Seasonal SUHI Analysis Using Local Climate Zone Classification: A Case Study of Wuhan, China
Abstract
:1. Introduction
2. Study Area and Datasets
2.1. Study Area
2.2. LCZ Classification of Wuhan
2.3. The Remote Sensing Data Used for LST Retrieval
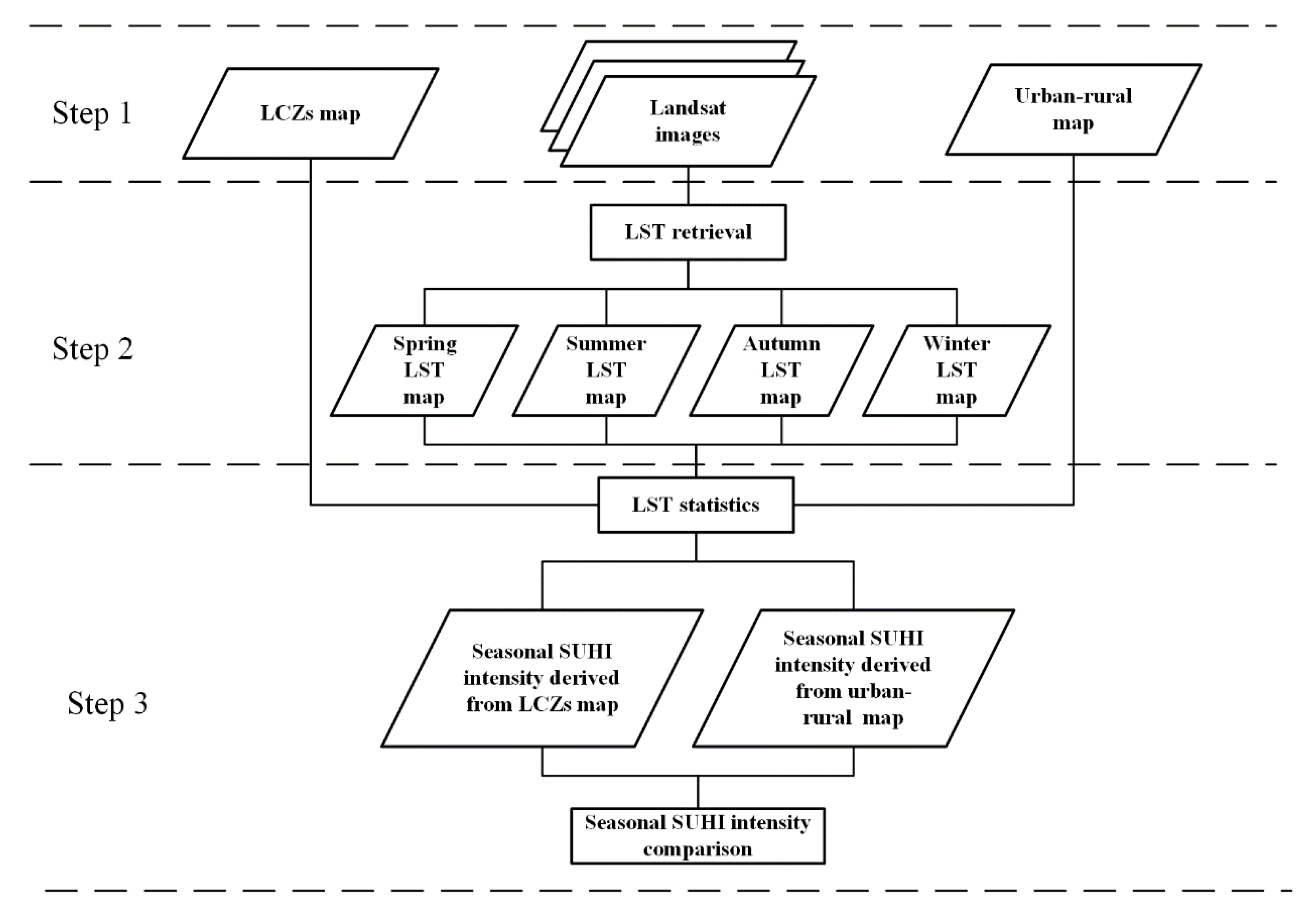
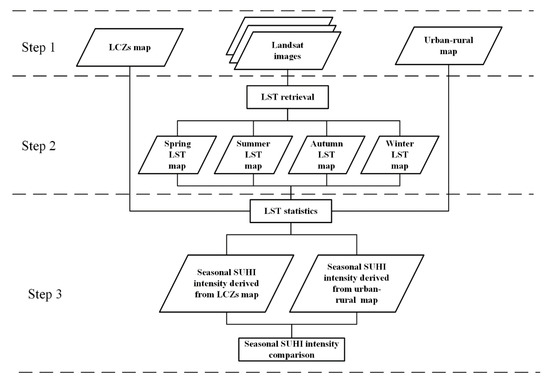
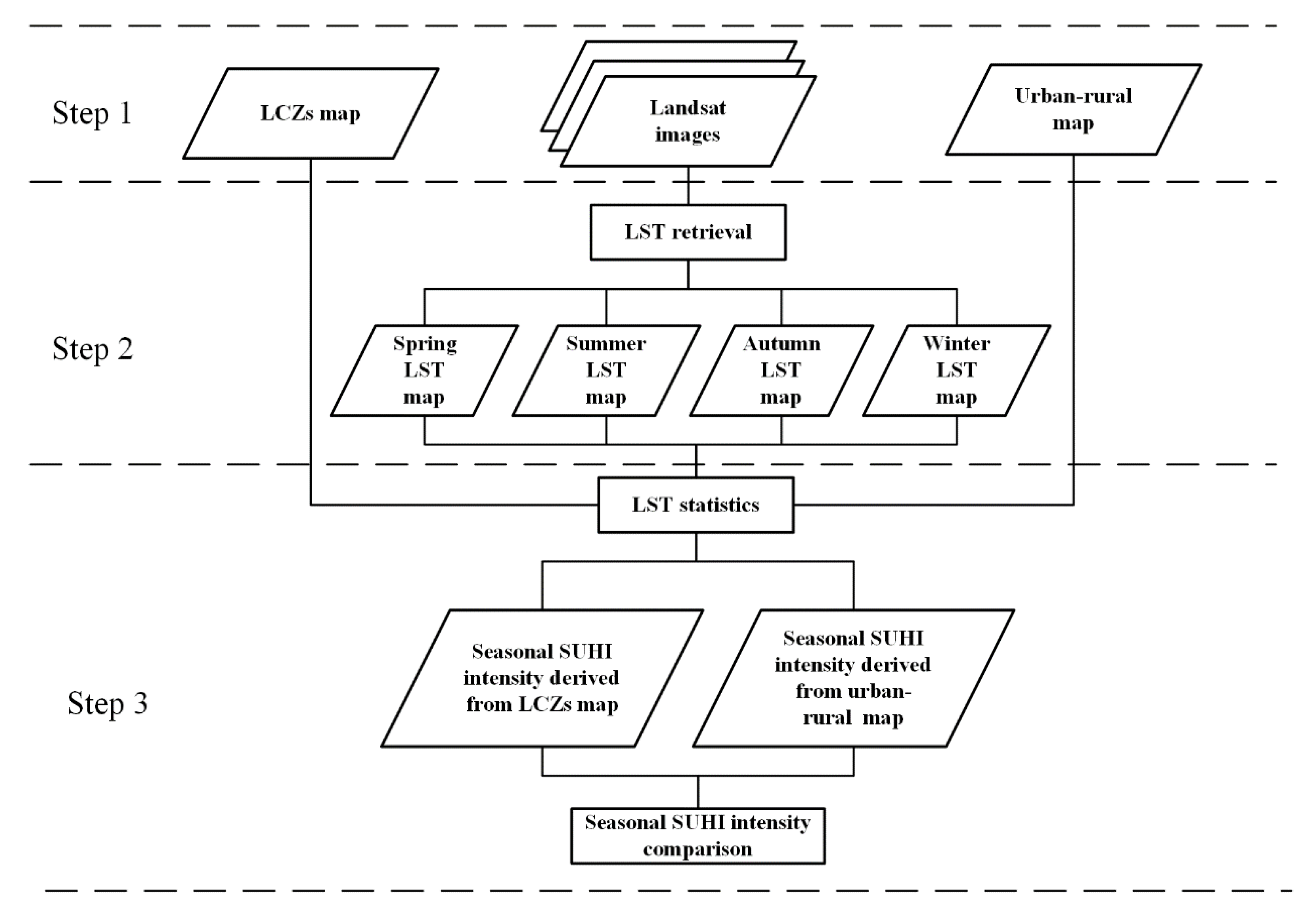
3. Methods
3.1. SHUI Analysis Using the LCZ Classification
3.2. SHUI Analysis Using the Urban–Rural Dichotomy
4. Results and Discussion
4.1. Seasonal LST Maps of Wuhan
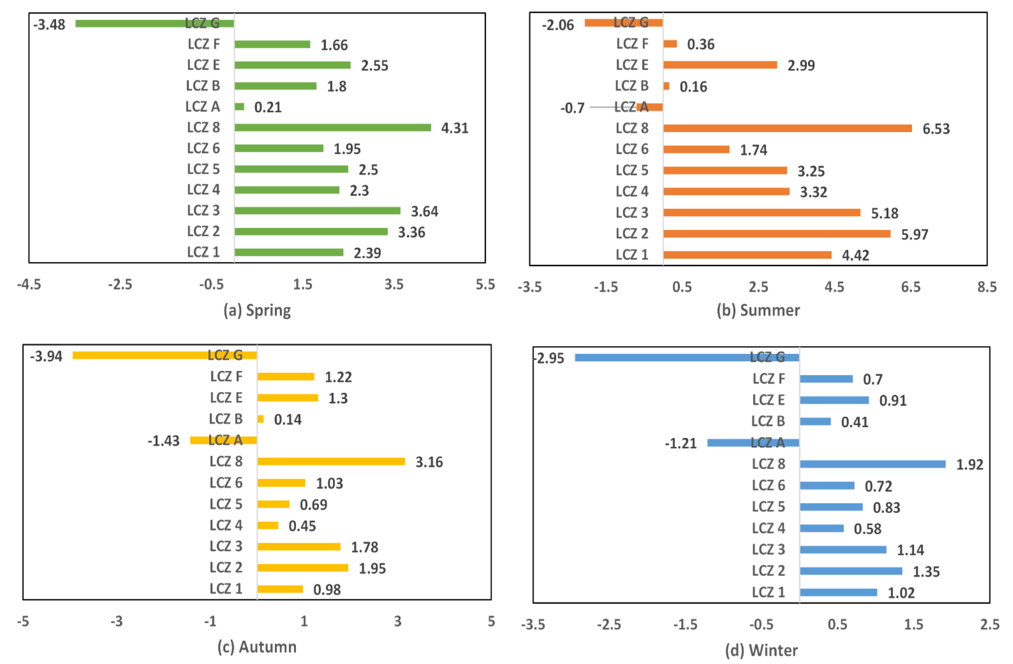
4.2. Seasonal SUHI Intensity Derived from LCZ Classification
4.3. Seasonal SUHI Intensity Derived from the Urban–Rural Dichotomy
5. Conclusions
Author Contributions
Funding
Institutional Review Board Statement
Informed Consent Statement
Data Availability Statement
Acknowledgments
Conflicts of Interest
References
- United Nations. 2018 Revision of World Urbanization Prospects; United Nations Department of Economic and Social Affairs: New York, NY, USA, 2018. [Google Scholar]
- Sanchez-Rodriguez, R.; Seto, K.C.; Solecki, W.D.; Kraas, F.; Laumann, G. Science Plan: Urbanization and Global Environmental Change; Wiley Online Library: Hoboken, NJ, USA, 2005; p. 59. [Google Scholar]
- Taha, H. Urban climates and heat islands: Albedo, evapotranspiration, and anthropogenic heat. Energy Build. 1997, 25, 99–103. [Google Scholar] [CrossRef] [Green Version]
- Oke, T.R. The energetic basis of the urban heat island. Q. J. R. Meteorol. Soc. 1982, 108, 1–24. [Google Scholar] [CrossRef]
- Voogt, J.A.; Oke, T.R. Thermal remote sensing of urban climates. Remote Sens. Environ. 2003, 86, 370–384. [Google Scholar] [CrossRef]
- Founda, D.; Santamouris, M. Synergies between Urban Heat Island and Heat Waves in Athens (Greece), during an extremely hot summer (2012). Sci. Rep. 2017, 7, 1–11. [Google Scholar] [CrossRef] [Green Version]
- Salata, F.; Golasi, I.; Petitti, D.; Vollaro, E.D.L.; Coppi, M.; Vollaro, A.D.L. Relating microclimate, human thermal comfort and health during heat waves: An analysis of heat island mitigation strategies through a case study in an urban outdoor envi-ronment. Sustain. Cities Soc. 2017, 30, 79–96. [Google Scholar] [CrossRef]
- Yadav, N.; Sharma, C.; Peshin, S.K.; Masiwal, R. Study of intra-city urban heat island intensity and its influence on atmospheric chemistry and energy consumption in Delhi. Sustain. Cities Soc. 2017, 32, 202–211. [Google Scholar] [CrossRef]
- Fallmann, J.; Forkel, R.; Emeis, S. Secondary effects of urban heat island mitigation measures on air quality. Atmos. Environ. 2016, 125, 199–211. [Google Scholar] [CrossRef] [Green Version]
- Unger, J. Intra-urban relationship between surface geometry and urban heat island: Review and new approach. Clim. Res. 2004, 27, 253–264. [Google Scholar] [CrossRef] [Green Version]
- Henao, J.J.; Rendón, A.M.; Salazar, J. Trade-off between urban heat island mitigation and air quality in urban valleys. Urban Clim. 2020, 31, 100542. [Google Scholar] [CrossRef]
- Grimm, N.B.; Faeth, S.H.; Golubiewski, N.E.; Redman, C.L.; Wu, J.; Bai, X.; Briggs, J.M. Global Change and the Ecology of Cities. Science 2008, 319, 756–760. [Google Scholar] [CrossRef] [Green Version]
- Shi, B.; Tang, C.-S.; Gao, L.; Liu, C.; Wang, B.-J. Observation and analysis of the urban heat island effect on soil in Nanjing, China. Environ. Earth Sci. 2012, 67, 215–229. [Google Scholar] [CrossRef]
- Knapp, S.; Kühn, I.; Stolle, J.; Klotz, S. Changes in the functional composition of a Central European urban flora over three centuries. Perspect. Plant Ecol. Evol. Syst. 2010, 12, 235–244. [Google Scholar] [CrossRef]
- Wong, K.; Paddon, A.; Jimenez, A. Review of World Urban Heat Islands: Many Linked to Increased Mortality. J. Energy Resour. Technol. 2013, 135, 022101. [Google Scholar] [CrossRef]
- Ponraj, M.; Lee, Y.Y.; Din, M.F.M.; Noor, Z.Z.; Iwao, K.; Chelliapan, S. Overview of Urban Heat Island (Uhi) Phenomenon Towards Human Thermal Comfort. Environ. Eng. Manag. J. 2017, 16, 2097–2111. [Google Scholar] [CrossRef]
- Tzavali, A.; Paravantis, J.P.; Mihalakakou, G.; Fotiadi, A.; Stigka, E. Urban heat island intensity: A literature review. Fresenius Environ. Bull. 2015, 24, 4537–4554. [Google Scholar]
- Grimmond, S. Urbanization and global environmental change: Local effects of urban warming. Geogr. J. 2007, 173, 83–88. [Google Scholar] [CrossRef]
- Zhao, M.; Zhong, C. Self-Training Classification Framework with Spatial-Contextual Information for Local Climate Zones. Remote Sens. 2019, 11, 2828. [Google Scholar] [CrossRef] [Green Version]
- Lin, Z.; Xu, H. A study of Urban heat island intensity based on “local climate zones”: A case study in Fuzhou, China. In Proceedings of the International Workshop on Earth Observation and Remote Sensing Applications, Guangzhou, China, 4–6 July 2016; pp. 250–254. [Google Scholar]
- Ojeh, V.N.; Balogun, A.A.; Okhimamhe, A.A. Urban-Rural Temperature Differences in Lagos. Climate 2016, 4, 29. [Google Scholar] [CrossRef]
- Stewart, I.D.; Oke, T.R. Local Climate Zones for Urban Temperature Studies. Bull. Am. Meteorol. Soc. 2012, 93, 1879–1900. [Google Scholar] [CrossRef]
- Yang, J.; Zhan, Y.; Xiao, X.; Xia, J.C.; Sun, W.; Li, X. Investigating the diversity of land surface temperature characteristics in different scale cities based on local climate zones. Urban Clim. 2020, 34, 100700. [Google Scholar] [CrossRef]
- Dian, C.; Pongrácz, R.; Dezső, Z.; Bartholy, J. Annual and monthly analysis of surface urban heat island intensity with respect to the local climate zones in Budapest. Urban Clim. 2020, 31, 100573. [Google Scholar] [CrossRef]
- Das, M.; Das, A.; Mandal, S. Outdoor thermal comfort in different settings of a tropical planning region: A study on Sriniket-an-Santiniketan Planning Area (SSPA), Eastern India. Sustain. Cities Soc. 2020, 63, 102433. [Google Scholar] [CrossRef]
- Quan, J. Multi-Temporal Effects of Urban Forms and Functions on Urban Heat Islands Based on Local Climate Zone Classification. Int. J. Environ. Res. Public Health 2019, 16, 2140. [Google Scholar] [CrossRef] [Green Version]
- Hidalgo, J.; Dumas, G.; Masson, V.; Petit, G.; Bechtel, B.; Bocher, E.; Foley, M.; Schoetter, R.; Mills, G. Comparison between local climate zones maps derived from administrative datasets and satellite observations. Urban Clim. 2019, 27, 64–89. [Google Scholar] [CrossRef] [Green Version]
- Shen, H.; Huang, L.; Zhang, L.; Wu, P.; Zeng, C. Long-term and fine-scale satellite monitoring of the urban heat island effect by the fusion of multi-temporal and multi-sensor remote sensed data: A 26-year case study of the city of Wuhan in China. Remote Sens. Environ. 2016, 172, 109–125. [Google Scholar] [CrossRef]
- Hu, L.; Brunsell, N. A new perspective to assess the urban heat island through remotely sensed atmospheric profiles. Remote Sens. Environ. 2015, 158, 393–406. [Google Scholar] [CrossRef]
- Weng, Q. Thermal infrared remote sensing for urban climate and environmental studies: Methods, applications, and trends. ISPRS J. Photogramm. Remote Sens. 2009, 64, 335–344. [Google Scholar] [CrossRef]
- Streutker, D.R. A remote sensing study of the urban heat island of Houston, Texas. Int. J. Remote Sens. 2002, 23, 2595–2608. [Google Scholar] [CrossRef]
- Oke, T.R.; Mills, G.; Christen, A.; Voogt, J. Urban Climates; Cambridge University Press: Cambridge, UK, 2017. [Google Scholar]
- Alexander, P.J.; Mills, G. Local Climate Classification and Dublin’s Urban Heat Island. Atmosphere 2014, 5, 755–774. [Google Scholar] [CrossRef] [Green Version]
- Leconte, F.; Bouyer, J.; Claverie, R.; Pétrissans, M. Using Local Climate Zone scheme for UHI assessment: Evaluation of the method using mobile measurements. Build. Environ. 2015, 83, 39–49. [Google Scholar] [CrossRef]
- Ng, Y.X.Y. A study of urban heat island using ‘‘local climate zones’’—The case of Singapore. Br. J. Environ. Clim. Chang. 2015, 5, 116–133. [Google Scholar] [CrossRef] [PubMed]
- Bechtel, B.; Demuzere, M.; Mills, G.; Zhan, W.; Sismanidis, P.; Small, C.; Voogt, J. SUHI analysis using Local Climate Zones—A comparison of 50 cities. Urban Clim. 2019, 28, 100451. [Google Scholar] [CrossRef]
- Wu, X.; Zhang, L.; Zang, S. Examining seasonal effect of urban heat island in a coastal city. PLoS ONE 2019, 14, e0217850. [Google Scholar] [CrossRef] [Green Version]
- Yuan, Y.; Xi, C.; Jing, Q.; Felix, N. Seasonal Variations of the Urban Thermal Environment Effect in a Tropical Coastal City. Adv. Meteorol. 2017, 2017, 1–18. [Google Scholar] [CrossRef] [Green Version]
- Schatz, J.; Kucharik, C. Seasonality of the Urban Heat Island Effect in Madison, Wisconsin. J. Appl. Meteorol. Clim. 2014, 53, 2371–2386. [Google Scholar] [CrossRef]
- Haashemi, S.; Weng, Q.; Darvishi, A.; Alavipanah, S.K. Seasonal Variations of the Surface Urban Heat Island in a Semi-Arid City. Remote Sens. 2016, 8, 352. [Google Scholar] [CrossRef] [Green Version]
- Budhiraja, B.; Gawuc, L.; Agrawal, G. Seasonality of Surface Urban Heat Island in Delhi City Region Measured by Local Climate Zones and Conventional Indicators. IEEE J. Sel. Top. Appl. Earth Obs. Remote Sens. 2020, 12, 5223–5232. [Google Scholar] [CrossRef]
- Du, P.; Chen, J.; Bai, X.; Han, W. Understanding the seasonal variations of land surface temperature in Nanjing urban area based on local climate zone. Urban Clim. 2020, 33, 100657. [Google Scholar] [CrossRef]
- Geletič, J.; Lehnert, M.; Savić, S.; Milošević, D. Inter-/intra-zonal seasonal variability of the surface urban heat island based on local climate zones in three central European cities. Build. Environ. 2019, 156, 21–32. [Google Scholar] [CrossRef]
- Wang, Y.; Li, G. Analysis of “furnace cities in China using MODIS/LST product (MOD11A2). In Proceedings of the 2014 IEEE Geoscience and Remote Sensing Symposium, Quebec City, QC, Canada, 13–18 July 2014; pp. 1817–1820. [Google Scholar] [CrossRef]
- Zhang, Y.; Yiyun, C.; Qing, D.; Jiang, P. Study on Urban Heat Island Effect Based on Normalized Difference Vegetated Index: A Case Study of Wuhan City. Procedia Environ. Sci. 2012, 13, 574–581. [Google Scholar] [CrossRef] [Green Version]
- Ren, G.Y.; Chu, Z.Y.; Chen, Z.H.; Ren, Y.Y. Implications of temporal change in urban heat island intensity observed at Beijing and Wuhan stations. Geophys. Res. Lett. 2007, 34, 34. [Google Scholar] [CrossRef]
- Wu, H.; Ye, L.-P.; Shi, W.; Clarke, K. Assessing the effects of land use spatial structure on urban heat islands using HJ-1B remote sensing imagery in Wuhan, China. Int. J. Appl. Earth Obs. Geoinf. 2014, 32, 67–78. [Google Scholar] [CrossRef]
- Shi, L.; Ling, F.; Ge, Y.; Foody, G.M.; Li, X.; Wang, L.; Zhang, Y.; Du, Y. Impervious Surface Change Mapping with an Un-certainty-Based Spatial-Temporal Consistency Model: A Case Study in Wuhan City Using Landsat Time-Series Datasets from 1987 to 2016. Remote Sens. 2017, 9, 1148. [Google Scholar] [CrossRef] [Green Version]
- Shi, L.; Ling, F. Local Climate Zone Mapping Using Multi-Source Free Available Datasets on Google Earth Engine Platform. Land 2021, 10, 454. [Google Scholar] [CrossRef]
- Xu, Y.; Ren, C.; Cai, M.; Edward, N.Y.Y.; Wu, T. Classification of Local Climate Zones Using ASTER and Landsat Data for High-Density Cities. IEEE J. Sel. Top. Appl. Earth Obs. Remote Sens. 2017, 10, 3397–3405. [Google Scholar] [CrossRef]
- Wuhan Water Affairs Bureau. Wuhan Water Resources Bulletin (2019); Wuhan Water Affairs Bureau: Wuhan, China, 2020. [Google Scholar]
- Ermida, S.L.; Soares, P.; Mantas, V.; Göttsche, F.-M.; Trigo, I.F. Google Earth Engine Open-Source Code for Land Surface Temperature Estimation from the Landsat Series. Remote Sens. 2020, 12, 1471. [Google Scholar] [CrossRef]





| LCZ Class | Definition | Sample Graph | |
|---|---|---|---|
| Built type | LCZ 1: compact high-rise | Dense mix of tall buildings up to tens of stories. Few or no trees. Land cover mostly paved. Concrete, steel, stone, and glass construction materials. | ![]() |
| LCZ 2: compact midrise | Dense mix of midrise buildings (3–9 stories). Few or no trees. Land cover mostly paved. Stone, brick, tile, and concrete construction materials. | ![]() | |
| LCZ 3: compact low-rise | Dense mix of low-rise buildings (1–3 stories). Few or no trees. Land cover mostly paved. Stone, brick, tile, and concrete construction materials. | ![]() | |
| LCZ 4: open high-rise | Open arrangement of tall buildings with tens of stories. Abundance of pervious land cover (low plants, scattered trees). Concrete, steel, stone, and glass construction materials. | ![]() | |
| LCZ 5: open midrise | Open arrangement of midrise buildings (3–9 stories). Abundance of pervious land cover (low plants, scattered trees). Concrete, steel, stone, and glass construction materials. | ![]() | |
| LCZ 6: open low-rise | Open arrangement of low-rise buildings (1–3 stories). Abundance of pervious land cover (low plants, scattered trees). Wood, brick, stone, tile, and concrete construction materials. | ![]() | |
| LCZ 7: lightweight low-rise | Dense mix of single-story buildings. Few or no trees. Land cover mostly hard-packed. Lightweight construction materials (e.g., wood, thatch, corrugated metal). | ![]() | |
| LCZ 8: large low-rise | Open arrangement of large low-rise buildings (1–3 stories). Few or no trees. Land cover mostly paved. Steel, concrete, metal, and stone construction materials. | ![]() | |
| LCZ 9: sparsely built | Sparse arrangement of small or medium-sized buildings in a natural setting. Abundance of pervious land cover (low plants, scattered trees). | ![]() | |
| LCZ 10: heavy industry | Low-rise and midrise industrial structures (towers, tanks, stacks). Few or no trees. Land cover mostly paved or hard-packed. Metal, steel, and concrete construction materials. | ![]() | |
| Land cover type | LCZ A: dense trees | Heavily wooded landscape of deciduous and/or evergreen trees. Land cover mostly pervious (low plants). Zone function is natural forest, tree cultivation, or urban park. | ![]() |
| LCZ B: scattered trees | Lightly wooded landscape of deciduous and/or evergreen trees. Land cover mostly pervious (low plants). Zone function is natural forest, tree cultivation, or urban park. | ![]() | |
| LCZ C: Bush, scrub | Open arrangement of bushes, shrubs, and short, woody trees. Land cover mostly pervious (bare soil or sand). Zone function is natural scrubland or agriculture. | ![]() | |
| LCZ D: low plants | Featureless landscape of grass or herbaceous plants/crops. Few or no trees. Zone function is natural grassland, agriculture, or urban park. | ![]() | |
| LCZ E: bare rock or paved | Featureless landscape of rock or paved cover. Few or no trees or plants. Zone function is natural desert (rock) or urban transportation. | ![]() | |
| LCZ F: bare soil or sand | Featureless landscape of soil or sand cover. Few or no trees or plants. Zone function is natural desert or agriculture. | ![]() | |
| LCZ G: water | Large, open water bodies such as seas and lakes, or small bodies such as rivers, reservoirs, and lagoons. | ![]() | |
| LCZ | 1 | 2 | 3 | 4 | 5 | 6 | 8 | A | B | D | E | F | G | Total | PA (%) |
|---|---|---|---|---|---|---|---|---|---|---|---|---|---|---|---|
| 1 | 1215 | 118 | 44 | 1100 | 162 | 92 | 26 | 0 | 0 | 0 | 18 | 2 | 0 | 2777 | 43.75 |
| 2 | 142 | 1548 | 222 | 86 | 490 | 140 | 52 | 0 | 0 | 0 | 23 | 6 | 0 | 2709 | 57.14 |
| 3 | 4 | 62 | 621 | 5 | 65 | 28 | 0 | 0 | 0 | 0 | 4 | 1 | 0 | 790 | 78.61 |
| 4 | 986 | 22 | 10 | 1339 | 1144 | 34 | 26 | 2 | 0 | 0 | 31 | 3 | 0 | 3597 | 37.23 |
| 5 | 230 | 42 | 102 | 152 | 939 | 178 | 8 | 2 | 0 | 0 | 24 | 0 | 0 | 1677 | 55.99 |
| 6 | 102 | 13 | 32 | 32 | 19 | 1362 | 5 | 1 | 0 | 2 | 33 | 15 | 0 | 1616 | 84.28 |
| 8 | 79 | 19 | 11 | 16 | 29 | 4 | 5411 | 0 | 0 | 0 | 117 | 3 | 0 | 5689 | 95.11 |
| A | 0 | 0 | 1 | 1 | 15 | 13 | 0 | 3502 | 150 | 61 | 6 | 0 | 0 | 3749 | 93.41 |
| B | 3 | 0 | 0 | 0 | 1 | 50 | 0 | 310 | 1035 | 725 | 13 | 86 | 0 | 2223 | 46.56 |
| D | 13 | 0 | 0 | 2 | 0 | 1 | 0 | 0 | 3 | 1422 | 63 | 109 | 0 | 1613 | 88.16 |
| E | 47 | 48 | 37 | 30 | 10 | 59 | 161 | 0 | 0 | 0 | 4535 | 338 | 0 | 5265 | 86.13 |
| F | 0 | 0 | 1 | 0 | 0 | 17 | 0 | 0 | 10 | 123 | 0 | 2096 | 0 | 2247 | 93.28 |
| G | 0 | 0 | 0 | 0 | 0 | 0 | 0 | 0 | 0 | 0 | 1 | 0 | 4262 | 4263 | 99.98 |
| Total | 2821 | 1872 | 1081 | 2763 | 2874 | 1978 | 5689 | 3817 | 1198 | 2333 | 4868 | 2659 | 4262 | 38215 | |
| UA (%) | 43.07 | 82.69 | 57.45 | 48.46 | 32.67 | 68.86 | 95.11 | 91.75 | 86.39 | 60.95 | 93.16 | 78.83 | 100.00 | ||
| OA (%) | 76.64 | OAb (%) | 65.18 | OAlc (%) | 88.06 | ||||||||||
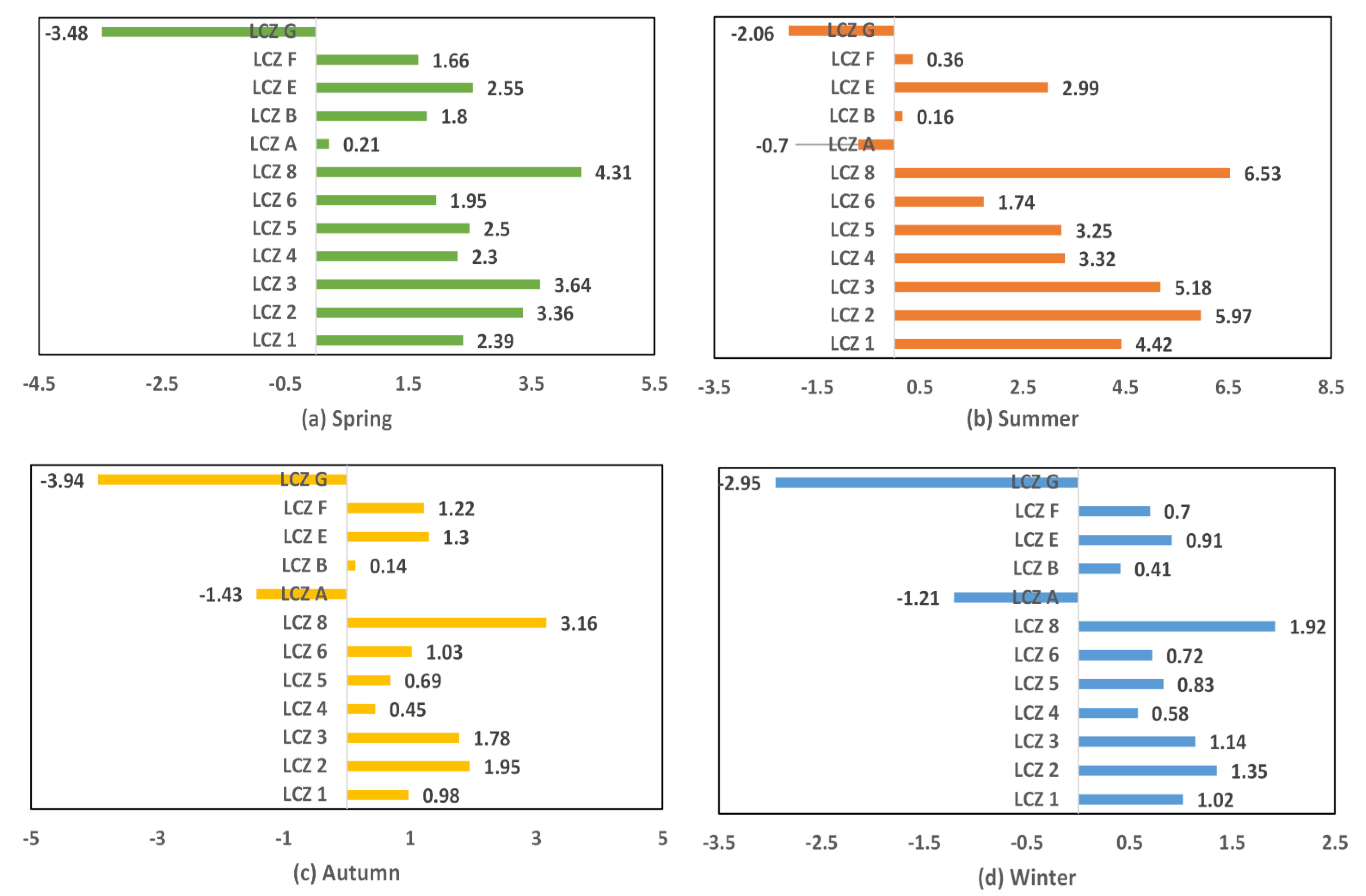
| Class | Name | Average LST (°C) | |||
|---|---|---|---|---|---|
| Spring | Summer | Autumn | Winter | ||
| LCZ 1 | Compact high-rise | 24.16 | 39.76 | 25.64 | 13.82 |
| LCZ 2 | Compact midrise | 25.13 | 41.31 | 26.61 | 14.15 |
| LCZ 3 | Compact low-rise | 25.41 | 40.52 | 26.44 | 13.94 |
| LCZ 4 | Open high-rise | 24.07 | 38.66 | 25.11 | 13.38 |
| LCZ 5 | Open midrise | 24.27 | 38.59 | 25.35 | 13.63 |
| LCZ 6 | Open low-rise | 23.72 | 37.08 | 25.69 | 13.52 |
| LCZ 8 | Large low-rise | 26.08 | 41.87 | 27.82 | 14.72 |
| LCZ A | Dense trees | 21.98 | 34.64 | 23.23 | 11.59 |
| LCZ B | Scattered trees | 23.57 | 35.50 | 24.80 | 13.21 |
| LCZ D | Low plant | 21.77 | 35.34 | 24.66 | 12.80 |
| LCZ E | Bare rock and paved | 24.32 | 38.33 | 25.96 | 13.71 |
| LCZ F | Bare soil and sand | 23.43 | 35.70 | 25.88 | 13.50 |
| LCZ G | Water | 18.29 | 33.28 | 20.72 | 9.85 |
| Average Temperature (°C) | Spring | Summer | Autumn | Winter |
|---|---|---|---|---|
| Urban area | 24.00 | 38.70 | 25.60 | 13.81 |
| Rural area | 22.68 | 35.55 | 24.56 | 12.65 |
| SUHI intensity | 1.32 | 3.15 | 1.05 | 1.15 |
Publisher’s Note: MDPI stays neutral with regard to jurisdictional claims in published maps and institutional affiliations. |
© 2021 by the authors. Licensee MDPI, Basel, Switzerland. This article is an open access article distributed under the terms and conditions of the Creative Commons Attribution (CC BY) license (https://creativecommons.org/licenses/by/4.0/).
Share and Cite
Shi, L.; Ling, F.; Foody, G.M.; Yang, Z.; Liu, X.; Du, Y. Seasonal SUHI Analysis Using Local Climate Zone Classification: A Case Study of Wuhan, China. Int. J. Environ. Res. Public Health 2021, 18, 7242. https://doi.org/10.3390/ijerph18147242
Shi L, Ling F, Foody GM, Yang Z, Liu X, Du Y. Seasonal SUHI Analysis Using Local Climate Zone Classification: A Case Study of Wuhan, China. International Journal of Environmental Research and Public Health. 2021; 18(14):7242. https://doi.org/10.3390/ijerph18147242
Chicago/Turabian StyleShi, Lingfei, Feng Ling, Giles M. Foody, Zhen Yang, Xixi Liu, and Yun Du. 2021. "Seasonal SUHI Analysis Using Local Climate Zone Classification: A Case Study of Wuhan, China" International Journal of Environmental Research and Public Health 18, no. 14: 7242. https://doi.org/10.3390/ijerph18147242
APA StyleShi, L., Ling, F., Foody, G. M., Yang, Z., Liu, X., & Du, Y. (2021). Seasonal SUHI Analysis Using Local Climate Zone Classification: A Case Study of Wuhan, China. International Journal of Environmental Research and Public Health, 18(14), 7242. https://doi.org/10.3390/ijerph18147242


















