Modelling Identity Disturbance: A Network Analysis of the Personality Structure Questionnaire (PSQ)
Abstract
1. Introduction
2. Method
2.1. Ethics, Sample and Power
2.2. PSQ Measure and Missing Data
2.3. Data Analysis
2.4. Network Estimation
2.5. Network Comparisons
2.6. Network Inference and Stability
3. Results
3.1. Demographics and Sample Description
3.2. Global Network Estimation
3.3. Network Comparison across Subsamples
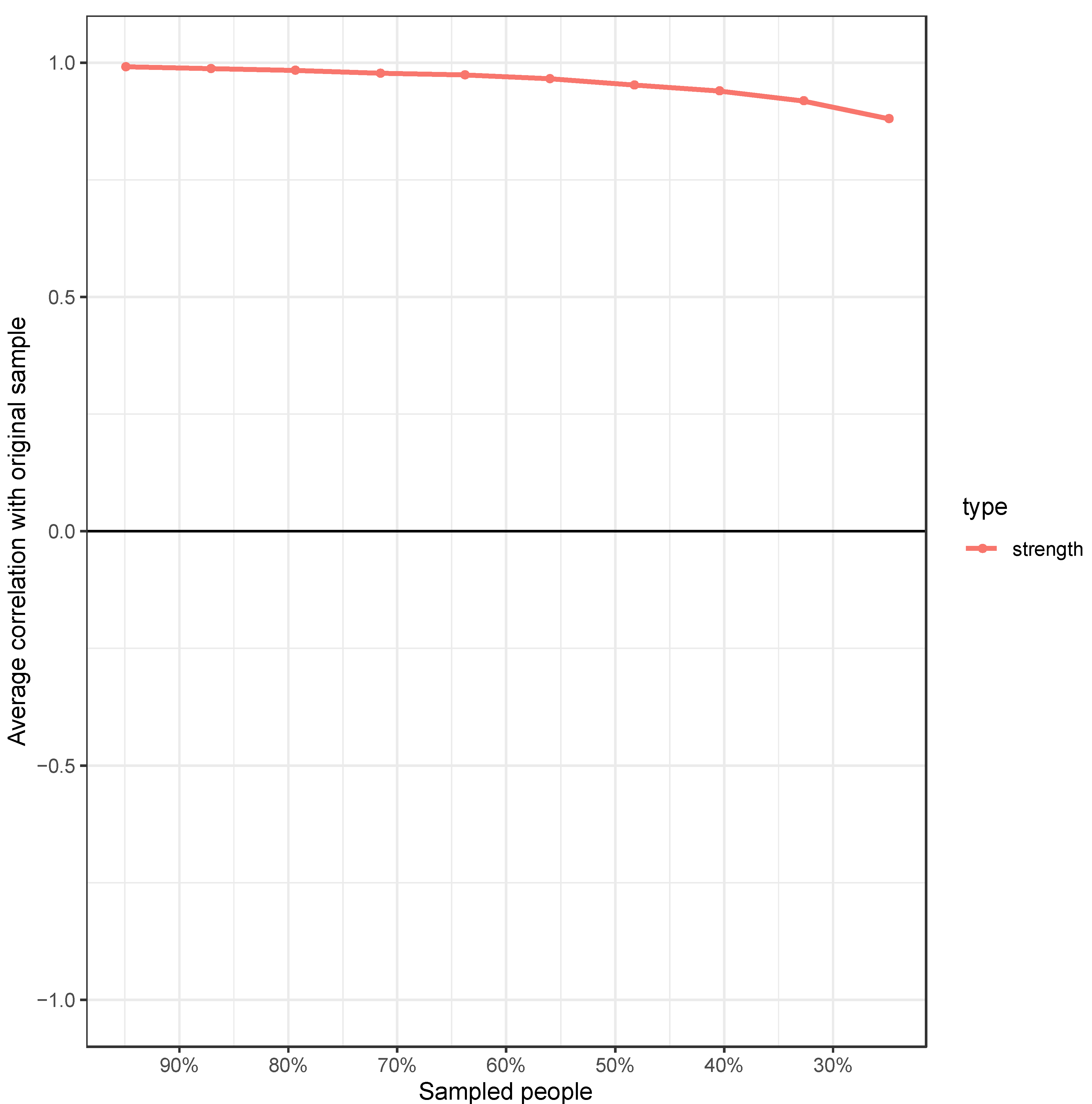
3.4. Network Stability
4. Discussion
4.1. Limitations and Future Research
4.2. Clinical Implications and Usage
5. Conclusions
Supplementary Materials
Author Contributions
Funding
Institutional Review Board Statement
Informed Consent Statement
Data Availability Statement
Acknowledgments
Conflicts of Interest
References
- Erikson, E.H. Identity, Youth and Crisis; Norton: New York, NY, USA, 1968. [Google Scholar]
- McAdams, D.P.; Trzesniewski, K.; Lilgendahl, J.; Benet-Martinez, V.; Robins, R.W. Self and identity in personality psychology. Personal. Sci. 2021, 2, 1–20. [Google Scholar] [CrossRef]
- Habermas, T.; Bluck, S. Getting a life: The emergence of the life story in adolescence. Psychol. Bull. 2000, 126, 748–769. [Google Scholar] [CrossRef] [PubMed]
- Pollock, P.H.; Broadbent, M.; Clarke, S.; Dorrian, A.; Ryle, A. The personality structure questionnaire (PSQ): A measure of the multiple self states model of identity disturbance in cognitive analytic therapy. Clin. Psychol. Psychother. 2001, 8, 59–72. [Google Scholar] [CrossRef]
- Ryle, A. Cognitive Analytic Therapy and Borderline Personality Disorder: The Model and the Method; Wiley: Chichester, UK, 1997. [Google Scholar]
- Kernberg, O.F. Identity: Recent findings and clinical implications. Psychoanal. Q. 2006, 75, 969–1004. [Google Scholar] [CrossRef] [PubMed]
- Wilkinson-Ryan, T.; Westen, D. Identity disturbance in borderline personality disorder: An empirical investigation. Am. J. Psychiatry 2000, 157, 528–541. [Google Scholar] [CrossRef] [PubMed]
- Borsboom, D. A network theory of mental disorders. World Psychiatr. 2017, 16, 5–13. [Google Scholar] [CrossRef] [PubMed]
- Richetin, J.; Preti, E.; Costantini, G.; De Panfilis, C. The centrality of affective instability and identity in borderline personality disorder: Evidence from network analysis. PLoS ONE 2017, 12, e0186695. [Google Scholar] [CrossRef]
- Southward, M.W.; Cheavens, J.S. Identifying core deficits in a dimensional model of borderline personality disorder features: A network analysis. Clin. Psychol. Sci. 2018, 6, 685–703. [Google Scholar] [CrossRef] [PubMed]
- Bedford, A.; Davies, F.; Tibbles, J. The personality structure questionnaire (PSQ): A cross-validation with a large clinical sample. Clin. Psychol. Psychother. 2009, 16, 77–81. [Google Scholar] [CrossRef] [PubMed]
- Berrios, R.; Kellett, S.; Fiorani, C.; Poggioli, M. Assessment of identity disturbance: Factor structure and validation of the personality structure questionnaire in an Italian sample. Psychol. Assess. 2016, 28, 27–35. [Google Scholar] [CrossRef] [PubMed]
- Fried, E.I.; Cramer, A.O.J. Moving forward: Challenges and directions for psychopathological network theory and methodology. Perspect. Psychol. Sci. 2017, 12, 999–1020. [Google Scholar] [CrossRef] [PubMed]
- Stochl, J.; Soneson, E.; Wagner, A.P.; Khandaker, G.M.; Goodyer, I.; Jones, P.B. Identifying key targets for interventions to improve psychological wellbeing: Replicable results from four UK cohorts. Psychol. Med. 2019, 49, 2389–2396. [Google Scholar] [CrossRef] [PubMed]
- Walter, M.; Berth, H.; Selinger, J.; Gerhard, U.; Kuchenhoff, J.; Frommer, J.; Dasmmann, G. The lack of negative affects as an indicator for identity disturbance in borderline personality disorder: A preliminary report. Psychopathology 2009, 42, 399–404. [Google Scholar] [CrossRef] [PubMed]
- Jorgensen, C.R. Disturbed sense of identity in borderline personality disorder. J. Personal. Disord. 2006, 20, 618–644. [Google Scholar] [CrossRef] [PubMed]
- Holmes, E.A.; Bonsall, M.B.; Hales, S.A.; Mitchell, H.; Renner, F.; Blackwell, S.E.; Watson, P.; Goodwin, G.M.; Di Simplicio, M. Applications of time-series analysis to mood fluctuations in bipolar disorder to promote treatment innovation: A case series. Transl. Psychiatr. 2016, 6, e720. [Google Scholar] [CrossRef] [PubMed]
- Epskamp, S.; Cramer, A.O.; Waldorp, L.J.; Schmittmann, V.D.; Borsboom, D. qgraph: Network visualizations of relationships in psychometric data. J. Stat. Softw. 2012, 48, 1–18. [Google Scholar] [CrossRef]
- Friedman, J.H.; Hastie, T.; Tibshirani, R. glasso: Graphical Lasso-Estimation of Gaussian Graphical Models; R Package Version 1.8. 2014. Available online: https://tibshirani.su.domains/glasso/ (accessed on 16 October 2022).
- Costantini, G.; Epskamp, S. EstimateGroupNetwork: Perform the Joint Graphical Lasso and Selects Tuning Parameters. R Package Version 0.1.2. 2017. Available online: https://cran.r-project.org/web/packages/EstimateGroupNetwork/index.html (accessed on 16 October 2022).
- Van Borkulo, C.; Boschloo, L.; Kossakowski, J.; Tio, P.; Schoevers, R.; Borsboom, D.; Waldorp, L. Comparing network structures on three aspects: A permutation test. 2017; unpublished manuscript. [Google Scholar] [CrossRef]
- Haslbeck, J.M.B.; Waldorp, L.J. mgm: Structure Estimation for Time-Varying Mixed Graphical Models in High-Dimensional Data. arXiv 2016, arXiv:1510.06871. [Google Scholar] [CrossRef]







| Country (Adult/Adolescent) | Diagnosis or Presenting Problem | PSQ Sample Size | Control Sample Size | Mean Age | Cronbach Alpha Score | Inclusion and Exclusion Criteria | Study Invitation Method | Data Collection Method | Response Rate | Percentage Missing Data |
|---|---|---|---|---|---|---|---|---|---|---|
| United Kingdom (adult) | Self-harm | 96 | 110 | Age recorded as categories. 18–29 years, n = 197 30–49 years, n = 9 | 0.83 | Clinical group: (1) aged 18 years or older; (2) ≥2 lifetime instances of self-harm; (3) adequate English to complete measures Control group: (1) aged 18 years or older; (2) No lifetime instances of self-harm; (3) Adequate English to complete measures | Clinical group: potential participants referred by clinicians or self-referred in response to adverts. Control group: University study participation system | Clinical group: in person. Control group: online | Unknown, as information not recorded | None |
| United Kingdom (adult) | Mixed | 73 | 0 | Mean 34.84 years (SD = 8.92). Range 18–70) | 0.94 | Inclusion criteria; seeking psychotherapy in private practice due to mental health problem. Exclusion: none. | Routine practice screen in private practice | Interview | 100 % | None |
| United Kingdom (adult) | Psychosis | 182 | 295 | Clinical group mean 33.17 years. Control group mean 25.75 years. | 0.87 | Clinical group: (1) aged 18 years or older; (2) diagnosis of psychosis or receipt of treatment for psychosis (e.g., antipsychotic medication); (3) Adequate English to complete measures Control group: (1) aged 18 years or older; (2) no diagnosis of psychosis or receipt of treatment for psychosis (e.g., antipsychotic medication); (3) Adequate English to complete measures | Clinical and community samples: adverts placed on social media and mental health websites | Online | Unknown | Clinical group: 25%. Control group: 20%. |
| United Kingdom (adult) | Mixed | 22 | 0 | Mean 37.18 years (SD = 11.19) Range 21–60. | 0.87 | Inclusion criteria; referred to secondary care mental health care service and receiving cognitive analytic consultancy due to problems with making use of standard service offer. | Routine practice screen in the National Health Service in Secondary Care psychological services | In person interview | 100% | None |
| Italy (adult) | Mixed | 237 | 296 | Community mean age 33.36 (SD 13.26) Clinical mean age 32.43 (SD 13.86) | 0.85 | Inclusion criteria; referred to mental health care services. Exclusion; none. | Clinical: routine practice screen in the Italian public health system. Community; approached local community groups and advertised in local amenities | In person interview for both samples | 100% in clinical sample. Unknown in the community sample. | None |
| Italy (adolescent) | Mixed | 152 | 90 | All under the age of 18 years. | 0.78 | Inclusion criteria; referred to mental health care services. Exclusion; none. | Clinical: routine practice screen in the Italian public health system Community; approached local community groups and advertised in local amenities | Interview for both samples | 100% in clinical sample. Unknown in the community sample. | None |
| Variables | N | % |
|---|---|---|
| Group | ||
| Clinical | 772 | 49.7 |
| Community | 781 | 50.3 |
| Gender | ||
| Male | 652 | 42.0 |
| Female | 887 | 57.1 |
| Unknown | 14 | 0.9 |
| Age | ||
| <18 | 256 | 16.5 |
| 18–29 | 766 | 49.3 |
| 30–49 | 426 | 27.4 |
| 50–64 | 83 | 5.3 |
| >65 | 18 | 1.2 |
| Unknown | 4 | 0.3 |
| Nationality | ||
| UK | 627 | 40.4 |
| Italy | 777 | 50.0 |
| USA | 58 | 3.7 |
| Australia | 8 | 0.5 |
| Canada | 10 | 0.6 |
| Other–Europe | 30 | 1.9 |
| Other–Asia | 21 | 1.4 |
| Other–Middle East | 13 | 0.8 |
| Other–Central America/Caribbean | 4 | 0.3 |
| Other–South America | 3 | 0.2 |
| Unknown | 1 | 0.1 |
| Diagnoses | ||
| None | 781 | 50.3 |
| Depression | 108 | 7.0 |
| Self-harm | 39 | 2.5 |
| Anxiety disorders, OCD and PTSD | 79 | 5.1 |
| Personality disorders (BPD/EUPD) | 30 | 1.9 |
| Psychosis | 187 | 12.0 |
| Eating and body disorders (AN, BN, BDD, obesity) | 221 | 14.2 |
| Developmental disorders (ASD, ADHD) | 58 | 3.7 |
| Language disorders | 4 | 0.3 |
| Behavioural disorders (including conduct disorder) | 12 | 0.8 |
| Long-term physical health condition | 10 | 0.6 |
| Substance misuse | 5 | 0.3 |
| Other | 13 | 0.8 |
| Unknown | 6 | 0.4 |
| Item | UK (n = 625) | Italian (n = 521) | Adult (n = 521) | Adolescent (n = 254) | Clinical (n = 769) | Community (n = 780) | Complex Mental Health Problem (n = 477) | Common Mental Health Problem (n = 1073) |
|---|---|---|---|---|---|---|---|---|
| PSQ1 | 3.12 (1.17) | 2.77 (1.17) | 2.77 (1.17) | 3.31 (1.45) | 3.29 (1.23) | 2.79 (1.09) | 3.25 (1.24) | 2.95 (1.15) |
| PSQ2 | 2.72 (1.18) | 2.59 (1.18) | 2.59 (1.18) | 3.20 (1.30) | 2.98 (1.31) | 2.61 (1.10) | 2.95 (1.30) | 2.72 (1.18) |
| PSQ3 | 2.88 (1.16) | 2.65 (1.18) | 2.65 (1.18) | 2.99 (1.28) | 3.13 (1.27) | 2.58 (1.07) | 3.13 (1.28) | 2.73 (1.15) |
| PSQ4 | 2.90 (1.13) | 2.81 (1.18) | 2.81 (1.18) | 3.16 (1.16) | 3.21 (1.21) | 2.67 (1.08) | 3.18 (1.13) | 2.83 (1.14) |
| PSQ5 | 3.15 (1.23) | 2.85 (1.21) | 2.85 (1.21) | 3.25 (1.32) | 3.38 (1.33) | 2.77 (1.11) | 3.41 (1.32) | 2.92 (1.21) |
| PSQ6 | 3.06 (1.28) | 2.77 (1.25) | 2.77 (1.25) | 3.14 (1.37) | 3.22 (1.34) | 2.72 (1.21) | 3.21 (1.34) | 2.86 (1.26) |
| PSQ7 | 2.76 (1.19) | 2.96 (1.11) | 2.96 (1.11) | 3.35 (1.24) | 3.19 (1.25) | 2.68 (1.08) | 3.17 (1.25) | 2.83 (1.16) |
| PS8Q | 3.50 (1.09) | 3.19 (1.23) | 3.19 (1.23) | 3.66 (1.20) | 3.67 (1.18) | 3.19 (1.15) | 3.65 (1.21) | 3.33 (1.17) |
| Total PSQ | 24.08 (6.92) | 22.58 (6.59) | 22.58 (6.59) | 26.06 (6.30) | 26.06 (7.18) | 22.01 (5.83) | 25.94 (7.24) | 23.16 (6.48) |
Publisher’s Note: MDPI stays neutral with regard to jurisdictional claims in published maps and institutional affiliations. |
© 2022 by the authors. Licensee MDPI, Basel, Switzerland. This article is an open access article distributed under the terms and conditions of the Creative Commons Attribution (CC BY) license (https://creativecommons.org/licenses/by/4.0/).
Share and Cite
Mangion, G.; Simmonds-Buckley, M.; Kellett, S.; Taylor, P.; Degnan, A.; Humphrey, C.; Freshwater, K.; Poggioli, M.; Fiorani, C. Modelling Identity Disturbance: A Network Analysis of the Personality Structure Questionnaire (PSQ). Int. J. Environ. Res. Public Health 2022, 19, 13793. https://doi.org/10.3390/ijerph192113793
Mangion G, Simmonds-Buckley M, Kellett S, Taylor P, Degnan A, Humphrey C, Freshwater K, Poggioli M, Fiorani C. Modelling Identity Disturbance: A Network Analysis of the Personality Structure Questionnaire (PSQ). International Journal of Environmental Research and Public Health. 2022; 19(21):13793. https://doi.org/10.3390/ijerph192113793
Chicago/Turabian StyleMangion, Georgia, Melanie Simmonds-Buckley, Stephen Kellett, Peter Taylor, Amy Degnan, Charlotte Humphrey, Kate Freshwater, Marisa Poggioli, and Cristina Fiorani. 2022. "Modelling Identity Disturbance: A Network Analysis of the Personality Structure Questionnaire (PSQ)" International Journal of Environmental Research and Public Health 19, no. 21: 13793. https://doi.org/10.3390/ijerph192113793
APA StyleMangion, G., Simmonds-Buckley, M., Kellett, S., Taylor, P., Degnan, A., Humphrey, C., Freshwater, K., Poggioli, M., & Fiorani, C. (2022). Modelling Identity Disturbance: A Network Analysis of the Personality Structure Questionnaire (PSQ). International Journal of Environmental Research and Public Health, 19(21), 13793. https://doi.org/10.3390/ijerph192113793

