Analysis of Overlying Strata Movement and Behaviors in Caving and Solid Backfilling Mixed Coal Mining
Abstract
:1. Introduction
2. Study Area Description
3. Mixed Mining Technology
4. Strata Behaviors in a Mixed Mining Longwall Face
4.1. Length Ratio Effect Analysis
4.1.1. Features of the Overlying Strata’s Fracture Development
4.1.2. Main Roof Subsidence
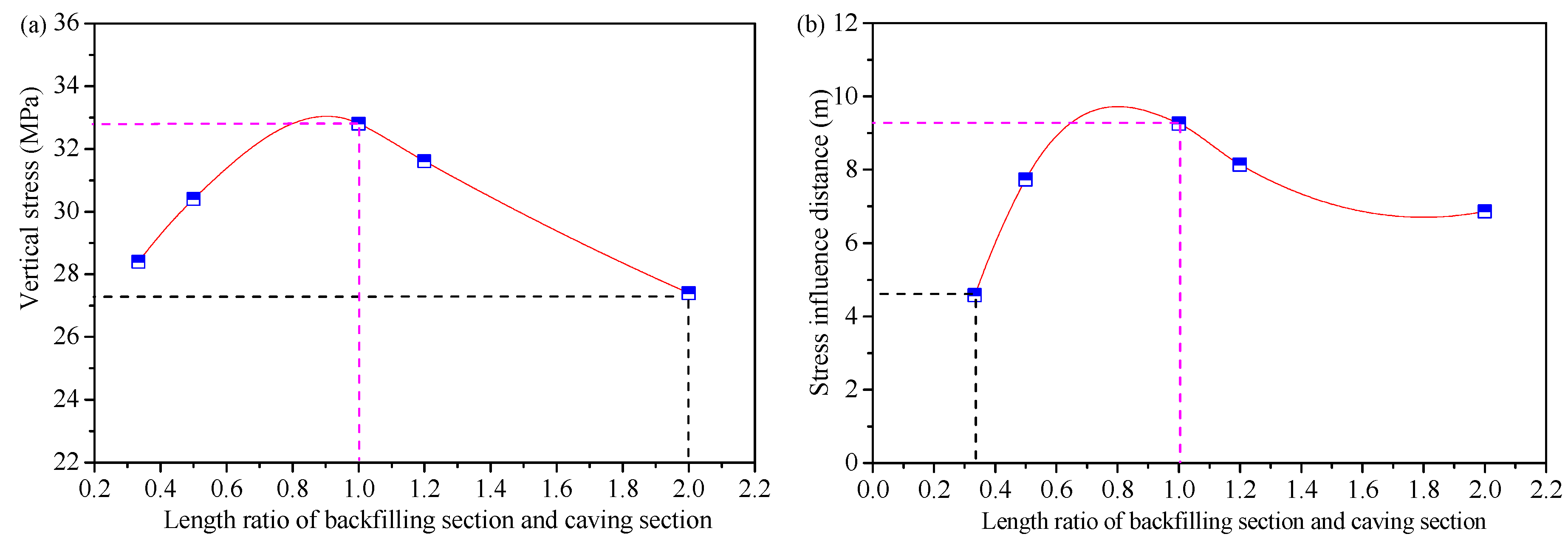
4.1.3. Stress and Influence Area in Transition Section
4.2. Advancing Distance Effect Analysis
4.2.1. Evolution Law of Stress Field of BCMM
4.2.2. Deformation of Entries in Front of the BCMM Coalface
4.2.3. Strata Behavior in the Transition Section
5. Engineering Design and Application
6. Conclusions
- (1)
- This paper introduces the longwall principle and key techniques of the mixed fully-mechanized coal mining method, and compares the different features of the overlying strata’s movement in mining operations using backfilling and caving mixed mining technology and those using conventional single mining technology.
- (2)
- A physical experiment and numerical simulation were carried out to study the overlying strata’s growth features, the goaf-roof displacement, the strain and its influence area in the transition section with the length ratios for the backfilling section and caving section, advancing distance change, and identifies the basic overlying strata’s features in the mixed longwall face.
- (3)
- Based on the physical similar simulation experiment and numerical simulation, key parameters such as the lengths of the backfilling section and the caving section, the model of supports used in the transition section and their supporting effect are set, and the design process of the mixed longwall face is confirmed.
- (4)
- The mixed longwall face mining carried out at Ji15-31010 of Ping-dingshan No. 12 Colliery shows that the average working resistance for supports in the caving section, transition section, and backfilling section in the mixed longwall face is 35.15, 30.60, and 25.25 MPa respectively, and the supports applied are performing well; the maximum growth height of the overlying strata’s fracture in the longwall face is 18 m; the gas drainage efficiency is up to 80% and the average gas concentration is 0.1 g/m3: all parameters meet the requirements for a practical mining operation.
Acknowledgments
Author Contributions
Conflicts of Interest
References
- Yuan, L. Key technique of safe mining in low permeability and methane-rich seam group. Chin. J. Rock. Mech. Eng. 2008, 27, 1371–1378. [Google Scholar]
- Yuan, C.F. Development and application of gas-geology in China. J. China. Coal. Soc. 1997, 22, 566–570. [Google Scholar]
- Cheng, Y.P.; YU, Q.X. Development of regional gas control technology for Chinese coalmines. J. Min. Saf. Eng. 2007, 24, 383–390. [Google Scholar]
- Fu, J.H.; Cheng, Y.P. Situation of coal and gas outburst in China and control countermeasures. J. Min. Saf. Eng. 2007, 24, 253–259. [Google Scholar]
- Liang, Y. Technique of coal mining and gas extraction without coal pillar in multi-seam with low permeability. J. Coal. Sci. Eng. 2009, 15, 120–128. [Google Scholar]
- Lin, B.Q.; Li, H.; Yuan, D.S. Development and application of an efficient gas extraction model for low-rank high-gas coal beds. Int. J. Coal. Sci. Technol. 2015, 2, 76–83. [Google Scholar] [CrossRef]
- Lu, P.; Yuan, L.; Cheng, H. Theory and experimental studies of enhanced gas drainage in the high gas face of low permeability coal multi- seams. J. China. Coal. Soc. 2010, 35, 580–585. [Google Scholar]
- Bian, Z.F.; Miao, X.X.; Lei, S.G. The challenges of reusing mining and mineral-processing wastes. Science 2012, 337, 702–703. [Google Scholar] [CrossRef] [PubMed]
- Miao, X.X.; Zhang, J.X.; Guo, G.L. Study on waste-filling method and technology in fully- mechanized coal mining. J. China. Coal. Soc. 2010, 35, 1–6. [Google Scholar]
- Zhang, J.X. Study on Strata Movement Controlling by Raw Waste Backfilling with Fully-Mechanized Coal Winning Technology and its Engineering Applications; China University of Mining and Technology: Beijing, China, 2008. [Google Scholar]
- Zhang, J.X.; Miao, X.X.; Guo, G.L. Development status of backfilling technology using raw waste in coal mining. J. Min. Saf. Eng. 2009, 26, 395–401. [Google Scholar]
- Zhang, J.X.; Zhang, Q.; Sun, Q. Surface subsidence control theory and application to backfill coal mining technology. Environ. Earth. Sci. 2015, 74, 1438–1448. [Google Scholar] [CrossRef]
- Sun, Q.; Zhang, J.X.; Ju, F. Research and application of schemes for constructing concrete pillars in large section finishing cut in backfill coal mining. Int. J. Min. Sci. Technol. 2015, 25, 915–920. [Google Scholar] [CrossRef]
- Huang, Y.L.; Zhang, J.X.; Zhang, Q. Backfilling technology of substituting waste and fly ash for coal underground. Environ. Eng. Manag. J. 2011, 10, 769–775. [Google Scholar]
- Zhang, J.X.; Zhang, Q.; Huang, Y.L. Strata movement controlling effect of waste and fly ash backfillings in fully mechanized coal mining with backfilling face. Min. Sci. Technol. 2011, 21, 721–726. [Google Scholar] [CrossRef]
- Zhang, J.X.; Zhang, Q.; Spearing, A.J.S.; Miao, X.X.; Guo, S.; Sun, Q. Green coal mining technique integrating mining-dressing-gas draining-backfilling-mining. Int. J. Min. Sci. Technol. 2017, 27, 17–27. [Google Scholar] [CrossRef]
- Yin, W.; Miao, X.X.; Zhang, J.X.; Zhong, S.J. Mechanical analysis of effective pressure relief protection range of upper protective seam mining. Int. J. Min. Sci. Technol. 2017, 27, 537–543. [Google Scholar] [CrossRef]
- Kostecki, T.; Spearing, A.J.S. Influence of backfill on coal pillar strength and floor bearing capacity in weak floor conditions in the Illinois Basin. Int. J. Rock. Mech. Min. 2015, 76, 55–67. [Google Scholar] [CrossRef]
- Sivakugan, N.; Rankine, R.M.; Rankine, K.J. Geotechnical consideration in mine backfilling in Australia. J. Clean. Prod. 2006, 14, 1168–1175. [Google Scholar] [CrossRef]
- Huang, Y.L.; Zhang, J.X.; An, B.F. Overlying strata movement law in fully mechanized coal mining and backfilling longwall face by similar physical simulation. J. Min. Sci. 2011, 47, 618–627. [Google Scholar]
- Booth, C.J. Confined-unconfined changes above longwall coal mining due to increases in fracture porosity. Environ. Eng. Geosci. 2007, 13, 355–367. [Google Scholar] [CrossRef]
- Lai, X.P.; Shan, P.F.; Cao, J.T. Simulation of asymmetric destabilization of mine-void rock masses using a large 3d physical model. Rock. Mech. Rock. Eng. 2015, 49, 487–502. [Google Scholar] [CrossRef]
- Majdi, A.; Hassani, F.P.; Nasiri, M.Y. Prediction of the height of destressed zone above the mined panel roof in longwall coal mining. Int. J. Coal. Geol. 2012, 98, 62–72. [Google Scholar] [CrossRef]
- Sarfarazi, V.; Ghazvinian, A.; Schubert, W. Numerical simulation of the process of fracture of echelon rock joints. Rock. Mech. Rock. Eng. 2014, 47, 1355–1371. [Google Scholar] [CrossRef]















| Item | Parameter | Item | Parameter |
|---|---|---|---|
| Type | two-dimensional | Mining distance | 2.18 m |
| Model length | 2.5 m | Step | 55 |
| Mining height | 2.0 m/3.2 m | Pace | 4 cm |
| Model height | 1.50 m | Time ratio | 1:7 |
| Coal seam | 3.2 cm | Upper load | 0.06 MPa |
| Geometry ratio | 1:100 | Total time | 27.5 h |
| Bulk density ratio | 1:1.67 | Time interval | 0.5 h |
| Stress ratio | 1:167 | Filling ratio | 71.88% |
| No. | Lithologic Character | Actual Thickness/m | Model Thickness/cm | Compressive Strength/MPa | Simulation Strength/KPa |
|---|---|---|---|---|---|
| 1 | Fine Sandstone | 10 | 10 | 32.0 | 369.22 |
| 2 | Mudstone | 10 | 10 | 14.0 | 161.53 |
| 3 | Fine Grained Sandstone | 8 | 8 | 32.0 | 369.22 |
| 4 | Mudstone | 12 | 12 | 14.0 | 161.53 |
| 5 | Coarse Grained Sandstone | 6.0 | 6.0 | 25.0 | 288.45 |
| 6 | Fine Sandstone | 6.0 | 6.0 | 35.0 | 403.83 |
| 7 | Siltstone | 5.0 | 5.0 | 13.0 | 149.99 |
| 8 | Ji14 Coal Seam | 0.5 | 0.5 | 9.0 | 103.84 |
| 9 | Sandy Mudstone | 6.5 | 6.5 | 15.0 | 173.07 |
| 10 | Fine Sandstone | 1.5 | 1.5 | 35.0 | 403.83 |
| 11 | Sandy Mudstone | 4.5 | 4.5 | 14.0 | 161.53 |
| 12 | Ji15 Coal Seam | 3.2 | 3.2 | 9.0 | 103.84 |
| 13 | Mudstone | 0.5 | 0.5 | 16.0 | 184.61 |
| 14 | Fine Sandstone | 4.7 | 4.7 | 32.0 | 369.22 |
| Length ratio of Backfilling Section and Caving Section | Length of Backfilling Section (m) | Length of Caving Section (m) | Peak Stress of Transition Section (MPa) | Stress Concentration Factor | Stress Influence Range (m) |
|---|---|---|---|---|---|
| 2:1 | 145 | 75 | 27.4 | 1.37 | 6.86 |
| 1.2:1 | 120 | 100 | 31.6 | 1.58 | 7.14 |
| 1:1 | 110 | 110 | 32.6 | 1.66 | 9.25 |
| 1/2:1 | 75 | 145 | 32.4 | 1.62 | 8.53 |
| 1/3:1 | 55 | 165 | 28.4 | 1.42 | 4.57 |
| Lithology | Cohesion (MPa) | Bulk Modulus (GPa) | Tensile Strength (MPa) | Shear Modulus (GPa) | Density (kg/m3) | Angle to Internal Friction (deg.) |
|---|---|---|---|---|---|---|
| Mudstone | 0.8 | 0.5 | 1.7 | 0.4 | 1600 | 32 |
| Sandstone | 1.7 | 1.4 | 2.1 | 1.2 | 2550 | 28 |
| Fine Sandstone | 2.5 | 1.33 | 2.1 | 1.0 | 2200 | 30 |
| Siltstone | 0.6 | 0.6 | 2.5 | 0.5 | 2615 | 35 |
| Ji14 Coal | 0.5 | 1.2 | 0.7 | 0.8 | 1400 | 28 |
| Sandy Mudstone | 0.6 | 0.6 | 1.6 | 0.4 | 2550 | 35 |
| Fine Sandstone | 2.5 | 1.33 | 2.1 | 1.0 | 2200 | 30 |
| Sandy Mudstone | 0.6 | 0.6 | 1.6 | 0.4 | 2550 | 35 |
| Ji15 Coal | 0.5 | 0.8 | 0.5 | 0.6 | 1450 | 26 |
| Mudstone | 0.8 | 0.5 | 1.7 | 0.4 | 1600 | 32 |
| Fine Sandstone | 2.5 | 1.33 | 2.1 | 1.0 | 2200 | 30 |
| Limestone | 1.8 | 1.6 | 2.5 | 1.2 | 2615 | 38 |
© 2017 by the authors. Licensee MDPI, Basel, Switzerland. This article is an open access article distributed under the terms and conditions of the Creative Commons Attribution (CC BY) license (http://creativecommons.org/licenses/by/4.0/).
Share and Cite
Huang, Y.; Zhang, J.; Yin, W.; Sun, Q. Analysis of Overlying Strata Movement and Behaviors in Caving and Solid Backfilling Mixed Coal Mining. Energies 2017, 10, 1057. https://doi.org/10.3390/en10071057
Huang Y, Zhang J, Yin W, Sun Q. Analysis of Overlying Strata Movement and Behaviors in Caving and Solid Backfilling Mixed Coal Mining. Energies. 2017; 10(7):1057. https://doi.org/10.3390/en10071057
Chicago/Turabian StyleHuang, Yanli, Jixiong Zhang, Wei Yin, and Qiang Sun. 2017. "Analysis of Overlying Strata Movement and Behaviors in Caving and Solid Backfilling Mixed Coal Mining" Energies 10, no. 7: 1057. https://doi.org/10.3390/en10071057
APA StyleHuang, Y., Zhang, J., Yin, W., & Sun, Q. (2017). Analysis of Overlying Strata Movement and Behaviors in Caving and Solid Backfilling Mixed Coal Mining. Energies, 10(7), 1057. https://doi.org/10.3390/en10071057
