Reassessing Fitness-to-Drive in Drinker Drivers: The Role of Cognition and Personality
Abstract
1. Introduction
1.1. Alcohol, Cognitive Functioning, and Driving Performance
1.2. The Relationship between Drunk Driving and Driving-Related Personality Traits
1.3. The Assessment of Fitness-to-Drive
1.4. The Present Study
2. Materials and Methods
2.1. Participants
2.2. Materials and Procedures
2.2.1. Cognitive Functioning
2.2.2. Spatial Transformation Skills
2.2.3. Fitness-to-Drive Screening
2.2.4. Personality Assessment
2.3. Statistical Analysis
3. Results
3.1. Descriptive Statistics and Preliminary Analyses
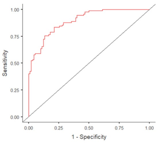
3.2. Binomial Logistic Regression and ROC Curves
4. Discussion
4.1. Mental Rotation
4.2. Resilience of Attention
4.3. Personality Traits
5. Conclusions
Supplementary Materials
Author Contributions
Funding
Institutional Review Board Statement
Informed Consent Statement
Data Availability Statement
Acknowledgments
Conflicts of Interest
References
- National Center for Statistics and Analysis. Overview of Motor Vehicle Crashes in 2019. (2020, December). (Traffic Safety Facts Research Note. Report No. DOT HS 813 060); National Highway Traffic Safety Administration: Washington, DC, USA, 2020.
- Calinescu, T.; Adminaite, D. Progress in Reducing Drink Driving in Europe; European Safety Research Council: Bruxelas, Belgium, 2018. [Google Scholar]
- Jones, A.W. Effects of Alcohol on Fitness to Drive. Handb. Forensic Med. 2014, 1057–1073. [Google Scholar]
- Schmitz, A.R.; Goldim, J.R.; Guimarães, L.S.; Lopes, F.M.; Kessler, F.; Sousa, T.; Gonçalves, V.M.; Pechansky, F. Factors Associated with Recurrence of Alcohol-Related Traffic Violations in Southern Brazil. Braz. J. Psychiat. 2014, 36, 199–205. [Google Scholar] [CrossRef][Green Version]
- Piccardi, L.; Palmiero, M.; Guariglia, P.; Dacquino, C.; Cordellieri, P.; Giannini, A.M. Is the Risk Behaviour Related to the Ordinary Driving Violations? Psychol. Studies 2021, 66, 26–35. [Google Scholar] [CrossRef]
- Appenzeller, B.M.; Schneider, S.; Yegles, M.; Maul, A.; Wennig, R. Drugs and Chronic Alcohol Abuse in Drivers. Forensic Sci. Int. 2005, 155, 83–90. [Google Scholar] [CrossRef]
- Istat. Rilevazione Degli Incidenti Stradali Con Lesioni a Persone—Periodo di Riferimento: Anno 2019; Istat: Rome, Italy, 2020. [Google Scholar]
- Bartholow, B.D.; Pearson, M.; Sher, K.J.; Wieman, L.C.; Fabiani, M.; Gratton, G. Effects of Alcohol Consumption and Alcohol Susceptibility on Cognition: A Psychophysiological Examination. Biol. Psychol. 2003, 64, 167–190. [Google Scholar] [CrossRef]
- Sabia, S.; Elbaz, A.; Britton, A.; Bell, S.; Dugravot, A.; Shipley, M.; Kivimaki, M.; Singh-Manoux, A. Alcohol Consumption and Cognitive Decline in Early Old Age. Neurology 2014, 82, 332–339. [Google Scholar] [CrossRef] [PubMed]
- Jongen, S.; Vuurman, E.F.; Ramaekers, J.G.; Vermeeren, A. The Sensitivity of Laboratory Tests Assessing Driving Related Skills to Dose-Related Impairment of Alcohol: A Literature Review. Accid. Anal. Prev. 2016, 89, 31–48. [Google Scholar] [CrossRef] [PubMed]
- Steele, C.M.; Josephs, R.A. Drinking Your Troubles Away: 2. An Attention-Allocation Model of Alcohol’s Effects on Psychological Stress. J. Abnorm. Psychol. 1988, 97, 196–205. [Google Scholar] [CrossRef] [PubMed]
- Sayette, M.A. Cognitive Theory and Research. In Psychological Theories of Drinking and Alcoholism, 2nd ed.; Leonard, K.E., Blane, H.T., Eds.; The Guilford Press: New York, NY, USA, 1999; pp. 247–291. [Google Scholar]
- Vogel-Sprott, M.; Easdon, C.; Fillmore, M.; Finn, P.; Justus, A. Alcohol and behavioral control: Cognitive and Neural Mechanisms. Alcohol. Clin. Exp. Res. 2001, 25, 117–121. [Google Scholar] [CrossRef]
- Curtin, J.J.; Fairchild, B.A. Alcohol and Cognitive Control: Implications for Regulation of Behavior during Response Conflict. J. Abnorm. Psychol. 2003, 112, 424–436. [Google Scholar] [CrossRef]
- Harrison, E.L.; Fillmore, M.T. Alcohol and Distraction Interact to Impair Driving Performance. Drug Alcohol. Depend 2011, 117, 31–37. [Google Scholar] [CrossRef] [PubMed]
- Day, A.M.; Kahler, C.W.; Ahern, D.C.; Clark, U.S. Executive Functioning in Alcohol Use Studies: A Brief Review of Findings and Challenges in Assessment. Curr. Drug Abus. Rev. 2015, 8, 26–40. [Google Scholar] [CrossRef]
- Giancola, P.R.; Moss, H.B. Executive Cognitive Functioning in Alcohol Use Disorders. In Recent Developments in Alcoholism: Volume 14. The Consequences of Alcoholism; Galanter, M., Ed.; Plenum Press: New York, NY, USA, 1998; pp. 227–251. [Google Scholar]
- Bates, M.E.; Bowden, S.C.; Barry, D. Neurocognitive Impairment Associated with Alcohol Use Disorders: Implications for Treatment. Exp. Clin. Psychopharmacol. 2002, 10, 193–212. [Google Scholar] [CrossRef]
- Ledger, S.; Bennett, J.M.; Chekaluk, E.; Batchelor, J. Cognitive Function and driving: Important for Young and Old Alike. Transp. Res. Part F 2019, 60, 262–273. [Google Scholar] [CrossRef]
- Tinella, L.; Lopez, A.; Caffò, A.O.; Grattagliano, I.; Bosco, A. Spatial Mental Transformation Skills Discriminate Fitness to Drive in Young and Old Adults. Front. Psychol. 2020, 11, 604762. [Google Scholar] [CrossRef] [PubMed]
- Ledger, S.; Bennett, J.M.; Chekaluk, E.; Batchelor, J.; Di Meco, A. Cognitive Function and Driving in Middle Adulthood: Does Age Matter? Transp. Res. Part. F 2019, 66, 471–484. [Google Scholar] [CrossRef]
- Kwok, J.C.W.; Gélinas, I.; Benoit, D.; Chilingaryan, G. Predictive Validity of the Montreal Cognitive Assessment (MoCA) as a Screening Tool for On-Road Driving Performance. Br. J. Occup. Ther. 2015, 78, 100–108. [Google Scholar] [CrossRef]
- Nasreddine, Z.S.; Phillips, N.A.; Bédirian, V.; Charbonneau, S.; Whitehead, V.; Collin, I.; Cummings, J.L.; Chertkow, H. The Montreal Cognitive Assessment, MoCA: A Brief Screening Tool for Mild Cognitive Impairment. J. Am. Geriatr. Soc. 2005, 53, 695–699. [Google Scholar] [CrossRef] [PubMed]
- Folstein, M.F.; Robins, L.N.; Helzer, J.E. The Mini-Mental State Examination. Arch. Gen. Psychiatry 1983, 40, 812. [Google Scholar] [CrossRef]
- Tavares-Júnior, J.; de Souza, A.; Alves, G.S.; Bonfadini, J.C.; Siqueira-Neto, J.I.; Braga-Neto, P. Cognitive Assessment Tools for Screening Older Adults With Low Levels of Education: A Critical Review. Front. Psychiatry 2019, 10, 878. [Google Scholar] [CrossRef]
- Tinella, L.; Lopez, A.; Caffò, A.O.; Nardulli, F.; Grattagliano, I.; Bosco, A. Cognitive Efficiency and Fitness-to-Drive along the Lifespan: The Mediation Effect of Visuospatial Transformations. Brain Sci. 2021, 11, 1028. [Google Scholar] [CrossRef]
- Alarcon, R.; Nalpas, B.; Pelletier, S.; Perney, P. MoCA as a Screening Tool of Neuropsychological Deficits in Alcohol-Dependent Patients. Alcohol. Clin. Exp. Res. 2015, 39, 1042–1048. [Google Scholar] [CrossRef]
- Pelletier, S.; Nalpas, B.; Alarcon, R.; Rigole, H.; Perney, P. Investigation of Cognitive Improvement in Alcohol-Dependent Inpatients Using the Montreal Cognitive Assessment (MoCA) Score. J. Addict. 2016, 1539096. [Google Scholar] [CrossRef] [PubMed]
- Ney, M.; Tangri, N.; Dobbs, B.; Bajaj, J.; Rolfson, D.; Ma, M.; Ferguson, T.; Bhardwaj, P.; Bailey, R.J.; Abraldes, J.; et al. Predicting Hepatic Encephalopathy-Related Hospitalizations Using a Composite Assessment of Cognitive Impairment and Frailty in 355 Patients With Cirrhosis. Am. J. Gastroenterol. 2018, 113, 1506–1515. [Google Scholar] [CrossRef] [PubMed]
- Beatty, W.W.; Hames, K.A.; Blanco, C.R.; Nixon, S.J.; Tivis, L.J. Visuospatial Perception, Construction and Memory in Alcoholism. J. Stud. Alcohol 1996, 57, 136–143. [Google Scholar] [CrossRef]
- Kunishige, M.; Fukuda, H.; Iida, T.; Kawabata, N.; Ishizuki, C.; MIyaguchi, H. Spatial Navigation Ability and Gaze Switching in Older Drivers: A Driving Simulator Study. Hong Kong J. Occ. Ther. 2019, 32, 22–31. [Google Scholar] [CrossRef] [PubMed]
- Kunishige, M.; Miyaguchi, H.; Fukuda, H.; Iida, T.; Nami, K.; Ishizuki, C. Spatial Navigation Ability is Associated with the Assessment of Smoothness of Driving during Changing Lanes in Older Drivers. J. Physiol. Anthropol. 2020, 39, 25. [Google Scholar] [CrossRef] [PubMed]
- Nori, R.; Palmiero, M.; Bocchi, A.; Giannini, A.M.; Piccardi, L. The Specific Role of Spatial Orientation Skills in Predicting Driving Behaviour. Transp. Res. Part. F Traffic Psychol. Behav. 2020, 71, 259–271. [Google Scholar] [CrossRef]
- Jornet-Gibert, M.; Gallardo-Pujol, D.; Suso, C.; Andrés-Pueyo, A. Attitudes Do Matter: The Role of Attitudes and Personality in DUI Offenders. Accid. Anal. Prev. 2013, 50, 445–450. [Google Scholar] [CrossRef] [PubMed]
- McMillen, D.L.; Adams, M.S.; Wells-Parker, E.; Pang, M.G.; Anderson, B.J. Personality Traits and Behaviors of Alcohol-Impaired Drivers: A Comparison of First and Multiple Offenders. Addict. Behav. 1992, 17, 407–414. [Google Scholar] [CrossRef]
- Cheng, A.S.K.; Ng, T.C.K.; Lee, H.C. Impulsive Personality and Risk-Taking Behavior in Motorcycle Traffic Offenders: A Matched Controlled Study. Personal. Individ. Differ. 2012, 53, 597–602. [Google Scholar] [CrossRef]
- Scott, C.; Corbin, W.R. Influence of Sensation Seeking on Response to Alcohol Versus Placebo: Implications for the Acquired Preparedness Model. J. Stud. Alcohol. Drugs. 2014, 75, 136–144. [Google Scholar] [CrossRef] [PubMed][Green Version]
- Zicat, E.; Bennett, J.M.; Chekaluk, E.; Batchelor, J. Cognitive Function and Young Drivers: The Relationship between Driving, Attitudes, Personality and Cognition. Transp. Res. Part F Traffic Psychol. Behav. 2018, 55, 341–352. [Google Scholar] [CrossRef]
- Dahlen, E.R.; Martin, R.C.; Ragan, K.; Kuhlman, M.M. Driving Anger, Sensation Seeking, Impulsiveness, and Boredom Proneness in the Prediction of Unsafe Driving. Accid. Anal. Prev. 2005, 37, 341–348. [Google Scholar] [CrossRef] [PubMed]
- Tinella, L.; Caffò, A.O.; Lopez, A.; Grattagliano, I.; Bosco, A. The Impact of Two MMPI-2-Based Models of Personality in Predicting Driving Behavior. Can Demographic Variables Be Disregarded? Brain Sci. 2021, 11, 313. [Google Scholar] [CrossRef]
- Machin, M.A.; Sankey, K.S. Relationships between Young Drivers’ Personality Characteristics, Risk Perceptions, and Driving Behaviour. Accid. Anal. Prev. 2008, 40, 541–547. [Google Scholar] [CrossRef] [PubMed]
- Zakletskaia, L.I.; Mundt, M.P.; Balousek, S.L.; Wilson, E.L.; Fleming, M.F. Alcohol-Impaired Driving Behavior and Sensation-Seeking Disposition in a College Population Receiving Routine Care at Campus Health Services Centers. Accid. Anal. Prev. 2009, 41, 380–386. [Google Scholar] [CrossRef] [PubMed]
- Jonah, B.A.; Thiessen, R.; Au-Yeung, E. Sensation Seeking, Risky Driving and Behavioral Adaptation. Accid. Anal. Prev. 2001, 33, 679–684. [Google Scholar] [CrossRef]
- Schell, T.L.; Chan, K.S.; Morral, A.R. Predicting DUI Recidivism: Personality, Attitudinal, and Behavioral Risk Factors. Drug Alcohol Depend 2006, 82, 33–40. [Google Scholar] [CrossRef] [PubMed]
- Ulleberg, P.; Rundmo, T. Personality, Attitudes and Risk Perception as Predictors of Risky Driving Behaviour among Young Drivers. Saf. Sci. 2003, 41, 427–443. [Google Scholar] [CrossRef]
- Mohammadi, M.; Alavi, S.P.; Jannatifard, F.P.; Mohammadi Kalhory, S.P.; Babareisi, M.P.; Khodakarami, R. Bipolar Disorders in Truck Drivers with Driving Licence Gategory D&C. Tehran: 5th Congress of Iranian Psychological As-sociation. Contemp. Psychol. Biann. J. Iran. Psychol. Assoc. 2015, 1411–1414. [Google Scholar]
- Alavi, S.S.; Mohammadi, M.R.; Souri, H.; Mohammadi Kalhori, S.; Jannatifard, F.; Sepahbodi, G. Personality, Driving Behavior and Mental Disorders Factors as Predictors of Road Traffic Accidents Based on Logistic Regression. Iran J. Med. Sci. 2017, 42, 24–31. [Google Scholar]
- Harkness, A.R.; Finn, J.A.; McNulty, J.L.; Shields, S.M. The Personality Psychopathology—Five (PSY–5): Recent Constructive Replication and Assessment Literature Review. Psychol. Asses. 2012, 24, 432. [Google Scholar] [CrossRef] [PubMed]
- Harkness, A.R. Theory and Measurement of Personality Traits. In Ojcford Handbook of Personality Assessment; Butcher, J.N., Ed.; Oxford University Press: New York, NY, USA, 2009; pp. 150–162. [Google Scholar]
- Chassin, L.; Pitts, S.; Prost, J. Binge Drinking Trajectories from Adolescence to Emerging Adulthood in a High-Risk Sample: Predictors and Substance Abuse Outcomes. J. Consult. Clin. Psychol. 2002, 70, 67–78. [Google Scholar] [CrossRef]
- Elkins, I.J.; King, S.M.; McGue, M.; Iacono, W.G. Personality Traits and the Development of Nicotine, Alcohol, and Illicit Drug Disorders: Prospective Links from Adolescence to Young Adulthood. J. Abnorm. Psychol. 2006, 115, 26–39. [Google Scholar] [CrossRef]
- Magallón-Neri, E.; Díaz, R.; Forns, M.; Goti, J.; Castro-Fornieles, J. Personality Psychopathology, Drug Use and Psychological Symptoms in Adolescents with Substance Use Disorders and Community Controls. PeerJ 2015, 3, e992. [Google Scholar] [CrossRef] [PubMed]
- Fine, B.J. Introversion-Extraversion and Motor Vehicle Driver Behavior. Percept. Mot. Skills 1963, 16, 95–100. [Google Scholar] [CrossRef]
- Mills, J.F.; Kroner, D.G. Impression Management and Self-Report among Violent Offenders. J. Interpers. Violence 2006, 21, 178–192. [Google Scholar] [CrossRef] [PubMed]
- Martino, V.; Grattagliano, I.; Bosco, A.; Massaro, Y.; Lisi, A.; Campobasso, F.; Marchitelli, M.A.; Catanesi, R. A New Index for the MMPI-2 Test for Detecting Dissimulation in Forensic Evaluations: A Pilot Study. J. Forensic Sci. 2015, 61, 249–253. [Google Scholar] [CrossRef] [PubMed]
- Bosco, A.; Massaro, Y.; Lisi, A.; Di Conza, A.; Campobasso, F.; Caffò, A.O.; Catanesi, R.; Martino, V.; Mazzotta, N.; Grattagliano, I. Detecting Faking Good in Military Enlistment Procedure according to a New Index for the MMPI-2. Ital. J. Criminol. 2020, 14, 99–109. [Google Scholar]
- Hathaway, S.R.; McKinley, J.C. A Multiphasic Personality Schedule (Minnesota): III. The Measurement of Symptomatic Depression. J. Psychol. 1942, 14, 73–84. [Google Scholar] [CrossRef]
- Rogers, R.E. Clinical Assessment of Malingering and Deception; Guilford Press: New York, NY, USA, 2008. [Google Scholar]
- Hathaway, S.R.; McKinley, J.C.; Butcher, J.N. MMPI-2, Minnesota Multiphasic Personality Inventory-2: User’s Guide. National Computer Systems. 1989. Available online: https://www.amazon.com/MMPI-2-Minnesota-multiphasic-personality-inventory-2/dp/B0006ETD7Q (accessed on 27 September 2021).
- Gough, H.G. The F Minus K Dissimulation Index for the Minnesota Multiphasic Personality Inventory. J. Consult. Psychol. 1950, 14, 408. [Google Scholar] [CrossRef] [PubMed]
- Greene, R.L. The Relative Efficacy of F-K and the Obvious and Subtle Scales to Detect Overreporting of Psychopathology on the MMPI. J. Clin. Psychol. 1988, 44, 152–159. [Google Scholar] [CrossRef]
- Carson, R.C. Interpretative Manual to the MMPI. In MMPI: Research, Development and Clinical Applications; Butcher, J.N., Ed.; McGraw-Hill: New York, NY, USA, 1969; pp. 279–296. [Google Scholar]
- Lajunen, T.; Summala, H. Can We Trust Self-Reports of Driving? Effects of Impression Management on Driver Behaviour Questionnaire Responses. Transp. Res. Part F Traffic Psychol. Behav. 2003, 6, 97–107. [Google Scholar] [CrossRef]
- Lajunen, T.; Corry, A.; Summala, H.; Hartley, L. Impression Management and Self-Deception in Traffic Behaviour Inventories. Personal. Individ. Differ. 1997, 22, 341–353. [Google Scholar] [CrossRef]
- Moskowitz, H.; Fiorentino, D. A Review of the Literature on the Effects of Low Doses of Alcohol on Driving-Related Skills; No. HS-809 028; National Highway Traffic Safety Administration: Washington, DC, USA, 2000.
- Caffò, A.O.; Tinella, L.; Lopez, A.; Spano, G.; Massaro, Y.; Lisi, A.; Stasolla, F.; Catanesi, R.; Nardulli, F.; Grattagliano, I.; et al. The Drives for Driving Simulation: A Scientometric Analysis and a Selective Review of Reviews on Simulated Driving Research. Front. Psychol. 2020, 11, 917. [Google Scholar] [CrossRef]
- Edwards, J.D.; Vance, D.E.; Wadley, V.G.; Cissell, G.M.; Roenker, D.L.; Ball, K.K. Reliability and Validity of Useful Field of View Test Scores as Administered by Personal Computer. J. Clin. Exp. Neuropsychol. 2005, 27, 529–543. [Google Scholar] [CrossRef]
- Jongen, S.; Perrier, J.; Vuurman, E.F.; Ramaekers, J.G.; Vermeeren, A. Sensitivity and Validity of Psychometric Tests for Assessing Driving Impairment: Effects of Sleep Deprivation. PLoS ONE 2015, 10, e0117045. [Google Scholar] [CrossRef]
- Colarusso, R.P.; Hammill, D.D. Motor-Free Visual Perception Test; Academic Therapy Publications: Novato, CA, USA, 1972. [Google Scholar]
- Calhoun, V.D.; Altschul, D.; McGinty, V.; Shih, R.; Scott, D.; Sears, E.; Pearlson, G.D. Alcohol Intoxication Effects on Visual Perception: An fMRI Study. Hum. Brain Mapp. 2004, 21, 15–26. [Google Scholar] [CrossRef]
- Kaszniak, A.W.; Keyl, P.M.; Albert, M.S. Dementia and the Older Driver. Hum. Factors 1991, 33, 527–537. [Google Scholar] [CrossRef]
- Keyl, P.M.; Rebok, G.W.; Gallo, J.J. Screening Elderly Drivers in General Medical Settings: Toward Development of a Feasible Assessment Procedure (No. Final Report); AARP Andrus Foundation: Washington, DC, USA, 1997. [Google Scholar]
- Nechtelberger, M.; Vlasak, T.; Senft, B.; Nechtelberger, A.; Barth, A. Assessing Psychological Fitness to Drive for Intoxicated Drivers: Relationships of Cognitive Abilities, Fluid Intelligence, and Personality Traits. Front. Psychol. 2020, 11, 1002. [Google Scholar] [CrossRef]
- Schuhfried GmbH. Manual: Fitness to Drive Screening. Test Label DRIVESC; Version 03, Revision 1; Schuhfried GmbH: Moedling, Austria, 2016. [Google Scholar]
- Harkness, A.R.; McNulty, J.L.; Ben-Porath, Y.S. The Personality Psychopathology Five (PSY-5): Constructs and MMPI-2 Scales. Psychol. Asses. 1995, 7, 104. [Google Scholar] [CrossRef]
- Elander, J.; West, R.; French, D. Behavioral Correlates of Individual Differences in Road-Traffic Crash Risk: An Examination of Methods and Findings. Psychol. Bull. 1993, 113, 279–294. [Google Scholar] [CrossRef] [PubMed]
- Martí-Belda Bertolín, A.; Pastor Soriano, J.C.; Montoro González, L.; Bosó Seguí, P.; Roca, J. Persistent Traffic Offenders. Alcohol Consumption and Personality as Predictors of Driving Disqualification. Eur. J. Psychol. Appl. Leg. Context 2019. [Google Scholar] [CrossRef]
- McKnight, A.J.; Langston, E.A.; McKnight, A.S.; Resnick, J.A.; Lange, J.E. Why People Drink and Drive: The Bases of Drinking-and-Driving Decisions; No. DOT HS 808 251; National Highway Traffic Safety Administration: Washington, DC, USA, 1995.
- Sekhon, J.S. Multivariate and Propensity Score Matching Software with Automated Balance Optimization: The Matching Package for R. J. Stat. Softw. 2011, 42, 1–52. Available online: https://www.jstatsoft.org/v42/i07/ (accessed on 27 September 2021). [CrossRef]
- Agresti. An Introduction to Categorical Data Analysis, 1st ed.; Wiley-Interscience: New York, NY, USA, 2007; pp. 75–160. ISBN 0471360937. [Google Scholar]
- Bosco, A.; Spano, G.; Caffò, A.O.; Lopez, A.; Grattagliano, I.; Saracino, G.; Pinto, K.; Hoogeveen, F.; Lancioni, G.E. Italians Do It Worse. Montreal Cognitive Assessment (MoCA) Optimal Cut-Off Scores for People with Probable Alzheimer’s Disease and with Probable Cognitive Impairment. Aging Clin. Exp. Res. 2017, 29, 1113–1120. [Google Scholar] [CrossRef]
- Bosco, A.; Caffò, A.O.; Spano, G.; Lopez, A. Beyond the Cutoffs: A Bayesian Approach to the Use of the Montreal Cognitive Assessment as a Screening Tool for Mild Cognitive Impairment and Dementia. In Diagnosis and Management in Dementia; Academic Press: Cambridge, MA, USA, 2020; pp. 395–410. [Google Scholar]
- Vandenberg, S.G.; Kuse, A.R. Mental Rotations, a Group Test of Three-Dimensional Spatial Visualization. Percept. Mot. Skills 1978, 47, 599–604. [Google Scholar] [CrossRef] [PubMed]
- Kozhevnikov, M.; Hegarty, M. A Dissociation between Object Manipulation Spatial Ability and Spatial Orientation Ability. Mem. Cogn. 2001, 29, 745–756. [Google Scholar] [CrossRef]
- Hegarty, M.; Waller, D. A Dissociation between Mental Rotation and Perspective-Taking Spatial Abilities. Intelligence 2004, 32, 175–191. [Google Scholar] [CrossRef]
- Butcher, J.N.; Dahlstrom, W.G.; Graham, J.R.; Tellegen, A.M.; Kaemmer, B. Minnesota Multiphasic Personality Inventory-2 (MMPI-2): Manual for Administration and Scoring; University of Minnesota Press: Minneapolis, MN, USA, 1989. [Google Scholar]
- Hathaway, S.R.; McKinley, J.C.; Pancheri, P.; Sirigatti, S. MMPI-2: Minnesota Multiphasic Personality Inventory-2: Manuale; Organizzazioni Speciali; American Psychological Association: Washington, DC, USA, 1995. [Google Scholar]
- IBM Corp. IBM SPSS Statistics for Windows; Version 21.0; IBM Corp: New York, NY, USA, 2012. [Google Scholar]
- The Jamovi Project (Version 1.0.7.0) Computer Software. 2019. Available online: https://www.jamovi.org (accessed on 6 October 2019).
- Hindmarch, I.; Bhatti, J.Z.; Starmer, G.A.; Mascord, D.J.; Kerr, J.S.; Sherwood, N. The Effects of Alcohol on the Cognitive Function of Males and Females and on Skills Relating to Car Driving. Hum. Psychopharmacol. Clin. Exp. 1992, 7, 105–114. [Google Scholar] [CrossRef]
- Gauthier, I.; Hayward, W.G.; Tarr, M.J.; Anderson, A.W.; Skudlarski, P.; Gore, J.C. BOLD Activity during Mental Rotation and Viewpoint-Dependent Object Recognition. Neuron 2002, 34, 161–171. [Google Scholar] [CrossRef]
- Buckley, J.; Canty, D.; Seery, N. Spatial Working Memory in Mental Rotations: A Case for Exploring Neural Efficiency and Cognitive Strategies. In Proceedings of ASEE Engineering Design Graphics Division 72 Mid-Year Conference; ASEE: Montego Bay, Jamaica, 2018. [Google Scholar]
- Noël, X.; Sferrazza, R.; Van der Linden, M.; Paternot, J.; Verhas, M.; Hanak, C.; Pelc, I.; Verbanck, P. Contribution of Frontal Cerebral Blood Flow Measured by 99mTc-Bicisate SPECT and Executive Function Deficits to Prediction Treatment Outcome in Alcohol-Dependent Patients. Alcohol. Alcohol. 2002, 37, 347–354. [Google Scholar] [CrossRef] [PubMed]
- Ramchandani, V.A.; Stangl, B.L.; Blaine, S.K.; Plawecki, M.H.; Schwandt, M.L.; Kwako, L.E.; Sinha, R.; Cyders, M.A.; O’Connor, S.; Zakhari, S. Stress Vulnerability and Alcohol Use and Consequences: From Human Laboratory Studies to Clinical Outcomes. Alcohol 2018, 72, 75–88. [Google Scholar] [CrossRef]
- Sinha, R.; Fox, H.C.; Hong, K.I.A.; Hansen, J.; Tuit, K.; Kreek, M.J. Effects of Adrenal Sensitivity, Stress-and Cue-Induced Craving, and Anxiety on Subsequent Alcohol Relapse and Treatment Outcomes. Arch. Gen. Psychiatry 2011, 68, 942–952. [Google Scholar] [CrossRef] [PubMed]
- Enoch, M.A. The Role of Early Life Stress as a Predictor for Alcohol and Drug Dependence. Psychopharmacology 2011, 214, 17–31. [Google Scholar] [CrossRef]
- Schwandt, M.L.; Heilig, M.; Hommer, D.W.; George, D.T.; Ramchandani, V.A. Childhood Trauma Exposure and Alcohol Dependence Severity in Adulthood: Mediation by Emotional Abuse Severity and Neuroticism. Alcohol. Clin. Exp. Res. 2013, 37, 984–992. [Google Scholar] [CrossRef]
- Stangl, B.L.; Vatsalya, V.; Zametkin, M.R.; Cooke, M.E.; Plawecki, M.H.; O’Connor, S.; Ramchandani, V.A. Exposure Response Relationships during Free-Access Intravenous Alcohol Self-Administration in Nondependent Drinkers: Influence of Alcohol Expectancies and Impulsivity. Int. J. Neuropsychopharmacol. 2017, 20, 31–39. [Google Scholar] [CrossRef]
- Becker, H.C. Effects of Alcohol Dependence and Withdrawal on Stress Responsiveness and Alcohol Consumption. Alcohol Res. 2012, 34, 448–458. [Google Scholar]
- Mathias, J.; Lucas, L.K. Cognitive Predictors of Unsafe Driving in Older Drivers: A Meta-Analysis. Int. Psychogeriatr. 2009, 21, 637–653. [Google Scholar] [CrossRef]
- McNulty, J.L.; Harkness, A.R. The MMPI-2 Personality Psychophatology-Five (PSY-5) Scales and the Five Factor Model. In Big five Assessment; de Raad, B., Perugini, M., Eds.; Hogrefe & Huber Publishers: Seattle, WA, USA, 2002; pp. 436–452. [Google Scholar]
- Veltri, C.O.; Graham, J.R.; Sellbom, M.; Ben-Porath, Y.S.; Forbey, J.D.; O’Connell, C.; Rogers, R.; White, R.S. Correlates of MMPI-a Scales in Acute Psychiatric and Forensic Samples. J. Pers. Assess. 2009, 91, 288–300. [Google Scholar] [CrossRef]
- Veltri, C.O.; Sellbom, M.; Graham, J.R.; Ben-Porath, Y.S.; Forbey, J.D.; White, R.S. Distinguishing Personality Psychopathology Five (PSY-5) Characteristics Associated with Violent and Nonviolent Juvenile Delinquency. J. Pers. Assess. 2014, 96, 158–165. [Google Scholar] [CrossRef]
- Woicik, P.A.; Stewart, S.H.; Phil, R.O.; Conrod, P.J. The Substance Use Risk Scale: A Scale Measuring Traits Linked to Reinforcement-Specific Substance Use Profiles. Addict. Behav. 2009, 34, 1042–1055. [Google Scholar] [CrossRef] [PubMed]
- Walker, D.L. Extraversion–Introversion. In The Wiley Encyclopedia of Personality and Individual Differences: Models and Theories; John Wiley & Sons Ltd.: London, UK, 2020; pp. 159–163. [Google Scholar]
- Edwards, A.L. The Social Desirability Variable in Personality Assessment and Research; Dryden Press: Fort Worth, TX, USA, 1957. [Google Scholar]
- Lane, R.D.; Meringas, K.R.; Schwartz, G.E.; Huang, S.S.; Prusoff, B.A. Inverse Relationship between Defensiveness and Lifetime Prevalence of Psychiatric Disorder. Am. J. Psychiatry 1990, 147, 573–578. [Google Scholar] [PubMed]
- Monaro, M.; Mazza, C.; Colasanti, M.; Ferracuti, S.; Orrù, G.; di Domenico, A.; Sartori, G.; Roma, P. Detecting Faking-Good Response Style in Personality Questionnaires with Four Choice Alternatives. Psychol. Res. 2021, 1–14. [Google Scholar] [CrossRef] [PubMed]
- Sanjurjo-de-No, A.; Arenas-Ramírez, B.; Mira, J.; Aparicio-Izquierdo, F. Driver Liability Assessment in Vehicle Collisions in Spain. Int. J. Environ. Res. Public Health 2021, 18, 1475. [Google Scholar] [CrossRef] [PubMed]

| 95% Confidence Interval | |||||||||
|---|---|---|---|---|---|---|---|---|---|
| B | SE | Z | Wald χ2 | Df | p | OR | Lower | Upper | |
| MoCA | 0.1580 | 0.0888 | 1.78 | 3164 | 1 | 0.075 | 1.171 | 0.984 | 1.394 |
| MRT | −0.0679 | 0.0278 | −2.45 | 5980 | 1 | 0.014 | 0.934 | 0.885 | 0.987 |
| DT | −0.0221 | 0.0108 | −2.04 | 4164 | 1 | 0.041 | 0.978 | 0.958 | 0.999 |
| PSYC | −0.0630 | 0.0313 | −2.01 | 4052 | 1 | 0.044 | 0.939 | 0.883 | 0.998 |
| DISC | 0.1153 | 0.0255 | 4.53 | 20,509 | 1 | <0.001 | 1.122 | 1.068 | 1.180 |
| NEGE | −0.1303 | 0.0340 | −3.84 | 14,713 | 1 | <0.001 | 0.878 | 0.821 | 0.938 |
| INTR | −0.0927 | 0.0253 | −3.67 | 13,469 | 1 | <0.001 | 0.911 | 0.867 | 0.958 |
Publisher’s Note: MDPI stays neutral with regard to jurisdictional claims in published maps and institutional affiliations. |
© 2021 by the authors. Licensee MDPI, Basel, Switzerland. This article is an open access article distributed under the terms and conditions of the Creative Commons Attribution (CC BY) license (https://creativecommons.org/licenses/by/4.0/).
Share and Cite
Tinella, L.; Caffò, A.O.; Lopez, A.; Nardulli, F.; Grattagliano, I.; Bosco, A. Reassessing Fitness-to-Drive in Drinker Drivers: The Role of Cognition and Personality. Int. J. Environ. Res. Public Health 2021, 18, 12828. https://doi.org/10.3390/ijerph182312828
Tinella L, Caffò AO, Lopez A, Nardulli F, Grattagliano I, Bosco A. Reassessing Fitness-to-Drive in Drinker Drivers: The Role of Cognition and Personality. International Journal of Environmental Research and Public Health. 2021; 18(23):12828. https://doi.org/10.3390/ijerph182312828
Chicago/Turabian StyleTinella, Luigi, Alessandro Oronzo Caffò, Antonella Lopez, Francesco Nardulli, Ignazio Grattagliano, and Andrea Bosco. 2021. "Reassessing Fitness-to-Drive in Drinker Drivers: The Role of Cognition and Personality" International Journal of Environmental Research and Public Health 18, no. 23: 12828. https://doi.org/10.3390/ijerph182312828
APA StyleTinella, L., Caffò, A. O., Lopez, A., Nardulli, F., Grattagliano, I., & Bosco, A. (2021). Reassessing Fitness-to-Drive in Drinker Drivers: The Role of Cognition and Personality. International Journal of Environmental Research and Public Health, 18(23), 12828. https://doi.org/10.3390/ijerph182312828

