The Influences of Various Testing Conditions on the Evaluation of Household Biomass Pellet Fuel Combustion
Abstract
1. Introduction
2. Materials and Methods
2.1. Biomass Fuel
2.2. Stove and Pot
2.3. Emission Measurement System
2.4. Testing Conditions Set Up
2.5. Emission Indicators
2.6. Quality Control
- = carbon mass in the fuel, g;
- = carbon mass in the ash, g;
- = carbon mass in the CO2, g;
- = carbon mass in the CO, g;
- = carbon mass in the CH4, g;
- = carbon mass in the total non-methane hydrocarbon, g;
- = carbon mass in the TSP, g.
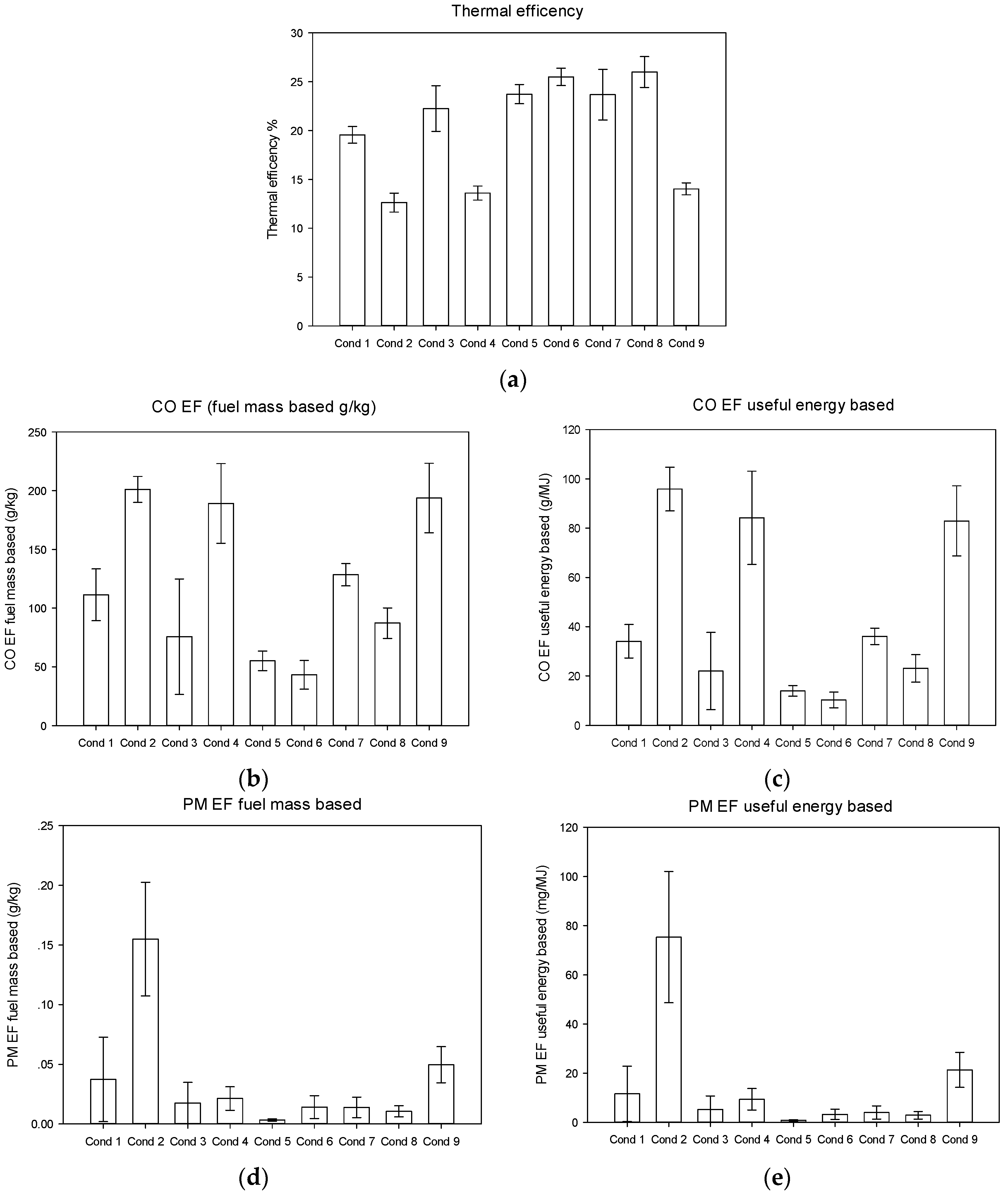
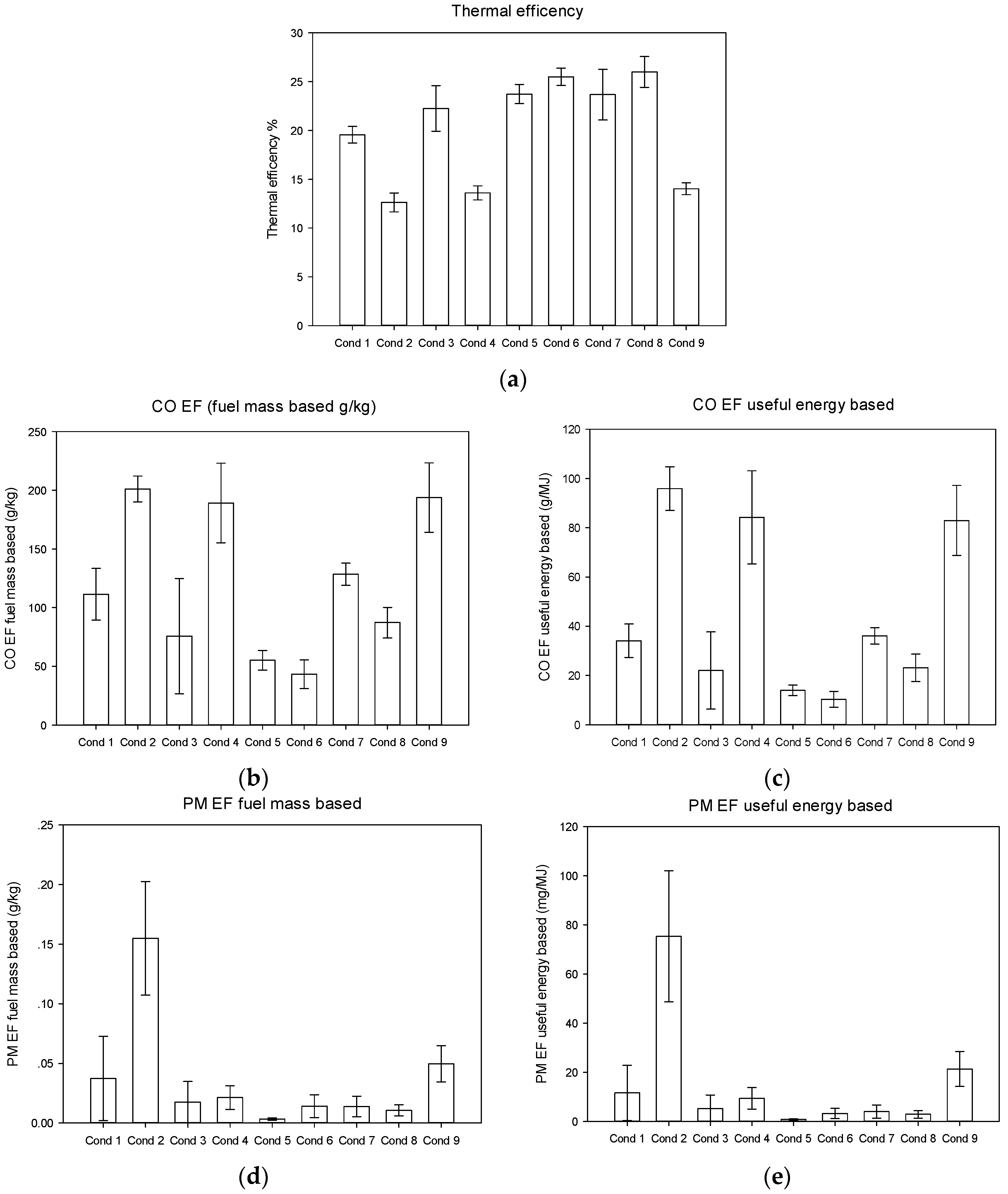
3. Results
4. Conclusions
Supplementary Materials
Author Contributions
Acknowledgments
Conflicts of Interest
References
- Anenberg, S.C.; Balakrishnan, K.; Jetter, J.; Masera, O.; Mehta, S.; Moss, J.; Ramanathan, V. Cleaner cooking solutions to achieve health, climate, and economic cobenefits. Environ. Sci. Technol. 2013, 47, 3944–3952. [Google Scholar] [CrossRef] [PubMed]
- Cordes, L. Igniting Change: A Strategy for Universal Adoption of Clean Cookstoves and Fuels; Global Alliance for Clean Cookstoves (GACC): Washington, DC, USA, 2011. [Google Scholar]
- Venkataraman, C.; Sagar, A.; Habib, G.; Lam, N.; Smith, K. The Indian national initiative for advanced biomass cookstoves: The benefits of clean combustion. Energy Sustain. Dev. 2010, 14, 63–72. [Google Scholar] [CrossRef]
- Ministry of Agriculture. Test Performance Method of Domestic Biofuel Cooking Stove (NY/T 2370-2013); Ministry of Agriculture: Beijing, China, 2013.
- Global Alliance for Clean Cookstoves. The Water Boiling Test (WBT V4.2.3); Global Alliance for Clean Cookstoves: Washington, DC, USA, 2014. [Google Scholar]
- Bureau of Indian Standards. Indian Standard on Portable Solid Biomass Chulha (BIS 13152 (Part 1): 2013); Bureau of Indian Standards: New Delhi, India, 2013.
- Lombardi, F.; Riva, F.; Bonamini, G.; Barbieri, J.; Colombo, E. Laboratory protocols for testing of Improved Cooking Stoves (ICSs): A review of state-of-the-art and further developments. Biomass Bioenergy 2017, 98, 321–335. [Google Scholar] [CrossRef]
- MacCarty, N.; Still, D.; Ogle, D. Fuel use and emissions performance of fifty cooking stoves in the laboratory and related benchmarks of performance. Energy Sustain. Dev. 2010, 14, 161–171. [Google Scholar] [CrossRef]
- Jetter, J.J.; Kariher, P. Solid-fuel household cook stoves: Characterization of performance and emissions. Biomass Bioenergy 2009, 33, 294–305. [Google Scholar] [CrossRef]
- Zhang, Z.; Zhang, Y.; Zhou, Y.; Ahmad, R.; Pemberton-Pigott, C.; Annegarn, H.; Dong, R. Systematic and conceptual errors in standards and protocols for thermal performance of biomass stoves. Renew. Sustain. Energy Rev. 2016, 72, 1343–1354. [Google Scholar] [CrossRef]
- Zhang, Y.; Pernberton-Piqott, C.; Zhang, Z.; Ding, H.; Zhou, Y.; Dong, R. Key differences of performance test protocols for household biomass cookstoves. In Proceedings of the 2014 Twenty-Second Domestic Use of Energy (DUE), Cape Town, South Africa, 1–2 April 2014. [Google Scholar]
- Ding, H.Y.; Liu, J.X.; Zhang, Y.X.; Dong, R.J.; Pang, C.L. Key factors of thermal efficiency test protocols for household biomass cookstoves. Adv. Mater. Res. 2013, 724–725, 268–273. [Google Scholar] [CrossRef]
- Arora, P.; Das, P.; Jain, S.; Kishore, V.V.N. A laboratory based comparative study of Indian biomass cookstove testing protocol and Water Boiling Test. Energy Sustain. Dev. 2014, 21, 81–88. [Google Scholar] [CrossRef]
- Chen, Y.; Shen, G.; Su, S.; Du, W.; Huangfu, Y.; Liu, G.; Wang, X.; Xing, B.; Smith, K.R.; Tao, S. Efficiencies and pollutant emissions from forced-draft biomass-pellet semi-gasifier stoves: Comparison of International and Chinese water boiling test protocols. Energy Sustain. Dev. 2016, 32, 22–30. [Google Scholar] [CrossRef]
- Raman, P.; Murali, J.; Sakthivadivel, D.; Vigneswaran, V. Performance evaluation of three types of forced draft cook stoves using fuel wood and coconut shell. Biomass Bioenergy 2013, 49, 333–340. [Google Scholar] [CrossRef]
- Carter, E.M.; Shan, M.; Yang, X.; Li, J.; Baumgartner, J. Pollutant emissions and energy efficiency of Chinese gasifier cooking stoves and implications for future intervention studies. Environ. Sci. Technol. 2014, 48, 6461–6467. [Google Scholar] [CrossRef] [PubMed]
- Ministry of Agriculture. General Technical Specification of Domestic Biofuel Cooking Stove (NY/T 2369-2013); Ministry of Agriculture: Beijing, China, 2013.
- South Africa University of Johannesburg. The Heterogeneous Testing Procedure for Thermal Performance and Trace Gas Emissions (HTP); South Africa University of Johannesburg: Johannesburg, South Africa, 2012. [Google Scholar]
- Birzer, C.; Medwell, P.; Wilkey, J.; West, T.; Higgins, M.; MacFarlane, G.; Read, M. An analysis of combustion from a top-lit up-draft (TLUD) cookstove. J. Hum. Eng. 2013, 2, 1–7. [Google Scholar]
- Hou, S.-S.; Ko, Y.-C. Effects of heating height on flame appearance, temperature field and efficiency of an impinging laminar jet flame used in domestic gas stoves. Energy Convers. Manag. 2004, 45, 1583–1595. [Google Scholar] [CrossRef]
- Srinivasarao, R.; Krishna, K.M. Automatic control of soot and unburnt hydro carbons from flares in oil and gas industry. In Proceedings of the 2014 International Conference and Utility Exhibition on Green Energy for Sustainable Development (ICUE), Pattaya City, Thailand, 19–21 March 2014; pp. 1–5. [Google Scholar]
- Nussbaumer, T.; Doberer, A.; Klippel, N.; Bühler, R.; Vock, W. Influence of ignition and operation type on particle emissions from residential wood combustion. In Proceedings of the 16th European Biomass Conference and Exhibition, Valencia, Austria, 2–6 June 2008; pp. 2–6. [Google Scholar]
- Zhang, J.; Smith, K.; Ma, Y.; Ye, S.; Jiang, F.; Qi, W.; Liu, P.; Khalil, M.; Rasmussen, R.; Thorneloe, S. Greenhouse gases and other airborne pollutants from household stoves in China: A database for emission factors. Atmos. Environ. 2000, 34, 4537–4549. [Google Scholar] [CrossRef]
- Nussbaumer, T. Combustion and co-combustion of biomass: Fundamentals, technologies, and primary measures for emission reduction. Energy Fuel 2003, 17, 1510–1521. [Google Scholar] [CrossRef]
- Obeng, G.Y.; Mensah, E.; Ashiagbor, G.; Boahen, O.; Sweeney, D. Watching the Smoke Rise Up: Thermal Efficiency, Pollutant Emissions and Global Warming Impact of Three Biomass Cookstoves in Ghana. Energies 2017, 10, 641. [Google Scholar] [CrossRef]
- Kandpal, J.B.; Maheshwari, R.C.; Kandpal, T.C. Release of air pollutants in indoor air: Comparison of traditional and metallic cookstoves. Renew. Energy 1994, 4, 833–837. [Google Scholar] [CrossRef]
- Patel, S.; Leavey, A.; He, S.; Fang, J.; O’Malley, K.; Biswas, P. Characterization of gaseous and particulate pollutants from gasification-based improved cookstoves. Energy Sustain. Dev. 2016, 32, 130–139. [Google Scholar] [CrossRef]
- Roy, M.M.; Dutta, A.; Corscadden, K. An experimental study of combustion and emissions of biomass pellets in a prototype pellet furnace. Appl. Energy 2013, 108, 298–307. [Google Scholar] [CrossRef]
- Shen, G.; Yang, Y.; Wang, W.; Tao, S.; Zhu, C.; Min, Y.; Xue, M.; Ding, J.; Wang, B.; Wang, R. Emission factors of particulate matter and elemental carbon for crop residues and coals burned in typical household stoves in China. Environ. Sci. Technol. 2010, 44, 7157–7162. [Google Scholar] [CrossRef] [PubMed]
- Sevault, A.; Khalil, R.A.; Enger, B.C.; Skreiberg, O.; Goile, F.; Wang, L.; Seljeskog, M.; Kempegowda, R. Performance Evaluation of a Modern Wood Stove Using Charcoal. Energy Procedia 2017, 142, 192–197. [Google Scholar] [CrossRef]
- Venkataraman, C.; Rao, G.U.M. Emission factors of carbon monoxide and size-resolved aerosols from biofuel combustion. Environ. Sci. Technol. 2001, 35, 2100–2107. [Google Scholar] [CrossRef] [PubMed]
- Kang, S.; Sim, B.; Kim, J. Volume and Mass Measurement of a Burning Wood Pellet by Image Processing. Energies 2017, 10, 603. [Google Scholar] [CrossRef]
- Bäfver, L.S.; Leckner, B.; Tullin, C.; Berntsen, M. Particle emissions from pellets stoves and modern and old-type wood stoves. Biomass Bioenergy 2011, 35, 3648–3655. [Google Scholar] [CrossRef]
- Shen, G.; Tao, S.; Wei, S.; Zhang, Y.; Wang, R.; Wang, B.; Li, W.; Shen, H.; Huang, Y.; Chen, Y. Reductions in emissions of carbonaceous particulate matter and polycyclic aromatic hydrocarbons from combustion of biomass pellets in comparison with raw fuel burning. Environ. Sci. Technol. 2012, 46, 6409–6416. [Google Scholar] [CrossRef] [PubMed]
- Boman, C.; Pettersson, E.R.; Westerholm, R.; Boström, D.; Nordin, A. Stove performance and emission characteristics in residential wood log and pellet combustion, part 1: Pellet stoves. Energy Fuel 2011, 25, 307–314. [Google Scholar] [CrossRef]
- Deng, L.; Torres, R.D.; Burford, M.; Whitlow, H.T.; Lehmann, J.; Fisher, M.E. Fuel sensitivity of biomass cookstove performance. Appl. Energy 2018, 215, 13–20. [Google Scholar] [CrossRef]
- Miljevic, B.; Heringa, M.; Keller, A.; Meyer, N.; Good, J.; Lauber, A.; Decarlo, P.; Fairfull-Smith, K.; Nussbaumer, T.; Burtscher, H. Oxidative potential of logwood and pellet burning particles assessed by a novel profluorescent nitroxide probe. Environ. Sci. Technol. 2010, 44, 6601–6607. [Google Scholar] [CrossRef] [PubMed]




| Ultimate Analysis (Dry Base) | % | Proximate Analysis (Wet Base) | % |
|---|---|---|---|
| Carbon | 46.70 | Ash | 2.43 |
| Hydrogen | 6.70 | Volatile matter | 74.22 |
| Nitrogen | 1.31 | Fixed carbon | 16.97 |
| Sulfur | 0.20 | Moisture | 6.38 |
| Fixed Factors | ||||
| Stove | Pot Size | Water Mass | Fuel | Lid Operation |
| Biomass semi-gasified cookstove with forced second air | 26 cm | 7 kg | Biomass pellet fuel, normally φ 0.8 cm × 3 cm | Lid on, if the test reaching boiling point, remove the lid for boiling |
| Variables | ||||
| Factors | A Fuel Masses | B Chamber Heights | C Air Conditions | D Operations (Ending Points) |
| Level 1 | 1 kg | 39 cm | With force draft secondary air | Do not change the pot, ends when it reaches 5 °C below the boiling point |
| Level 2 | 2 kg | 36 cm | With nature draft secondary air | Change the pot when it reaches 80 °C, ends when the heating rate is below 2 °C/min |
| Level 3 | 1.5 kg | 33 cm | - | Change the pot when it reaches the 5 °C below the boiling point, ends when the heating rate is below 2 °C/min |
| No. | Conditions A/B/C/D | Thermal Efficiency % | CO EF (Fuel Mass-Based) g/kg | CO EF (Useful Energy-Based) g/MJ | PM EF (Fuel Mass-Based) g/kg | PM EF (Useful Energy-Based) mg/MJ |
|---|---|---|---|---|---|---|
| 1 | 1/1/1/1 | 19.6 | 111.3 | 34.1 | 0.037 | 11.6 |
| 2 | 1/2/2/2 | 12.6 | 201.1 | 95.9 | 0.155 | 75.3 |
| 3 | 1/3/3/3 | 22.3 | 75.6 | 22.0 | 0.018 | 5.3 |
| 4 | 2/1/2/3 | 13.6 | 189.2 | 84.2 | 0.021 | 9.4 |
| 5 | 2/2/3/1 | 23.7 | 55.1 | 13.9 | 0.003 | 0.8 |
| 6 | 2/3/1/2 | 25.5 | 43.1 | 10.2 | 0.014 | 3.2 |
| 7 | 3/1/3/2 | 23.7 | 128.5 | 36.0 | 0.014 | 4.0 |
| 8 | 3/2/1/3 | 26.0 | 87.2 | 23.0 | 0.011 | 2.9 |
| 9 | 3/3/2/1 | 14.0 | 193.8 | 82.9 | 0.050 | 21.3 |
| Source | Thermal Efficiency | CO EF (Fuel Mass-Based) | CO EF (Useful Energy-Based) | PM EF (Fuel Mass-Based) | PM EF (Useful Energy-Based) |
|---|---|---|---|---|---|
| A Fuel mass | 0.007 | 0.020 | 0.058 | 0.001 | 0.001 |
| B Chamber heights | 0.018 | 0.032 | 0.112 | 0.036 | 0.010 |
| C Air condition | 0.000 | 0.000 | 0.000 | 0.000 | 0.000 |
| D Operation | 0.620 | 0.885 | 0.734 | 0.006 | 0.004 |
© 2018 by the authors. Licensee MDPI, Basel, Switzerland. This article is an open access article distributed under the terms and conditions of the Creative Commons Attribution (CC BY) license (http://creativecommons.org/licenses/by/4.0/).
Share and Cite
Zhang, Y.; Zhang, Z.; Zhou, Y.; Dong, R. The Influences of Various Testing Conditions on the Evaluation of Household Biomass Pellet Fuel Combustion. Energies 2018, 11, 1131. https://doi.org/10.3390/en11051131
Zhang Y, Zhang Z, Zhou Y, Dong R. The Influences of Various Testing Conditions on the Evaluation of Household Biomass Pellet Fuel Combustion. Energies. 2018; 11(5):1131. https://doi.org/10.3390/en11051131
Chicago/Turabian StyleZhang, Yixiang, Zongxi Zhang, Yuguang Zhou, and Renjie Dong. 2018. "The Influences of Various Testing Conditions on the Evaluation of Household Biomass Pellet Fuel Combustion" Energies 11, no. 5: 1131. https://doi.org/10.3390/en11051131
APA StyleZhang, Y., Zhang, Z., Zhou, Y., & Dong, R. (2018). The Influences of Various Testing Conditions on the Evaluation of Household Biomass Pellet Fuel Combustion. Energies, 11(5), 1131. https://doi.org/10.3390/en11051131
