Selenite Foliar Application Alleviates Arsenic Uptake, Accumulation, Migration and Increases Photosynthesis of Different Upland Rice Varieties
Abstract
1. Introduction
2. Materials and Methods
2.1. Soil Pretreatment
2.2. Plant Culture
2.3. Sample Analysis
2.4. Statistical Analysis
3. Results
3.1. Effect of Se on the Growth of Upland Rice under As Stress
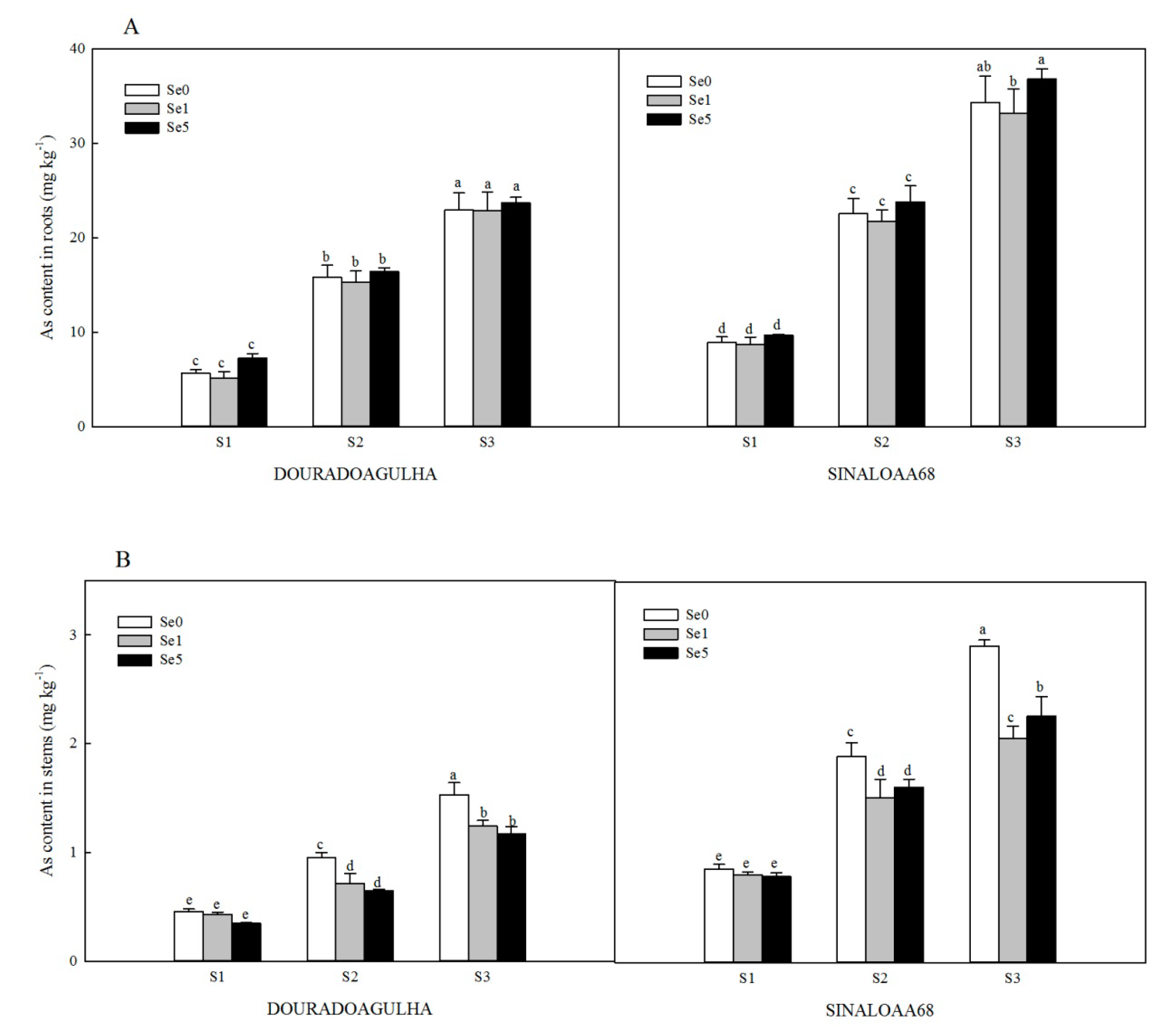
3.2. Effect of Se on the Content of As in Upland Rice
3.3. Effect of Se on the Transport of As in Upland Rice
3.4. Effect of Se on the Chlorophyll Content of Upland Rice under As Stress
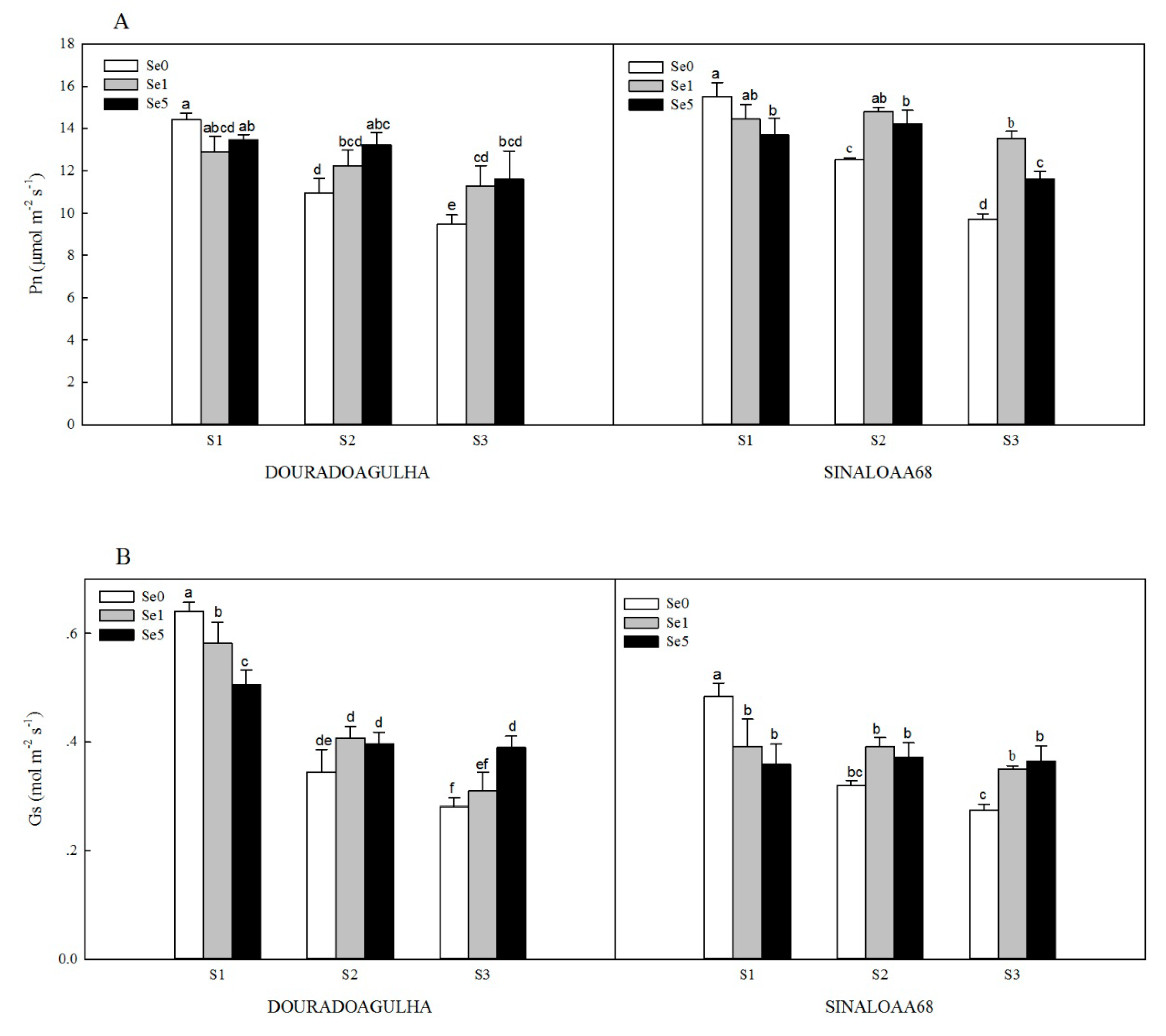
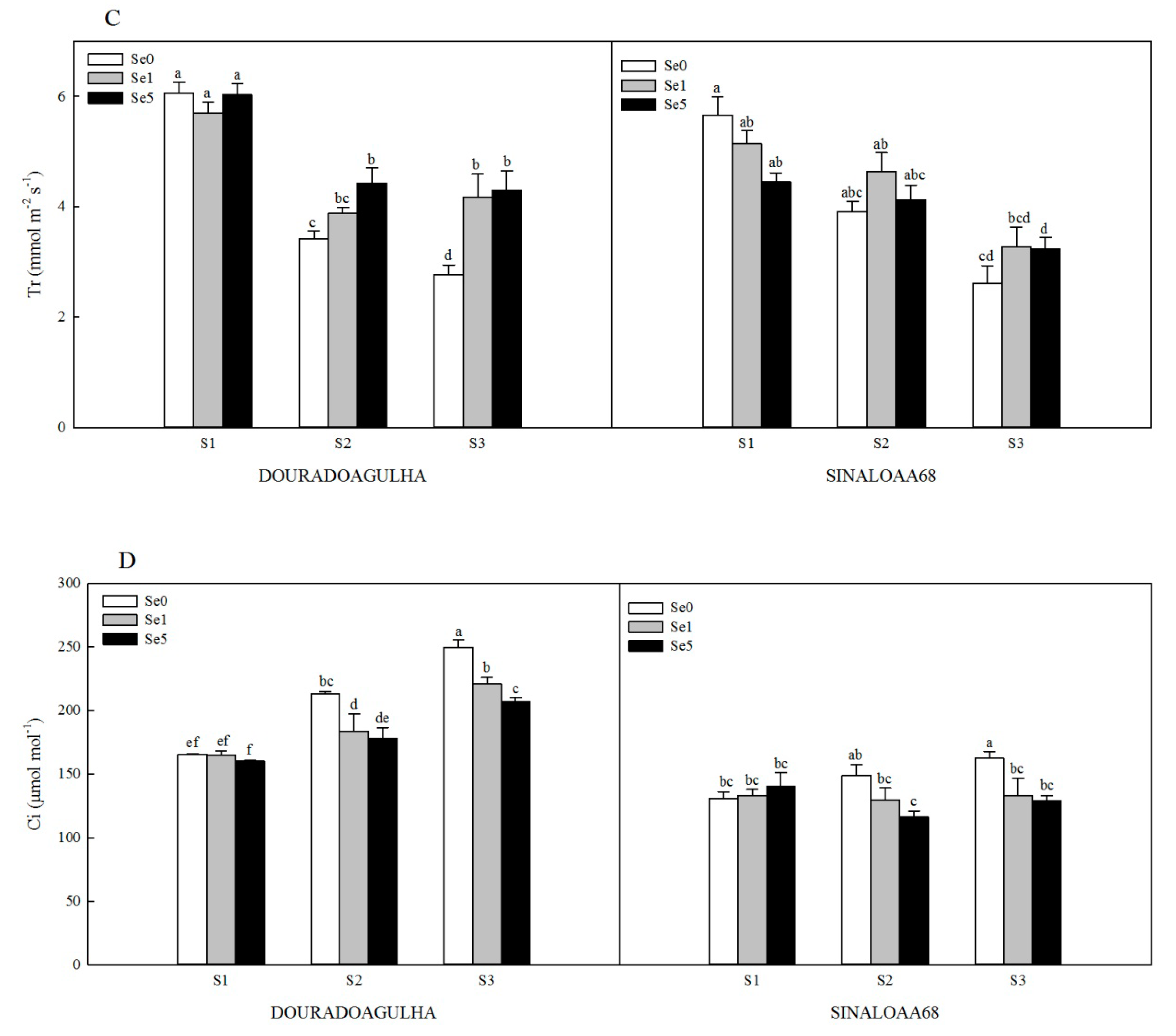
3.5. Effect of Se on Photosynthesis in Upland Rice under As Stress
4. Discussion
4.1. Selenium Alleviates Arsenic Stress in Upland Rice
4.2. Selenium Inhibits Arsenic Transport in Upland Rice
4.3. Selenium Enhances Photosynthetic Performance of Upland Rice under As Stress
5. Conclusions
Author Contributions
Funding
Conflicts of Interest
References
- Zhu, Y.-G.; Sun, G.-X.; Lei, M.; Teng, M.; Liu, Y.-X.; Chen, N.-C.; Wang, L.-H.; Carey, A.-M.; Deacon, C.; Raab, A.; et al. High Percentage Inorganic Arsenic Content of Mining Impacted and Nonimpacted Chinese Rice. Environ. Sci. Technol. 2008, 42, 5008–5013. [Google Scholar] [CrossRef] [PubMed]
- Chen, H.; Tang, Z.; Wang, P.; Zhao, F.-J. Geographical variations of cadmium and arsenic concentrations and arsenic speciation in Chinese rice. Environ. Pollut. 2018, 238, 482–490. [Google Scholar] [CrossRef] [PubMed]
- Yu, H.-Y.; Ding, X.; Liu, T.; Wang, X.; Zhang, S.; Yi, J.; Liu, C.; Xu, X.; Wang, Q. The availabilities of arsenic and cadmium in rice paddy fields from a mining area: The role of soil extractable and plant silicon. Environ. Pollut. 2016, 215, 258–265. [Google Scholar] [CrossRef] [PubMed]
- Saifullah; Dahlawi, S.; Naeem, A.; Iqbal, M.; Farooq, M.A.; Bibi, S.; Rengel, Z. Opportunities and challenges in the use of mineral nutrition for minimizing arsenic toxicity and accumulation in rice: A critical review. Chemosphere 2018, 194, 171–188. [Google Scholar] [CrossRef]
- Di, X.; Beesley, L.; Zhang, Z.; Zhi, S.; Jia, Y.; Ding, Y. Microbial Arsenic Methylation in Soil and Uptake and Metabolism of Methylated Arsenic in Plants: A Review. Int. J. Environ. Res. Public Heal. 2019, 16, 5012. [Google Scholar] [CrossRef]
- Zheng, M.-Z.; Li, G.; Sun, G.-X.; Shim, H.; Cai, C. Differential toxicity and accumulation of inorganic and methylated arsenic in rice. Plant Soil 2012, 365, 227–238. [Google Scholar] [CrossRef]
- Carey, A.-M.; Lombi, E.; Donner, E.; De Jonge, M.D.; Punshon, T.; Jackson, B.P.; Guerinot, M.L.; Price, A.H.; Meharg, A.A. A review of recent developments in the speciation and location of arsenic and selenium in rice grain. Anal. Bioanal. Chem. 2011, 402, 3275–3286. [Google Scholar] [CrossRef]
- Abedi, T.; Mojiri, A. Arsenic Uptake and Accumulation Mechanisms in Rice Species. Plants 2020, 9, 129. [Google Scholar] [CrossRef]
- Meharg, A.A.; Rahman, M. Arsenic Contamination of Bangladesh Paddy Field Soils: Implications for Rice Contribution to Arsenic Consumption. Environ. Sci. Technol. 2003, 37, 229–234. [Google Scholar] [CrossRef]
- Ding, Y.; Wang, Y.; Zheng, X.; Cheng, W.; Shi, R.; Feng, R. Effects of foliar dressing of selenite and silicate alone or combined with different soil ameliorants on the accumulation of As and Cd and antioxidant system in Brassica campestris. Ecotoxicol. Environ. Saf. 2017, 142, 207–215. [Google Scholar] [CrossRef]
- Bhattacharyya, P.; Tripathy, S.; Kim, K.; Kim, S.-H. Arsenic fractions and enzyme activities in arsenic-contaminated soils by groundwater irrigation in West Bengal. Ecotoxicol. Environ. Saf. 2008, 71, 149–156. [Google Scholar] [CrossRef] [PubMed]
- Lin, L.; Zhou, W.; Dai, H.; Cao, F.; Zhang, G.; Wu, F. Selenium reduces cadmium uptake and mitigates cadmium toxicity in rice. J. Hazard. Mater. 2012, 235, 343–351. [Google Scholar] [CrossRef]
- Kaur, S.; Singh, D.; Singh, K. Effect of selenium application on arsenic uptake in rice (Oryza sativa L.). Environ. Monit. Assess. 2017, 189, 1–8. [Google Scholar] [CrossRef] [PubMed]
- Liu, W.; Shang, S.; Feng, X.; Zhang, G.; Wu, F. Modulation of exogenous selenium in cadmium-induced changes in antioxidative metabolism, cadmium uptake, and photosynthetic performance in the 2 tobacco genotypes differing in cadmium tolerance. Environ. Toxicol. Chem. 2014, 34, 92–99. [Google Scholar] [CrossRef] [PubMed]
- Ding, Y.; Wang, R.; Guo, J.; Wu, F.; Xu, Y.; Feng, R. The effect of selenium on the subcellular distribution of antimony to regulate the toxicity of antimony in paddy rice. Environ. Sci. Pollut. Res. 2014, 22, 5111–5123. [Google Scholar] [CrossRef] [PubMed]
- Sun, H.; Dai, H.; Wang, X.; Wang, G. Physiological and proteomic analysis of selenium-mediated tolerance to Cd stress in cucumber (Cucumis sativus L.). Ecotoxicol. Environ. Saf. 2016, 133, 114–126. [Google Scholar] [CrossRef] [PubMed]
- Camara, A.Y.; Wan, Y.; Yu, Y.; Wang, Q.; Li, H. Effect of selenium on uptake and translocation of arsenic in rice seedlings (Oryza sativa L.). Ecotoxicol. Environ. Saf. 2018, 148, 869–875. [Google Scholar] [CrossRef]
- Han, D.; Xiong, S.; Tu, S.; Liu, J.; Chen, C. Interactive effects of selenium and arsenic on growth, antioxidant system, arsenic and selenium species of Nicotiana tabacum L. Environ. Exp. Bot. 2015, 117, 12–19. [Google Scholar] [CrossRef]
- Tang, W.; Dang, F.; Evans, R.; Zhong, H.; Xiao, L. Understanding reduced inorganic mercury accumulation in rice following selenium application: Selenium application routes, speciation and doses. Chemosphere 2017, 169, 369–376. [Google Scholar] [CrossRef]
- Liao, G.; Xu, Y.; Chen, C.; Wu, Q.; Feng, R.; Guo, J.; Wang, R.; Ding, Y.; Sun, Y.; Xu, Y.; et al. Root application of selenite can simultaneously reduce arsenic and cadmium accumulation and maintain grain yields, but show negative effects on the grain quality of paddy rice. J. Environ. Manag. 2016, 183, 733–741. [Google Scholar] [CrossRef]
- Ding, Y.; Feng, R.; Wang, R.; Guo, J.; Zheng, X. A dual effect of Se on Cd toxicity: Evidence from plant growth, root morphology and responses of the antioxidative systems of paddy rice. Plant Soil 2013, 375, 289–301. [Google Scholar] [CrossRef]
- Pandey, C.; Gupta, M. Selenium and auxin mitigates arsenic stress in rice (Oryza sativa L.) by combining the role of stress indicators, modulators and genotoxicity assay. J. Hazard. Mater. 2015, 287, 384–391. [Google Scholar] [CrossRef] [PubMed]
- Pokhrel, G.R.; Wang, K.T.; Zhuang, H.; Wu, Y.; Chen, W.; Lan, Y.; Zhu, X.; Li, Z.; Fu, F.; Yang, G. Effect of selenium in soil on the toxicity and uptake of arsenic in riceplant. Chemosphere 2020, 239. [Google Scholar] [CrossRef] [PubMed]
- Zhang, H.; Zhao, Z.; Zhang, X.; Zhang, W.; Huang, L.; Zhang, Z.; Yuan, L.; Liu, X. Effects of foliar application of selenate and selenite at different growth stages on Selenium accumulation and speciation in potato (Solanum tuberosum L.). Food Chem. 2019, 286, 550–556. [Google Scholar] [CrossRef]
- Kápolna, E.; Laursen, K.H.; Husted, S.; Larsen, E.H. Bio-fortification and isotopic labelling of Se metabolites in onions and carrots following foliar application of Se and 77Se. Food Chem. 2012, 133, 650–657. [Google Scholar] [CrossRef]
- Gao, M.; Zhou, J.; Liu, H.; Zhang, W.; Hu, Y.; Liang, J.; Zhou, J. Foliar spraying with silicon and selenium reduces cadmium uptake and mitigates cadmium toxicity in rice. Sci. Total. Environ. 2018, 631–632, 1100–1108. [Google Scholar] [CrossRef]
- Baczek-Kwinta, R.; Juzon, K.; Borek, M.; Antonkiewicz, J. Photosynthetic response of cabbage in cadmium-spiked soil. Photosynth. 2019, 57, 731–739. [Google Scholar] [CrossRef]
- Li, Y.; Zhang, T.; Zhang, Z.; He, K. The physiological and biochemical photosynthetic properties of Lycium ruthenicum Murr in response to salinity and drought. Sci. Hortic. 2019, 256, 108530. [Google Scholar] [CrossRef]
- Chu, J.; Zhu, F.; Chen, X.; Liang, H.; Wang, R.; Wang, X.; Huang, X. Effects of cadmium on photosynthesis of Schima superba young plant detected by chlorophyll fluorescence. Environ. Sci. Pollut. Res. 2018, 25, 10679–10687. [Google Scholar] [CrossRef]
- Li, Y.; Liu, J.; Zhang, L.; Pang, T.; Qin, R. Effects of temperature on the photosynthetic performance in mature thalli of the red alga Gelidium amansii (Gelidiaceae). Aquac. 2019, 512, 734320. [Google Scholar] [CrossRef]
- Feng, R.; Wei, C.; Tu, S. The roles of selenium in protecting plants against abiotic stresses. Environ. Exp. Bot. 2013, 87, 58–68. [Google Scholar] [CrossRef]
- Ashraf, M.A.; Akbar, A.; Parveen, A.; Rasheed, R.; Hussain, I.; Iqbal, M. Phenological application of selenium differentially improves growth, oxidative defense and ion homeostasis in maize under salinity stress. Plant Physiol. Biochem. 2017, 123, 268–280. [Google Scholar] [CrossRef] [PubMed]
- Hawrylak-Nowak, B.; Dresler, S.; Rubinowska, K.; Matraszek-Gawron, R.; Woch, W.; Hasanuzzaman, M. Selenium biofortification enhances the growth and alters the physiological response of lamb’s lettuce grown under high temperature stress. Plant Physiol. Biochem. 2018, 127, 446–456. [Google Scholar] [CrossRef] [PubMed]
- Iqbal, M.; Hussain, I.; Liaqat, H.; Ashraf, M.A.; Rasheed, R.; Rehman, A.U. Exogenously applied selenium reduces oxidative stress and induces heat tolerance in spring wheat. Plant Physiol. Biochem. 2015, 94, 95–103. [Google Scholar] [CrossRef] [PubMed]
- Hu, Y.; Duan, G.-L.; Huang, Y.-Z.; Liu, Y.-X.; Sun, G.-X. Interactive effects of different inorganic As and Se species on their uptake and translocation by rice (Oryza sativa L.) seedlings. Environ. Sci. Pollut. Res. 2013, 21, 3955–3962. [Google Scholar] [CrossRef]
- Feng, R.; Wei, C.; Tu, S.; Sun, X. Interactive effects of selenium and arsenic on their uptake by Pteris vittata L. under hydroponic conditions. Environ. Exp. Bot. 2009, 65, 363–368. [Google Scholar] [CrossRef]
- Ma, Q.; Yue, L.-J.; Zhang, J.; Wu, G.-Q.; Bao, A.-K.; Wang, S.-M. Sodium chloride improves photosynthesis and water status in the succulent xerophyte Zygophyllum xanthoxylum. Tree Physiol. 2011, 32, 4–13. [Google Scholar] [CrossRef]
- Wang, Y.-D.; Wang, X.; Wong, Y.-S. Proteomics analysis reveals multiple regulatory mechanisms in response to selenium in rice. J. Proteom. 2012, 75, 1849–1866. [Google Scholar] [CrossRef]





| Soils | pH | CEC 1 (cmol × L−1) | Organic Matter (g × kg−1) | Total As (mg × kg−1) | Total Se (mg × kg−1) | Total N (g × kg−1) | Total K (g × kg−1) | Total P (g × kg−1) | Available P (mg × kg−1) |
|---|---|---|---|---|---|---|---|---|---|
| S1 | 6.65 | 12.47 | 24.3 | 20.1 | 0.65 | 1.69 | 16.36 | 0.49 | 11.63 |
| S2 | 7.56 | 13.83 | 45.6 | 65.2 | 0.91 | 2.60 | 17.51 | 1.12 | 64.59 |
| S3 | 7.76 | 13.68 | 38.9 | 83.9 | 0.86 | 2.26 | 18.77 | 1.25 | 50.29 |
| Soils | Se Treatments (mg × L−1) | DOURADOAGULHA | SINALOAA68 | ||
|---|---|---|---|---|---|
| Shoot Fresh Weight (g × plant−1) | Plant Height (cm) | Shoot Fresh Weight (g × plant−1) | Plant Height (cm) | ||
| S1 | Se0 | 14.37 ± 0.66 a | 83.87 ± 4.44 a | 24.01 ± 1.98 a | 106.47 ± 11.48 a |
| Se1 | 15.16 ± 0.30 a | 85.67 ± 3.26 a | 23.19 ± 1.52 a | 98.33 ± 2.08 a | |
| Se5 | 11.11 ± 0.37 b | 87.33 ± 0.29 a | 18.05 ± 0.25 b | 89.00 ± 2.65 b | |
| S2 | Se0 | 6.09 ± 0.61 d | 67.67 ± 3.79 b | 7.43 ± 0.08 d | 65.67 ± 2.52 c,d |
| Se1 | 7.50 ± 0.57 c | 69.33 ± 3.51 b | 10.87 ± 1.26 c | 72.67 ± 2.08 c | |
| Se5 | 6.18 ± 0.35 d | 69.67 ± 5.51 b | 7.89 ± 0.57 d | 68.33 ± 3.51 c,d | |
| S3 | Se0 | 1.44 ± 0.00 e | 58.00 ± 6.08 c | 1.64 ± 0.13 e | 54.33 ± 6.43 e |
| Se1 | 1.97 ± 0.18 e | 67.67 ± 2.08 b | 2.54 ± 0.03 e | 60.00 ± 2.00 d,e | |
| Se5 | 1.29 ± 0.24 e | 53.33 ± 2.08 c | 2.62 ± 0.23 e | 36.00 ± 4.58 f | |
| Significance level (p values) | |||||
| Soils | ** | ** | ** | ** | |
| Se treatments | ** | NS | ** | NS | |
| Soils * Se treatments | ** | * | ** | ** | |
| Soils | Se Treatments (mg × L−1) | DOURADOAGULHA | SINALOAA68 | ||
|---|---|---|---|---|---|
| Stem/Root | Leaf/Stem | Stem/Root | Leaf/Stem | ||
| S1 | Se0 | 0.083 ± 0.008 a | 0.863 ± 0.049 a,b | 0.097 ± 0.007 a | 0.815 ± 0.015 a |
| Se1 | 0.085 ± 0.015 a | 0.864 ± 0.145 a,b | 0.094 ± 0.007 a | 0.713 ± 0.076 a,b | |
| Se5 | 0.046 ± 0.000 c | 0.969 ± 0.020 a | 0.081 ± 0.003 a,b,c,d | 0.750 ± 0.014 a | |
| S2 | Se0 | 0.060 ± 0.002 b,c | 0.801 ± 0.024 a,b,c | 0.084 ± 0.009 a,b,c | 0.765 ± 0.051 a |
| Se1 | 0.047 ± 0.009 c | 0.811 ± 0.051 a,b,c | 0.070 ± 0.012 b,c,d | 0.564 ± 0.083 c | |
| Se5 | 0.040 ± 0.000 c | 0.908 ± 0.042 a | 0.068 ± 0.004 b,c,d | 0.558 ± 0.067 c | |
| S3 | Se0 | 0.069 ± 0.002 a,b | 0.690 ± 0.128 b,c,d | 0.086 ± 0.008 a,b | 0.759 ± 0.048 a |
| Se1 | 0.054 ± 0.003 b,c | 0.552 ± 0.054 d | 0.064 ± 0.002 c,d | 0.607 ± 0.002 b,c | |
| Se5 | 0.049 ± 0.004 c | 0.632 ± 0.083 c,d | 0.062 ± 0.007 d | 0.676 ± 0.094 a,b,c | |
| Significance level (p values) | |||||
| Soils | * | ** | ** | * | |
| Se treatments | * | NS | ** | ** | |
| Soils * Se treatments | * | NS | NS | NS | |
| Parameters | DOURADOAGULHA | SINALOAA68 | ||||||||
|---|---|---|---|---|---|---|---|---|---|---|
| Chlorophyll | Pn | Gs | Tr | Ci | Chlorophyll | Pn | Gs | Tr | Ci | |
| Shoot Fresh Weight | 0.932 ** | 0.645 * | 0.905 ** | 0.829 ** | −0.849 ** | 0.895 ** | 0.752 * | 0.674 * | 0.916 ** | NS |
| Chlorophyll | 0.810 ** | 0.873 ** | 0.832 ** | −0.939 ** | 0.821 ** | 0.695 * | 0.895 ** | NS | ||
| Pn | 0.688 * | 0.766 ** | −0.883 ** | 0.826 ** | 0.904 ** | NS | ||||
| Gs | 0.914 ** | −0.844 ** | 0.812 ** | NS | ||||||
| Tr | −0.871 ** | NS | ||||||||
© 2020 by the authors. Licensee MDPI, Basel, Switzerland. This article is an open access article distributed under the terms and conditions of the Creative Commons Attribution (CC BY) license (http://creativecommons.org/licenses/by/4.0/).
Share and Cite
Ding, Y.; Di, X.; Norton, G.J.; Beesley, L.; Yin, X.; Zhang, Z.; Zhi, S. Selenite Foliar Application Alleviates Arsenic Uptake, Accumulation, Migration and Increases Photosynthesis of Different Upland Rice Varieties. Int. J. Environ. Res. Public Health 2020, 17, 3621. https://doi.org/10.3390/ijerph17103621
Ding Y, Di X, Norton GJ, Beesley L, Yin X, Zhang Z, Zhi S. Selenite Foliar Application Alleviates Arsenic Uptake, Accumulation, Migration and Increases Photosynthesis of Different Upland Rice Varieties. International Journal of Environmental Research and Public Health. 2020; 17(10):3621. https://doi.org/10.3390/ijerph17103621
Chicago/Turabian StyleDing, Yongzhen, Xuerong Di, Gareth J. Norton, Luke Beesley, Xingxing Yin, Zulin Zhang, and Suli Zhi. 2020. "Selenite Foliar Application Alleviates Arsenic Uptake, Accumulation, Migration and Increases Photosynthesis of Different Upland Rice Varieties" International Journal of Environmental Research and Public Health 17, no. 10: 3621. https://doi.org/10.3390/ijerph17103621
APA StyleDing, Y., Di, X., Norton, G. J., Beesley, L., Yin, X., Zhang, Z., & Zhi, S. (2020). Selenite Foliar Application Alleviates Arsenic Uptake, Accumulation, Migration and Increases Photosynthesis of Different Upland Rice Varieties. International Journal of Environmental Research and Public Health, 17(10), 3621. https://doi.org/10.3390/ijerph17103621
