Healthcare Resource Use and Costs of Allogeneic Hematopoietic Stem Cell Transplantation Complications: A Scoping Review
Abstract
1. Introduction
2. Methods
Data Analysis
3. Results
3.1. Literature Search
Characteristics of Included Studies
3.2. HRU and Costs
3.2.1. GVHD
Acute GVHD
Chronic GVHD
GVHD Treatment
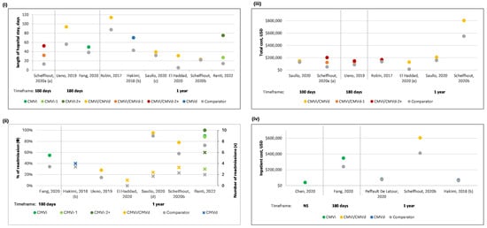
3.2.2. CMV
CMV Prophylaxis
CMV Infection or Disease
3.2.3. Fungal Infection
3.2.4. Other Infections
4. Discussion
5. Conclusions
Supplementary Materials
Author Contributions
Funding
Conflicts of Interest
References
- Min, G.-J.; Jeon, Y.-W.; Kim, T.Y.; Kwag, D.; Kim, B.-S.; Lee, J.; Park, S.-S.; Park, S.; Yoon, J.-H.; Lee, S.-E.; et al. The salvage role of allogeneic hematopoietic stem-cell transplantation in relapsed/refractory diffuse large B cell lymphoma. Sci. Rep. 2023, 13, 1–11. [Google Scholar] [CrossRef] [PubMed]
- Cusatis, R.; Litovich, C.; Feng, Z.; Allbee-Johnson, M.; Kapfhammer, M.; Mattila, D.; Akinola, I.; Phelan, R.; Broglie, L.; Auletta, J.J.; et al. Current Trends and Outcomes in Cellular Therapy Activity in the United States, Including Prospective Patient-Reported Outcomes Data Collection in the Center for International Blood and Marrow Transplant Research Registry. Biol. Blood Marrow Transplant. 2024, 30, 917.e1–917.e12. [Google Scholar] [CrossRef] [PubMed]
- Passweg, J.R.; Baldomero, H.; Ciceri, F.; Corbacioglu, S.; de la Cámara, R.; Dolstra, H.; Glass, B.; Greco, R.; McLornan, D.P.; Neven, B.; et al. Hematopoietic cell transplantation and cellular therapies in Europe 2021. The second year of the SARS-CoV-2 pandemic. A Report from the EBMT Activity Survey. Bone Marrow Transplant. 2023, 58, 647–658. [Google Scholar] [CrossRef] [PubMed]
- Penack, O.; Peczynski, C.; Mohty, M.; Yakoub-Agha, I.; Styczynski, J.; Montoto, S.; Duarte, R.F.; Kröger, N.; Schoemans, H.; Koenecke, C.; et al. How much has allogeneic stem cell transplant–related mortality improved since the 1980s? A retrospective analysis from the EBMT. Blood Adv. 2020, 4, 6283–6290. [Google Scholar] [CrossRef]
- Mohty, B.; Mohty, M. Long-term complications and side effects after allogeneic hematopoietic stem cell transplantation: An update. Blood Cancer J. 2011, 1, e16. [Google Scholar] [CrossRef]
- McErlean, G.; Brice, L.; Gilroy, N.; Kabir, M.; Greenwood, M.; Larsen, S.R.; Moore, J.; Gottlieb, D.; Hertzberg, M.; Brown, L.; et al. Long-term treatment burden following allogeneic blood and marrow transplantation in NSW, Australia: A cross-sectional survey. J. Cancer Surviv. 2021, 16, 432–444. [Google Scholar] [CrossRef]
- Michonneau, D.; Quignot, N.; Jiang, H.; Reichenbach, D.; Kelly, M.; Burrell, A.; Zhang, X.; Thiruvillakkat, K.; Mohty, M. Clinical and economic burden associated with graft-versus-host disease following allogeneic hematopoietic cell transplantation in France. Bone Marrow Transplant. 2023, 58, 514–525. [Google Scholar] [CrossRef]
- Pereira, M.R.; Pouch, S.M.; Scully, B. Infections in Allogeneic Stem Cell Transplantation. In Principles and Practice of Transplant Infectious Diseases; Springer: New York, NY, USA, 2018; pp. 209–226. [Google Scholar] [CrossRef]
- Giménez, E.; Torres, I.; Albert, E.; Piñana, J.-L.; Hernández-Boluda, J.-C.; Solano, C.; Navarro, D. Cytomegalovirus (CMV) infection and risk of mortality in allogeneic hematopoietic stem cell transplantation (Allo-HSCT): A systematic review, meta-analysis, and meta-regression analysis. Am. J. Transplant. 2019, 19, 2479–2494. [Google Scholar] [CrossRef]
- Pagano, L.; Caira, M.; Nosari, A.; Van Lint, M.T.; Candoni, A.; Offidani, M.; Aloisi, T.; Irrera, G.; Bonini, A.; Picardi, M.; et al. Fungal Infections in Recipients of Hematopoietic Stem Cell Transplants: Results of the SEIFEM B-2004 Study—Sorveglianza Epidemiologica Infezioni Fungine Nelle Emopatie Maligne. Clin. Infect. Dis. 2007, 45, 1161–1170. [Google Scholar] [CrossRef]
- Kim, N.V.; McErlean, G.; Yu, S.; Kerridge, I.; Greenwood, M.; Lourenco, R.D.A. Healthcare Resource Utilization and Cost Associated with Allogeneic Hematopoietic Stem Cell Transplantation: A Scoping Review. Biol. Blood Marrow Transplant. 2024, 30, 542.e1–542.e29. [Google Scholar] [CrossRef] [PubMed]
- Majhail, N.S.; Mothukuri, J.M.; Brunstein, C.G.; Weisdorf, D.J. Costs of Hematopoietic Cell Transplantation: Comparison of Umbilical Cord Blood and Matched Related Donor Transplantation and the Impact of Posttransplant Complications. Biol. Blood Marrow Transplant. 2009, 15, 564–573. [Google Scholar] [CrossRef] [PubMed]
- Godara, A.; Siddiqui, N.S.; Munigala, S.; Dhawan, R.; Kansagra, A.J.; Rapoport, A.P.; Yared, J.A.; Dahiya, S. Length of Stay and Hospital Costs for Patients Undergoing Allogeneic Stem-Cell Transplantation. JCO Oncol. Pr. 2021, 17, e355–e368. [Google Scholar] [CrossRef] [PubMed]
- Lindsay, J.; Kerridge, I.; Wilcox, L.; Tran, S.; O’Brien, T.A.; Greenwood, M.; Chen, S.C.-A.; Kong, D.C.; Pergam, S.A.; Liu, C.; et al. Infection-Related Mortality in Adults and Children Undergoing Allogeneic Hematopoietic Cell Transplantation: An Australian Registry Report. Biol. Blood Marrow Transplant. 2021, 27, 798.e1–798.e10. [Google Scholar] [CrossRef]
- Styczyński, J.; Ebmt, F.T.I.D.W.P.; Tridello, G.; Koster, L.; Iacobelli, S.; van Biezen, A.; van der Werf, S.; Mikulska, M.; Gil, L.; Cordonnier, C.; et al. Death after hematopoietic stem cell transplantation: Changes over calendar year time, infections and associated factors. Bone Marrow Transplant. 2020, 55, 126–136. [Google Scholar] [CrossRef]
- Majhail, N.S. Long-term complications after hematopoietic cell transplantation. Hematol. Stem Cell Ther. 2017, 10, 220–227. [Google Scholar] [CrossRef]
- Decook, L.; Chang, Y.-H.; Slack, J.; Gastineau, D.; Leis, J.; Noel, P.; Palmer, J.; Sproat, L.; Sorror, M.; Khera, N. Association of hematopoietic cell transplantation-specific comorbidity index with resource utilization after allogeneic transplantation. Bone Marrow Transplant. 2017, 52, 998–1002. [Google Scholar] [CrossRef]
- Murthy, G.S.G.; Hari, P.N.; Szabo, A.; Pasquini, M.; Narra, R.; Khan, M.; Abedin, S.; Chhabra, S.; Dhakal, B.; D’Souza, A.; et al. Outcomes of Reduced-Intensity Conditioning Allogeneic Hematopoietic Cell Transplantation Performed in the Inpatient versus Outpatient Setting. Biol. Blood Marrow Transplant. 2019, 25, 827–833. [Google Scholar] [CrossRef]
- Peters, M.D.J.; Marnie, C.; Tricco, A.C.; Pollock, D.; Munn, Z.; Alexander, L.; McInerney, P.; Godfrey, C.M.; Khalil, H. Updated methodological guidance for the conduct of scoping reviews. JBI Évid. Synth. 2020, 18, 2119–2126. [Google Scholar] [CrossRef]
- Tricco, A.C.; Lillie, E.; Zarin, W.; O’Brien, K.K.; Colquhoun, H.; Levac, D.; Moher, D.; Peters, M.D.J.; Horsley, T.; Weeks, L.; et al. PRISMA Extension for Scoping Reviews (PRISMA-ScR): Checklist and Explanation. Ann. Intern. Med. 2018, 169, 467–473. [Google Scholar] [CrossRef]
- Munn, Z.; Peters, M.D.J.; Stern, C.; Tufanaru, C.; McArthur, A.; Aromataris, E. Systematic review or scoping review? Guidance for authors when choosing between a systematic or scoping review approach. BMC Med. Res. Methodol. 2018, 18, 143. [Google Scholar] [CrossRef] [PubMed]
- The World Bank. World Bank Country and Lending Groups. 2021. Available online: https://datahelpdesk.worldbank.org/knowledgebase/articles/906519-world-bank-country-and-lending-groups (accessed on 1 June 2022).
- Franco, M.M.R.; Rodriguez, E.L. Importance of Nongovernmental Organizations for the Establishment of a Successful Hematopoietic Stem-Cell Transplantation Program in a Developing Country. J. Glob. Oncol. 2018, 4, 1–8. [Google Scholar] [CrossRef]
- CADTH. Grey Matters: A Practical Tool for Searching Health-Related Grey Literature; Canadian Agency for Drugs and Technologies in Health: Ottawa, ON, Canada, 2019. [Google Scholar]
- Belur, J.; Tompson, L.; Thornton, A.; Simon, M. Interrater Reliability in Systematic Review Methodology: Exploring Variation in Coder Decision-Making. Sociol. Methods Res. 2021, 50, 837–865. [Google Scholar] [CrossRef]
- Board of Governors of the Federal Reserve System. Federal Reserve Board: Data Download Program—Home. Available online: https://www.federalreserve.gov/datadownload/ (accessed on 3 July 2023).
- Bureau of Labor Statistics Data. U.S. Bureau of Labor Statistics. Available online: https://data.bls.gov/timeseries/CUUR0000SA0L1E?output_view=pct_12mths (accessed on 3 July 2023).
- Lee, S.J.; Zahrieh, D.; Alyea, E.P.; Weller, E.; Ho, V.T.; Antin, J.H.; Soiffer, R.J. Comparison of T-cell-depleted and non-T-cell-depleted unrelated donor transplantation for hematologic diseases: Clinical outcomes, quality of life, and costs. Blood 2002, 100, 2697–2702. [Google Scholar] [CrossRef]
- Bachier, C.R.; Aggarwal, S.K.; Hennegan, K.; Milgroom, A.; Francis, K.; Dehipawala, S.; Rotta, M. Epidemiology and Treatment of Chronic Graft-versus-Host Disease Post-Allogeneic Hematopoietic Cell Transplantation: A US Claims Analysis. Biol. Blood Marrow Transplant. 2021, 27, 504.e1–504.e6. [Google Scholar] [CrossRef]
- Bell, E.J.; Yu, J.; Bhatt, V.; Bunner, S.H.; Lal, L.S.; Galvin, J.; Weisdorf, D. Healthcare Resource Utilization and Costs of Steroid-Associated Complications in Patients With Graft-Versus-Host Disease. Biol. Blood Marrow Transplant. 2022, 28, 707.e1–707.e7. [Google Scholar] [CrossRef]
- Golan, Y.; Tang, Y.; Mt-Isa, S.; Wan, H.; Teal, V.; Badshah, C.; Dadwal, S. Impact of Letermovir Use for Cytomegalovirus Prophylaxis on Re-Hospitalization Following Allogeneic Hematopoietic Stem Cell Transplantation: An Analysis of a Phase III Randomized Clinical Trial. PharmacoEconomics Open 2021, 5, 469–473. [Google Scholar] [CrossRef]
- Chen, J.; Ross, J.A.; Tegtmeier, B.; Yang, D.; Ito, J.I.; Zaia, J.A.; Dickter, J.K.; Nakamura, R.; Mokhtari, S.; Kriengkauykiat, J.; et al. Cost analysis of ganciclovir and foscarnet in recipients of allogeneic hematopoietic cell transplant with cytomegalovirus viremia. Transpl. Infect. Dis. 2020, 22, e13233. [Google Scholar] [CrossRef]
- Wingen-Heimann, S.M.; Cornely, O.A.; Vehreschild, M.J.; Wisplinghoff, H.; Franke, B.; Schons, M.; von Bergwelt-Baildon, M.; Scheid, C.; Vehreschild, J.J. Clinical and pharmacoeconomic evaluation of antifungal prophylaxis with continuous micafungin in patients undergoing allogeneic stem cell transplantation: A six-year cohort analysis. Mycoses 2020, 64, 437–444. [Google Scholar] [CrossRef]
- Bertz, H.; Drognitz, K.; Finke, J. Analysis of the efficiency and costs of antifungal prophylaxis and mycological diagnostics in patients undergoing allogeneic haematopoietic cell transplantation: “real life” evaluation. Ann. Hematol. 2015, 95, 457–463. [Google Scholar] [CrossRef]
- McGuirk, J.; Divine, C.; Moon, S.H.; Chandak, A.; Zhang, Z.; Papanicolaou, G.A. Economic and Clinical Burden of Virus-Associated Hemorrhagic Cystitis in Patients Following Allogeneic Hematopoietic Stem Cell Transplantation in the United States. Biol. Blood Marrow Transplant. 2021, 27, 505.e1–505.e9. [Google Scholar] [CrossRef] [PubMed]
- Gilis, L.; Morisset, S.; Billaud, G.; Ducastelle-Leprêtre, S.; Labussière-Wallet, H.; Nicolini, F.-E.; Barraco, F.; Detrait, M.; Thomas, X.; Tedone, N.; et al. High burden of BK virus-associated hemorrhagic cystitis in patients undergoing allogeneic hematopoietic stem cell transplantation. Bone Marrow Transplant. 2014, 49, 664–670. [Google Scholar] [CrossRef] [PubMed]
- Wattanakamolkul, K.; Nakayama, Y. Incidence, economic burden, and treatment of acute respiratory tract infection in hematopoietic stem cell transplantation recipients using real world data in Japan: A retrospective claims data analysis. J. Med. Econ. 2022, 25, 870–879. [Google Scholar] [CrossRef]
- Huang, Y.-T.; Su, Y.; Kim, S.J.; Nichols, P.; Burack, D.; Maloy, M.; Giralt, S.; Perales, M.-A.; Jakubowski, A.A.; Papanicolaou, G.A. Cytomegalovirus Infection in Allogeneic Hematopoietic Cell Transplantation Managed by the Preemptive Approach: Estimating the Impact on Healthcare Resource Utilization and Outcomes. Biol. Blood Marrow Transplant. 2018, 25, 791–799. [Google Scholar] [CrossRef]
- Yu, J.; Parasuraman, S.; Shah, A.; Weisdorf, D. Mortality, length of stay and costs associated with acute graft-versus-host disease during hospitalization for allogeneic hematopoietic stem cell transplantation. Curr. Med. Res. Opin. 2018, 35, 983–988. [Google Scholar] [CrossRef]
- Yu, J.; Judy, J.T.; Parasuraman, S.; Sinha, M.; Weisdorf, D. Inpatient Healthcare Resource Utilization, Costs, and Mortality in Adult Patients with Acute Graft-versus-Host Disease, Including Steroid-Refractory or High-Risk Disease, following Allogeneic Hematopoietic Cell Transplantation. Biol. Blood Marrow Transplant. 2019, 26, 600–605. [Google Scholar] [CrossRef]
- Sabatelli, L.; Keränen, M.; Viayna, E.; Roset, M.; Lara, N.; Thunström, D.; Pfeiffer, M.; Nicklasson, M.; Itälä-Remes, M. Burden of hospitalizations and outpatient visits associated with moderate and severe acute graft-versus-host disease in Finland and Sweden: A real-world data study. Support. Care Cancer 2022, 30, 5125–5135. [Google Scholar] [CrossRef]
- Farhadfar, N.; Leather, H.L.; Wang, S.; Burton, N.; IrizarryGatell, V.; Itzler, R.; Salloum, R.G.; Wingard, J.R. Severity of Acute Graft-versus-Host Disease and Associated Healthcare Resource Utilization, Cost, and Outcomes. Transplant. Cell Ther. 2021, 27, 1007.e1–1007.e8. [Google Scholar] [CrossRef]
- Scheid, C.; Kudernatsch, R.; Eckart, M.; Feig, C.; Straub, V.; Libutzki, B.; Mahlich, J. Treatment Pathways and Health Outcomes of German Patients with Chronic Graft-Versus-Host Disease After Allogeneic Hematopoietic Cell Transplantation: A Retrospective Health Claims Data Analysis. Drugs Real World Outcomes 2022, 9, 577–588. [Google Scholar] [CrossRef]
- Schain, F.; Batyrbekova, N.; Liwing, J.; Baculea, S.; Webb, T.; Remberger, M.; Mattsson, J. Real-world study of direct medical and indirect costs and time spent in healthcare in patients with chronic graft versus host disease. Eur. J. Health Econ. 2020, 22, 169–180. [Google Scholar] [CrossRef]
- Yerrabothala, S.; Talebian, L.; Klinker, K.; Hickman, J.; Hill, J.M.; Hayes, C.; Lowrey, C.; Szczepiorkowski, Z.M.; Meehan, K.R. Extracorporeal photopheresis for graft versus host disease: Identifying a clinical pathway and associated resource utilization. J. Clin. Apher. 2017, 33, 310–315. [Google Scholar] [CrossRef] [PubMed]
- Boluda, B.; Solana-Altabella, A.; Cano, I.; Acuña-Cruz, E.; Rodríguez-Veiga, R.; Ballesta-López, O.; Megías-Vericat, J.E.; Martínez-Cuadrón, D.; Gómez, I.; Solves, P.; et al. Extracorporeal photopheresis vs standard therapies for steroid-refractory chronic graft-vs-host disease: Pharmacoeconomic assessment of hospital resource use in Spain. J. Clin. Apher. 2021, 36, 612–620. [Google Scholar] [CrossRef] [PubMed]
- Canadian Agency for Drugs and Technologies in Health (CADTH). CADTH Common Drug Reviews -Letermovir. In Pharmacoeconomic Review Report: Letermovir (Prevymis): (Merck Canada Inc.): Indication: For the Prophylaxis of Cytomegalovirus (CMV) Infection in Adult CMV-Seropositive Recipients (R+) of an Allogeneic Hematopoietic Stem Cell Transplant; Canadian Agency for Drugs and Technologies in Health Copyright © 2018 Canadian Agency for Drugs and Technologies in Health: Ottawa, ON, Canada, 2018. [Google Scholar]
- National Institute for Health and Care Excellence (NICE). Single Technology Appraisal: Letermovir Prophylaxis for Cytomegalovirus Disease After Allogeneic Stem Cell Transplant [ID1153]; National Institute for Health and Care Excellence (NICE): Manchester, UK, 2019. [Google Scholar]
- Restelli, U.; Croce, D.; Pacelli, V.; Ciceri, F.; Girmenia, C. Cost-effectiveness analysis of the use of letermovir for the prophylaxis of cytomegalovirus in adult cytomegalovirus seropositive recipients undergoing allogenic hematopoietic stem cell transplantation in Italy. Infect. Drug Resist. 2019, 12, 1127–1138. [Google Scholar] [CrossRef] [PubMed]
- Chan, T.S.-Y.; Cheng, S.S.-Y.; Chen, W.-T.; Hsu, D.C.; Chau, R.W.-Y.; Kang, S.H.; Alsumali, A.; Kwong, Y.-L. Cost-effectiveness of letermovir as cytomegalovirus prophylaxis in adult recipients of allogeneic hematopoietic stem cell transplantation in Hong Kong. J. Med. Econ. 2020, 23, 1485–1492. [Google Scholar] [CrossRef]
- Alsumali, A.; Chemaly, R.F.; Graham, J.; Jiang, Y.; Merchant, S.; Miles, L.; Schelfhout, J.; Yang, J.; Tang, Y. Cost-effectiveness analysis of cytomegalovirus prophylaxis in allogeneic hematopoietic cell transplant recipients from a US payer perspective. J. Med. Virol. 2021, 93, 3786–3794. [Google Scholar] [CrossRef]
- Fang, J.; Su, Y.; Zavras, P.D.; Raval, A.D.; Tang, Y.; Perales, M.-A.; Giralt, S.; Stern, A.; Papanicolaou, G.A. Impact of Preemptive Therapy for Cytomegalovirus on Hospitalizations and Cost after Hematopoietic Stem Cell Transplantation. Biol. Blood Marrow Transplant. 2020, 26, 1937–1947. [Google Scholar] [CrossRef]
- De Latour, R.P.; Chevallier, P.; Blaise, D.; Alami, S.; Lévy-Bachelot, L.; Allavoine, T.; Tadmouri, A.; Blomkvist, J.; Duhamel, A.; Srour, M.; et al. Clinical and economic impact of treated CMV infection in adult CMV-seropositive patients after allogeneic hematopoietic cell transplantation. J. Med. Virol. 2020, 92, 3665–3673. [Google Scholar] [CrossRef]
- Schelfhout, J.; Brown, H.; House, J.A.; Raval, A.D. Cytomegalovirus infection and associated hospitalization and costs among individuals undergoing allogeneic hematopoietic stem cell transplant. Curr. Med. Res. Opin. 2020, 36, 43–50. [Google Scholar] [CrossRef]
- Webb, B.J.; Harrington, R.; Schwartz, J.; Kammerer, J.; Spalding, J.; Lee, E.; Dodds, B.; Kaufusi, S.; Goodman, B.E.; Firth, S.D.; et al. The clinical and economic impact of cytomegalovirus infection in recipients of hematopoietic stem cell transplantation. Transpl. Infect. Dis. 2018, 20, e12961. [Google Scholar] [CrossRef]
- Saullo, J.L.; Li, Y.; Messina, J.A.; Thompson, J.; Dalton, T.; Giri, V.K.; Reed, S.D.; Miller, R.; Horwitz, M.E.; Alexander, B.D.; et al. Cytomegalovirus in Allogeneic Hematopoietic Transplantation: Impact on Costs and Clinical Outcomes Using a Preemptive Strategy. Biol. Blood Marrow Transplant. 2019, 26, 568–580. [Google Scholar] [CrossRef]
- Ueno, R.; Nishimura, S.; Fujimoto, G.; Piao, Y.; Takenaka, K. The clinical and economic burden of cytomegalovirus management post allogeneic hematopoietic stem cell transplantation in Japan – a retrospective database study. Curr. Med. Res. Opin. 2019, 35, 2089–2096. [Google Scholar] [CrossRef]
- Robin, C.; Hémery, F.; Dindorf, C.; Thillard, J.; Cabanne, L.; Redjoul, R.; Beckerich, F.; Rodriguez, C.; Pautas, C.; Toma, A.; et al. Economic burden of preemptive treatment of CMV infection after allogeneic stem cell transplantation: A retrospective study of 208 consecutive patients. BMC Infect. Dis. 2017, 17, 1–8. [Google Scholar] [CrossRef]
- Hakimi, Z.; Ferchichi, S.; Aballea, S.; Odeyemi, I.; Toumi, M.; English, M.; Yakoub-Agha, I. Burden of cytomegalovirus disease in allogeneic hematopoietic cell transplant recipients: A national, matched cohort study in an inpatient setting. Curr. Res. Transl. Med. 2018, 66, 95–101. [Google Scholar] [CrossRef]
- El Haddad, L.; Ghantoji, S.S.; Park, A.K.; Batista, M.V.; Schelfhout, J.; Hachem, J.; Lobo, Y.; Jiang, Y.; Rondon, G.; Champlin, R.; et al. Clinical and economic burden of pre-emptive therapy of cytomegalovirus infection in hospitalized allogeneic hematopoietic cell transplant recipients. J. Med. Virol. 2019, 92, 86–95. [Google Scholar] [CrossRef]
- Schelfhout, J.; Bonafede, M.; Cappell, K.; Cole, A.L.; Manjelievskaia, J.; Raval, A.D. Impact of cytomegalovirus complications on resource utilization and costs following hematopoietic stem cell transplant. Curr. Med. Res. Opin. 2020, 36, 33–41. [Google Scholar] [CrossRef]
- Ranti, J.; Perkonoja, K.; Kauko, T.; Korhonen, R. Clinical and healthcare burden of disease associated with cytomegalovirus in allogeneic hematopoietic stem cell transplantation—A retrospective single-center study. Transpl. Infect. Dis. 2022, 24, e13947. [Google Scholar] [CrossRef]
- Ueno, R.; Nishimura, S.; Fujimoto, G.; Ainiwaer, D. Healthcare resource utilization and economic burden of antifungal management in patients with hematologic malignancy in Japan: A retrospective database study. Curr. Med. Res. Opin. 2021, 37, 1121–1134. [Google Scholar] [CrossRef]
- Sánchez-Ortega, I.; Patiño, B.; Muñoz, C.; Arnan, M.; Peralta, T.; Clopés, A.; de Sevilla, A.F.; Duarte, R.F. Cost-effectiveness of primary antifungal prophylaxis with posaconazole versus itraconazole in allogeneic hematopoietic stem cell transplantation. J. Med. Econ. 2013, 16, 736–743. [Google Scholar] [CrossRef]
- Walker, B.S.; Schmidt, R.L.; Tantravahi, S.; Kim, K.; Hanson, K.E. Cost-effectiveness of antifungal prophylaxis, preemptive therapy, or empiric treatment following allogeneic hematopoietic stem cell transplant. Transpl. Infect. Dis. 2019, 21, e13148. [Google Scholar] [CrossRef]
- Saullo, J.L.; Miller, R.A. Cytomegalovirus Therapy: Role of Letermovir in Prophylaxis and Treatment in Transplant Recipients. Annu. Rev. Med. 2023, 74, 89–105. [Google Scholar] [CrossRef]
- Nucci, M.; Garnica, M.; Gloria, A.B.; Lehugeur, D.S.; Dias, V.C.; Palma, L.C.; Cappellano, P.; Fertrin, K.Y.; Carlesse, F.; Simões, B.; et al. Invasive fungal diseases in haematopoietic cell transplant recipients and in patients with acute myeloid leukaemia or myelodysplasia in Brazil. Clin. Microbiol. Infect. 2013, 19, 745–751. [Google Scholar] [CrossRef] [PubMed]
- Huang, Y.-C.; Hsiao, F.-Y.; Guan, S.-T.; Yao, M.; Liu, C.-J.; Chen, T.-T.; Lin, T.-L.; Liu, Y.-C.; Chen, T.-Y.; Hong, Y.-C.; et al. Ten-year epidemiology and risk factors of cytomegalovirus infection in hematopoietic stem cell transplantation patients in Taiwan. J. Microbiol. Immunol. Infect. 2024, 57, 365–374. [Google Scholar] [CrossRef] [PubMed]
- Bittencourt, M.C.; Ciurea, S.O. Recent Advances in Allogeneic Hematopoietic Stem Cell Transplantation for Acute Myeloid Leukemia. Biol. Blood Marrow Transplant. 2020, 26, e215–e221. [Google Scholar] [CrossRef] [PubMed]




| Studies | Outcome | HRU/Cost | Complication/Intervention | Comparator | Implications |
|---|---|---|---|---|---|
| Graft versus host disease | |||||
| aGVHD | |||||
| Yu, 2019 [39]; Yu, 2020 [40]; Sabatelli, 2022 [41]; Farhadfar, 2021 [42] | LOS (initial) | HRU & Cost | ↑aGVHD | Non-GVHD | ↑↑ SR/HR ↓ for one line cf. ≥2 lines |
| Total LOS | HRU & Cost | ↑aGVHD | Non-GVHD | ||
| Readmission | HRU & Cost | ↑aGVHD | Non-GVHD | HRU: % and length of readmission ↑↑ SR/HR | |
| ICU | HRU | ↑aGVHD | Non-GVHD | HRU: % of patients | |
| Outpatient ^ | Cost | ↑aGVHD | Non-GVHD | ||
| Total | Cost | ↑aGVHD | Non-GVHD | ||
| aGVHD-attributed | Cost | ↑aGVHD | Non-GVHD | ||
| cGVHD | |||||
| Scheid, 2022 [43]; Schain, 2021 [44] | Inpatient | HRU | ↑cGVHD | Non-GVHD | HRU: % and no. of admissions ↑↑ SR/HR |
| LOS | HRU | ↑cGVHD | Non-GVHD | ↑ based on cGVHD severity (severe, moderate & mild) | |
| Total | Cost | ↑cGVHD | Non-GVHD | ||
| GVHD treatment | |||||
| Yerrabothala, 2018 [45]; Boluda, 2021 [46] | LOS | HRU & Cost | ↓ECP | Non-ECP | |
| Inpatient | HRU | ↓ECP | Non-ECP | HRU: % and no. of admissions | |
| Outpatient | HRU | ↑ECP | Non-ECP | HRU: no. of visits | |
| Total | Cost | ↓ECP | Non-ECP | ||
| Cytomegalovirus | |||||
| CMV Prophylaxis | |||||
| CADTH, 2018 [47]; NICE, 2019 [48]; Restelli, 2019 [49]; Chan, 2020 [50]; Alsumali, 2021 [51] | Total | Cost | ↑letermovir | SOC/placebo | |
| Readmission | Cost | ↓letermovir | SOC/placebo | ||
| Prophylaxis | Cost | ↑letermovir | SOC/placebo | ||
| Pre-ET | Cost | ↓letermovir | SOC/placebo | ||
| CMV Disease | Cost | ↓letermovir | SOC/placebo | ||
| CMV infection or disease | |||||
| Fang, 2020 [52]; Peffault De Latour, 2020 [53]; Schelfhout, 2020 [54]; Webb, 2018 [55]; Saullo, 2020 [56]; Ueno, 2019 [57]; Robin, 2017 [58]; Hakimi, 2018 [59]; El Haddad, 2020 [60]; Schelfhout, 2020 [61]; Ranti, 2022 [62]; | LOS (initial) | HRU & Cost | ↑CMVi/Pre-ET | No-CMV | ↑ for one cf. ≥2 CMV-readmissions |
| ICU | HRU | ↑CMVi | No-CMV | HRU: length of admission ↓ length but ↑ proportion for one cf. ≥2 CMVi | |
| LOS | HRU & Cost | ↑CMVi/CMVd | No-CMV ^^ | ↓ for one cf. ≥2 CMV-readmissions | |
| Readmission | HRU & Cost | ↑CMVi/CMVd/Pre-ET | No-CMV | HRU: % and length of readmission ↓ for one cf. ≥2 CMV-readmissions | |
| Outpatient | HRU & Cost | ↑CMVi/CMVd | No-CMV | HRU: % and no. of visits ↓ for one cf. ≥2 CMVi/CMVd | |
| Total | Cost | ↑CMVi/CMVd | No-CMV | ↓ for one cf. ≥2 CMVi/CMVd | |
| Antiviral therapy | HRU & Cost | ↑CMVi/CMVd | No-CMV | HRU: % Pre-ET antiviral therapy ↓ for one cf. ≥2 CMVi | |
Disclaimer/Publisher’s Note: The statements, opinions and data contained in all publications are solely those of the individual author(s) and contributor(s) and not of MDPI and/or the editor(s). MDPI and/or the editor(s) disclaim responsibility for any injury to people or property resulting from any ideas, methods, instructions or products referred to in the content. |
© 2025 by the authors. Licensee MDPI, Basel, Switzerland. This article is an open access article distributed under the terms and conditions of the Creative Commons Attribution (CC BY) license (https://creativecommons.org/licenses/by/4.0/).
Share and Cite
Kim, N.V.; McErlean, G.; Yu, S.; Kerridge, I.; Greenwood, M.; De Abreu Lourenco, R. Healthcare Resource Use and Costs of Allogeneic Hematopoietic Stem Cell Transplantation Complications: A Scoping Review. Curr. Oncol. 2025, 32, 283. https://doi.org/10.3390/curroncol32050283
Kim NV, McErlean G, Yu S, Kerridge I, Greenwood M, De Abreu Lourenco R. Healthcare Resource Use and Costs of Allogeneic Hematopoietic Stem Cell Transplantation Complications: A Scoping Review. Current Oncology. 2025; 32(5):283. https://doi.org/10.3390/curroncol32050283
Chicago/Turabian StyleKim, Nancy V., Gemma McErlean, Serena Yu, Ian Kerridge, Matthew Greenwood, and Richard De Abreu Lourenco. 2025. "Healthcare Resource Use and Costs of Allogeneic Hematopoietic Stem Cell Transplantation Complications: A Scoping Review" Current Oncology 32, no. 5: 283. https://doi.org/10.3390/curroncol32050283
APA StyleKim, N. V., McErlean, G., Yu, S., Kerridge, I., Greenwood, M., & De Abreu Lourenco, R. (2025). Healthcare Resource Use and Costs of Allogeneic Hematopoietic Stem Cell Transplantation Complications: A Scoping Review. Current Oncology, 32(5), 283. https://doi.org/10.3390/curroncol32050283

