Effects of Physical Self-Concept, Emotional Isolation, and Family Functioning on Attitudes towards Physical Education in Adolescents: Structural Equation Analysis
Abstract
1. Introduction
2. Materials and Methods
2.1. Design and Participants
2.2. Variables and Instruments
2.3. Procedure
2.4. Data Analysis
3. Results
4. Discussion
5. Conclusions
Author Contributions
Funding
Conflicts of Interest
References
- Antelo, M.P.; Reboredo, J.C. Obesity: A major problema for Spanish minors. Econ. Hum. Biol. 2017, 24, 61–73. [Google Scholar] [CrossRef] [PubMed]
- Eskola, S.; Tossavainen, K.; Bessems, K.; Sormunen, M. Children’s perceptions of factors related to physical activity in schools. Educ. Res. 2018, 60, 410–426. [Google Scholar] [CrossRef]
- Peralta, L.R.; Mihrshahi, S.; Bellew, B.; Reece, L.J.; Hardy, L.L. Influence of School-Level Socioeconomic Status on Children’s Physical Activity, Fitness, and Fundamental Movement Skill Levels. J. Sch. Health 2019, 89, 460–467. [Google Scholar] [CrossRef] [PubMed]
- Mutz, M.; Müller, J.; Göring, A. Outdoor adventures and adolescents’ mental health: Daily screen time as a moderator of changes. J. Adventure Educ. Outdoor Learn. 2018, 19, 56–66. [Google Scholar] [CrossRef]
- Soucy, I.; Provencher, M.D.; Fortier, M.; McFadden, T. Secondary outcomes of the guided self-help behavioral activation and physical activity for depression trial. J. Ment. Health 2019, 28, 410–418. [Google Scholar] [CrossRef]
- Rukavina, P.; Doolittle, S.; Li, W.; Beale-Tawfeeq, A.; Manson, M. Teachers’ Perspectives on Creatingan Inclusive Climate in Middle School Physical Education for Overweight Students. J. Sch. Health 2019, 1–9. [Google Scholar] [CrossRef]
- Priesmeyer, J.; Fedewa, A.L.; Toland, M. Long-Term Trends of Participation in Physical Activity during Adolescence with Educational Ambition and Attainment. J. Sch. Health 2019, 89, 20–30. [Google Scholar] [CrossRef]
- Burner, A.; Bopp, M.; Papalia, Z.; Weimer, A.; Bopp, C.M. Examining the relationship between high school physical education and fitness out comes in college students. Phys. Educ. 2019, 76, 285–300. [Google Scholar] [CrossRef]
- Mikalsen, H.K.; Lagestad, P.A. Adolescents’ meaning-making experiences in physical education in the transition from primary to secondary school. Sport. Educ. Soc. 2019, 24, 1–13. [Google Scholar] [CrossRef]
- Zurita, F.; Padial, R.; Viciana, V.; Martínez, A.; Hinojo, M.A.; Cepero, M. Perfil del estudiante de EducaciónFísicaenprimaria. REDIE 2016, 18, 156–169. [Google Scholar]
- Salwa, M.; Haque, M.A.; Khalequzzaman, M.; Al Mamun, M.A.; Bhuiyan, M.R.; Choudhury, S.R. Towards reducing behavioral risk factors of non-communicable diseases among adolescents: Protocol for a school-based health education program in Bangladesh. BMC Public Health 2019, 19, 1–9. [Google Scholar] [CrossRef] [PubMed]
- Caracuel-Cáliz, R.F.; Torres-Campos, B.; Padial-Ruz, R.; Cepero-González, M. The school as an agent of socialization and its influence in the acquisition and maintenance of healthy and unhealthy habits. ESHPA 2018, 2, 207–216. [Google Scholar]
- Paulus, M.; Licata, M.; Kristen, S.; Thoermer, C.; Woodward, A.; Sodian, B. Social understanding and self-regulation predict preschoolers’ sharing with friends and disliked peers: A longitudinal study. Int. J. Behav. Dev. 2015, 39, 53–64. [Google Scholar] [CrossRef]
- Kwon, S.J.A. Relationship between personality and empathy in teenagers’ school sports club participation. J. Exerc. Rehabil. 2018, 14, 746–757. [Google Scholar] [CrossRef] [PubMed]
- Zurita, F.; Moreno, R.; González, G.; Viciana, V.; Martínez, A.; Muros, J.J. Revisión conceptual de la conexión entre inteligenciaemocional y autoconceptofísico. SPORT TK 2017, 7, 139–144. [Google Scholar] [CrossRef]
- Castro-Sanchez, M.; Zurita-Ortega, F.; Garcia-Marmol, E.; Chacon-Cuberos, R. Motivational Climate in Sport Is Associated with Life Stress Levels, Academic Performance and Physical Activity Engagement of Adolescents. Int. J. Environ. Res. Public Health 2019, 16, 1198. [Google Scholar] [CrossRef]
- Stephens, M.M.; Cook-Fasa, H.T.; Sibbaluca, K. Childhood Bullying: Implications for Physicians. Am. Fam. Physician 2018, 97, 187–192. [Google Scholar] [CrossRef]
- Hattie, J. Self-Concept; Psychology Press: New York, NY, USA, 2014; pp. 12–20. [Google Scholar]
- García, F.; Musitu, G. AF5: Self-Concept Form 5; TEA Ediciones: Madrid, Spain, 1999; pp. 13–37. [Google Scholar]
- Yáñez, R.; Barraza, F.; Mahecha, S. ActividadFísica, RendimientoAcadémico y AutoconceptoFísicoenAdolescentes de Quintero, Chile. Educ. Física Cienc. 2016, 18, 1–10. [Google Scholar]
- Martínez-Martínez, F.D.M.; González-Hernández, J.G. Self-concept, physical exercise and its response in teenagers. Relationship with academic achievement. Rev. Iberoam. Educ. 2017, 73, 87–108. [Google Scholar]
- Yang, R.M.; Tracy, E.L.; Jensen, F.B.; Jiang, Y.; Linder, L. The Effect of Screen Viewing Duration and Self-Efficacy in Limiting Screen Viewingon Loneliness in Adolescent-Parent Dyads: An Application of the Actor-Partner Interdependence Model. J. Pediatr. Nurs. Care Child. Fam. 2019, 47, 106–113. [Google Scholar] [CrossRef]
- Diehl, K.; Jansen, C.; Ishchanova, K.; Hilger-Kolb, J. Loneliness at Universities: Determinants of Emotional and Social LonelinessamongStudents. Int. J. Environ. Res. Public Health 2018, 15, 1865. [Google Scholar] [CrossRef] [PubMed]
- Al Mamun, M.A.; Griffiths, M.D. The association between Facebook addiction and depression: A pilot survey study among Bangladeshi students. Psychiatr. Res. 2019, 271, 628–633. [Google Scholar] [CrossRef]
- Werneck, A.O.; Collings, P.J.; Barboza, L.L.; Stubbs, B.; Silva, D.R. Associations of sedentary behaviors and physical activity with social isolation in 100.839 school students: The Brazilian Scholar Health Survey. Gen. Hosp. Psychiatry 2019, 59, 7–13. [Google Scholar] [CrossRef] [PubMed]
- Christofaro, D.G.D.; Turi-Lynch, B.C.; Lynch, K.R.; Tebar, W.R.; Fernandes, R.A.; Tebar, F.G.; Sui, X.M. Parents’ Lifestyle, Sedentary Behavior, and Physical Activity in Their Children: A Cross-Sectional Study in Brazil. J. Phys. Act. Health 2019, 16, 631–636. [Google Scholar] [CrossRef] [PubMed]
- Hoyos-Quintero, A.M.; Garcia-Perdomo, H.A. Factors Related to Physical Activity in Early Childhood: A Systematic Review. J. Phys. Act. Health 2019, 16, 925–936. [Google Scholar] [CrossRef] [PubMed]
- González, J.I.; Ortega, F.; Garófano, V.; Martínez, A.; Sánchez, S.; Díaz, M. Actividadfísica de adolescentes: Implicación de sustanciasnocivas, modalidadpracticada y familia. Psicol. Esc. Educ. 2016, 20, 13–22. [Google Scholar] [CrossRef]
- Gil de Montes, L.; Arruza, J.A.; Arribas, S.; Verde, A.; Ortiz, G.; Irazusta, S. El papel de los otrossignificativosen la motivaciónintrínseca de deportistas. RIPED 2007, 2, 97–112. [Google Scholar]
- Zurita, F.; Castro, M.; Álvaro, J.I.; Rodríguez, S.; Pérez, A.J. Autoconcepto, Actividadfísica y Familia: Análisis de un modelo de ecuacionesestructurales. Rev. Psicol. Deporte 2016, 25, 97–104. [Google Scholar]
- Foster, B.A.; Weinstein, K.; Mojica, C.M.; Davis, M.M. Parental Mental Health Associated with Child Overweight and Obesity, Examined within Rural and Urban Settings, Stratified by Income. J. Rural Health. 2019, 1–11. [Google Scholar] [CrossRef]
- Fernandez-Prieto, I.; Canet, O.; Gine-Garriga, M. Physical Activity Perceptions in Adolescents: A Qualitative Study Involving Photo Elicitation and Discussion Groups. J. Adolesc. Res. 2019, 34, 302–322. [Google Scholar] [CrossRef]
- Estévez, E.; Martínez, B.; Musitu, G. La autoestimaenadolescentesagresores y victimasen la escuela: La perspectiva multidimensional. Interv. Psicosoc. 2006, 15, 223–232. [Google Scholar]
- Cava, M.J.; Murgui, S.; Musitu, G. Diferenciasenfactores de protección del consumo de sustanciasen la adolescenciatemprana y media. Psicothema 2008, 20, 389–395. [Google Scholar] [PubMed]
- Russell, D.; Peplau, L.; Cutrona, C. The revised UCLA Loneliness Scale: Concurrent and discriminant validity evidence. J. Personal. Soc. Psychol. 1980, 39, 472–480. [Google Scholar] [CrossRef]
- Russell, D.W. UCLA Loneliness Scale (version 3): Reliability, Validity, and Factor structure. J. Personal. Assess. 1996, 66, 20–40. [Google Scholar] [CrossRef] [PubMed]
- Moya, M.C. Percepción de personas. In Psicología Social; Moya, M.C., Rebolloso, E., Huici, C., Marqués, J., Páez, D., Pérez, J.A., Turner, J.C., Morales, J.F., Eds.; McGraw Hill, D.L.: Madrid, Spain, 1997; pp. 93–122. [Google Scholar]
- Ireland, J.L.; Power, C.L. Attachment, emotional loneliness, and bullying behaviour: A study of adult and Young offenders. Aggress. Behav. 2004, 30, 298–312. [Google Scholar] [CrossRef]
- Hartshorne, T.S. Psychometric properties and confirmatory factor analysis of the UCLA Loneliness Scale. J. Personal. Assess. 1993, 61, 182–195. [Google Scholar] [CrossRef]
- Buelga, S.; Musitu, G.; Murgui, S.; Pons, J. Reputation, Loneliness, Satisfaction with Life and agressivebehavior in adolescence. Span. J. Psychol. 2008, 11, 192–200. [Google Scholar] [CrossRef]
- Cava, M.J. Familia, profesorado e iguales: Claves para el apoyo a las víctimas de acoso escolar. Psychos Interview 2011, 20, 183–192 doi105093/in2011v20n2a6. [Google Scholar]
- Cava, M.J.; Musitu, G.; Buelga, S.; Murgui, S. The Relationships of Family and Classroom Environments with Peer Relational Victimization: An Analysis of their Gender Differences. Span. J. Psychol. 2010, 13, 156–165. [Google Scholar] [CrossRef]
- Estévez, E.; Murgui, S.; Musitu, G. Psychological adjustment in bullies and victims of school violence. Eur. J. Psychol. Educ. 2009, 24, 473–483. [Google Scholar] [CrossRef]
- Moreno, J.A.; Rodríguez, P.L.; Gutiérrez, M. Intereses y actitudeshacia la EducaciónFísica. Rev. Esp. Educ. Física 2003, 9, 14–28. [Google Scholar]
- Smilkstein, G.; Ashworth, C.; Montano, D. Validity and reliability of the Family APGAR as a test of family function. J. Fam. Pract. 1982, 15, 303–311. [Google Scholar] [PubMed]
- Bellón, J.A.; Delgado, A.; Luna, J.D.; Lardelli, P. Validez y fiabilidad del cuestionario de función familiar Apgar-familiar. Aten. Prim. 1996, 18, 289–296. [Google Scholar]
- Sánchez, J.C.; Villareal, M.; Musitu, G. Psicología y DesórdenesAlimenticios. Un modelo de Campo Psicosocial; Universidad Autónoma de Nuevo León. Monterrey: San Nicolás de los Garza, Mexico, 2010; pp. 71–76. [Google Scholar]
- Marsh, H.W. Application of Confirmatory Factor Analysis and Structural Equation Modeling in Sport and Exercise Psychology. In Handbook of Sport Psychology, 3rd ed.; Tenenbaum, G., Eklund, R.C., Eds.; Wiley: New York, NY, USA, 2007; pp. 774–798. [Google Scholar]
- Boddy, G.; Booth, A.; Worsley, A. What does healthy eating mean? Australian teachers’ perceptions of healthy eating in secondary school curricula. Health Educ. 2019, 119, 277–290. [Google Scholar] [CrossRef]
- Tinner, L.; Kipping, R.; White, J.; Jago, R.; Metcalfe, C.; Hollingworth, W. Are quality of life and family expenditure on physical activity associated with physical activity in 2–4-year-old children? J. Epidemiol. Community Health 2018, 72, 45–56. [Google Scholar] [CrossRef]
- Lyu, L.; Nam, S. A study on program of education for sustainable development utilizing oriental White stork. J. Environ. Policy Adm. 2018, 3, 91–122. [Google Scholar] [CrossRef]
- Rodríguez, P.L.; García-Cantó, E.; Sánchez-López, C.; López-Miñarro, P.Á. Percepción de la utilidad de las clases de educaciónfísica y surelación con la prácticafísico-deportivaenescolares. Cult. Educ. 2013, 25, 65–76. [Google Scholar] [CrossRef]
- Haerens, L.; Kirk, D.; Cardon, G.; de Bourdeaudhuij, I.; Vansteenkiste, M. Motivational profiles for secondary school physical education and its relationship to the adoption of a physically active lifestyle among university students. Eur. Phys. Educ. Rev. 2010, 16, 117–139. [Google Scholar] [CrossRef]
- Speier, W.; Dzubur, E.; Zide, M.; Shufelt, C.; Joung, S.; Van Eyk, J.E.; Arnold, C. Evaluating utility and compliance in a patient-based eHealth study using continuous-time hear trate and activity trackers. J. Am. Med. Inform. Assoc. 2018, 25, 1386–1391. [Google Scholar] [CrossRef]
- Halstead, M.E.; Walter, K.D.; Moffatt, K. Sport-related concussion in children and adolescents. Pediatrics 2018, 142, e20183074. [Google Scholar] [CrossRef]
- Andruschko, J.; Okely, A.D.; Pearson, P.A. School-Based Physical Activity and Motor Development Program for Low-Fit Adolescent Females: The Sport4Fun Pilot Randomized Controlled Trial. J. Mot. Learn. Dev. 2018, 1–23. [Google Scholar] [CrossRef]
- Gutiérrez, M. Efecto de las actitudeshacia la EducaciónFísicasobre los motivos de prácticadeportivafuera del horario escolar. Sport Sci. J. 2017, 3, 123–140. [Google Scholar] [CrossRef]
- Wickman, K.; Nordlund, M.; Holm, C. The relationship between physical activity and self-efficacy in children with disabilities. Sport Soc. 2018, 21, 50–63. [Google Scholar] [CrossRef]
- Christiansen, L.B.; Lund, P.; Brondeel, R.; Smedegaard, S.; Holt, A.D.; Skovgaard, T. Improving children’s physical self-perception through a school-based physical activity intervention: The Move for Well-being in School study. Ment. Health Phys. Activity 2018, 14, 31–38. [Google Scholar] [CrossRef]
- Kang, H.; Park, M.; Wallace, J. The impact of perceived social support, loneliness, and physical activity on quality of life in South Korean older adults. J. Sport Health Sci. 2018, 7, 237–244. [Google Scholar] [CrossRef] [PubMed]
- Saito, Y.; Oguma, Y.; Tajima, T.; Kato, R.; Kibayashi, Y.; Miyachi, M.; Takebayashi, T. Association of high individual-level of social capital with increased physical activity among community-dwelling elderly men and women: A cross-sectional study. Jpn. J. Phys. Fit. Sports Med. 2018, 67, 177–185. [Google Scholar] [CrossRef][Green Version]
- Devcic, S.; Sekulic, D.; Ban, D.; Kutlesa, Z.; Rodek, J.; Sajber, D. Evidencing protective and risk factors for harmful alcohol drinking in adolescence: A prospective analysis of sport-participation and scholastic-achievement in older adolescents from Croatia. Int. J. Environ. Res. Public Health 2018, 15, 986. [Google Scholar] [CrossRef]
- Blazo, J.A.; Smith, A.L. A systematic review of siblings and physical activity experiences. Int. Rev. Sport Exerc. Psychol. 2018, 11, 122–159. [Google Scholar] [CrossRef]
- Aaltonen, S.; Kaprio, J.; Kujala, U.M.; Pulkkinen, L.; Rose, R.J.; Silventoinen, K. The Interplay between Genes and Psychosocial Home Environment on Physical Activity. Med. Sports Sci. Exerc. 2018, 50, 691–699. [Google Scholar] [CrossRef]
- Mulvey, K.; Gönültaş, S.; Goff, E.; Irdam, G.; Carlson, R.; DiStefano, C.; Irvin, M.J. School and family factors predicting adolescent cognition regarding by stander intervention in response to bullying and victim retaliation. J. Youth Adolesc. 2019, 48, 581–596. [Google Scholar] [CrossRef]
- Moore, G.; Cox, R.; Evans, R.; Hallingberg, B.; Hawkins, J.; Littlecott, J.; Murphy, S. School, peer and family relationships and adolescent substance use, subjective wellbeing and mental health symptoms in Wales: A cross sectional study. Child Indic. Res. 2018, 11, 1951–1965. [Google Scholar] [CrossRef] [PubMed]
- Iskender, M. Investigation of the Effects of Social Self-Confidence, Social Loneliness and Family Emotional Loneliness Variables on Internet Addiction. MOJET 2018, 6, 1–10. [Google Scholar] [CrossRef]
- Shulman, S.; Scharf, M. Adolescent psychopathology in Times of Change: The need forinteg rating a developmental psychopathology perspective. J. Adolesc. 2018, 65, 95–100. [Google Scholar] [CrossRef] [PubMed]
- Haapea, I.; Haverinen, K.; Honkalampi, K.; Kuittinen, M.; Räty, H. The factor structure and reliability of the short form of the physical self-description questionnaire in a finnish adolescent athlete sample. Int. J. Sport Exerc. Psychol. 2018, 16, 488–504. [Google Scholar] [CrossRef]
- Rogers, V.; Barnett, L.M.; Lander, N. The relationship between fundamental movement skills and physical self-perception among adolescent girls. J. Mot. Learn. Dev. 2018, 6, 378–390. [Google Scholar] [CrossRef]
- Brown, S.L.; Teufel, J.; Birch, D.A.; Abrams, T.E. Family meals and adolescent perceptions of parent-child connectedness. J. Fam. Stud. 2019, 25, 34–45. [Google Scholar] [CrossRef]
- Miranda, R.; Oriol, X.; Amutio, A.; Ortúzar, H. Adolescent Bullying Victimization and Life Satisfaction: Can Family and School Adult Support Figures Mitigate this Effect? Rev. Psicodidáct. 2019, 24, 39–45. [Google Scholar] [CrossRef]
- Twenge, J.M.; Spitzburg, B.H.; Campbell, W.K. Less in-person social interaction with peers among US adolescents in the 21st century and links to loneliness. J. Soc. Pers. Relatsh. 2019, 67, 78–89. [Google Scholar] [CrossRef]
- Castro-Sánchez, M.; Zurita-Ortega, F.; García-Marmol, E.; Chacón-Cuberos, R. Motivational Climate towards the Practice of Physical Activity, Self-Concept, and Healthy Factors in the School Environment. Sustainability 2019, 11, 999. [Google Scholar] [CrossRef]
- Bowles, R.; Chróinín, D.N.; Murtagh, E. Attainingthe Active School Flag: How physical activity provision can be enhanced in Irish primary schools. Eur. Phys. Educ. Rev. 2019, 25, 76–88. [Google Scholar] [CrossRef]
- Cheon, S.H.; Reeve, J.; Song, Y.G. Recommending goals and supporting needs: An intervention to help physical education teachers communicate their expectations while supporting students’ psychological needs. Psychol. Sport Exerc. 2019, 41, 107–118. [Google Scholar] [CrossRef]
- Feldman, D.B.; Einav, M.; Margalit, M. Does family cohesion predict Children’s effort? The mediating roles of sense of coherence, Hope, and loneliness. J. Psychol. 2018, 152, 276–289. [Google Scholar] [CrossRef] [PubMed]
- Lempinen, L.; Junttila, N.; Sourander, A. Loneliness and friendships among eight-year-old children: Time-trends over a 24-year period. J. Child Psychol. Psychiatry 2017, 59, 171–179. [Google Scholar] [CrossRef] [PubMed]
- Boekhout, J.M.; Berendsen, B.A.; Peels, D.A.; Bolman, C.A.; Lechner, L. Physical Impairments Disruptthe Association between Physical Activity and Loneliness: A Longitudinal Study. J. Aging Phys. Act. 2019, 12, 1–34. [Google Scholar] [CrossRef]
- DeLonghi, A.L.; Martínez, S.; Solbes, J.; González, E.M. ¿Cursar un posgradoeneducaciónencienciasmejora la enseñanza? TED 2018, 44, 18–27. [Google Scholar] [CrossRef]
- Astorga, C.M.; Litago, J.D.U.; Manga, D.; Silva, M.J.F. La soledadpercibida y suasociación con tipos de personalidadenadolescentesespañoles. Rev. Argent. Clin. Psicol. 2018, 27, 44–52. [Google Scholar] [CrossRef]
- Krause, C.A.; Gulick, E.E.; Basin, B. Loneliness, depression, and physical activity in older adults: The therapeutic role of human–animal interactions. Anthrozoös 2019, 32, 239–254. [Google Scholar] [CrossRef]
- Moreno, J.A.; Hellín, P. ¿Es importante la EducaciónFísica? Suvaloraciónsegún la edad del alumno y el tipo de centro. Rev. Int. Med. Cienc. Act. Fís. Deporte 2002, 2, 298–319. [Google Scholar]
- Vale, R.F.; de Juanas, Á.; Lima, R.F. Ociodeportivoenjóvenespotencialmentevulnerables: Beneficiospercibidos y organización de la práctica. Pedagog. Soc. 2018, 31, 49–58. [Google Scholar] [CrossRef]
- Foster, C.; Moore, J.B.; Singletary, C.R.; Skelton, J.A. Physical activity and family-based obesity treatment: A review of expert recommendations on physical activity in youth. Clin. Obes. 2018, 8, 68–79. [Google Scholar] [CrossRef]
- Russell, H.C.; Tracey, J.; Wiese-Bjornstal, D.M.; Canzi, E. Physical Activity in Former Competitive Athletes: The Physical and Psychological Impact of Musculo skeletal Injury. Quest 2018, 70, 304–320. [Google Scholar] [CrossRef]
- Buchan, D.S.; Knox, G.; Jones, A.M.; Tomkinson, G.R.; Baker, J.S. Utility of international normative 20m shuttle run values for identifying youth at increased cardiometabolic risk. J. Sports Sci. 2019, 37, 507–514. [Google Scholar] [CrossRef] [PubMed]
- Hergenroeder, A.L.; Barone, B.; Kotlarczyk, M.P.; Perera, S.; Kowalsky, R.J.; Brach, J.S. Accuracy and Acceptability of Commercial-Grade Physical Activity Monitors in Older Adults. J. Aging Phys. Act. 2019, 27, 222–229. [Google Scholar] [CrossRef] [PubMed]
- Barkley, J.E.; Glickman, E.; Fennell, C.; Kobak, M.; Frank, M.; Farnell, G. Thevalidity of the commercially-available, low-cost, wrist-worn Movband accelerometer during treadmill exercise and free-living physical activity. J. Sports Sci. 2019, 37, 735–740. [Google Scholar] [CrossRef] [PubMed]
- Zhou, J.; Wang, H.; Rajaram, S.S.; Britigan, D.H.; Su, D. Changes in Leisure Time Physical Activity Preferences and Hypertension Risk. Am. J. Health Behav. 2019, 43, 145–157. [Google Scholar] [CrossRef] [PubMed]


| Gender | Isolation | ||
|---|---|---|---|
| Male | 48.2% (n = 1151) | General isolation | M = 2.00 (SD = 0.505) |
| Female | 51.8% (n = 1237) | Subjective evaluation of social network | M = 2.94 (SD = 0.571) |
| Family functioning | Emotional isolation | M = 1.95 (SD = 0.574) | |
| Serious dysfunction | 3.4% (n = 82) | Attitude towards physical education | |
| Moderately dysfunctional family | 15.1% (n = 360) | Rating of the subject and teacher of PE | M = 2.73 (SD = 0.521) |
| Highly functional family | 81.5%(n = 1.946) | Difficulty of PE | M = 2.42 (SD = 0.546) |
| Self-concept | Usefulness of PE | M = 2.06 (SD = 0.442) | |
| Academic self-concept | M = 3.61 (SD = 0.821) | Empathy with the teacher and subject | M = 2.44 (SD = 0.613) |
| Social self-concept | M = 3.48 (SD = 0.574) | Preference for PE and sport | M = 2.32 (SD = 0.618) |
| Emotional self-concept | M = 3.02 (SD = 0.765) | PE as sport | M = 2.45 (SD = 0.680) |
| Family self-concept | M = 3.39 (SD = 0.508) | Rating of the subject and teacher of PE | M = 2.73 (SD = 0.521) |
| Physical self-concept | M = 3.54 (SD = 0.757) | ||
| Dimensions | Mean | Standard Deviation | F | Sig | |
|---|---|---|---|---|---|
| Rating of the subject and teacher of PE | Serious dysfunction | 2.46 | 0.568 | 26.191 | 0.000 *** |
| Moderate dysfunction | 2.59 | 0.495 | |||
| Highly functional family | 2.76 | 0.517 | |||
| Difficulty of PE | Serious dysfunction | 2.32 | 0.589 | 4.629 | 0.010 *** |
| Moderate dysfunction | 2.49 | 0.554 | |||
| Highly functional family | 2.41 | 0.541 | |||
| Usefulness of PE | Serious dysfunction | 2.09 | 0.487 | 27.949 | 0.000 *** |
| Moderate dysfunction | 2.21 | 0.458 | |||
| Highly functional family | 2.02 | 0.430 | |||
| Empathy with the teacher and subject | Serious dysfunction | 2.18 | 0.818 | 8.279 | 0.000 *** |
| Moderate dysfunctional | 2.40 | 0.619 | |||
| Highly functional family | 2.45 | 0.599 | |||
| Agreement with subject management | Serious dysfunction | 2.91 | 0.658 | 7.460 | 0.001 *** |
| Moderate dysfunction | 2.90 | 0.603 | |||
| Highly functional family | 3.03 | 0.600 | |||
| Preference for PE and sport | Serious dysfunction | 2.10 | 0.719 | 5.275 | 0.005 *** |
| Moderate dysfunction | 2.32 | 0.608 | |||
| Highly functional family | 2.33 | 0.613 | |||
| PE as sport | Serious dysfunction | 2.47 | 0.770 | 0.325 | 0.723 |
| Moderate dysfunction | 2.47 | 0.643 | |||
| Highly functional family | 2.44 | 0.682 | |||
| Dimensions | Mean | Standard Deviation | F | Sig | |
|---|---|---|---|---|---|
| Academic self-concept | Serious dysfunction | 3.06 | 0.899 | 64.459 | 0.000 *** |
| Moderate dysfunction | 3.26 | 0.776 | |||
| Highly functional family | 3.69 | 0.800 | |||
| Social self-concept | Serious dysfunction | 3.10 | 0.680 | 57.132 | 0.000 *** |
| Moderate dysfunction | 3.26 | 0.622 | |||
| Highly functional family | 3.54 | 0.544 | |||
| Emotional self-concept | Serious dysfunction | 2.99 | 0.878 | 3.712 | 0.025 *** |
| Moderate dysfunction | 3.12 | 0.725 | |||
| Highly functional family | 3.00 | 0.766 | |||
| Family self-concept | Serious dysfunction | 2.94 | 0.568 | 71.045 | 0.000 *** |
| Moderate dysfunction | 3.21 | 0.546 | |||
| Highly functional family | 3.45 | 0.480 | |||
| Physical self-concept | Serious dysfunction | 2.94 | 0.877 | 71.884 | 0.000 *** |
| Moderate dysfunction | 3.23 | 0.736 | |||
| Highly functional family | 3.62 | 0.725 | |||
| Dimensions | Mean | Standard Deviation | F | Sig | |
|---|---|---|---|---|---|
| Emotional isolation | Serious dysfunction | 2.36 | 0.633 | 78.117 | 0.000 *** |
| Moderate dysfunction | 2.23 | 0.557 | |||
| Highly functional family | 1.89 | 0.553 | |||
| Subjective evaluation of the social network | Serious dysfunction | 2.54 | 0.627 | 70.950 | 0.000 *** |
| Moderate dysfunction | 2.69 | 0.541 | |||
| Highly functional family | 3.00 | 0.554 | |||
| General isolation | Serious dysfunction | 2.40 | 0.529 | 8.110 | 0.000 *** |
| Moderate dysfunction | 2.26 | 0.453 | |||
| Highly functional family | 1.93 | 0.489 | |||
| Physical Self-Concept | Emotional Isolation | Rating of the Subject and Teacher of PE | Difficulty of PE | Usefulness of PE | Empathy with the Teacher and Subject | Agreement with Subject Management | Preference for PE and Sport | |
|---|---|---|---|---|---|---|---|---|
| Physical self-concept | 1 | |||||||
| Emotional isolation | −0.255 ** | 1 | ||||||
| Rating of the subject and teacher of PE | 0.230 ** | −0.170 ** | 1 | |||||
| Difficulty of PE | 0.153 ** | 0.066 ** | 0.212 ** | 1 | ||||
| Usefulness of PE | −0.046 * | 0.323 ** | −0.133 ** | 0.253 ** | 1 | |||
| Empathy with the teacher and subject | 0.229 ** | 0.000 | 0.385 ** | 0.326 ** | 0.100 ** | 1 | ||
| Agreement with subject management | 0.210 ** | −0.191 ** | 0.334 ** | 0.121 ** | −0.110 ** | 0.224 ** | 1 | |
| Preference for PE and sport | 0.236 ** | 0.107 ** | 0.251 ** | 0.216 ** | 0.250 ** | 0.376 ** | 0.071 ** | 1 |
| PE as sport | 0.060 ** | 0.085 ** | 0.106 ** | 0.285 ** | 0.253 ** | 0.229 ** | 0.074 ** | 0.233 ** |
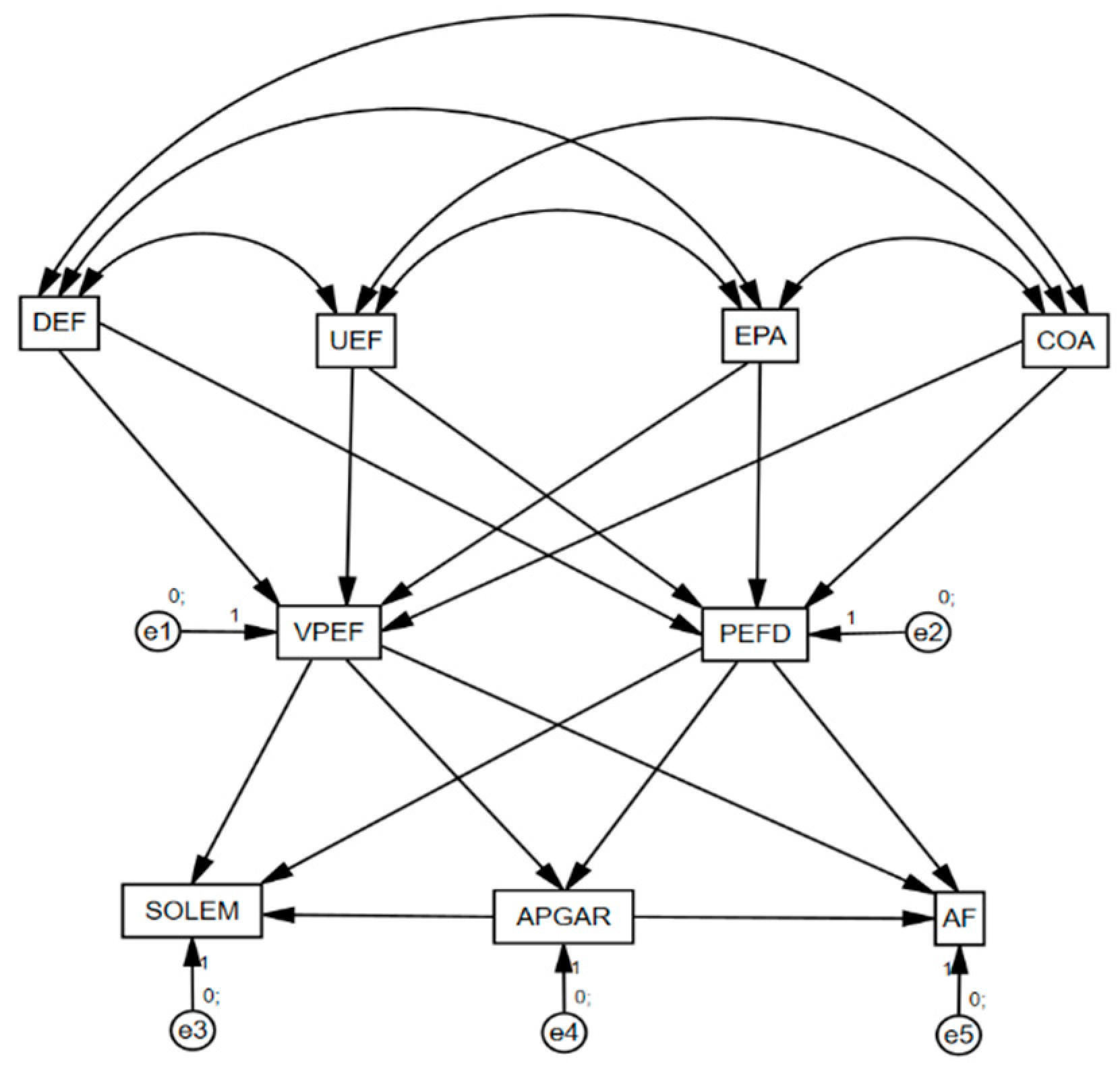
| Associations between Variables | RW | SRW | |||||
|---|---|---|---|---|---|---|---|
| EST | S.E. | C.R. | p | EST | |||
| PEFD | ← | DEF | 0.061 | 0.023 | 2.671 | ** | 0.054 |
| VPEF | ← | UEF | −0.201 | 0.022 | −9.162 | *** | −0.170 |
| PEFD | ← | EPA | 0.338 | 0.020 | 16.837 | *** | 0.335 |
| PEFD | ← | COA | 0.012 | 0.020 | 0.606 | 0.544 | 0.012 |
| VPEF | ← | DEF | 0.121 | 0.019 | 6.516 | *** | 0.127 |
| VPEF | ← | COA | 0.199 | 0.016 | 12.462 | *** | 0.230 |
| VPEF | ← | EPA | 0.263 | 0.016 | 16.079 | *** | 0.309 |
| PEFD | ← | UEF | 0.285 | 0.027 | 10.570 | *** | 0.204 |
| APGAR | ← | PEFD | 0.010 | 0.016 | 0.607 | 0.544 | 0.012 |
| APGAR | ← | VPEF | 0.135 | 0.019 | 7.027 | *** | 0.143 |
| SOLEM | ← | VPEF | −0.196 | 0.022 | −9.010 | *** | −0.177 |
| AF | ← | APGAR | 0.319 | 0.030 | 10.683 | *** | 0.207 |
| SOLEM | ← | APGAR | −0.264 | 0.023 | −11.479 | *** | −0.224 |
| SOLEM | ← | PEFD | 0.151 | 0.018 | 8.298 | *** | 0.161 |
| AF | ← | VPEF | 0.222 | 0.028 | 7.861 | *** | 0.154 |
| AF | ← | PEFD | 0.230 | 0.024 | 9.753 | *** | 0.189 |
| COA | ↔ | DEF | 0.040 | 0.007 | 5.887 | *** | 0.121 |
| DEF | ↔ | EPA | 0.109 | 0.007 | 15.130 | *** | 0.326 |
| DEF | ↔ | UEF | 0.061 | 0.005 | 11.973 | *** | 0.253 |
| EPA | ↔ | UEF | 0.027 | 0.006 | 4.881 | *** | 0.100 |
| COA | ↔ | UEF | −0.029 | 0.005 | −5.361 | *** | −0.110 |
| COA | ↔ | EPA | 0.083 | 0.008 | 10.693 | *** | 0.224 |
© 2019 by the authors. Licensee MDPI, Basel, Switzerland. This article is an open access article distributed under the terms and conditions of the Creative Commons Attribution (CC BY) license (http://creativecommons.org/licenses/by/4.0/).
Share and Cite
Padial-Ruz, R.; Pérez-Turpin, J.A.; Cepero-González, M.; Zurita-Ortega, F. Effects of Physical Self-Concept, Emotional Isolation, and Family Functioning on Attitudes towards Physical Education in Adolescents: Structural Equation Analysis. Int. J. Environ. Res. Public Health 2020, 17, 94. https://doi.org/10.3390/ijerph17010094
Padial-Ruz R, Pérez-Turpin JA, Cepero-González M, Zurita-Ortega F. Effects of Physical Self-Concept, Emotional Isolation, and Family Functioning on Attitudes towards Physical Education in Adolescents: Structural Equation Analysis. International Journal of Environmental Research and Public Health. 2020; 17(1):94. https://doi.org/10.3390/ijerph17010094
Chicago/Turabian StylePadial-Ruz, Rosario, José Antonio Pérez-Turpin, Mar Cepero-González, and Félix Zurita-Ortega. 2020. "Effects of Physical Self-Concept, Emotional Isolation, and Family Functioning on Attitudes towards Physical Education in Adolescents: Structural Equation Analysis" International Journal of Environmental Research and Public Health 17, no. 1: 94. https://doi.org/10.3390/ijerph17010094
APA StylePadial-Ruz, R., Pérez-Turpin, J. A., Cepero-González, M., & Zurita-Ortega, F. (2020). Effects of Physical Self-Concept, Emotional Isolation, and Family Functioning on Attitudes towards Physical Education in Adolescents: Structural Equation Analysis. International Journal of Environmental Research and Public Health, 17(1), 94. https://doi.org/10.3390/ijerph17010094

