Effect of 8-Week β-Alanine Supplementation on CRP, IL-6, Body Composition, and Bio-Motor Abilities in Elite Male Basketball Players
Abstract
1. Introduction
2. Materials and Methods
2.1. Participants
2.2. Sample Size
2.3. Experimental Approach to the Problem
2.4. Measurements
2.4.1. Blood Sampling
2.4.2. Body Composition (Body Fat%)
2.4.3. Dosage and Supplement Administration
2.4.4. Countermovement Jump
2.4.5. Anaerobic Test
2.4.6. Lactate Measurements
2.4.7. VO2max Measurements
2.4.8. Control of Food Intake
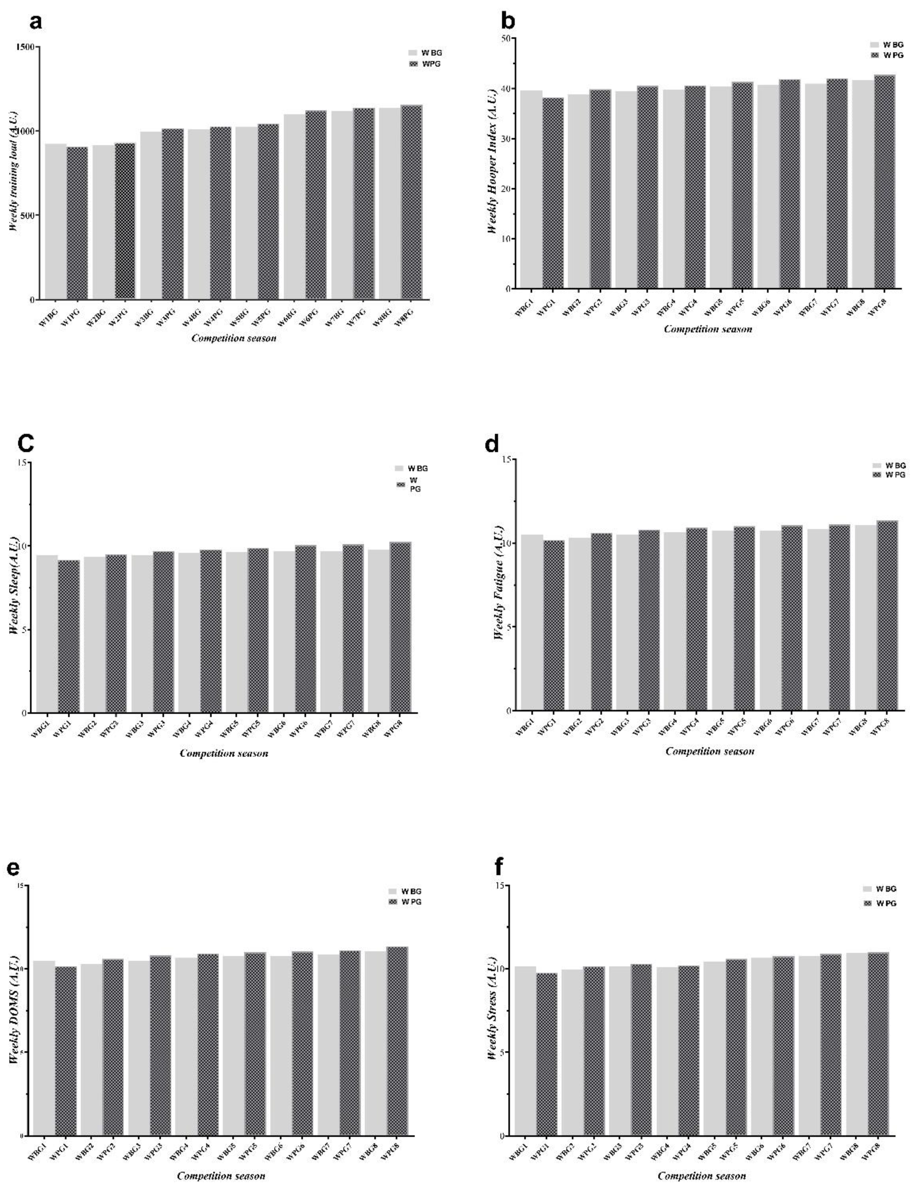
2.5. Monitoring Internal Training Loads
Wellness Measures
2.6. Statistical Methods
3. Results
4. Discussion
5. Conclusions
Author Contributions
Funding
Institutional Review Board Statement
Informed Consent Statement
Data Availability Statement
Conflicts of Interest
References
- Russell, J.L.; McLean, B.D.; Impellizzeri, F.M.; Strack, D.S.; Coutts, A.J. Measuring Physical Demands in Basketball: An Explorative Systematic Review of Practices. Sport Med. 2021, 51, 81–112. [Google Scholar] [CrossRef]
- Montgomery, P.G.; Pyne, D.B.; Minahan, C.L. The physical and physiological demands of basketball training and competition. Int. J. Sports Physiol. Perform. 2010, 5, 75–86. [Google Scholar] [CrossRef]
- Puente, C.; Abián-Vicén, J.; Areces, F.; López, R.; Del Coso, J. Physical and Physiological Demands of Experienced Male Basketball Players during a Competitive Game. J. Strength Cond. Res. 2017, 31, 956–962. [Google Scholar] [CrossRef]
- Carvalho, H.M.; Coelho-E-Silva, M.J.; Eisenmann, J.C.; Malina, R.M. Aerobic fitness, maturation, and training experience in youth basketball. Int. J. Sports Physiol. Perform. 2013, 8, 428–434. [Google Scholar] [CrossRef]
- Vamvakoudis, E.; Vrabas, I.S.; Galazoulas, C.; Stefanidis, P.; Metaxas, T.I.; Mandroukas, K. Effects of basketball training on maximal oxygen uptake, muscle strength, and joint mobility in young basketball players. J. Strength Cond. Res. 2007, 21, 930–936. [Google Scholar]
- Ransone, J. Physiologic profile of basketball athletes. Sport Sci. Exch. 2016, 28, 1–4. [Google Scholar]
- Narazaki, K.; Berg, K.; Stergiou, N.; Chen, B. Physiological demands of competitive basketball. Scand. J. Med. Sci. Sport 2009, 19, 425–432. Available online: http://www.embase.com/search/results?subaction=viewrecord&from=export&id=L354662477%0Ahttp://dx.doi.org/10.1111/j.1600–0838.2008.00789.x (accessed on 11 April 2022). [CrossRef]
- Kinoshita, T.; Nakamura, T.; Umemoto, Y.; Kojima, D.; Moriki, T.; Mitsui, T.; Goto, M.; Ishida, U.; Tajima, F. Increase in interleukin-6 immediately after wheelchair basketball games in persons with spinal cord injury: Preliminary report. Spinal Cord. 2013, 51, 508–510. Available online: http://ovidsp.ovid.com/ovidweb.cgi?T=JS&PAGE=reference&D=emed11&NEWS=N&AN=2013372352 (accessed on 17 April 2022). [CrossRef]
- Jain, S.K.; Rains, J.L.; Croad, J.L. Effect of chromium niacinate and chromium picolinate supplementation on lipid peroxidation, TNF-α, IL-6, CRP, glycated hemoglobin, triglycerides, and cholesterol levels in blood of streptozotocin-treated diabetic rats. Free Radic. Biol. Med. 2007, 43, 1124–1131. [Google Scholar] [CrossRef]
- Nobari, H.; Cholewa, J.M.; Pérez-Gómez, J.; Castillo-Rodríguez, A. Effects of 14-weeks betaine supplementation on pro-inflammatory cytokines and hematology status in professional youth soccer players during a competition season: A double blind, randomized, placebo-controlled trial. J. Int. Soc. Sports Nutr. 2021, 18, 42. [Google Scholar] [CrossRef]
- Jain, S.K.; Rains, J.; Croad, J.; Larson, B.; Jones, K. Curcumin supplementation lowers TNF-α, IL-6, IL-8, and MCP-1 secretion in high glucose-treated cultured monocytes and blood levels of TNF-α, IL-6, MCP-1, glucose, and glycosylated hemoglobin in diabetic rats. Antioxid. Redox Signal 2009, 11, 241–249. [Google Scholar] [CrossRef]
- Schön, M.; Mousa, A.; Berk, M.; Chia, W.L.; Ukropec, J.; Majid, A.; Ukropcová, B.; de Courten, B. The potential of carnosine in brain-related disorders: A comprehensive review of current evidence. Nutrients 2019, 11, 1196. [Google Scholar] [CrossRef]
- Susanto, N.; Wiriadinata, W.; Rifki, M.S. Analysis of Anthropometric and Biomotor Components on the Performance of FIK UNP Basketball Athletes. In Proceedings of the 2nd Progress in Social Science, Humanities and Education Research Symposium (PSSHERS 2020), West Sumatera, Indonesia, 30–31 October 2020; Atlantis Press: Amsterdam, The Netherlands, 2021; Volume 563. [Google Scholar]
- Rajan, N.; Ahamed Faiz, P.A. Plyometric training on selected bio motor abilities of basketball players. Int. J. Physiol. Nutr. Phys. Educ. 2018, 3, 1296–1299. [Google Scholar]
- Milioni, F.; Redkva, P.E.; Barbieri, F.A.; Zagatto, A.M. Six weeks of β-alanine supplementation did not enhance repeated-sprint ability or technical performances in young elite basketball players. Nutr. Health 2017, 23, 111–118. [Google Scholar] [CrossRef]
- Blancquaert, L.; Everaert, I.; Derave, W. Beta-alanine supplementation, muscle carnosine and exercise performance. Curr. Opin. Clin. Nutr. Metab. Care 2015, 18, 63–70. [Google Scholar] [CrossRef]
- Cerqueira, É.; Marinho, D.A.; Neiva, H.P.; Lourenço, O. Inflammatory Effects of High and Moderate Intensity Exercise—A Systematic Review. Front. Physiol. 2020, 10, 1550. [Google Scholar] [CrossRef]
- Chen, Y.W.; Apostolakis, S.; Lip, G.Y.H. Exercise-induced changes in inflammatory processes: Implications for thrombogenesis in cardiovascular disease. Ann. Med. 2014, 46, 439–455. [Google Scholar] [CrossRef]
- Kyriazi, E.; Tsiotra, P.C.; Boutati, E.; Ikonomidis, I.; Fountoulaki, K.; Maratou, E.; Lekakis, J.; Dimitriadis, G.; Kremastinos, D.T.; Raptis, S.A. Effects of adiponectin in TNF-α, IL-6, and IL-10 cytokine production from coronary artery disease macrophages. Horm. Metab. Res. 2011, 43, 537–544. [Google Scholar] [CrossRef]
- Invernizzi, P.L.; Venerando, B.; Pierro, F.D.; Saronni, S.; Papini, N. Effects of Carnosine and Beta-Alanine Ingestion on Anaerobic Sprint Performance and Peripheral Blood Mononuclear Cell Interleukin-6 and -10 Gene Expression. Adv. Phys. Educ. 2013, 3, 197–204. [Google Scholar] [CrossRef][Green Version]
- Nobari, H.; Ahmadi, M.; Sá, M.; Pérez-Gómez, J.; Clemente, F.M.; Adsuar, J.C.; Minasian, V.; Afonso, J. The effect of two types of combined training on bio-motor ability adaptations in sedentary females. J. Sports Med. Phys. Fit. 2021, 61, 1317–1325. [Google Scholar] [CrossRef]
- Nobari, H.; Gandomani, E.E.; Reisi, J.; Vahabidelshad, R.; Suzuki, K.; Volpe, S.L.; Pérez-Gómez, J. Effects of 8 Weeks of High-Intensity Interval Training and Spirulina Supplementation on Immunoglobin Levels, Cardio-Respiratory Fitness, and Body Composition of Overweight and Obese Women. Biology 2022, 11, 196. [Google Scholar] [CrossRef]
- Syed-Abdul, M.M.; Soni, D.S.; Barnes, J.T.; Wagganer, J.D. Comparative analysis of BIA, IBC and DXA for determining body fat in american football players. J. Sports Med. Phys. Fit. 2021, 61, 687–692. [Google Scholar] [CrossRef]
- Ogawa, H.; Fujitani, K.; Tsujinaka, T.; Imanishi, K.; Shirakata, H.; Kantani, A.; Hirao, M.; Kurokawa, Y.; Utsumi, S. InBody 720 as a new method of evaluating visceral obesity. Hepatogastroenterology 2011, 58, 42–44. Available online: https://pubmed.ncbi.nlm.nih.gov/21510284/ (accessed on 22 April 2022).
- Ribeiro, R.; Duarte, B.; Guedes da Silva, A.; Ramos, G.P.; Rossi Picanço, A.; Penna, E.M.; Coswig, V.; Barbalho, M.; Gentilet, P.; Gualano, B.; et al. Short-Duration Beta-Alanine Supplementation Did Not Prevent the Detrimental Effects of an Intense Preparatory Period on Exercise Capacity in Top-Level Female Footballers. Front. Nutr. 2020, 7, 43. [Google Scholar] [CrossRef]
- Donovan, T.; Ballam, T.; Morton, J.P.; Close, G.L. Β-Alanine Improves Punch Force and Frequency in Amateur Boxers During a Simulated Contest. Int. J. Sport Nutr. Exerc. Metab. 2012, 22, 331–337. [Google Scholar] [CrossRef]
- Hill, C.A.; Harris, R.C.; Kim, H.J.; Harris, B.D.; Sale, C.; Boobis, L.; Kim, C.K.; Wise, J.A. Influence of beta-alanine supplementation on skeletal muscle carnosine concentrations and high intensity cycling capacity. Amino Acids 2007, 32, 225–233. Available online: http://ovidsp.ovid.com/ovidweb.cgi?T=JS&PAGE=reference&D=emed11&NEWS=N&AN=46198746 (accessed on 8 April 2022). [CrossRef]
- Kendrick, I.P.; Harris, R.C.; Kim, H.J.; Kim, C.K.; Dang, V.H.; Lam, T.Q.; Bui, T.T.; Smith, M.; Wise, J.A. The effects of 10 weeks of resistance training combined with beta-alanine supplementation on whole body strength, force production, muscular endurance and body composition. Amino Acids 2008, 34, 547–554. Available online: http://ovidsp.ovid.com/ovidweb.cgi?T=JS&PAGE=reference&D=emed11&NEWS=N&AN=50031430 (accessed on 18 June 2022). [CrossRef]
- Hobson, R.M.; Saunders, B.; Ball, G.; Harris, R.C.; Sale, C. Effects of β-alanine supplementation on exercise performance: A meta-analysis. Amino Acids 2012, 43, 25–37. [Google Scholar] [CrossRef]
- Bangsbo, J.; Mohr, M. Fitness Testing in Football, no. 2, Bangsbosport, Espergaerde. 2012, 136, 112. Available online: https://research.ku.dk/search/result/?pure=en%2Fpublications%2Ffitness-testing-in-football(6311dcc9-7f66-4477-af78-b69c6be1ffbe)%2Fexport.html (accessed on 30 August 2022).
- Haugen, T.A.; Tønnessen, E.; Seiler, S. Speed and countermovement-jump characteristics of elite female soccer players, 1995–2010. Int. J. Sports Physiol. Perform. 2012, 7, 340–349. [Google Scholar] [CrossRef]
- Nobari, H.; Polito, L.F.T.; Clemente, F.M.; Pérez-Gómez, J.; Ahmadi, M.; Garcia-Gordillo, M.Á.; Silva, A.F.; Adsuar, J.C. Relationships between training workload parameters with variations in anaerobic power and change of direction status in elite youth soccer players. Int. J. Environ. Res. Public Health 2020, 17, 7934. [Google Scholar] [CrossRef]
- Nobari, H.; Silva, A.F.; Clemente, F.M.; Siahkouhian, M.; García-Gordillo, M.Á.; Adsuar, J.C.; Pérez-Gómez, J. Analysis of Fitness Status Variations of Under-16 Soccer Players Over a Season and Their Relationships with Maturational Status and Training Load. Front. Physiol. 2021, 11, 1840. [Google Scholar] [CrossRef]
- Hooper, S.L.; Mackinnon, L.T.; Howard, A.; Gordon, R.D.; Bachmann, A.W. Markers for monitoring overtraining and recovery. Med. Sci. Sport Exerc. 1995, 27, 106–112. [Google Scholar] [CrossRef]
- Hopkins, W.; Marshall, S.; Batterham, A.; Hanin, J. Progressive statistics for studies in sports medicine and exercise science. Med. Sci. Sport Exerc. 2009, 41, 3–12. Available online: http://ovidsp.ovid.com/ovidweb.cgi?T=JS&PAGE=reference&D=emed9&NEWS=N&AN=2009291843 (accessed on 18 June 2022). [CrossRef]
- Ghiasvand, R.; Askari, G.; Malekzadeh, J.; Hajishafiee, M.; Daneshvar, P.; Akbari, F.; Bahreynian, M. Effects of six weeks of β-alanine administration on VO 2 max, time to exhaustion and lactate concentrations in physical education students. Int. J. Prev. Med. 2012, 3, 559–563. [Google Scholar]
- Qi, B.; Wang, J.; Hu, M.; Ma, Y.; Wu, S.; Qi, G.; Qiu, K.; Zhang, H. Influences of beta-alanine and l-histidine supplementation on growth performance, meat quality, carnosine content, and mRNA expression of carnosine-related enzymes in broilers. Animals 2021, 11, 2265. [Google Scholar] [CrossRef]
- Nobari, H.; Saedmocheshi, S.; Johnson, K.; Suzuki, K.; Maynar-Mariño, M. A Brief Overview of the Effects of Exercise and Red Beets on the Immune System in Patients with Prostate Cancer. Sustainability 2022, 14, 6492. [Google Scholar] [CrossRef]
- Jin, S.Y.; Moon, H.W.; Kim, J.S.; Kim, H.Y. Effects of 4 Weeks of Beta-Alanine Intake on Inflammatory Cytokines after 10 km Long Distance Running Exercise. Exerc. Sci. 2022, 31, 188–196. [Google Scholar] [CrossRef]
- Kern, B.; Robinson, T.L. Effects of Beta-Alanine Supplementation on Performance And Body Composition In Collegiate Wrestlers And Football Players. J. Strength Cond. Res. 2010, 24, 1. [Google Scholar] [CrossRef]
- Nobari, H.; Cholewa, J.M.; Castillo-Rodríguez, A.; Kargarfard, M.; Pérez-Gómez, J. Effects of chronic betaine supplementation on performance in professional young soccer players during a competitive season: A double blind, randomized, placebo-controlled trial. J. Int. Soc. Sports Nutr. 2021, 18, 67. [Google Scholar] [CrossRef]
- Jordan, T.; Lukaszuk, J.; Misic, M.; Umoren, J. Effect of beta-alanine supplementation on the onset of blood lactate accumulation (OBLA) during treadmill running: Pre/post 2 treatment experimental design. J. Int. Soc. Sports Nutr. 2010, 7, 20. [Google Scholar] [CrossRef] [PubMed]

| Variables | Groups | Pre-Season Mean ± SD | Post-Season Mean ± SD | p |
|---|---|---|---|---|
| Carbohydrate (g) | BG | 349.30 ± 18.70 | 355.15 ± 19.8 | 0.82 |
| PG | 347.18 ± 22.36 | 342.8 ± 23.5 | ||
| Protein (g) | BG | 128.26 ± 53.67 | 125.12 ± 26.5 | 0.658 |
| PG | 127.65 ± 54.19 | 119.96 ± 36.8 | ||
| Fat (g) | BG | 68.32 ± 14.24 | 69.52 ± 9.23 | 0.642 |
| PG | 67.86 ± 13.80 | 65.2 ± 4.9 |
| Variables | Groups | Pre-Season M ± SD | Post-Season M ± SD | p-Value | Mean Pre-Post Season | Mean Pre-Post Season% Changes | Effect Size Cohens D | |
|---|---|---|---|---|---|---|---|---|
| Lower | Upper | |||||||
| Body mass (kg) | BG | 72.45 (0.59) | 71.95 (1.3) | 0.77 | −1.2 | 0.2 | −0.5 | −0.8T |
| PG | 72.25 (0.92) | 71.55 (0.92) | 0.08 | −1.7 | 0.3 | −0.7 | −0.5T | |
| Fat (%) | BG | 19.35 (0.70) | 18.45 (0.49) | 0.42 | −1.4 | −0.3 | −0.9 | −1.2T |
| PG | 19.25 (0.42) | 18.87 (0.42) | 0.72 | −0.7 | 0.01 | −0.3 | −0.8T | |
| IL-6 (Pg/mL) | BG | 5.98 (0.68) | 5.42 (0.33) | 0.007 *,# | −1.07 | −0.05 | −0.5 | −0.8T |
| PG | 6.14 (0.42) | 6.15 (0.31) | 0.21 | −0.34 | 0.36 | 0.01 | 0.02T | |
| CRP (mg/L) | BG | 0.83 (0.08) | 0.70 (0.03) | ≤0.01 *,# | −0.14 | −0.1 | −0.12 | −15.06T |
| PG | 0.84 (0.09) | 0.90 (0.01) | ≤0.01 *,# | 0.05 | 0.07 | 0.6 | 6.4P | |
| Lactate (mg/L) | BG | 4.28 (0.28) | 4.25 (0.21) | 0.16 | −0.2 | 0.2 | −0.03 | −0.1T |
| PG | 4.47 (0.21) | 4.55 (0.22) | 0.40 | −0.1 | 0.2 | 0.08 | 0.38S | |
| Heart Rate (BMP) | BG | 194.8 (5.39) | 195.2 (5.05) | 0.34 | −4.5 | 5.3 | 0.4 | 0.07T |
| PG | 193.4 (4.83) | 194.9 (4.35) | 0.91 | −2.8 | 5.8 | 1.5 | 0.3S | |
| Variables | Groups | Pre-Season M ± SD | Post-Season M ± SD | p-Value | Mean Pre-Post Season | Mean Pre-Post Season % Changes | Effect Size Cohens D | |
|---|---|---|---|---|---|---|---|---|
| Lower | Upper | |||||||
| VO2max (mL·kg−1·min−1) | BG | 58.1 (0.87) | 60.1 (1.37) | 0.007 | −3.0 | −0.920 | −2.000 | −1.4T |
| PG | 58.5 (0.52) | 59.3 (0.82) | 0.22 | −1.4 | −0.151 | −0.800 | −0.94T | |
| Fatigue | BG | 43.2 (1.23) | 38.4 (1.34) | 0.03 | 3.6 | 6.0 | 4.8 | 3.5V |
| PG | 43.3 (1.25) | 39.3 (0.94) | 0.03 | 2.9 | 5.0 | 4.0 | 4.2P | |
| RPP (w) | BG | 862.1 (33.3) | 881 (45.7) | 0.002 *,# | −56.5 | 18.7 | −18.9 | −0.4T |
| PG | 850 (5.12) | 858.3 (4.73) | 0.002 *,# | −12.9 | −3.66 | −8.3 | −1.7T | |
| RMP (w) | BG | 411.4 (15.1) | 425.5 (7.53) | 0.243 | −25.3 | −2.8 | −14.1 | −2.07T |
| PG | 410.8 (5.24) | 415 (5.35) | 0.89 | −9.1 | 0.7 | −4.2 | −1.6T | |
| RAP (w) | BG | 606.3 (4.62) | 616 (6.14) | 0.13 | −14.8 | −4.5 | −9.7 | −0.3T |
| PG | 606.4 (9.16) | 608 (5.66) | 0.24 | −9.3 | 4.9 | −2.2 | −1.5T | |
| CMJ (cm) | BG | 42.4 (1.42) | 44.9 (0.72) | 0.90 | −3.6 | −1.5 | −2.5 | −3.5T |
| PG | 42.2 (0.82) | 44.2 (0.68) | 0.61 | −2.7 | −1.3 | −2.0 | −2.9T | |
Publisher’s Note: MDPI stays neutral with regard to jurisdictional claims in published maps and institutional affiliations. |
© 2022 by the authors. Licensee MDPI, Basel, Switzerland. This article is an open access article distributed under the terms and conditions of the Creative Commons Attribution (CC BY) license (https://creativecommons.org/licenses/by/4.0/).
Share and Cite
Turcu, I.; Oancea, B.; Chicomban, M.; Simion, G.; Simon, S.; Negriu Tiuca, C.I.; Ordean, M.N.; Petrovici, A.G.; Nicolescu Șeușan, N.A.; Hăisan, P.L.; et al. Effect of 8-Week β-Alanine Supplementation on CRP, IL-6, Body Composition, and Bio-Motor Abilities in Elite Male Basketball Players. Int. J. Environ. Res. Public Health 2022, 19, 13700. https://doi.org/10.3390/ijerph192013700
Turcu I, Oancea B, Chicomban M, Simion G, Simon S, Negriu Tiuca CI, Ordean MN, Petrovici AG, Nicolescu Șeușan NA, Hăisan PL, et al. Effect of 8-Week β-Alanine Supplementation on CRP, IL-6, Body Composition, and Bio-Motor Abilities in Elite Male Basketball Players. International Journal of Environmental Research and Public Health. 2022; 19(20):13700. https://doi.org/10.3390/ijerph192013700
Chicago/Turabian StyleTurcu, Ioan, Bogdan Oancea, Mihaela Chicomban, Gabriel Simion, Sorin Simon, Codruța Ioana Negriu Tiuca, Mircea Nicolae Ordean, Alexandru Gabriel Petrovici, Nicoleta Adina Nicolescu Șeușan, Petronela Lăcrămioara Hăisan, and et al. 2022. "Effect of 8-Week β-Alanine Supplementation on CRP, IL-6, Body Composition, and Bio-Motor Abilities in Elite Male Basketball Players" International Journal of Environmental Research and Public Health 19, no. 20: 13700. https://doi.org/10.3390/ijerph192013700
APA StyleTurcu, I., Oancea, B., Chicomban, M., Simion, G., Simon, S., Negriu Tiuca, C. I., Ordean, M. N., Petrovici, A. G., Nicolescu Șeușan, N. A., Hăisan, P. L., Hășmășan, I. T., Hulpuș, A. I., Stoian, I., Ciocan, C. V., & Curițianu, I. M. (2022). Effect of 8-Week β-Alanine Supplementation on CRP, IL-6, Body Composition, and Bio-Motor Abilities in Elite Male Basketball Players. International Journal of Environmental Research and Public Health, 19(20), 13700. https://doi.org/10.3390/ijerph192013700

