behaviour and Particulate Matter Emissions with M15 Methanol/Gasoline Blends in a GDI Engine; SAE Technical Paper; SAE International: Warrendale, PA, USA, 2016. [Google Scholar]
- Liang, B.; Ge, Y.; Tan, J.; Han, X.; Gao, L.; Hao, L.; Ye, W.; Dai, P. Comparison of PM emissions from a gasoline direct injected (GDI) vehicle and a port fuel injected (PFI) vehicle measured by electrical low pressure impactor (ELPI) with two fuels: Gasoline and M15 methanol gasoline. J. Aerosol. Sci. 2013, 57, 22–31. [Google Scholar] [CrossRef]
- Turner, J.; Pearson, R.; Purvis, R.; Dekker, E. GEM Ternary Blends: Removing the Biomass Limit by using Iso-Stoichiometric Mixtures of Gasoline, Ethanol and Methanol; SAE Technical Paper 2011-24-0113; 2011. [Google Scholar]
- Pearson, R.; Turner, J.; Bell, A.; de Goede, S.; Woolard, C.; Davy, M. Iso-Stoichiometric Fuel Blends: Characterization of Physico-Chemical Properties for Mixtures of Gasoline, Ethanol, Methanol, and Water. Proc. Inst. Mech. Eng. Part D J. Automob. Eng. 2014, 229, 111–139. [Google Scholar] [CrossRef]
- Sileghem, L.; Coppens, A.; Casier, B.; Vancoillie, J.; Verhelst, S. Performance and emissions of iso-stoichiometric ternary GEM blends on a production SI engine. Fuel 2014, 117, 286–293. [Google Scholar] [CrossRef]
- Turner, J.W.G.; Pearson, R.J.; Dekker, E.; Iosefa, B.; Johansson, K.; Ac Bergström, K. Extending the role of alcohols as transport fuels using iso-stoichiometric ternary blends of gasoline, ethanol and methanol. Appl. Energy 2013, 102, 72–86. [Google Scholar] [CrossRef]
- Jin, C.; Yao, M.; Liu, H.; Chia-fon, F.L.; Ji, J. Progress in the production and application of n-butanol as a biofuel. Renew. Sustain. Energy Rev. 2011, 15, 4080–4106. [Google Scholar] [CrossRef]
- Tao, L.; Tan, E.C.D.; McCormick, R.; Zhang, M.; Aden, A.; He, X.; Zigler, B.T. Techno-economic analysis and life-cycle assessment of cellulosic isobutanol and comparison with cellulosic ethanol and n-butanol. Biofuels Bioprod. Biorefin. 2014, 8, 30–48. [Google Scholar] [CrossRef]
© 2018 by the authors. Licensee MDPI, Basel, Switzerland. This article is an open access article distributed under the terms and conditions of the Creative Commons Attribution (CC BY) license (http://creativecommons.org/licenses/by/4.0/).










