Spatiotemporal Heterogeneity of Urban Land Expansion and Urban Population Growth under New Urbanization: A Case Study of Chongqing
Abstract
:1. Introduction
2. Materials and Methods
2.1. Study Areas
2.2. Data Sources
2.3. Methods
2.3.1. Extraction of Built-Up Areas
2.3.2. The Coupling Development Analysis of LU and PU
2.3.3. Spatial Autocorrelation Analysis
2.3.4. GWR Analysis
3. Results
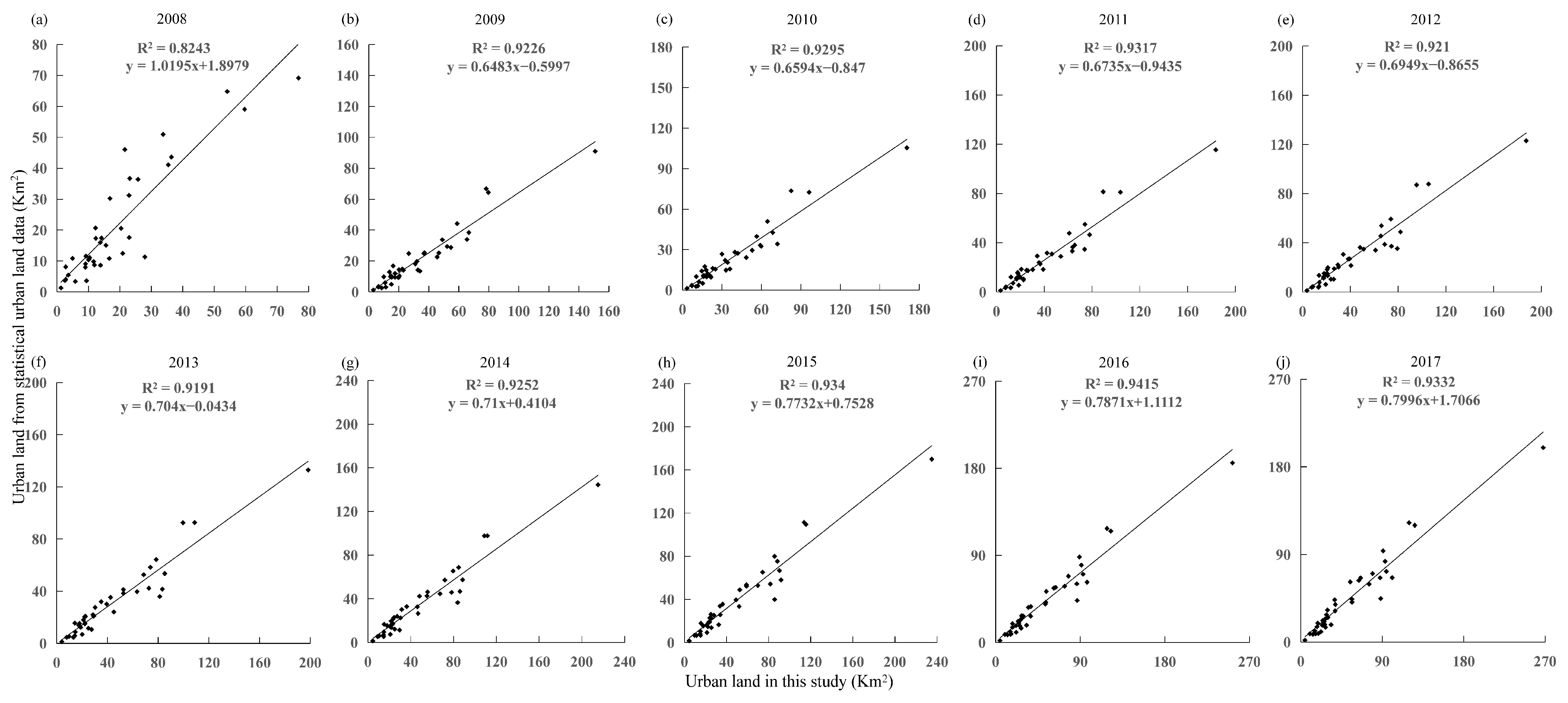
3.1. Built-Up Area Verification
3.2. Time Series Change and Spatial Distribution of Urban Land
3.3. Time Series Change and Spatial Distribution of Urban Population
3.4. The Relationship between Urban Land and Urban Population
3.4.1. Spatiotemporal Characteristics of LU and PU Coupling
3.4.2. Spatial Correlation Analysis of PU
3.4.3. The Spatiotemporal Heterogeneity under the Impact of PU on LU
4. Discussion
4.1. The Urban Land Expansion in Chongqing
4.2. The Urban Population Growth in Chongqing
4.3. The Spatial Heterogeneity of LU and PU
4.4. The Spatial Heterogeneity of the Impact of PU on LU
4.5. Gradual Coordinated Relation between LU and PU
4.6. Deficiencies and Future Research
5. Conclusions
Author Contributions
Funding
Institutional Review Board Statement
Informed Consent Statement
Data Availability Statement
Acknowledgments
Conflicts of Interest
Abbreviations
| OATG | One Urban Area and Two Town Groups |
| CUA | The central urban area of Chongqing |
| NUA | The new downtown urban area |
| CP | The city proper of Chongqing |
| UTA | The urban clusters of Three Gorges Reservoir Area |
| UWA | The urban clusters of Wuling mountainous area |
| RHRS | The Reform of the Household Registration System |
| PU | Population urbanization |
| LU | Land urbanization |
| NTL | Nighttime light |
| GUR | The global urbanization region |
References
- Lu, D. Urbanization Process and Spatial in China. Urban Plan. Forum 2007, 70, 47–52. [Google Scholar] [CrossRef]
- Chen, M.; Lu, D.; Liu, H. The Provincial Pattern of the Relationship between China’s Urbanization and Economic Development. Acta Geogr. Sin. 2010, 65, 1443–1453. [Google Scholar] [CrossRef]
- Christian, G.; Stefan, F.; Karsten, R. The Sprawling Planet: Simplifying the Measurement of Global Urbanization Trends. Front. Environ. Sci. 2019, 7, 140. [Google Scholar] [CrossRef]
- Lin, S.; Sun, J.; Marinova, D.; Zhao, D. Effects of Population and Land Urbanization on China’s Environmental Impact: Empir ical Analysis Based on the Extended. STIRPAT Model. Sustainability 2017, 9, 825. [Google Scholar] [CrossRef] [Green Version]
- Chen, M. Research progress and scientific issues in the field of urbanization. Geogr. Res. 2015, 34, 614–630. [Google Scholar] [CrossRef]
- Sun, B.; Wang, Y.; Zhang, Z.; Li, W. The form and evolution of city size distribution and urban growth model in China: An analysis based on Zipf’s Law and Gibrat’s Law. Prog. Geogr. 2022, 41, 361–370. [Google Scholar] [CrossRef]
- Fan, J.; Tao, A.J.; Lv, C. The Coupling Mechanism of the Centroids of Economic Gravity and Population Gravity and Its Effect on the Regional Gap in China. Prog. Geogr. 2010, 29, 87–95. [Google Scholar] [CrossRef]
- Yew, C.P. Pseudo-Urbanization? Competitive government behavior and urban sprawl in China. J. Contemp. China 2012, 21, 281–298. [Google Scholar] [CrossRef]
- Yang, Y.; Feng, Z.; Zhao, Y.; You, Z. Coordination between urban land expansion and population growth in China. Geogr. Res. 2013, 32, 1668–1678. [Google Scholar] [CrossRef]
- Wang, K.; Tang, Y.; Chen, Y.; Shang, L.; Ji, X.; Yao, M.; Wang, P. The Coupling and Coordinated Development from Urban Land Using Benefits and Urbanization Level: Case Study from Fujian Province (China). Int. J. Environ. Res. Public Health 2020, 17, 5647. [Google Scholar] [CrossRef]
- Zhang, K.; Liu, T.; Feng, R.; Zhang, Z.; Liu, K. Coupling Coordination Relationship and Driving Mechanism between Urbanization and Ecosystem Service Value in Large Regions: A Case Study of Urban Agglomeration in Yellow River Basin, China. Int. J. Environ. Res. Public Health 2021, 18, 7836. [Google Scholar] [CrossRef] [PubMed]
- Lu, D.; Chen, M. Several viewpoints on the background of compiling the “National New Urbanization Planning (2014–2020)”. Acta Geogr. Sin. 2015, 70, 179–185. [Google Scholar] [CrossRef]
- Chen, Q.; Dietzenbacher, E.; Los, B. The effects of ageing and urbanisation on China’s future rural and urban populations. Asian Popul. Stud. 2017, 13, 172–197. [Google Scholar] [CrossRef]
- Zhang, Y.; Xie, H. Interactive Relationship among Urban Expansion, Economic Development, and Population Growth since the Reform and Opening up in China: An Analysis Based on a Vector Error Correction Model. Land 2019, 8, 153. [Google Scholar] [CrossRef] [Green Version]
- Chen, M.; Ye, C.; Lu, D.; Sui, Y.; Guo, S. Cognition and construction of the theoretical connotations of new urbanization with Chinese characteristics. Acta Geogr. Sin. 2019, 29, 633–647. [Google Scholar] [CrossRef] [Green Version]
- Wei, Y.D.; Ye, X. Urbanization, urban land expansion and environmental change in China. Stoch. Environ. Res. Risk Assess. 2014, 28, 757–765. [Google Scholar] [CrossRef]
- Guan, X.; Wei, H.; Lu, S.; Dai, Q.; Su, H. Assessment on the urbanization strategy in China: Achievements, challenges and reflections. Habitat Int. 2018, 71, 97–109. [Google Scholar] [CrossRef]
- Zhu, F.; Zhang, F.; Li, C.; Jiao, P.; Wang, J. Coordination and regional difference of urban land expansion and demographic urbanization in China during 1993–2008. Prog. Geogr. 2014, 33, 647–656. [Google Scholar] [CrossRef]
- Li, P. Study on Relation between Population Urbanization and Land Urbanization in Guangdong. J. Anhui Agric. 2008, 29, 12955–12958. [Google Scholar] [CrossRef]
- Chen, X.; Peng, Y.; Wang, X.; Xu, Y.; Wang, T.; Pan, Y. Spatial Feature and Its Formation Mechanism of the Population and Land Urbanization Coordination Degree in the Yangtze River Economic Belt. Res. Soil Water Conserv. 2021, 28, 375–379. [Google Scholar] [CrossRef]
- Huang, Q.; Liu, Y. The Coupling between Urban Expansion and Population Growth: An Analysis of Urban Agglomerations in China (2005–2020). Sustainability 2021, 13, 7250. [Google Scholar] [CrossRef]
- Jiang, S.; Zhang, Z.; Ren, H.; Wei, G.; Xu, M.; Liu, B. Spatiotemporal Characteristics of Urban Land Expansion and Population Growth in Africa from 2001 to 2019: Evidence from Population Density Data. ISPRS Int. J. Geoinf. 2021, 10, 584. [Google Scholar] [CrossRef]
- Wu, Y.; Liu, Y.; Li, Y. Spatio-temporal coupling of demographic-landscape urbanization and its driving forces in China. Acta Geogr. Sin. 2018, 73, 1865–1879. [Google Scholar] [CrossRef]
- Wang, J.; Fang, C.; Li, Y. Spatio-temporal Analysis of Population and Construction Land Change in Urban and Rural China. J. Nat. Resour. 2014, 29, 1271–1281. [Google Scholar]
- Zhong, Y.; Lin, A.; Zhou, Z. Evolution of the Pattern of Spatial Expansion of Urban Land Use in the Poyang Lake Ecological Economic Zone. Int. J. Environ. Res. Public Health 2019, 16, 117. [Google Scholar] [CrossRef] [Green Version]
- Fotheringham, A.S.; Brunsdon, C. Local Forms of Spatial Analysis. Geogr. Anal. 1999, 31, 340–358. [Google Scholar] [CrossRef]
- Goodchild, M.F. The Validity and Usefulness of Laws in Geographic Information Science and Geography. Ann. Assoc. Am. Geogr. 2004, 94, 300–303. [Google Scholar] [CrossRef] [Green Version]
- Sun, P.; Luo, N. Comparative Analysis on the Quality of Urbanization Structure of Central Cities in Southwest Economic Core Area of China:Taking Chengdu-Chongqing as Examples. Sci. Geogr. Sin. 2021, 41, 1019–1029. [Google Scholar] [CrossRef]
- Lin, Y.; Li, Y.; Ma, Z. Exploring the Interactive Development between Population Urbanization and Land Urbanization: Evidence from Chongqing, China (1998–2016). Sustainability 2018, 10, 1741. [Google Scholar] [CrossRef] [Green Version]
- Wu, Y.; Shi, K.; Chen, Z.; Liu, S.; Chang, Z. Developing Improved Time-Series DMSP-OLS-Like Data (1992–2019) in China by Integrating DMSP-OLS and SNPP-VIIRS. IEEE Trans. Geosci. Remote Sens. 2022, 60, 1–14. [Google Scholar] [CrossRef]
- Han, Z.; Wen, X.; Liu, T. Analysis on Spatial-Temporal Differentiation Characteristics and Influence Factors of China’s Population Semi-Urbanization Rate. Econ. Geogr. 2017, 37, 52–58+108. [Google Scholar] [CrossRef]
- Chen, Z.; Yu, B.; Zhou, Y.; Liu, H.; Yang, C.; Shi, K.; Wu, J. Mapping Global Urban Areas From 2000 to 2012 Using Time-Series Nighttime Light Data and MODIS Products. IEEE J. Sel. Top. Appl. Earth Obs. Remote Sens. 2019, 12, 1143–1153. [Google Scholar] [CrossRef]
- Zhou, Y.; Li, X.; Asrar, G.R.; Smith, S.J.; Imhoff, M. A global record of annual urban dynamics (1992–2013) from nighttime lights. Remote Sens. Environ. 2018, 219, 206–220. [Google Scholar] [CrossRef]
- Chen, Y.; Zheng, Z.; Wu, Z.; Qian, Q. Review and prospect of application of nighttime light remote sensing data. Prog. Geogr. 2019, 38, 205–223. [Google Scholar] [CrossRef]
- Weng, Q. Remote sensing of impervious surfaces in the urban areas: Requirements, methods, and trends. Remote Sens. Environ. 2011, 117, 34–49. [Google Scholar] [CrossRef]
- Jing, W.; Yang, Y.; Yue, X.; Zhao, X. Mapping Urban Areas with Integration of DMSP/OLS Nighttime Light and MODIS Data Using Machine Learning Techniques. Remote Sens. 2015, 7, 12419–12439. [Google Scholar] [CrossRef] [Green Version]
- Zhao, M.; Cheng, C.; Zhou, Y.; Li, X.; Shen, S.; Song, C. A global dataset of annual urban extents (1992–2020) from harmonized nighttime lights. Earth Syst. Sci. Data 2022, 14, 517–534. [Google Scholar] [CrossRef]
- Li, Y.; Liu, Y.; Long, H. Spatio-temporal Analysis of Population and ResidentialL and Change in Rural China. J. Nat. Resour. 2010, 25, 1629–1638. [Google Scholar] [CrossRef]
- Geary, R.C. The Contiguity Ratio and Statistical Mapping. Inc. Stat. 1954, 5, 115–146. [Google Scholar] [CrossRef]
- Pang, R.; Teng, F.; Wei, Y. A GWR-Based Study on Dynamic Mechanism of Population Urbanization in Jilin Province. Sci. Geogr. Sin. 2014, 34, 1210–1217. [Google Scholar] [CrossRef]
- Wang, S.; Gao, S.; Chen, J. Spatial heterogeneity of driving factors of urban haze pollution in China based on GWR model. Geogr. Res. 2020, 39, 651–668. [Google Scholar] [CrossRef]
- Anselin, L. Local Indicators of Spatial Association—LISA. Geogr. Anal. 1995, 27, 93–115. [Google Scholar] [CrossRef]
- Cleveland, W.S. Robust Locally Weighted Regression and Smoothing Scatterplots. J. Am. Stat. Assoc. 2012, 74, 829–836. [Google Scholar] [CrossRef]
- Brunsdon, C.; Fotheringham, S.; Charlton, M. Geographically Weighted Regression- modelling spatial non-stationarity. J. R. Stat. Soc. Ser. D 1998, 47, 431–443. [Google Scholar] [CrossRef]
- Pribadi, D.O.; Pauleit, S. Peri-urban agriculture in Jabodetabek Metropolitan Area and its relationship with the urban socioeconomic system. Land Use Policy 2016, 55, 265–274. [Google Scholar] [CrossRef]
- Fotheringham, A.S.; Charlton, M.E. Geographically Weighted Regression: A Natural Evolution of the Expansion Method for Spatial Data Analysis. Environ. Plan. A 1998, 30, 1905–1927. [Google Scholar] [CrossRef]
- Wu, Y.; Sun, X. The Review and Prospect of Land Use Policy in China after the 40 Years of Reform and Opening Up: An Urbanization Perspective. China Land Sci. 2018, 32, 7–14. [Google Scholar] [CrossRef]
- Niu, W.; Nie, T.; Chen, X.; Wang, T.; Shi, J.; Xu, Z.; Zhang, H. Understanding the Corrective Effect of the Urban Growth Boun dary Policy on Land Finance Dependence of Local Governments in China. Int. J. Environ. Res. Public Health 2022, 19, 4785. [Google Scholar] [CrossRef]
- Du, X.; Jin, X.; Yang, X.; Yang, X.; Zhou, Y. Spatial Pattern of Land Use Change and Its Driving Force in Jiangsu Province. Int. J. Environ. Res. Public Health 2014, 11, 3215–3232. [Google Scholar] [CrossRef] [Green Version]
- Jing, S.; Yan, Y.; Niu, F.; Song, W. Urban Expansion in China: Spatiotemporal Dynamics and Determinants. Land 2022, 11, 356. [Google Scholar] [CrossRef]
- Au, C.-C.; Henderson, J.V. How migration restrictions limit agglomeration and productivity in China. J. Dev. Econ. 2005, 80, 350–388. [Google Scholar] [CrossRef] [Green Version]
- Zheng, H.; Wang, X.; Cao, S. The land finance model jeopardizes China’s sustainable development. Habitat Int. 2014, 44, 130–136. [Google Scholar] [CrossRef]
- Zhao, K.; Chen, D.; Zhang, X.; Zhang, X. How Do Urban Land Expansion, Land Finance, and Economic Growth Interact? Int. J. Environ. Res. Public Health 2022, 19, 5039. [Google Scholar] [CrossRef] [PubMed]
- Chen, Y.; Tian, W.; Ma, W.; Gu, J.; Ma, Z. Analysis on Spatiotemporal Differentiation and Influence Factors of Coordination Degree between Population Urbanization and Land Urbanization based on ESDA-GWR—A Case Study of The Central Plains Uban Agglomeration. Chin. J. Agric. Resour. Reg. Plan. 2020, 41, 88–99. [Google Scholar] [CrossRef]
- Ji, Y.; Guo, X.; Zhong, S.; Wu, L. Land Financialization, Uncoordinated Development of Population Urbanization and Land Urbanization, and Economic Growth: Evidence from China. Land 2020, 9, 481. [Google Scholar] [CrossRef]













| Data Name | Data Description | Source |
|---|---|---|
| Defense Meteorological Satellite Program/Operational Linescan System (DMSP/OLS) nighttime light data | Annual nighttime light composite data with a spatial resolution of approximately 30 arc-seconds in 2008–2013. | The US Air Force Weather Agency and the Earth Observation Group of National Oceanic and Atmospheric Administration’s National Geophysical Data Center. (NOAA/NGDC) (https://www.ngdc.noaa.gov/eog/dmsp/DownloadV4composites.html, accessed on 1 March 2022) |
| National Polar—orbiting Partnership/Visible Infrared Imaging Radiometer Suite (NPP/VIIRS) nighttime light data | Annual nighttime light composite data with a spatial resolution of approximately 15 arc-seconds in 2013–2018. | NOAA/NGDC (https://www.ngdc.noaa.gov/eog/dmsp/downloadV4composites.html, accessed on 1 March 2022) |
| The impervious surface area (ISA) data | Average annual ISA data with a spatial resolution of 30 m in 2008–2018. | The China’s Tsinghua Database (http://data.ess.tsinghua.edu.cn, accessed on 5 March 2022) |
| Population density data | Accurate population data with a spatial resolution of 100 m in 2008–2018. | The WorldPop project at the University of Southampton in the UK by large-scale data processing in Microsoft Azure (https://www.worldpop.org/geodata/listing?id=69, accessed on 13 April 2022) |
| Statistical data | Annual statistical data at the prefecture level: the permanent urban population (104) and urban area and built-up town area (104 km2) in 2008–2018. | Chongqing Statistical Yearbook |
| Administrative boundaries | The administrative boundary vector data of districts and counties of Chongqing in 2008–2018 | National Geomatics Centre of China (http://www.ngcc.cn/ngcc/, accessed on 1 March 2022). |
| Districts & Counties | 2008–2011 | 2011–2014 | 2014–2018 | 2008–2018 |
|---|---|---|---|---|
| BaNan | 12.33 | 7.93 | 11.07 | 10.51 |
| BeiBei | 17.89 | 11.96 | 10.18 | 13.03 |
| BiShan | 12.66 | 10.79 | 8.48 | 10.43 |
| ChengKou | — | 3.25 | 9.35 | 4.72 |
| DaDuKou | 8.52 | 3.84 | 4.73 | 5.60 |
| DaZu | 13.72 | 22.92 | 10.31 | 15.12 |
| DianJiang | 10.13 | 11.40 | 7.38 | 9.41 |
| FengDu | b3.76 | 4.93 | 3.08 | 3.84 |
| FengJie | 4.14 | 9.56 | 10.15 | 8.17 |
| FuLing | 11.64 | 15.56 | 8.20 | 11.44 |
| HeChuan | 13.73 | 13.44 | 8.47 | 11.54 |
| JiangBei | 14.91 | 7.69 | 5.88 | 9.13 |
| JiangJin | 19.57 | 11.10 | 10.70 | 13.48 |
| JiuLongPo | 10.89 | 6.26 | 6.80 | 7.86 |
| KaiZhou | 0.40 | 2.36 | 14.13 | 6.48 |
| LiangPing | 1.44 | 8.96 | 8.93 | 6.69 |
| NanAn | 9.55 | 7.27 | 6.54 | 7.66 |
| NanChuan | 10.66 | 17.09 | 7.25 | 11.23 |
| PengShui | 6.43 | 12.29 | 8.11 | 8.86 |
| QiJiang | 14.65 | 12.89 | 12.54 | 13.28 |
| QianJiang | 10.11 | 9.48 | 4.89 | 7.83 |
| RongChang | 8.89 | 8.23 | 9.75 | 9.03 |
| ShaPingBa | 14.45 | 6.45 | 5.88 | 8.62 |
| ShiZhu | 9.65 | 10.75 | 4.46 | 7.90 |
| TongLiang | 12.18 | 20.41 | 10.08 | 13.81 |
| TongNan | 10.95 | 12.96 | 10.03 | 11.19 |
| WanZhou | 0.98 | 1.71 | 6.06 | 3.23 |
| WuShan | 7.83 | 16.10 | 13.44 | 12.55 |
| WuXi | 5.34 | 22.83 | 18.57 | 15.88 |
| WuLong | 13.12 | 24.62 | 6.78 | 14.03 |
| XiuShan | 3.09 | 9.64 | 7.29 | 6.74 |
| YongChuan | 10.68 | 11.20 | 12.02 | 11.37 |
| YouYang | 7.84 | 9.43 | 5.37 | 7.33 |
| YuBei | 14.63 | 7.74 | 9.86 | 10.65 |
| YuZhong | 2.31 | 0.41 | 1.20 | 1.30 |
| YunYang | 2.66 | 6.71 | 6.58 | 5.44 |
| ChangShou | 18.23 | 14.55 | 6.13 | 12.29 |
| ZhongXian | 3.95 | 8.59 | 4.50 | 5.56 |
| Districts & Counties | 2008–2011 | 2011–2014 | 2014–2018 | 2008–2018 |
|---|---|---|---|---|
| BaNan | 4.37 | 4.29 | 3.79 | 4.11 |
| BeiBei | 1.67 | 3.39 | 3.66 | 2.98 |
| BiShan | 10.69 | 9.05 | 8.24 | 9.22 |
| ChengKou | 10.90 | 5.28 | 4.82 | 6.78 |
| DaDuKou | 4.40 | 4.67 | 2.90 | 3.88 |
| DaZu | 2.43 | 5.41 | 5.69 | 4.63 |
| DianJiang | 3.85 | 2.99 | 2.78 | 3.16 |
| FengDu | 8.24 | 2.44 | 1.74 | 3.90 |
| FengJie | 5.24 | 2.34 | 2.40 | 3.23 |
| FuLing | 3.45 | 2.85 | 3.33 | 3.22 |
| HeChuan | 3.81 | 1.06 | 1.00 | 1.86 |
| JiangBei | 1.35 | 4.24 | 2.26 | 2.58 |
| JiangJin | 0.70 | 1.84 | 1.79 | 1.48 |
| JiuLongPo | 0.63 | 5.29 | 3.95 | 3.36 |
| KaiZhou | 5.98 | 4.30 | 3.63 | 4.54 |
| LiangPing | 2.72 | 2.84 | 3.30 | 2.99 |
| NanAn | 2.14 | 6.01 | 5.41 | 4.61 |
| NanChuan | 2.12 | 3.30 | 3.18 | 2.90 |
| PengShui | 9.13 | 8.85 | 5.44 | 7.57 |
| QiJiang | 2.00 | 2.88 | 3.60 | 2.90 |
| QianJiang | 8.49 | 5.82 | 5.69 | 6.57 |
| RongChang | 5.60 | 3.93 | 4.58 | 4.69 |
| ShaPingBa | 2.63 | 6.03 | 4.12 | 4.25 |
| ShiZhu | 12.58 | 6.52 | 4.91 | 7.70 |
| TongLiang | 5.04 | 5.74 | 4.80 | 5.15 |
| TongNan | 7.91 | 5.54 | 4.95 | 6.01 |
| WanZhou | 4.09 | 2.93 | 2.13 | 2.96 |
| WuShan | 6.99 | 3.66 | 2.76 | 4.30 |
| WuXi | 7.81 | 3.68 | 3.44 | 4.82 |
| WuLong | 6.34 | 4.00 | 3.50 | 4.50 |
| XiuShan | 10.71 | 4.16 | 3.75 | 5.96 |
| YongChuan | 5.68 | 2.71 | 3.54 | 3.93 |
| YouYang | 8.82 | 8.34 | 5.94 | 7.52 |
| YuBei | 20.53 | 9.02 | 6.55 | 11.49 |
| YuZhong | –3.97 | –0.60 | –0.90 | –1.73 |
| YunYang | 2.63 | 6.52 | 4.86 | 4.69 |
| ChangShou | 3.65 | 2.22 | 1.54 | 2.38 |
| ZhongXian | 6.23 | 3.60 | 3.23 | 4.24 |
Publisher’s Note: MDPI stays neutral with regard to jurisdictional claims in published maps and institutional affiliations. |
© 2022 by the authors. Licensee MDPI, Basel, Switzerland. This article is an open access article distributed under the terms and conditions of the Creative Commons Attribution (CC BY) license (https://creativecommons.org/licenses/by/4.0/).
Share and Cite
Zhang, Y.; Li, Y.; Chen, Y.; Liu, S.; Yang, Q. Spatiotemporal Heterogeneity of Urban Land Expansion and Urban Population Growth under New Urbanization: A Case Study of Chongqing. Int. J. Environ. Res. Public Health 2022, 19, 7792. https://doi.org/10.3390/ijerph19137792
Zhang Y, Li Y, Chen Y, Liu S, Yang Q. Spatiotemporal Heterogeneity of Urban Land Expansion and Urban Population Growth under New Urbanization: A Case Study of Chongqing. International Journal of Environmental Research and Public Health. 2022; 19(13):7792. https://doi.org/10.3390/ijerph19137792
Chicago/Turabian StyleZhang, Yudan, Yuanqing Li, Yanan Chen, Shirao Liu, and Qingyuan Yang. 2022. "Spatiotemporal Heterogeneity of Urban Land Expansion and Urban Population Growth under New Urbanization: A Case Study of Chongqing" International Journal of Environmental Research and Public Health 19, no. 13: 7792. https://doi.org/10.3390/ijerph19137792
APA StyleZhang, Y., Li, Y., Chen, Y., Liu, S., & Yang, Q. (2022). Spatiotemporal Heterogeneity of Urban Land Expansion and Urban Population Growth under New Urbanization: A Case Study of Chongqing. International Journal of Environmental Research and Public Health, 19(13), 7792. https://doi.org/10.3390/ijerph19137792

