Effect of an Integrated Payment System on the Direct Economic Burden and Readmission of Rural Cerebral Infarction Inpatients: Evidence from Anhui, China
Abstract
1. Introduction
2. Materials and Methods
2.1. Data Source
2.2. Study Variables
2.3. Statistical Analysis
3. Results
3.1. Sample Characteristics
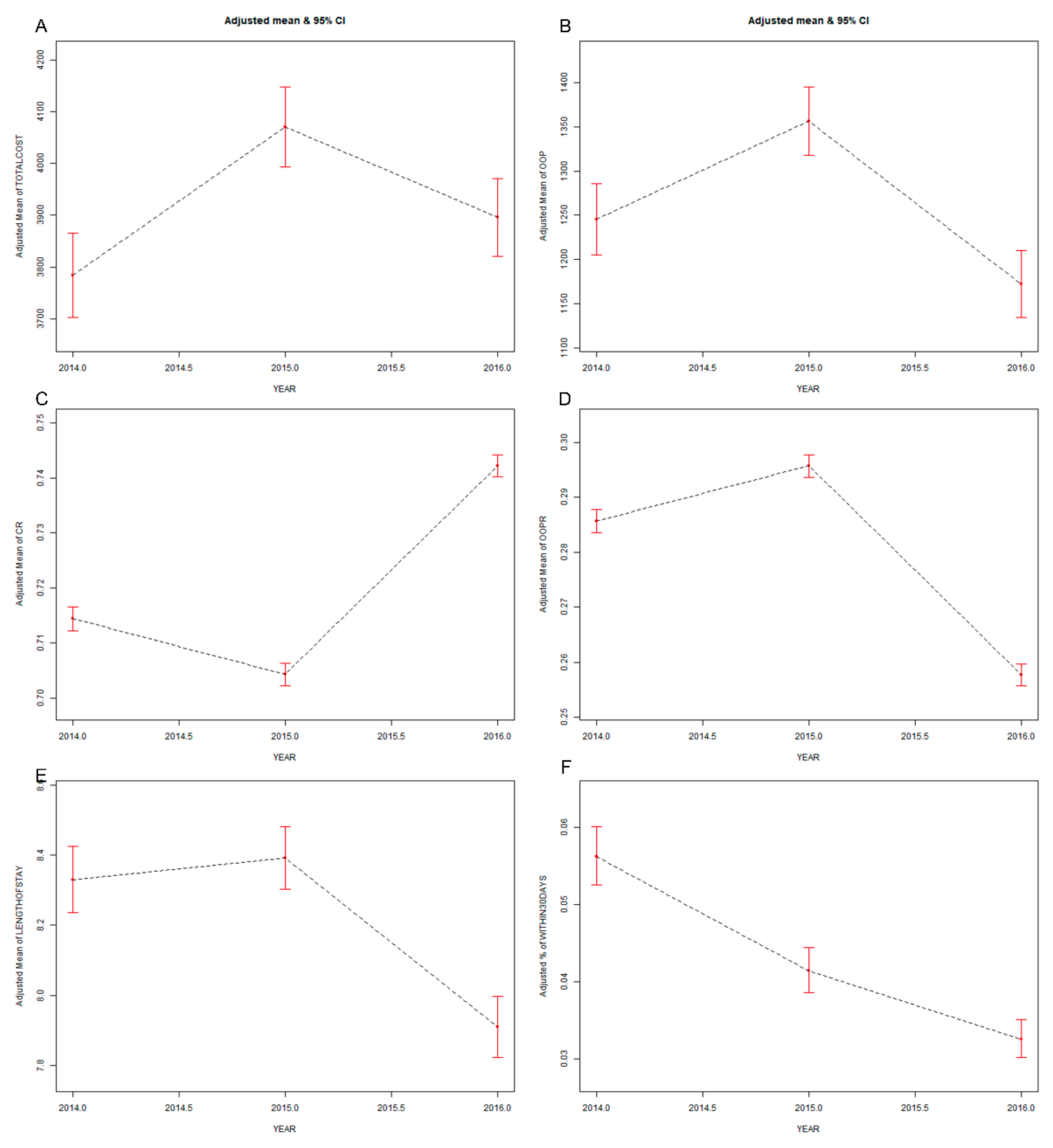
3.2. The Direct Economic Burden and Service Quality of the Whole Sample
3.3. The Direct Economic Burden and Service Quality of Cerebral Infarction Inpatients Within and Outside the County
4. Discussion
5. Limitations
6. Conclusions
Author Contributions
Funding
Acknowledgments
Conflicts of Interest
Abbreviations
| NRCMS | new rural cooperative medical system |
| GAMs | generalized additive models |
| DRGs | Diagnosis Related Groups |
| PPS | prospective payment system |
| FFS | fee-for-service |
| OOP | out of pocket |
| MP | medical partnership |
| CR | compensation ratio |
| LOS | length of stay |
| CPI | consumer price index |
| R30 | 30-day readmission |
| CI | confidence interval |
| SD | standard deviation |
References
- Kazungu, J.S.; Barasa, E.W.; Obadha, M.; Chuma, J. What characteristics of provider payment mechanisms influence health care providers’ behaviour? A literature review. Int. J. Health Plan. Manag. 2018, 33, e892–e905. [Google Scholar] [CrossRef] [PubMed]
- Hodgson, D.C.; Fuchs, C.S.; Ayanian, J.Z. Impact of Patient and Provider Characteristics on the Treatment and Outcomes of Colorectal Cancer. J. Natl. Cancer Inst. 2001, 93, 501–515. [Google Scholar] [CrossRef]
- Gosden, T.; Forl, F.; Kristiansen, I.S.; Sutton, M.; Leese, B.; Giuffrida, A.; Sergison, M.; Pedersen, L. Capitation, salary, fee-for-service and mixed systems of payment: Effects on the behaviour of primary care physicians. Cochrane Database Syst. Rev. 2000, CD002215. [Google Scholar] [CrossRef]
- Worzala, C.; Pettengill, J.; Ashby, J. Challenges and opportunities for Medicare’s original prospective payment system. Health Aff. 2016, 22, 175–182. [Google Scholar] [CrossRef]
- Chulis, G.S. Assessing Medicare’s prospective payment system for hospitals. Med. Care Rev. 1991, 48, 167–206. [Google Scholar] [CrossRef]
- Fan, C.P.; Chen, K.P.; Kan, K. The design of payment systems for physicians under global budget—An experimental study. J. Econ. Behav. Organ. 2004, 34, 295–311. [Google Scholar] [CrossRef]
- Huang, Y.; Liu, Y.; Yang, X.; Li, J.; Fang, P. Global budget payment system helps to reduce outpatient medical expenditure of hypertension in China. SpringerPlus 2016, 5, 1877. [Google Scholar] [CrossRef]
- Yang, L.; Xinhong, Q.I.; Long, G.E. The Impact of the Total Prepaid System on the Fixed Point Medical Institutions and the Countermeasures. China Health Stand. Manag. 2016, 7, 22–24. [Google Scholar]
- Yang, J. Thinking on the Implementation of Total Prepaid Medical Insurance Reform. Chin. Hosp. Manag. 2013, 33, 65–67. [Google Scholar]
- Xie, C.Y.; Shan-Lian, H.U.; Sun, G.Z. Exploration and Experience of Provider Payment System Reform in China. Chin. Health Econ. 2010, 29, 27–29. [Google Scholar]
- Liu, S.; Wang, F.; Tian, M.M.; Jia, M.; Chen, K.; Zhao, Y.-Q.; Jiang, X.; Tan, W. Analysis of the impact of county medical alliance on patient flows under the NRCMS: A case study of Dingyuan county of Anhui Province. Chin. J. Health Policy 2018, 11, 45–49. [Google Scholar]
- Yu, Y.M.; Dai, T.; Yang, Y.H.; Peking Union Medical College. Analysis of Prepaid Method of Medical Insurance in Controlling Medical Expenses in Medical Alliance in County Regions in Tianchang City. Chin. Hosp. Manag. 2018, 38, 55–57. [Google Scholar]
- Ashton, C.M.; Del Junco, D.J.; Souchek, J.; Wray, N.P.; Mansyur, C.L. The association between the quality of inpatient care and early readmission: A meta-analysis of the evidence. Med. Care 1997, 35, 1044–1059. [Google Scholar] [CrossRef] [PubMed]
- Ashton, C.M.; Wray, N.P. A conceptual framework for the study of early readmission as an indicator of quality of care. Soc. Sci. Med. 1996, 43, 1533–1541. [Google Scholar] [CrossRef]
- Thomas, J.W.; Guire, K.E.; Horvat, G.G. Is patient length of stay related to quality of care? Hosp. Health Serv. Adm. 1997, 42, 1533–1541. [Google Scholar]
- Brasel, K.J.; Lim, H.J.; Nirula, R.; Weigelt, J.A. Length of stay: An appropriate quality measure? Arch. Surg. 2007, 142, 465–466. [Google Scholar] [CrossRef]
- Gioldasis, G.; Talelli, P.; Chroni, E.; Daouli, J.; Papapetropoulos, T.; Ellul, J. In-hospital direct cost of acute ischemic and hemorrhagic stroke in Greece. Acta Neurol. Scand. 2010, 118, 268–274. [Google Scholar] [CrossRef]
- Chertow, G.M.; Burdick, E.; Honour, M.; Bonventre, J.V.; Bates, D.W. Acute Kidney Injury, Mortality, Length of Stay, and Costs in Hospitalized Patients. J. Am. Soc. Nephrol. 2005, 16, 3365–3370. [Google Scholar] [CrossRef]
- Venketasubramanian, N.; Yin, A. Hospital Costs for Stroke Care in Singapore. Cerebrovasc. Dis. 2000, 10, 320–326. [Google Scholar] [CrossRef]
- Ma, Y.; Liu, Y.; Fu, H.-M.; Wang, X.-M.; Wu, B.-H.; Wang, S.-X.; Peng, G.-G. Evaluation of admission characteristics, hospital length of stay and costs for cerebral infarction in a medium-sized city in China. Eur. J. Neurol. 2010, 17, 1270–1276. [Google Scholar] [CrossRef]
- Liu, M.; Wu, B.; Wang, W.-Z.; Lee, L.-M.; Zhang, S.-H.; Kong, L.-Z. Stroke in China: Epidemiology, prevention, and management strategies. Lancet Neurol. 2007, 6, 456–464. [Google Scholar] [CrossRef]
- Tu, F.; Tokunaga, S.; Deng, Z.; Nobutomo, K. Analysis of hospital charges for cerebral infarction stroke inpatients in Beijing, People’s Republic of China. Health Policy 2002, 59, 243–256. [Google Scholar] [CrossRef]
- Tang, A.F. The reasons and risk factors of acute stroke rehospitalization. Chin. J. Cerebrovasc. Dis. (Electron. Ed.) 2013, 7, 376–381. [Google Scholar]
- Yu, C.-H.; Luo, L.S.; Li, M. From the global views to understand the seriousness of the burden of stroke in China. J. Public Health Prev. Med. 2016, 27, 1–5. [Google Scholar]
- Liu, J.; Zhao, D.; Wang, W.; Sun, J.-Y.; Li, Y.; Jia, Y.-N. [Trends regarding the incidence of recurrent stroke events in Beijing]. Zhonghua Liu Xing Bing Xue Za Zhi 2007, 28, 437–440. [Google Scholar] [PubMed]
- Cheng, N.; Wang, Z.L.; Xiao-Guang, F.U. Analysis on the Results of Medical Expense Control and Influencing Factors in Typical Regions of Payment Reforms under New Rural Cooperative Medical System. Chin. Health Econ. 2017, 36, 32–35. [Google Scholar]
- Wang Yao Shi, Y.; Ying, B. A comparative analysis on payment and reimbursement of the inpatients with new rural cooperative medical insurance in a county of Shandong Province. Chin. Rural Health Serv. Adm. 2012, 32, 774–776. [Google Scholar]
- Guisan, A.; Edwards, T.C., Jr.; Hastie, T. Generalized linear and generalized additive models in studies of species distributions: Setting the scene. Ecol. Model. 2002, 157, 89–100. [Google Scholar] [CrossRef]
- Akima, H. A New Method of Interpolation and Smooth Curve Fitting Based on Local Procedures. J. ACM 1970, 17, 589–602. [Google Scholar] [CrossRef]
- Nirmala, P. Building Multivariable Regression Models with Continuous Covariates in Clinical Epidemiology. Methods Inf. Med. 2005, 44, 561–571. [Google Scholar]
- Sauerbrei, W.; Meier-Hirmer, C.; Benner, A.; Royston, P. Multivariable regression model building by using fractional polynomials: Description of SAS, STATA and R programs. Comput. Stat. Data Anal. 2006, 50, 3464–3485. [Google Scholar] [CrossRef]
- Goode, E.L.; Block, M.S.; Kalli, K.R.; Ovarian Tumor Tissue Analysis (OTTA) Consortium. Dose-Response Relationship of CD8+ Tumor Infiltrating Lymphocytes and Survival Time in High-Grade Serous Ovarian Cancer. Jama Oncol. 2017, 3, e173290. [Google Scholar] [PubMed]
- Park, S.-Y.; Freedman, N.D.; Haiman, C.A.; Le Marchand, L.; Wilkens, L.R.; Setiawan, V.W. Association of Coffee Consumption with Total and Cause-Specific Mortality among Nonwhite Populations. Ann. Intern. Med. 2017, 167, 228. [Google Scholar] [CrossRef] [PubMed]
- Delanois, R.E.; Gwam, C.U.; Cherian, J.J.; Etcheson, J.I.; George, N.E.; Schneider, K.A.; Mont, M.A. Global Budget Revenue on a Single Institution’s Costs and Outcomes in Patients Undergoing Total Hip Arthroplasty. J. Arthroplast. 2018, 33, 2043–2046. [Google Scholar] [CrossRef] [PubMed]
- Berwick, D.M. Making Good on ACOs’ Promise—The Final Rule for the Medicare Shared Savings Program. N. Engl. J. Med. 2011, 365, 1753–1756. [Google Scholar] [CrossRef] [PubMed]
- Song, Z.; Safran, D.G.; Landrum, M.B.; He, Y.; Mechanic, R.E.; Day, M.P.; Chernew, M.E. The ‘Alternative Quality Contract,’ based on a global budget, lowered medical spending and improved quality. Health Aff. 2012, 31, 1885–1894. [Google Scholar] [CrossRef] [PubMed]
- Carey, K. Measuring the Hospital Length of Stay/Readmission Cost Trade-Off Under A Bundled Payment Mechanism. Health Econ. 2014, 24, 790–802. [Google Scholar] [CrossRef]
- Carey, K. Hospital Cost Containment and Length of Stay: An Econometric Analysis. South. Econ. J. 2000, 67, 363. [Google Scholar] [CrossRef]
- Reinhardt, U.E. Spending more through “cost control”: Our obsessive quest to gut the hospital. Nurs. Outlook 1997, 45, 156–160. [Google Scholar] [CrossRef]
- Anderson, G.F.; Steinberg, E.P. Hospital readmissions in the Medicare population. N. Engl. J. Med. 1985, 22, 251–258. [Google Scholar] [CrossRef]
- Bayati, M.; Braverman, M.; Gillam, M.; Mack, K.M.; Ruiz, G.; Smith, M.S.; Horvitz, E. Data-Driven Decisions for Reducing Readmissions for Heart Failure: General Methodology and Case Study. PLoS ONE 2016, 9, e109264. [Google Scholar] [CrossRef] [PubMed]
- Heggestad, T. Do Hospital Length of Stay and Staffing Ratio Affect Elderly Patients’ Risk of Readmission? A Nation-Wide Study of Norwegian Hospitals. Health Serv. Res. 2010, 37, 647–665. [Google Scholar] [CrossRef]


| 2014 | 2015 | 2016 | p-Value | |
|---|---|---|---|---|
| N | 23,766 | 25,641 | 29,087 | |
| Sex | <0.001 | |||
| Male | 12,364 (52.02%) | 13,146 (51.27%) | 14,468 (49.74%) | |
| Female | 11,402 (47.98%) | 12,495 (48.73%) | 14,619 (50.26%) | |
| Age group | <0.001 | |||
| <45 | 2466 (10.38%) | 630 (2.46%) | 742 (2.55%) | |
| 45–59 | 4096 (17.23%) | 4669 (18.21%) | 5714 (19.64%) | |
| 60–74 | 10,584 (44.53%) | 12,858 (50.15%) | 14,516 (49.91%) | |
| ≥75 | 6620 (27.85%) | 7484 (29.19%) | 8115 (27.90%) | |
| Institution level | <0.001 | |||
| Within the county | 21,294 (89.60) | 24,646 (96.12%) | 28,132 (96.72%) | |
| Outside the county | 2472 (10.40%) | 995 (3.88%) | 955 (3.28%) | |
| Length of stay (day) | 8.33 ± 6.72 | 8.46 ± 5.25 | 7.98 ± 5.26 | <0.001 |
| Total costs (¥) | 3784.52 ± 5096.17 | 4023.56 ± 4959.98 | 3853.25 ± 4808.94 | <0.001 |
| OOP expenditures (¥) | 1245.44 ± 2532.52 | 1325.20 ± 2525.80 | 1145.21 ± 2382.07 | <0.001 |
| OOPR | 0.29 ± 0.13 | 0.29 ± 0.14 | 0.26 ± 0.12 | <0.001 |
| CR | 0.71 ± 0.13 | 0.71 ± 0.14 | 0.74 ± 0.12 | <0.001 |
| 30-day readmission | <0.001 | |||
| No | 22,430 (94.38%) | 24,521 (95.63%) | 28,099 (96.60%) | |
| Yes | 1336 (5.62%) | 1120 (4.37%) | 988 (3.40%) |
| Non-Adjusted | Adjusted | |||
|---|---|---|---|---|
| β or OR (95%CI) | p Trend | β or OR (95%CI) | p Trend | |
| Total costs (¥) & year | ||||
| 2014 | 0 | 0.201 | 0 | 0.118 |
| 2015 | 239.04 (151.74, 326.34) | 258.21 (170.38, 346.04) | ||
| 2016 | 68.73 (−16.04, 153.51) | 83.97 (−1.25, 169.18) | ||
| OOP expenditures (¥) & year | ||||
| 2014 | 0 | <0.001 | 0 | <0.001 |
| 2015 | 79.76 (36.07, 123.45) | 103.45 (59.51, 147.38) | ||
| 2016 | −100.22 (−142.65, –57.80) | −79.49 (−122.12, –36.86) | ||
| CR & year | ||||
| 2014 | 0 | <0.001 | 0 | <0.001 |
| 2015 | −0.01 (−0.01, −0.01) | −0.01 (−0.01, −0.01) | ||
| 2016 | 0.03 (0.03, 0.03) | 0.03 (0.03, 0.03) | ||
| OOPR & year | ||||
| 2014 | 0 | <0.001 | 0 | <0.001 |
| 2015 | 0.01 (0.01, 0.01) | 0.01 (0.01, 0.01) | ||
| 2016 | −0.03 (−0.03, −0.03) | −0.03 (−0.03, −0.03) | ||
| LOS & year | ||||
| 2014 | 0 | <0.001 | 0 | <0.001 |
| 2015 | 0.13 (0.03, 0.23) | 0.10 (−0.01, 0.20) | ||
| 2016 | −0.35 (−0.45, −0.25) | −0.38 (−0.48, −0.28) | ||
| R30 & year | ||||
| 2014 | 1 | <0.001 | 1 | <0.001 |
| 2015 | −0.27 (−0.35, −0.18) | −0.31 (−0.40, −0.23) | ||
| 2016 | −0.53 (−0.61, −0.44) | −0.56 (−0.65, −0.48) | ||
| Within the County (N = 74,072) | Out of the County (N = 4422) | p for Interaction | |
|---|---|---|---|
| Total costs (¥) & year | |||
| 2014 | 0 | 0 | <0.001 |
| 2015 | 313.10 (238.48, 387.73) | 3299.79 (2408.25, 4191.33) | |
| 2016 | 163.06 (90.56, 235.56) | 3663.67 (2763.31, 4564.02) | |
| OOP expenditures (¥) & year | |||
| 2014 | 0 | 0 | <0.001 |
| 2015 | 105.10 (73.47, 136.73) | 2793.37 (2278.95, 3307.79) | |
| 2016 | −58.40 (−89.13, −27.67) | 3001.65 (2482.15, 3521.16) | |
| CR & year | |||
| 2014 | 0 | 0 | <0.001 |
| 2015 | −0.01 (−0.01, −0.01) | −0.19 (−0.20, −0.17) | |
| 2016 | 0.03 (0.03, 0.03) | −0.18 (−0.20, −0.17) | |
| OOPR & year | |||
| 2014 | 0 | 0 | <0.001 |
| 2015 | 0.01 (0.01, 0.01) | 0.19 (0.17, 0.20) | |
| 2016 | −0.03 (−0.03, -0.03) | 0.18 (0.17, 0.20) | |
| LOS & year | |||
| 2014 | 0 | 0 | <0.001 |
| 2015 | 0.18 (0.08, 0.28) | 0.39 (−0.34, 1.11) | |
| 2016 | −0.30 (−0.40, −0.20) | 0.42 (−0.31, 1.15) | |
| R30 & year | |||
| 2014 | 1 | 1 | <0.001 |
| 2015 | 0.70 (0.64, 0.76) | 1.33 (0.73, 2.43) | |
| 2016 | 0.53 (0.49, 0.58) | 2.00 (1.16, 3.45) | |
© 2019 by the authors. Licensee MDPI, Basel, Switzerland. This article is an open access article distributed under the terms and conditions of the Creative Commons Attribution (CC BY) license (http://creativecommons.org/licenses/by/4.0/).
Share and Cite
Li, H.; Chen, Y.; Gao, H.; Chang, J.; Su, D.; Lei, S.; Jiang, D.; Hu, X.; Tan, M.; Chen, Z. Effect of an Integrated Payment System on the Direct Economic Burden and Readmission of Rural Cerebral Infarction Inpatients: Evidence from Anhui, China. Int. J. Environ. Res. Public Health 2019, 16, 1554. https://doi.org/10.3390/ijerph16091554
Li H, Chen Y, Gao H, Chang J, Su D, Lei S, Jiang D, Hu X, Tan M, Chen Z. Effect of an Integrated Payment System on the Direct Economic Burden and Readmission of Rural Cerebral Infarction Inpatients: Evidence from Anhui, China. International Journal of Environmental Research and Public Health. 2019; 16(9):1554. https://doi.org/10.3390/ijerph16091554
Chicago/Turabian StyleLi, Haomiao, Yingchun Chen, Hongxia Gao, Jingjing Chang, Dai Su, Shihan Lei, Di Jiang, Xiaomei Hu, Min Tan, and Zhifang Chen. 2019. "Effect of an Integrated Payment System on the Direct Economic Burden and Readmission of Rural Cerebral Infarction Inpatients: Evidence from Anhui, China" International Journal of Environmental Research and Public Health 16, no. 9: 1554. https://doi.org/10.3390/ijerph16091554
APA StyleLi, H., Chen, Y., Gao, H., Chang, J., Su, D., Lei, S., Jiang, D., Hu, X., Tan, M., & Chen, Z. (2019). Effect of an Integrated Payment System on the Direct Economic Burden and Readmission of Rural Cerebral Infarction Inpatients: Evidence from Anhui, China. International Journal of Environmental Research and Public Health, 16(9), 1554. https://doi.org/10.3390/ijerph16091554

