Physical Activity and Screen Time among Hungarian High School Students during the COVID-19 Pandemic Caused Distance Education Period
Abstract
1. Introduction
2. Materials and Methods
2.1. Participants
2.2. Survey
2.3. Data Analysis
3. Results
3.1. Characteristics of the Sample
3.2. Physical Activity before and during Distance Education
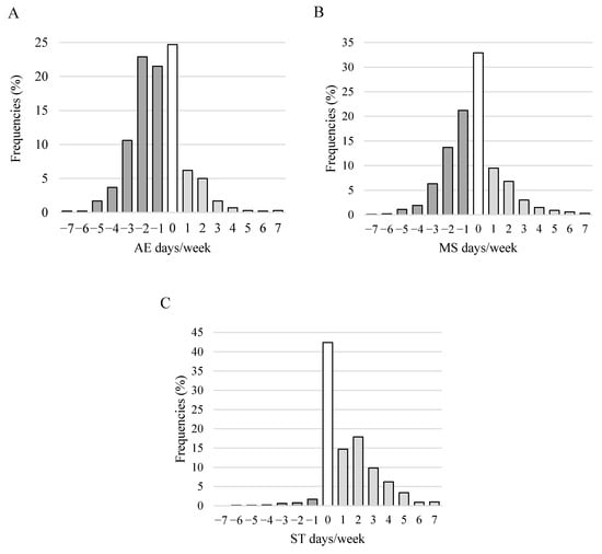
3.2.1. Aerobic Exercise (AE)
3.2.2. Muscle Strengthening (MS)
3.3. Screen Time (ST) before and during Distance Education
4. Discussion
5. Conclusions
Author Contributions
Funding
Institutional Review Board Statement
Informed Consent Statement
Data Availability Statement
Acknowledgments
Conflicts of Interest
References
- Mazza, C.; Ricci, E.; Biondi, S.; Colasanti, M.; Ferracuti, S.; Napoli, C.; Roma, P. A Nationwide Survey of Psychological Distress among Italian People during the COVID-19 Pandemic: Immediate Psychological Responses and Associated Factors. Int. J. Environ. Res. Pub. Health 2020, 17, 3165. [Google Scholar] [CrossRef]
- Government Decree 484/2020 (10 Nov) on the Second Phase of Protective Measures Applicable during the Period of State of Danger. Ministry of Justice, Hungary. Available online: http://jogszabalykereso.mhk.hu/translated/doc/J2020R0484K_20210320_FIN.pdf (accessed on 24 October 2021).
- Oktatas.Hu [Internet]. Digital Education outside the Classroom. Budapest, Hungary: Educational Authority. Available online: https://www.oktatas.hu/kozneveles/aktualis_tanev_esemenyei/covid19/tantermen_kivuli_digitalis_munkarendrol (accessed on 24 October 2021). (In Hungarian).
- Pinto, A.J.; Dunstan, D.W.; Owen, N.; Bonfa, E.; Gualano, B. Combating physical inactivity during the COVID-19 pandemic. Nat. Rev. Rheumatol. 2020, 16, 347–348. [Google Scholar] [CrossRef]
- Hall, G.; Laddu, D.R.; Phillips, S.A.; Lavie, C.J.; Arena, R. A tale of two pandemics: How will COVID-19 and global trends in physical inactivity and sedentary behavior affect one another? Prog. Cardiovasc. Dis. 2021, 64, 108–110. [Google Scholar] [CrossRef] [PubMed]
- Ács, P.; Prémusz, V.; Morvay-Sey, K.; Pálvölgyi, Á.; Trpkovici, M.; Elbert, G.; Melczer, C.; Makai, A. Effects of COVID-19 on physical activity behavior among university students: Results of a Hungarian online survey. Health Prob. Civil. 2020, 14, 174–182. [Google Scholar] [CrossRef]
- Bronikowska, M.; Krzysztoszek, J.; Łopatka, M.; Ludwiczak, M.; Pluta, B. Comparison of Physical Activity Levels in Youths before and during a Pandemic Lockdown. Int. J. Environ. Res. Public Health 2021, 18, 5139. [Google Scholar] [CrossRef]
- Rossi, L.; Behme, N.; Breuer, C. Physical Activity of Children and Adolescents during the COVID-19 Pandemic-A Scoping Review. Int. J. Environ. Res. Public Health 2021, 18, 11440. [Google Scholar] [CrossRef]
- Tremblay, M.S.; LeBlanc, A.G.; Kho, M.E.; Saunders, T.J.; Larouche, R.; Colley, R.C.; Goldfield, G.; Connor, S. Systematic review of sedentary behaviour and health indicators in school-aged children and youth. Int. J. Behav. Nutr. Phys. Act. 2011, 8, 98. [Google Scholar] [CrossRef]
- King, D.L.; Delfabbro, P.H.; Billieux, J.; Potenza, M.N. Problematic Online Gaming and the COVID-19 Pandemic. J. Behav. Addict. 2020, 9, 184–186. [Google Scholar] [CrossRef] [PubMed]
- Tremblay, M.S.; Aubert, S.; Barnes, J.D.; Saunders, T.J.; Carson, V.; Latimer-Cheung, A.E.; Chastin, S.F.M.; Altenburg, T.M.; Chinapaw, M.J.M.; Terminology Consensus Project Participants. Sedentary Behavior Research Network (SBRN)—Terminology Consensus Project process and outcome. Int. J. Behav. Nutr. Phys. Act. 2017, 14, 75. [Google Scholar] [CrossRef] [PubMed]
- Carson, V.; Hunter, S.; Kuzik, N.; Gray, C.E.; Poitras, V.J.; Chaput, J.-P.; Saunders, T.J.; Katzmarzyk, P.T.; Okely, A.D.; Gorber, S.C.; et al. Systematic Review of Sedentary Behaviour and Health Indicators in School-Aged Children and Youth: An Update. Appl. Physiol. Nutr. Metab. 2016, 41, S240–S265. [Google Scholar] [CrossRef]
- Poitras, V.J.; Gray, C.E.; Borghese, M.M.; Carson, V.; Chaput, J.-P.; Janssen, I.; Katzmarzyk, P.T.; Pate, R.R.; Gorber, S.C.; Kho, M.E.; et al. Systematic Review of the Relationships between Objectively Measured Physical Activity and Health Indicators in School-Aged Children and Youth. Appl. Physiol. Nutr. Metab. 2016, 41, S197–S239. [Google Scholar] [CrossRef]
- Saunders, T.J.; Gray, C.E.; Poitras, V.J.; Chaput, J.-P.; Janssen, I.; Katzmarzyk, P.T.; Olds, T.; Gorber, S.C.; Kho, M.E.; Sampson, M.; et al. Combinations of Physical Activity, Sedentary Behaviour and Sleep: Relationships with Health Indicators in School-Aged Children and Youth. Appl. Physiol. Nutr. Metab. 2016, 41, S283–S293. [Google Scholar] [CrossRef]
- King, A.J.; Burke, L.M.; Halson, S.L.; Hawley, J.A. The Challenge of Maintaining Metabolic Health during a Global Pandemic. Sports Med. 2020, 50, 1233–1241. [Google Scholar] [CrossRef]
- Guerrero, M.D.; Vanderloo, L.M.; Rhodes, R.E.; Faulkner, G.; Moore, S.A.; Tremblay, M.S. Canadian Children’s and Youth’s Adherence to the 24-h Movement Guidelines during the COVID-19 Pandemic: A Decision Tree Analysis. J. Sport Health Sci. 2020, 9, 313–321. [Google Scholar] [CrossRef] [PubMed]
- Moore, S.A.; Faulkner, G.; Rhodes, R.E.; Brussoni, M.; Chulak-Bozzer, T.; Ferguson, L.J.; Mitra, R.; O’Reilly, N.; Spence, J.C.; Vanderloo, L.M.; et al. Impact of the COVID-19 Virus Outbreak on Movement and Play Behaviours of Canadian Children and Youth: A National Survey. Int. J. Behav. Nutr. Phys. Act. 2020, 17, 85. [Google Scholar] [CrossRef] [PubMed]
- Xiang, M.; Zhang, Z.; Kuwahara, K. Impact of COVID-19 Pandemic on Children and Adolescents’ Lifestyle Behavior Larger than Expected. Prog. Cardiovasc. Dis. 2020, 63, 531–532. [Google Scholar] [CrossRef]
- Pietrobelli, A.; Pecoraro, L.; Ferruzzi, A.; Heo, M.; Faith, M.; Zoller, T.; Antoniazzi, F.; Piacentini, G.; Fearnbach, S.N.; Heymsfield, S.B. Effects of COVID-19 Lockdown on Lifestyle Behaviors in Children with Obesity Living in Verona, Italy: A Longitudinal Study. Obesity 2020, 28, 1382–1385. [Google Scholar] [CrossRef]
- Zenic, N.; Taiar, R.; Gilic, B.; Blazevic, M.; Maric, D.; Pojskic, H.; Sekulic, D. Levels and Changes of Physical Activity in Adolescents during the COVID-19 Pandemic: Contextualizing Urban vs. Rural Living Environment. Appl. Sci. 2020, 10, 3997. [Google Scholar] [CrossRef]
- López-Bueno, R.; López-Sánchez, G.F.; Casajús, J.A.; Calatayud, J.; Gil-Salmerón, A.; Grabovac, I.; Tully, M.A.; Smith, L. Health-Related Behaviors Among School-Aged Children and Adolescents During the Spanish Covid-19 Confinement. Front. Pediatr. 2020, 8, 573. [Google Scholar] [CrossRef] [PubMed]
- López-Gil, J.F.; Tremblay, M.S.; Brazo-Sayavera, J. Changes in Healthy Behaviors and Meeting 24-h Movement Guidelines in Spanish and Brazilian Preschoolers, Children and Adolescents during the COVID-19 Lockdown. Children 2021, 8, 83. [Google Scholar] [CrossRef] [PubMed]
- Medrano, M.; Cadenas-Sanchez, C.; Oses, M.; Arenaza, L.; Amasene, M.; Labayen, I. Changes in Lifestyle Behaviours during the COVID -19 Confinement in Spanish Children: A Longitudinal Analysis from the MUGI Project. Pediatr. Obes. 2020, 16, e12731. [Google Scholar] [CrossRef] [PubMed]
- Regitz-Zagrosek, V. Sex and gender differences in health. Science & Society Series on Sex and Science. EMBO Rep. 2012, 13, 596–603. [Google Scholar] [PubMed]
- Guss, C.; Shumer, D.; Katz-Wise, S.L. Transgender and gender nonconforming adolescent care: Psychosocial and medical considerations. Curr. Opin. Pediatr. 2015, 27, 421–426. [Google Scholar] [CrossRef]
- Garcia-Pelagio, K.P.; Hew-Butler, T.; Fahlman, M.M.; Roche, J.A. Women’s Lives Matter—The Critical Need for Women to Prioritize Optimal Physical Activity to Reduce COVID-19 Illness Risk and Severity. Int. J. Environ. Res. Public Health 2021, 18, 10271. [Google Scholar] [CrossRef]
- Health Behaviour in School-Aged Children. Available online: https://filer.uib.no/psyfa/HEMIL-senteret/HBSC/2006_Mandatory_Questionnaire.pdf (accessed on 20 October 2020).
- Grunbaum, J.A.; Kann, L.; Kinchen, S.; Ross, J.; Hawkins, J.; Lowry, R.; Harris, W.A.; McManus, T.; Chyen, D.; Collins, J. Youth Risk Behavior Surveillance—United States. MMWR Surveill. Summ. 2004, 53, 1–29. [Google Scholar] [PubMed]
- Heinonen, I.; Helajärvi, H.; Pahkala, K.; Heinonen, O.J.; Hirvensalo, M.; Pälve, K.; Tammelin, T.; Yang, X.; Juonala, M.; Mikkilä, V.; et al. Sedentary behaviours and obesity in adults: The Cardiovascular Risk in Young Finns Study. BMJ Open 2013, 3, e002901. [Google Scholar] [CrossRef] [PubMed]
- Ding, C.; Jiang, Y. The Relationship between Body Mass Index and Physical Fitness among Chinese University Students: Results of a Longitudinal Study. Healthcare 2020, 8, 570. [Google Scholar] [CrossRef] [PubMed]
- Nevill, A.M.; Metsios, G.S. The need to redefine age- and gender-specific overweight and obese body mass index cutoff points. Nutr. Diabetes. 2015, 5, e186. [Google Scholar] [CrossRef][Green Version]
- CDC. Body Mass Index: Considerations for Practitioners. Washington, D.C.: U. S. Department of Health and Human Services, Centers for Disease Control and Prevention. Available online: https://www.cdc.gov/obesity/downloads/bmiforpactitioners.pdf (accessed on 4 December 2021).
- Gallè, F.; Sabella, E.A.; Ferracuti, S.; De Giglio, O.; Caggiano, G.; Protano, C.; Valeriani, F.; Parisi, E.A.; Valerio, G.; Liguori, G.; et al. Sedentary Behaviors and Physical Activity of Italian Undergraduate Students during Lockdown at the Time of CoViD−19 Pandemic. Int. J. Environ. Res. Public Health 2020, 17, 6171. [Google Scholar] [CrossRef]
- Štveráková, T.; Jačisko, J.; Busch, A.; Šafářová, M.; Kolář, P.; Kobesová, A. The impact of COVID-19 on Physical Activity of Czech children. PLoS ONE 2021, 16, e0254244. [Google Scholar] [CrossRef]
- Verloigne, M.; Van Lippevelde, W.; Maes, L.; Yıldırım, M.; Chinapaw, M.; Manios, Y.; Androutsos, O.; Kovács, É.; Bringolf-Isler, B.; Brug, J.; et al. Levels of physical activity and sedentary time among 10-to 12-year-old boys and girls across 5 European countries using accelerometers: An observational study within the ENERGY-project. Int. J. Behav. Nutr. Phys. Act. 2012, 9, 34. [Google Scholar] [CrossRef] [PubMed]
- Maugeri, G.; Castrogiovanni, P.; Battaglia, G.; Pippi, R.; D’Agata, V.; Palma, A.; Di Rosa, M.; Musumeci, G. The impact of physical activity on psychological health during Covid-19 pandemic in Italy. Heliyon 2020, 6, e04315. [Google Scholar] [CrossRef]
- Grant, N.; Wardle, J.; Steptoe, A. The relationship between life satisfaction and health behavior: A cross-cultural analysis of young adults. Int. J. Behav. Med. 2009, 16, 259–268. [Google Scholar] [CrossRef] [PubMed]
- Sallis, J.F.; Adlakha, D.; Oyeyemi, A.; Salvo, D. An international physical activity and public health research agenda to inform coronavirus disease-2019 policies and practices. J. Sport Health Sci. 2020, 9, 328–334. [Google Scholar] [CrossRef] [PubMed]


| Study Sample (N = 2508) | ||||||
|---|---|---|---|---|---|---|
| Variables | Adolescents (n = 1413) | Young Adults (n = 1095) | p | Males (n = 1072) | Females (n = 1436) | p |
| gender, Male n (%) | 621 (43.9) | 451 (41.2) | 0.167 a | N/A | N/A | N/A |
| age (M ± SD) | 16.3 ± 0.7 | 18.6 ± 0.6 | N/A | 17.3 ± 1.3 | 17.3 ± 1.3 | 0.167 b |
| Weight (kg) | 63.3 ± 13.6 | 66.6 ± 14.5 | N/A | 71.4 ± 14.7 | 59.8 ± 11.3 | N/A |
| Height (cm) | 171.2 ± 9.3 | 171.9 ± 9.5 | N/A | 178.6 ± 7.7 | 166.2 ± 6.5 | N/A |
| BMI categories 1, n (%) | ||||||
| underweight | 89 (6.3) | 40 (3.7) | <0.001 c | 55 (5.1) | 74 (5.2) | <0.001 c |
| normal weight | 1146 (81.1) | 856 (78.2) | 817 (76.2) | 1185 (82.5) | ||
| overweigth/obese ** | 123 (8.7) | 131 (11.9) | 142 (13.3) | 112 (7.8) | ||
| obese | 55 (3.9) | 68 (6.2) | 58 (5.4) | 65 (4.5) | ||
| AE Days/Week during Distance Education | Total | |||||||||
|---|---|---|---|---|---|---|---|---|---|---|
| 0 | 1 | 2 | 3 | 4 | 5 | 6 | 7 | |||
| AE days/week before distance education | 0 | 31 * | 6 | 8 | 6 | 5 | 1 | 1 | 7 | 65 |
| 1 | 34 | 39 | 18 | 22 | 6 | 2 | 1 | 3 | 125 | |
| 2 | 59 | 121 | 81 | 33 | 18 | 12 | 1 | 6 | 331 | |
| 3 | 69 | 133 | 157 | 143 | 38 | 38 | 10 | 8 | 596 | |
| 4 | 31 | 85 | 173 | 103 | 112 | 34 | 24 | 8 | 570 | |
| 5 | 31 | 30 | 71 | 146 | 60 | 122 | 17 | 11 | 488 | |
| 6 | 3 | 1 | 13 | 22 | 27 | 38 | 50 | 6 | 160 | |
| 7 | 6 | 3 | 10 | 16 | 12 | 21 | 10 | 54 | 132 | |
| Total | 264 | 418 | 531 | 491 | 278 | 268 | 114 | 103 | 2467 | |
| MS Days/Week during Distance Education | Total | |||||||||
|---|---|---|---|---|---|---|---|---|---|---|
| 0 | 1 | 2 | 3 | 4 | 5 | 6 | 7 | |||
| MS days/week before distance education | 0 | 127 * | 33 | 24 | 16 | 8 | 10 | 9 | 7 | 234 |
| 1 | 112 | 150 | 48 | 31 | 13 | 10 | 6 | 6 | 376 | |
| 2 | 96 | 175 | 209 | 64 | 43 | 21 | 9 | 6 | 623 | |
| 3 | 64 | 108 | 119 | 186 | 40 | 33 | 11 | 7 | 568 | |
| 4 | 16 | 26 | 59 | 47 | 78 | 29 | 14 | 10 | 279 | |
| 5 | 22 | 14 | 38 | 40 | 27 | 84 | 7 | 14 | 246 | |
| 6 | 3 | 1 | 4 | 12 | 14 | 12 | 27 | 1 | 74 | |
| 7 | 3 | 2 | 3 | 10 | 7 | 4 | 3 | 35 | 67 | |
| Total | 443 | 509 | 504 | 406 | 230 | 203 | 86 | 86 | 2467 | |
| ST Days/Week during Distance Education | Total | |||||||||
|---|---|---|---|---|---|---|---|---|---|---|
| 0 | 1 | 2 | 3 | 4 | 5 | 6 | 7 | |||
| ST days/week before distance education | 0 | 0 * | 8 | 12 | 12 | 13 | 12 | 4 | 25 | 86 |
| 1 | 0 | 19 | 8 | 25 | 19 | 16 | 9 | 19 | 115 | |
| 2 | 0 | 10 | 41 | 48 | 49 | 58 | 40 | 64 | 310 | |
| 3 | 2 | 1 | 8 | 64 | 71 | 127 | 57 | 85 | 415 | |
| 4 | 0 | 0 | 6 | 5 | 63 | 62 | 72 | 98 | 306 | |
| 5 | 0 | 0 | 5 | 3 | 6 | 87 | 76 | 160 | 337 | |
| 6 | 0 | 0 | 3 | 1 | 4 | 7 | 56 | 91 | 162 | |
| 7 | 1 | 2 | 2 | 2 | 8 | 7 | 7 | 722 | 751 | |
| Total | 3 | 40 | 85 | 160 | 233 | 376 | 321 | 1264 | 2482 | |
Publisher’s Note: MDPI stays neutral with regard to jurisdictional claims in published maps and institutional affiliations. |
© 2021 by the authors. Licensee MDPI, Basel, Switzerland. This article is an open access article distributed under the terms and conditions of the Creative Commons Attribution (CC BY) license (https://creativecommons.org/licenses/by/4.0/).
Share and Cite
Katona, Z.B.; Takács, J.; Kerner, L.; Alföldi, Z.; Soós, I.; Gyömörei, T.; Podstawski, R.; Ihász, F. Physical Activity and Screen Time among Hungarian High School Students during the COVID-19 Pandemic Caused Distance Education Period. Int. J. Environ. Res. Public Health 2021, 18, 13024. https://doi.org/10.3390/ijerph182413024
Katona ZB, Takács J, Kerner L, Alföldi Z, Soós I, Gyömörei T, Podstawski R, Ihász F. Physical Activity and Screen Time among Hungarian High School Students during the COVID-19 Pandemic Caused Distance Education Period. International Journal of Environmental Research and Public Health. 2021; 18(24):13024. https://doi.org/10.3390/ijerph182413024
Chicago/Turabian StyleKatona, Zsolt Bálint, Johanna Takács, László Kerner, Zoltán Alföldi, Imre Soós, Tamás Gyömörei, Robert Podstawski, and Ferenc Ihász. 2021. "Physical Activity and Screen Time among Hungarian High School Students during the COVID-19 Pandemic Caused Distance Education Period" International Journal of Environmental Research and Public Health 18, no. 24: 13024. https://doi.org/10.3390/ijerph182413024
APA StyleKatona, Z. B., Takács, J., Kerner, L., Alföldi, Z., Soós, I., Gyömörei, T., Podstawski, R., & Ihász, F. (2021). Physical Activity and Screen Time among Hungarian High School Students during the COVID-19 Pandemic Caused Distance Education Period. International Journal of Environmental Research and Public Health, 18(24), 13024. https://doi.org/10.3390/ijerph182413024

