DyslexiaNet: Examining the Viability and Efficacy of Eye Movement-Based Deep Learning for Dyslexia Detection
Highlights
- Horizontal and vertical channel EOG signals were recorded simultaneously from healthy and dyslexic students during a reading task.
- Time–frequency scalogram images were generated from EOG signals to capture dynamic eye movement patterns.
- Scalogram images were classified using AlexNet, ResNet50, MobileNetV2, and the proposed deep learning model, DyslexiaNet.
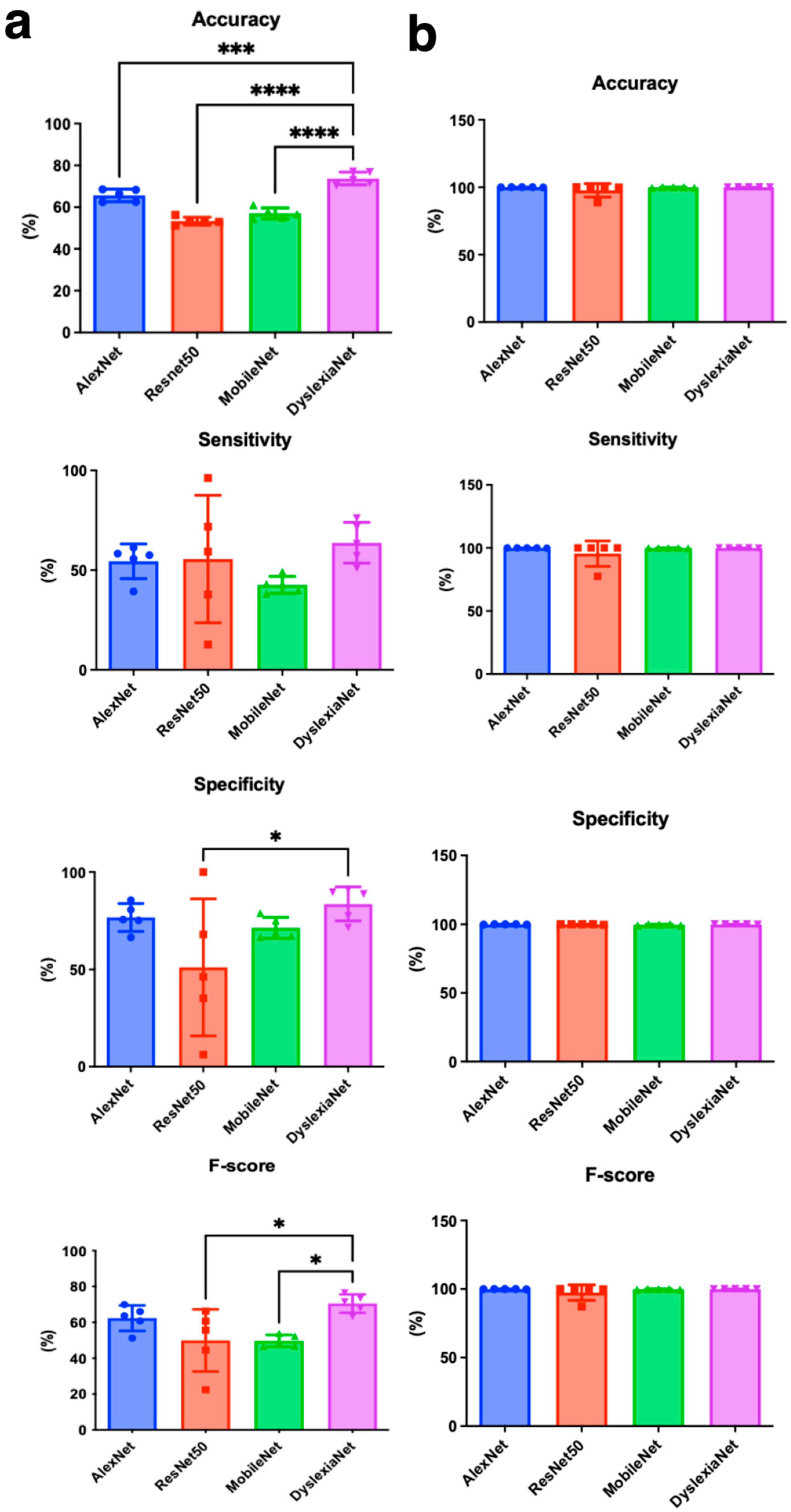
- DyslexiaNet achieved the highest classification accuracy on both horizontal (99.96%) and vertical (73.73%) EOG channels, outperforming all benchmark models.
- Horizontal EOG signals yielded significantly higher classification performance across all models compared to vertical signals.
- DyslexiaNet demonstrated superior computational efficiency, achieving the lowest training time among all tested architectures.
Abstract
1. Introduction
2. Materials and Methods
2.1. Data Acquisition
2.2. Participants
2.3. Experimental Setup
2.4. Reading Time
2.5. Number of Regression
2.6. Number of Blink
2.7. Energy of EOG Signals
2.8. Scalogram Images
2.9. AlexNet
2.10. ResNet50
2.11. MobileNet
2.12. DyslexiaNet
3. Results
3.1. Children with Dyslexia Have a Higher Reading Time
3.2. Children with Dyslexia Tend to Blink More
3.3. The Regression Rate Is Significantly Higher in the Dyslexia Group
3.4. The Energy of EOG Signals Shows an Increase in the Dyslexia Group
3.5. Classification Results
4. Discussion
4.1. Typeface and Reading Performance in Dyslexia
4.2. Blink Behavior and Regression
4.3. EOG Signal Energy and Physiological Markers
4.4. Methodological Considerations and Previous Work
4.5. Deep Learning Approach and Network Performance
4.6. Advantages and Implications
- The proposed method is a non-invasive and objective method using the EOG signals in children with dyslexia to determine the best typeface for them.
- Since more than one typeface and font (28 texts in seven different typefaces and four different font sizes) are used, it provides a more general evaluation. A single typeface will not be sufficient to reach a general conclusion.
- A new deep neural network model was proposed to detect dyslexia using scalogram images of EOG signals recorded while reading tasks in different typefaces and fonts in Turkish-speaking children.
- The proposed method is easy to use and can be applied in real time.
5. Conclusions
6. Limitations and Future Work
Supplementary Materials
Author Contributions
Funding
Institutional Review Board Statement
Informed Consent Statement
Data Availability Statement
Acknowledgments
Conflicts of Interest
References
- Catts, H.W.; Terry, N.P.; Lonigan, C.J.; Compton, D.L.; Wagner, R.K.; Steacy, L.M.; Farquharson, K.; Petscher, Y. Revisiting the definition of dyslexia. Ann. Dyslexia 2024, 74, 282–302. [Google Scholar] [CrossRef]
- McDowell, M. Specific learning disability. J. Paediatr. Child Health 2018, 54, 1077–1083. [Google Scholar] [CrossRef]
- Wajuihian, S.O.; Naidoo, K.S. Dyslexia: An overview. Afr. Vis. Eye Health 2011, 70, 89–98. [Google Scholar] [CrossRef][Green Version]
- Lim, W.W.; Yeo, K.J.; Handayani, L. A systematic review on interventions for children with dyslexia. Int. J. Eval. Res. Educ. 2023, 2252, 1675. [Google Scholar] [CrossRef]
- Miciak, J.; Fletcher, J.M. The Critical Role of Instructional Response for Identifying Dyslexia and Other Learning Disabilities. J. Learn. Disabil. 2020, 53, 343–353. [Google Scholar] [CrossRef]
- Rice, M.; Gilson, C.B. Dyslexia Identification: Tackling Current Issues in Schools. Interv. Sch. Clin. 2023, 58, 205–209. [Google Scholar] [CrossRef]
- Yuzaidey, N.A.M.; Din, N.C.; Ahmad, M.; Ibrahim, N.; Razak, R.A.; Harun, D. Interventions for children with dyslexia: A review on current intervention methods. Med. J. Malays. 2018, 73, 311–320. [Google Scholar]
- Ortiz, A.; Martinez-Murcia, F.J.; Luque, J.L.; Giménez, A.; Morales-Ortega, R.; Ortega, J. Dyslexia Diagnosis by EEG Temporal and Spectral Descriptors: An Anomaly Detection Approach. Int. J. Neural Syst. 2020, 30, 2050029. [Google Scholar] [CrossRef] [PubMed]
- Fletcher, J.M.; Francis, D.J.; Foorman, B.R.; Schatschneider, C. Early Detection of Dyslexia Risk: Development of Brief, Teacher-Administered Screens. Learn. Disabil. Q. 2021, 44, 145–157. [Google Scholar] [CrossRef] [PubMed]
- Tosun, D.; Arikan, S.; Babür, N. Teachers’ Knowledge and Perception about Dyslexia: Developing and Validating a Scale. Int. J. Assess. Tools Educ. 2021, 8, 342–356. [Google Scholar] [CrossRef]
- Chakraborty, S.; Dasgupta, A.; Routray, A. Localization of eye Saccadic signatures in Electrooculograms using sparse representations with data driven dictionaries. Pattern Recognit. Lett. 2020, 139, 104–111. [Google Scholar] [CrossRef]
- Mulam, H.; Mudigonda, M. EOG-based eye movement recognition using GWO-NN optimization. Biomed. Tech. 2020, 65, 11–22. [Google Scholar] [CrossRef]
- Kumar, D.; Sharma, A. Electrooculogram-based virtual reality game control using blink detection and gaze calibration. In Proceedings of the 2016 International Conference on Advances in Computing, Communications and Informatics, ICACCI 2016, Jaipur, India, 21–24 September 2016. [Google Scholar] [CrossRef]
- Fatourechi, M.; Bashashati, A.; Ward, R.K.; Birch, G.E. EMG and EOG artifacts in brain computer interface systems: A survey. Clin. Neurophysiol. 2007, 118, 480–494. [Google Scholar] [CrossRef]
- Usakli, A.B.; Gurkan, S.; Aloise, F.; Vecchiato, G.; Babiloni, F. On the use of electrooculogram for efficient human computer interfaces. Comput. Intell. Neurosci. 2010, 2010, 135629. [Google Scholar] [CrossRef]
- Usakli, A.B.; Gurkan, S. Design of a novel efficient humancomputer interface: An electrooculagram based virtual keyboard. IEEE Trans. Instrum. Meas. 2010, 59, 2099–2108. [Google Scholar] [CrossRef]
- Lee, K.R.; Chang, W.D.; Kim, S.; Im, C.H. Real-time eye-writing recognition using electrooculogram. IEEE Trans. Neural Syst. Rehabil. Eng. 2017, 25, 37–48. [Google Scholar] [CrossRef] [PubMed]
- Latifoǧlu, F.; Esas, M.Y.; Demirci, E. Diagnosis of attention-deficit hyperactivity disorder using EOG signals: A new approach. Biomed. Tech. 2020, 65, 149–164. [Google Scholar] [CrossRef]
- Altıntop, Ç.G.; Latifoğlu, F.; Akın, A.K. Can patients in deep coma hear us? Examination of coma depth using physiological signals. Biomed. Signal Process. Control 2022, 77, 103756. [Google Scholar] [CrossRef]
- Eden, G.F.; Stein, J.F.; Wood, H.M.; Wood, F.B. Differences in eye movements and reading problems in dyslexic and normal children. Vis. Res. 1994, 34, 1345–1358. [Google Scholar] [CrossRef] [PubMed]
- Martos, F.J.; Vila, J. Differences in eye movements control among dyslexic, retarded and normal readers in the Spanish population. Read. Writ. 1990, 2, 175–188. [Google Scholar] [CrossRef]
- Bachmann, C.; Mengheri, L. Dyslexia and fonts: Is a specific font useful? Brain Sci. 2018, 8, 89. [Google Scholar] [CrossRef]
- Rello, L.; Ballesteros, M. Detecting readers with dyslexia using machine learning with eye tracking measures. In Proceedings of the W4A 2015—12th Web for All Conference, Florence, Italy, 18–20 May 2015. [Google Scholar] [CrossRef]
- Rello, L.; Baeza-Yates, R. The effect of font type on screen readability by people with dyslexia. ACM Trans. Access. Comput. 2016, 8, 1–33. [Google Scholar] [CrossRef]
- Felicia, G. December the Science Behind Dyslexia Fonts and Their Effectiveness. 2024. Available online: https://dyslexichelp.org/why-does-dyslexia-font-work/ (accessed on 8 August 2025).
- Kuster, S.M.; van Weerdenburg, M.; Gompel, M.; Bosman, A.M.T. Dyslexie font does not benefit reading in children with or without dyslexia. Ann. Dyslexia 2018, 68, 25–42. [Google Scholar] [CrossRef]
- Aksan, D. Her Yönüyle Dil: Ana Çizgileriyle Dilbilim; Turk Dil Kurumu: Ankara, Türkiye, 1995. [Google Scholar]
- Kargin, T.; Güldenoğlu, B.; Sümer, H.M. Morfolojik Farkındalık Becerilerinin Okuma Sürecindeki Rolünün Gelişimsel Bakış Açısıyla İncelenmesi: İşiten ve İşitme Engelli Okuyuculardan Bulgular. Ank. Üniversitesi Eğitim Bilim. Fakültesi Özel Eğitim Derg. 2019, 20, 339–367. [Google Scholar] [CrossRef]
- Güven, S.; Friedmann, N. Developmental Letter Position Dyslexia in Turkish, a Morphologically Rich and Orthographically Transparent Language. Front. Psychol. 2019, 10, 2401. [Google Scholar] [CrossRef]
- Acartürk, C.; Özkan, A.; Pekçetin, T.N.; Ormanoğlu, Z.; Kırkıcı, B. TURead: An eye movement dataset of Turkish reading. Behav. Res. Methods 2024, 56, 1793–1816. [Google Scholar] [CrossRef]
- Güven, S.; Friedmann, N. Vowel dyslexia in Turkish: A window to the complex structure of the sublexical route. PLoS ONE 2021, 16, e0249016. [Google Scholar] [CrossRef]
- Sümer Dodur, H.M.; Altindağ Kumaş, Ö. Knowledge and beliefs of classroom teachers about dyslexia: The case of teachers in Turkey. Eur. J. Spec. Needs Educ. 2021, 36, 593–609. [Google Scholar] [CrossRef]
- Yavuz, T.; Yavuz, I.S.; Deveci, B.; Fidan, T. Dyslexia in education in Turkey. In The Routledge International Handbook of Dyslexia in Education; Taylor&Francis Group, Routledge: London, UK, 2022. [Google Scholar] [CrossRef]
- Schulte-Körne, G. The Prevention, Diagnosis, and Treatment of Dyslexia. Dtsch. Ärzteblatt Int. 2010, 107, 718. [Google Scholar] [CrossRef] [PubMed]
- Shaywitz, S.E.; Shaywitz, B.A. Dyslexia (specific reading disability). Biol. Psychiatry 2005, 57, 1301–1309. [Google Scholar] [CrossRef] [PubMed]
- Usman, O.L.; Muniyandi, R.C.; Omar, K.; Mohamad, M. Advance Machine Learning Methods for Dyslexia Biomarker Detection: A Review of Implementation Details and Challenges. IEEE Access 2021, 9, 36879–36897. [Google Scholar] [CrossRef]
- Zahia, S.; Garcia-Zapirain, B.; Saralegui, I.; Fernandez-Ruanova, B. Dyslexia detection using 3D convolutional neural networks and functional magnetic resonance imaging. Comput. Methods Programs Biomed. 2020, 197, 105726. [Google Scholar] [CrossRef]
- Ileri, R.; Latifoğlu, F.; Demirci, E. A novel approach for detection of dyslexia using convolutional neural network with EOG signals. Med. Biol. Eng. Comput. 2022, 60, 3041–3055. [Google Scholar] [CrossRef]
- Rello, L.; Romero, E.; Ali, A.; Williams, K.; Bigham, J.P.; White, N.C. Screening dyslexia for english using HCI measures and machine learning. In ACM International Conference Proceeding Series; Association for Computing Machinery: New York, NY, USA, 2018. [Google Scholar] [CrossRef]
- Spoon, K.; Siek, K.; Crandall, D.; Fillmore, M. Can We (and Should We) Use AI to Detect Dyslexia in Children’s Handwriting? In Proceedings of the International Conference on Machine Learning AI for Social Good Workshop (NeurIPS 2019), Long Beach, CA, USA, 14–15 June 2019. [Google Scholar]
- Benfatto, M.N.; Seimyr, G.Ö.; Ygge, J.; Pansell, T.; Rydberg, A.; Jacobson, C. Screening for dyslexia using eye tracking during reading. PLoS ONE 2016, 11, e0165508. [Google Scholar] [CrossRef]
- Nerušil, B.; Polec, J.; Škunda, J.; Kačur, J. Eye tracking based dyslexia detection using a holistic approach. Sci. Rep. 2021, 11, 15687. [Google Scholar] [CrossRef] [PubMed]
- Rayner, K.; Fischer, M.H. Mindless reading revisited: Eye movements during reading and scanning are different. Percept. Psychophys. 1996, 58, 734–747. [Google Scholar] [CrossRef] [PubMed]
- Schmeisser, E.T.; Mcdonough, J.M.; Bond, M.; Hislop, P.D.; Epstein, A.D. Fractal analysis of eye movements during reading. Optom. Vis. Sci. 2001, 78, 805–814. [Google Scholar] [CrossRef]
- Biscaldi, M.; Fischer, B.; Aiple, F. Saccadic eye movements of dyslexic and normal reading children. Perception 1994, 23, 45–64. [Google Scholar] [CrossRef]
- Latifoğlu, F.; İleri, R.; Demirci, E. Assessment of dyslexic children with EOG signals: Determining retrieving words/re-reading and skipping lines using convolutional neural networks. Chaos Solitons Fractals 2021, 145, 110721. [Google Scholar] [CrossRef]
- Sammaiah, A.; Narsimha, B.; Suresh, E.; Sanjeeva Reddy, M. On the performance of wavelet transform improving Eye blink detections for BCI. In Proceedings of the 2011 International Conference on Emerging Trends in Electrical and Computer Technology, ICETECT 2011, Nagercoil, India, 23–24 March 2011. [Google Scholar] [CrossRef]
- Schleicher, R.; Galley, N.; Briest, S.; Galley, L. Blinks and saccades as indicators of fatigue in sleepiness warnings: Looking tired? Ergonomics 2008, 51, 982–1010. [Google Scholar] [CrossRef] [PubMed]
- Kong, X.; Wilson, G.F. A new EOG-based eyeblink detection algorithm. Behav. Res. Methods Instrum. Comput. 1998, 30, 713–719. [Google Scholar] [CrossRef]
- Venkataramanan, S.; Prabhat, P.; Choudhury, S.R.; Nemade, H.B.; Sahambi, J. Biomedical instrumentation based on Electrooculogram (EOG) signal processing and application to a hospital alarm system. In Proceedings of the Proceedings—2005 International Conference on Intelligent Sensing and Information Processing, ICISIP’05, Melbourne, Australia, 5–8 December 2005. [Google Scholar] [CrossRef]
- Sinha, S.; Routh, P.S.; Anno, P.D.; Castagna, J.P. Spectral decomposition of seismic data with continuous-wavelet transform. Geophysics 2005, 70, P19–P25. [Google Scholar] [CrossRef]
- Darvishi, S.; Al-Ani, A. Brain-computer interface analysis using continuous wavelet transform and adaptive neuro-fuzzy classifier. In Proceedings of the Annual International Conference of the IEEE Engineering in Medicine and Biology—Proceedings, Lyon, France, 22–26 August 2007. [Google Scholar] [CrossRef]
- Türk, Ö.; Özerdem, M.S. Epilepsy detection by using scalogram based convolutional neural network from eeg signals. Brain Sci. 2019, 9, 115. [Google Scholar] [CrossRef] [PubMed]
- Leao, R.N.; Burne, J.A. Continuous wavelet transform in the evaluation of stretch reflex responses from surface EMG. J. Neurosci. Methods 2004, 133, 115–125. [Google Scholar] [CrossRef]
- Wang, T.; Lu, C.; Sun, Y.; Yang, M.; Liu, C.; Ou, C. Automatic ECG classification using continuous wavelet transform and convolutional neural network. Entropy 2021, 23, 119. [Google Scholar] [CrossRef]
- Elhassouny, A.; Smarandache, F. The History Began from AlexNet A. In Proceedings of the International Conference of Computer Science and Renewable Energies (ICCSRE), Agadir, Morocco, 22–24 July 2019. [Google Scholar]
- Shafiq, M.; Gu, Z. Deep Residual Learning for Image Recognition: A Survey. Appl. Sci. 2022, 12, 8972. [Google Scholar] [CrossRef]
- Howard, A.G.; Zhu, M.; Chen, B.; Kalenichenko, D.; Wang, W.; Weyand, T.; Andreetto, M.; Adam, H. MobileNets. arXiv 2017, arXiv:1704.04861. [Google Scholar] [CrossRef]
- Shaywitz, B.A.; Lyon, G.R.; Shaywitz, S.E. The role of functional magnetic resonance imaging in understanding reading and dyslexia. Dev. Neuropsychol. 2006, 30, 613–632. [Google Scholar] [CrossRef] [PubMed]
- Christodoulides, P.; Miltiadous, A.; Tzimourta, K.D.; Peschos, D.; Ntritsos, G.; Zakopoulou, V.; Giannakeas, N.; Astrakas, L.G.; Tsipouras, M.G.; Tsamis, K.I.; et al. Classification of EEG signals from young adults with dyslexia combining a Brain Computer Interface device and an Interactive Linguistic Software Tool. Biomed. Signal Process. Control 2022, 76, 103646. [Google Scholar] [CrossRef]
- Rauschenberger, M.; Rello, L.; Baeza-Yates, R.; Bigham, J.P. Towards language independent detection of dyslexia with a web-based game. In Proceedings of the 15th Web for All Conference: Internet of Accessible Things 2018, W4A 2018, Lyon, France, 23–25 April 2018. [Google Scholar] [CrossRef]
- Rauschenberger, M.; Baeza-Yates, R.; Rello, L. A Universal Screening Tool for Dyslexia by a Web-Game and Machine Learning. Front. Comput. Sci. 2022, 3, 628634. [Google Scholar] [CrossRef]
- Ullah Khan, R.; Lee, J.; Cheng, A.; Bee, O.Y. Machine Learning and Dyslexia: Diagnostic and Classification System (DCS) for Kids with Learning Disabilities. Int. J. Eng. Technol. 2018, 7, 97–100. [Google Scholar]
- Jothi Prabha, A.; Bhargavi, R. Prediction of Dyslexia from Eye Movements Using Machine Learning. IETE J. Res. 2022, 68, 814–823. [Google Scholar] [CrossRef]
- Abdul Hamid, S.S.; Admodisastro, N.; Manshor, N.; Kamaruddin, A.; Ghani, A.A.A. Dyslexia adaptive learning model: Student engagement prediction using machine learning approach. In Advances in Intelligent Systems and Computing; Springer International Publishing: Cham, Switzerland, 2018; Volume 700. [Google Scholar] [CrossRef]
- El Hmimdi, A.E.; Ward, L.M.; Palpanas, T.; Kapoula, Z. Predicting dyslexia and reading speed in adolescents from eye movements in reading and non-reading tasks: A machine learning approach. Brain Sci. 2021, 11, 1337. [Google Scholar] [CrossRef]
- Aldehim, G.; Rashid, M.; Alluhaidan, A.S.; Sakri, S.; Basheer, S. Deep Learning for Dyslexia Detection: A Comprehensive CNN Approach with Handwriting Analysis and Benchmark Comparisons. J. Disabil. Res. 2024, 3, 20240010. [Google Scholar] [CrossRef]
- Spoon, K.; Crandall, D.; Siek, K. Towards Detecting Dyslexia in Children’s Handwriting Using Neural Networks. In Proceedings of the International Conference on Machine Learning AI for Social Good Workshop, Long Beach, CA, USA, 28 July 2019. [Google Scholar]
- Taş, T.; Bülbül, M.A.; HaşimOğlu, A.; Meral, Y.; Çalişkan, Y.; Budagova, G.; Kutlu, M. A machine learning approach for dyslexia detection using Turkish audio records. Turk. J. Electr. Eng. Comput. Sci. 2023, 31, 892–907. [Google Scholar] [CrossRef]
- Latifoglu, F.; Ileri, R.; Demirci, E.; Altintop, C.G. Detection of Reading Movement from EOG Signals. In Proceedings of the 2020 IEEE International Symposium on Medical Measurements and Applications (MeMeA), Bari, Italy, 1 June–1 July 2020. [Google Scholar] [CrossRef]
- Ileri, R.; Latifoglu, F.; Demirci, E. New Method to Diagnosis of Dyslexia Using 1D-CNN. In Proceedings of the TIPTEKNO 2020—Tip Teknolojileri Kongresi—2020 Medical Technologies Congress, TIPTEKNO 2020, Antalya, Turkey, 19–20 November 2020. [Google Scholar] [CrossRef]

















| # | Name | Type | Activations | Learnables | Total Learnables | |
|---|---|---|---|---|---|---|
| 1 | imageinput 28 × 28 × 3 images with ‘zerocenter’ normalzation | Image Input | 28 × 28 × 3 | - | 0 | |
| 2 | Conv_1 16- 4 × 4 × 3 convolutions with stride [1 1] and padding ‘same’ | Convolution | 28 × 28 × 16 | Weights Bias | 4 × 4 × 3 × 16 1 × 1 × 16 | 784 |
| 3 | Batchnorm_1 Batch normalization with 8 channels | Batch Normalization | 28 × 28 × 8 | Offset Scale | 1 × 1 × 16 1 × 1 × 16 | 32 |
| 4 | Relu_1 ReLU | ReLU | 28 × 28 × 16 | - | 0 | |
| 5 | Maxpool_1 2 × 2 max pooling with stride [2 2] and padding [0 0 0 0] | Max Pooling | 7 × 7 × 16 | - | 0 | |
| 6 | Conv_2 32 3 × 3 × 8 convolutions with stride [1 1] and padding ‘same’ | Convolution | 7 × 7 × 32 | Weights Bias | 4 × 4 × 16 × 32 1 × 1 × 32 | 8224 |
| 7 | Batchnorm_2 Batch normalization with 16 channels | Batch Normalization | 7 × 7 × 32 | Offset Scale | 1 × 1 × 32 1 × 1 × 32 | 64 |
| 8 | Relu_2 ReLU | ReLU | 7 × 7 × 32 | - | 0 | |
| 9 | maxpool_2 2 × 2 max pooling with stride [2 2] and padding [0 0 0 0] | Max Pooling | 3 × 3 × 32 | - | 0 | |
| 10 | conv 3 64 3 × 3 × 16 convolutions with stride [1 1] and padding ‘same’ | Convolution | 3 × 3 × 64 | Weights Bias | 4 × 4 × 32 × 64 1 × 1 × 64 | 32,832 |
| 11 | batchnorm 3 Batch normalization with 32 channels | Batch Normalization | 3 × 3 × 64 | Offset Scale | 1 × 1 × 64 1 × 1 × 64 | 128 |
| 12 | relu 3 ReLU | ReLU | 3 × 3 × 64 | - | 0 | |
| 13 | Conv_4 64 3 × 3 × 32 convolutions with stride [1 1] and padding ‘same’ | Convolution | 3 × 3 × 64 | Weights Bias | 4 × 4 × 64 × 64 1 × 1 × 64 | 65,600 |
| 14 | batchnorm 4 Batch normalization with 32 channels | Batch Normalization | 3 × 3 × 64 | Offset Scale | 1 × 1 × 64 1 × 1 × 64 | 128 |
| 15 | relu 4 ReLU | ReLU | 3 × 3 × 64 | - | 0 | |
| 16 | Dropout 50% dropout | Dropout | 3 × 3 × 64 | - | 0 | |
| 17 | fc 2 fully connected layers | Fully Connected | 1 × 1 × 2 | Weights Bias | 2 × 576 2 × 1 | 1154 |
| 18 | SoftMax SoftMax | Softmax | 1 × 1 × 2 | - | 8 | |
| 19 | Classoutput crossentropyex | Classification Output | - | 0 | ||
| CNN Model | Fold Number | Accuracy (%) | Sensitivity (%) | Specificity (%) | F1-Score (%) |
|---|---|---|---|---|---|
| AlexNet | Fold-1 | 62.50 | 39.33 | 85.67 | 51.19 |
| Fold-2 | 68.25 | 55.67 | 80.83 | 63.68 | |
| Fold-3 | 68.50 | 61.33 | 75.67 | 66.07 | |
| Fold-4 | 66.42 | 57.50 | 75.33 | 69.98 | |
| Fold-5 | 62.42 | 58.33 | 66.50 | 60.82 | |
| Mean ± Std. | 65.61 ± 2.67 | 54.43 ± 7.76 | 76.80 ± 6.39 | 60.97 ± 5.16 | |
| ResNet50 | Fold-1 | 56.33 | 12.67 | 100 | 22.49 |
| Fold-2 | 52.92 | 37.83 | 68.00 | 44.55 | |
| Fold-3 | 52.83 | 59.33 | 46.33 | 55.71 | |
| Fold-4 | 53.50 | 71.83 | 35.17 | 60.70 | |
| Fold-5 | 51.17 | 96.17 | 6.17 | 66.32 | |
| Mean ± Std. | 53.35 ± 1.87 | 55.56 ± 31.94 | 51.13 ± 35.25 | 49.95 ± 17.32 | |
| MobileNetV2 | Fold-1 | 54.42 | 39.83 | 69.00 | 46.63 |
| Fold-2 | 55.08 | 42.80 | 67.30 | 48.80 | |
| Fold-3 | 56.66 | 38.20 | 75.20 | 46.80 | |
| Fold-4 | 57.91 | 49.24 | 66.70 | 53.90 | |
| Fold-5 | 61.00 | 43.00 | 79.00 | 52.40 | |
| Mean ± Std. | 57.01 ±2.61 | 42.61 ± 4.22 | 71.44 ± 5.40 | 49.70 ± 3.30 | |
| DyslexiaNet | Fold-1 | 77.08 | 63.17 | 91 | 73.38 |
| Fold-2 | 72.92 | 57 | 88.83 | 67.79 | |
| Fold-3 | 70.33 | 51 | 89.67 | 63.22 | |
| Fold-4 | 76.75 | 76 | 77.5 | 76.57 | |
| Fold-5 | 71.58 | 71.5 | 71.62 | 71.56 | |
| Mean ± Std. | 73.732 ± 3.04 | 63.734 ± 10.22 | 83.724 ± 8.65 | 70.504 ± 5.16 |
| CNN Model | Fold Number | Accuracy (%) | Sensitivity (%) | Specificity (%) | F1-Score (%) |
|---|---|---|---|---|---|
| AlexNet | Fold-1 | 99.91 | 100 | 99.80 | 99.90 |
| Fold-2 | 100 | 100 | 100 | 100 | |
| Fold-3 | 99.83 | 99.80 | 99.80 | 99.80 | |
| Fold-4 | 100 | 100 | 100 | 100 | |
| Fold-5 | 100 | 100 | 100 | 100 | |
| Mean ± Std. | 99.94 ± 0.068 | 99.96 ± 0.008 | 99.92 ± 0.097 | 99.94 ± 0.008 | |
| ResNet50 | Fold-1 | 100 | 100 | 100 | 100 |
| Fold-2 | 99.83 | 100 | 99.67 | 99.83 | |
| Fold-3 | 100 | 100 | 100 | 100 | |
| Fold-4 | 88.75 | 77.50 | 100 | 87.32 | |
| Fold-5 | 100 | 100 | 100 | 100 | |
| Mean ± Std. | 97.71 ± 5.0127 | 95.00 ± 10.0623 | 99.93 ± 0.1476 | 97.43 ± 5.6521 | |
| MobileNetV2 | Fold-1 | 99.92 | 100 | 99.83 | 99.92 |
| Fold-2 | 99.58 | 100 | 99.17 | 99.59 | |
| Fold-3 | 99.58 | 100 | 99.17 | 99.59 | |
| Fold-4 | 100 | 100 | 100 | 100 | |
| Fold-5 | 99.92 | 99.83 | 100 | 99.92 | |
| Mean ± Std. | 99.80 ± 0.2035 | 99.96 ± 0.0760 | 99.63 ± 0.4292 | 99.80 ± 0.1981 | |
| DyslexiaNet | Fold-1 | 99.92 | 99.83 | 100 | 99.92 |
| Fold-2 | 100 | 100 | 100 | 100 | |
| Fold-3 | 100 | 100 | 100 | 100 | |
| Fold-4 | 99.92 | 100 | 99.83 | 99.92 | |
| Fold-5 | 100 | 100 | 100 | 100 | |
| Mean ± Std. | 99.968 ± 0.04 | 99.966 ± 0.07 | 99.966 ± 0.07 | 99.968 ± 0.04 |
Disclaimer/Publisher’s Note: The statements, opinions and data contained in all publications are solely those of the individual author(s) and contributor(s) and not of MDPI and/or the editor(s). MDPI and/or the editor(s) disclaim responsibility for any injury to people or property resulting from any ideas, methods, instructions or products referred to in the content. |
© 2025 by the authors. Licensee MDPI, Basel, Switzerland. This article is an open access article distributed under the terms and conditions of the Creative Commons Attribution (CC BY) license (https://creativecommons.org/licenses/by/4.0/).
Share and Cite
İleri, R.; Altıntop, Ç.G.; Latifoğlu, F.; Demirci, E. DyslexiaNet: Examining the Viability and Efficacy of Eye Movement-Based Deep Learning for Dyslexia Detection. J. Eye Mov. Res. 2025, 18, 56. https://doi.org/10.3390/jemr18050056
İleri R, Altıntop ÇG, Latifoğlu F, Demirci E. DyslexiaNet: Examining the Viability and Efficacy of Eye Movement-Based Deep Learning for Dyslexia Detection. Journal of Eye Movement Research. 2025; 18(5):56. https://doi.org/10.3390/jemr18050056
Chicago/Turabian Styleİleri, Ramis, Çiğdem Gülüzar Altıntop, Fatma Latifoğlu, and Esra Demirci. 2025. "DyslexiaNet: Examining the Viability and Efficacy of Eye Movement-Based Deep Learning for Dyslexia Detection" Journal of Eye Movement Research 18, no. 5: 56. https://doi.org/10.3390/jemr18050056
APA Styleİleri, R., Altıntop, Ç. G., Latifoğlu, F., & Demirci, E. (2025). DyslexiaNet: Examining the Viability and Efficacy of Eye Movement-Based Deep Learning for Dyslexia Detection. Journal of Eye Movement Research, 18(5), 56. https://doi.org/10.3390/jemr18050056

