Complexation of Antimony with Natural Organic Matter: Performance Evaluation during Coagulation-Flocculation Process
Abstract
1. Introduction
2. Materials and Methods
2.1. Chemical Reagents and Materials
2.2. Preparation of Stock Solutions
2.3. Complexation Experiments
2.4. Laboratory Jar Test Experiments
2.4.1. Jar Test Procedure
2.4.2. Experimental Conditions
2.4.3. Isotherm Models
2.5. Analytical Methods
3. Results and Discussion
3.1. Characteristics of NOM
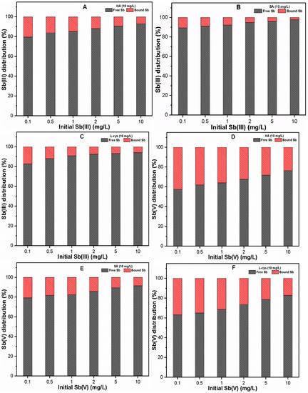
3.2. Sb Binding to NOM
3.3. Influence of NOM on Sb and TOC Removal by FC Coagulation
3.3.1. At Various FC Doses
3.3.2. At Various NOM Concentrations
3.4. Sb Binding to NOM during FC Coagulation
3.5. Mechanism Involved in Sb Removal
4. Conclusions
Supplementary Materials
Author Contributions
Funding
Conflicts of Interest
References
- Filella, M.; Belzile, N.; Chen, Y.W. Antimony in the environment: A review focused on natural waters I. Occurence. Earth-Sci. Rev. 2002, 57, 125–176. [Google Scholar] [CrossRef]
 - Wang, X.; He, M.; Xi, J.; Lu, X. Antimony distribution and mobility in rivers around the world’s largest antimony mine of Xikuangshan, Hunan Province, China. Microchem. J. 2011, 97, 4–11. [Google Scholar] [CrossRef]
 - Wu, F.; Fu, Z.; Liu, B.; Mo, C.; Chen, B.; Corns, W.; Liao, H. Health risk associated with dietary co-exposure to high levels of antimony and arsenic in the world’s largest antimony mine area. Sci. Total Environ. 2011, 409, 3344–3351. [Google Scholar] [CrossRef]
 - Hiller, E.; Lalinská, B.; Chovan, M.; Jurkovič, Ľ.; Klimko, T.; Jankulár, M.; Hovorič, R.; Šottník, P.; Fľaková, R.; Ženišová, Z. Arsenic and antimony contamination of waters, stream sediments and soils in the vicinity of abandoned antimony mines in the Western Carpathians, Slovakia. Appl. Geochem. 2012, 27, 598–614. [Google Scholar] [CrossRef]
 - Sundar, S.; Chakravarty, J. Antimony toxicity. Int. J. Environ. Res. Public Health 2010, 7, 4267–4277. [Google Scholar] [CrossRef] [PubMed]
 - Herath, I.; Vithanage, M.; Bundschuh, J. Antimony as a global dilemma: Geochemistry, mobility, fate and transport Title. Environ. Pollut. 2017, 223, 545–559. [Google Scholar] [CrossRef]
 - Guo, X.; Wu, Z.; He, M. Removal of antimony(V) and antimony(III) from drinking water by coagulation-flocculation-sedimentation (CFS). Water Res. 2009, 43, 4327–4335. [Google Scholar] [CrossRef] [PubMed]
 - Jo, M.; Kim, T.; Choi, S.; Jung, J.; Song, H.; Lee, H.; Park, G. Investigation of Antimony in Natural Water and Leaching from Polyethylene Terephthalate (PET) Bottled Water. In Proceedings of the 3rd World Congress on New Technologies (NewTech’17), Rome, Italy, 6–8 June 2017; pp. 8–10. [Google Scholar]
 - Ungureanu, G.; Santos, S.; Boaventura, R.; Botelho, C. Arsenic and antimony in water and wastewater: Overview of removal techniques with special reference to latest advances in adsorption. J. Environ. Manag. 2015, 151, 326–342. [Google Scholar] [CrossRef]
 - Fu, F.; Wang, Q. Removal of heavy metal ions from wastewaters: A review. J. Environ. Manag. 2011, 92, 407–418. [Google Scholar] [CrossRef] [PubMed]
 - Daneshvar, E.; Vazirzadeh, A.; Niazi, A.; Kousha, M.; Naushad, M.; Bhatnagar, A. Desorption of Methylene blue dye from brown macroalga: Effects of operating parameters, isotherm study and kinetic modeling. J. Clean. Prod. 2017, 152, 443–453. [Google Scholar] [CrossRef]
 - Albadarin, A.B.; Collins, M.N.; Naushad, M.; Shirazian, S.; Walker, G.; Mangwandi, C. Activated lignin-chitosan extruded blends for efficient adsorption of methylene blue. Chem. Eng. J. 2017, 307, 264–272. [Google Scholar] [CrossRef]
 - Kang, M.; Kamei, T.; Magara, Y. Comparing polyaluminum chloride and ferric chloride for antimony removal. Water Res. 2003, 37, 4171–4179. [Google Scholar] [CrossRef]
 - Wu, Z.; He, M.; Guo, X.; Zhou, R. Removal of antimony (III) and antimony (V) from drinking water by ferric chloride coagulation: Competing ion effect and the mechanism analysis. Sep. Purif. Technol. 2010, 76, 184–190. [Google Scholar] [CrossRef]
 - Genz, A.; Baumgarten, B.; Goernitz, M.; Jekel, M. NOM removal by adsorption onto granular ferric hydroxide: Equilibrium, kinetics, filter and regeneration studies. Water Res. 2008, 42, 238–248. [Google Scholar] [CrossRef] [PubMed]
 - Yang, H.; Lu, X.; He, M. Effect of organic matter on mobilization of antimony from nanocrystalline titanium dioxide. Environ. Technol. 2018, 39, 1515–1521. [Google Scholar] [CrossRef] [PubMed]
 - Buschmann, J.; Sigg, L. Antimony (III) binding to humic substances: Influence of pH and type of humic acid. Environ. Sci. Technol. 2004, 38, 4535–4541. [Google Scholar] [CrossRef]
 - Matilainen, A.; Vepsäläinen, M.; Sillanpää, M. Natural organic matter removal by coagulation during drinking water treatment: A review. Adv. Colloid Interface Sci. 2010, 159, 189–197. [Google Scholar] [CrossRef] [PubMed]
 - Khan, R.; Inam, M.; Park, D.; Zam Zam, S.; Shin, S.; Khan, S.; Akram, M.; Yeom, I. Influence of Organic Ligands on the Colloidal Stability and Removal of ZnO Nanoparticles from Synthetic Waters by Coagulation. Processes 2018, 6, 170. [Google Scholar] [CrossRef]
 - Tang, W.-W.; Zeng, G.-M.; Gong, J.-L.; Liang, J.; Xu, P.; Zhang, C.; Huang, B.-B. Impact of humic/fulvic acid on the removal of heavy metals from aqueous solutions using nanomaterials: A review. Sci. Total Environ. 2014, 468, 1014–1027. [Google Scholar] [CrossRef]
 - Ko, I.; Davis, A.P.; Kim, J.-Y.; Kim, K.-W. Effect of contact order on the adsorption of inorganic arsenic species onto hematite in the presence of humic acid. J. Hazard. Mater. 2007, 141, 53–60. [Google Scholar] [CrossRef]
 - Tang, X.; Zheng, H.; Teng, H.; Sun, Y.; Guo, J.; Xie, W.; Yang, Q.; Chen, W. Chemical coagulation process for the removal of heavy metals from water: A review. Desalin. Water Treat. 2016, 57, 1733–1748. [Google Scholar] [CrossRef]
 - Gu, B.; Schmitt, J.; Chen, Z.; Liang, L.; McCarthy, J.F. Adsorption and desorption of natural organic matter on iron oxide: Mechanisms and models. Environ. Sci. Technol. 1994, 28, 38–46. [Google Scholar] [CrossRef]
 - Guo, W.; Fu, Z.; Wang, H.; Liu, S.; Wu, F.; Giesy, J.P. Removal of antimonate (Sb(V)) and antimonite (Sb(III)) from aqueous solutions by coagulation- fl occulation-sedimentation (CFS): Dependence on in fl uencing factors and insights into removal mechanisms. Sci. Total Environ. 2018, 644, 1277–1285. [Google Scholar] [CrossRef]
 - Zhu, M.; Wang, H.; Keller, A.A.; Wang, T.; Li, F. The effect of humic acid on the aggregation of titanium dioxide nanoparticles under different pH and ionic strengths. Sci. Total Environ. 2014, 487, 375–380. [Google Scholar] [CrossRef] [PubMed]
 - Hong, S.; Elimelech, M. Chemical and physical aspects of natural organic matter (NOM) fouling of nanofiltration membranes. J. Membr. Sci. 1997, 132, 159–181. [Google Scholar] [CrossRef]
 - Fakour, H.; Lin, T.-F. Experimental determination and modeling of arsenic complexation with humic and fulvic acids. J. Hazard. Mater. 2014, 279, 569–578. [Google Scholar] [CrossRef] [PubMed]
 - Inam, M.A.; Khan, R.; Park, D.R.; Lee, Y.W.; Yeom, I.T. Removal of Sb(III) and Sb(V) by ferric chloride coagulation: Implications of Fe solubility. Water 2018, 10, 418. [Google Scholar] [CrossRef]
 - Inam, M.A.; Khan, R.; Park, D.R.; Ali, B.A.; Uddin, A.; Yeom, I.T. Influence of pH and Contaminant Redox Form on the Competitive Removal of Arsenic and Antimony from Aqueous Media by Coagulation. Minerals 2018, 8, 574. [Google Scholar] [CrossRef]
 - Jabłońska-Czapla, M. Antimony, arsenic and chromium speciation studies in Biała Przemsza River (Upper Silesia, Poland) water by HPLC-ICP-MS. Int. J. Environ. Res. Public Health 2015, 12, 4739–4757. [Google Scholar] [CrossRef]
 - Matrajt, G.; Borg, J.; Raynal, P.I.; Djouadi, Z.; Hendecourt, L.; Flynn, G.; Debo, D. Astrophysics FTIR and Raman analyses of the Tagish Lake meteorite: Relationship with the aliphatic hydrocarbons observed. Astron. Astrophys. 2004, 990, 983–990. [Google Scholar] [CrossRef]
 - Vlachos, N.; Skopelitis, Y.; Psaroudaki, M.; Konstantinidou, V.; Chatzilazarou, A.; Tegou, E. Applications of Fourier transform-infrared spectroscopy to edible oils. Anal. Chim. Acta 2006, 573–574, 459–465. [Google Scholar] [CrossRef]
 - Li, S.; Sun, W.; Xia, J.; Li, S.; Sun, F. Effect of natural organic matter (NOM) on Cu(II) adsorption by multi-walled carbon nanotubes: Relationship with NOM properties Effect of natural organic matter (NOM) on Cu(II) adsorption by multi-walled carbon nanotubes: Relationship with NOM. Chem. Eng. J. 2012. [Google Scholar] [CrossRef]
 - Khan, R.; Inam, M.A.; Zam, S.Z.; Park, D.R.; Yeom, I.T. Assessment of Key Environmental Factors Influencing the Sedimentation and Aggregation Behavior of Zinc Oxide Nanoparticles in Aquatic Environment. Water 2018, 660. [Google Scholar] [CrossRef]
 - He, Z.; Ohno, T.; Cade-menun, B.; Canada, A.; Current, S.; Honeycutt, C. Spectral and Chemical Characterization of Phosphates Associated with Humic Substances. Soil Sci. Soc. Am. J. 2014. [Google Scholar] [CrossRef]
 - Nakamoto, K.; McCarthy, P.J. Spectroscopy and Structure of Metal Chelate Compounds; Wiley: Hoboken, NJ, USA, 1968. [Google Scholar]
 - Alberts, J.J.; Filip, Z. Metal Binding in Estuarine Humic and Fulvic Acids: FTIR Analysis of Humic Acid-Metal Complexes. Environ. Technol. 2010, 3330. [Google Scholar] [CrossRef]
 - Sandmann, A.; Kompch, A.; Mackert, V.; Liebscher, C.H.; Winterer, M. Interaction of L-Cysteine with ZnO: Structure, Surface Chemistry, and Optical Properties. Langmuir 2015. [Google Scholar] [CrossRef] [PubMed]
 - Evangelou, V.P.; Marsi, M.; Chappell, M.A. Potentiometric—spectroscopic evaluation of metal-ion complexes by humic fractions extracted from corn tissue. Spectrochim. Acta A Mol. Biomol. Spectrosc. 2002, 58, 2159–2175. [Google Scholar] [CrossRef]
 - Ncibi, M.C.; Matilainen, A. Removal of natural organic matter in drinking water treatment by coagulation: A comprehensive review. Chemosphere 2018, 190, 54–71. [Google Scholar] [CrossRef]
 - Carbonaro, R.F.; Atalay, Y.B.; Di, D.M. Linear free energy relationships for metal–ligand complexation: Bidentate binding to negatively-charged oxygen donor atoms. Geochim. Cosmochim. Acta 2011, 75, 2499–2511. [Google Scholar] [CrossRef]
 - Redman, A.D. Natural Organic Matter Affects Arsenic Speciation and Sorption onto Hematite. Environ. Sci. Technol. 2002, 2889–2896. [Google Scholar] [CrossRef]
 - Yan, S.; Ding, K.; Zhang, L.; Sun, H. Complexation of Antimony (iii) by trypanothione. Angew. Chem. Int. Ed. Engl. 2000, 39, 4260–4262. [Google Scholar] [CrossRef]
 - Sun, H.; Yan, S.C.; Cheng, W.S. Interaction of antimony tartrate with the tripeptide glutathione: Implication for its mode of action. Eur. J. Biochem. 2000, 267, 5450–5457. [Google Scholar] [CrossRef] [PubMed]
 - Sun, H.; Yan, S.C.; Ding, K. Complexation of antimony (III) and trypanothione: Formation of a novel tertiary. In Proceedings of the 10th Interntional Conference on Biological Inorganic Chemistry, Florence, Italy, 26–31 August 2001. [Google Scholar]
 - Park, J.-K.; Kim, B.-G. Potential Energy Surfaces for Ligand Exchange Reactions of Square Planar Diamagnetic PtY 2 L 2 Complexes: Hydrogen Bond (PtY 2 L 2··· L’) versus Apical (Y 2 L 2 Pt··· L’) Interaction. Bull. Korean Chem. Soc. 2006, 27, 1405–1417. [Google Scholar]
 - Tipping, E. Cation Binding by Humic Substances; Cambridge University Press: Cambridge, UK, 2002; Volume 12, ISBN 1139433210. [Google Scholar]
 - Buschmann, J.; Kappeler, A.; Lindauer, U.; Kistler, D.; Berg, M.; Sigg, L. Arsenite and Arsenate Binding to Dissolved Humic Acids: Influence of pH, Type of Humic Acid, and Aluminum. Environ. Sci. Technol. 2006, 6015–6020. [Google Scholar] [CrossRef]
 - Warwich, P.; Inam, E.; Evans, N. Arsenic’s Interaction with Humic Acid. Environ. Chem. 2005, 2, 119–124. [Google Scholar] [CrossRef]
 - Sharp, E.L.; Parson, S.A.; Jefferson, B. Coagulation of NOM: Linking character to treatment. Water Sci. Technol. 2006, 53, 67–76. [Google Scholar] [CrossRef] [PubMed]
 - Liu, N.; Liu, C.; Zhang, J.; Lin, D. Removal of dispersant-stabilized carbon nanotubes by regular coagulants. J. Environ. Sci. 2012, 24, 1364–1370. [Google Scholar] [CrossRef]
 - Joseph, L.; Flora, J.R.V.; Park, Y.; Badawy, M.; Saleh, H.; Yoon, Y. Removal of natural organic matter from potential drinking water sources by combined coagulation and adsorption using carbon nanomaterials. Sep. Purif. Technol. 2012, 95, 64–72. [Google Scholar] [CrossRef]
 - Jiang, J. The role of coagulation in water treatment. Curr. Opin. Chem. Eng. 2015, 8, 36–44. [Google Scholar] [CrossRef]
 - Edzwald, J.K.; Tobiason, J.E. Enhanced coagulation: US requirements and a broader view. Water Sci. Technol. 1999, 40, 63–70. [Google Scholar] [CrossRef]
 - Davis, J.M. Adsorption of natural dissolved organic matter at the oxide/water interface. Environ. Sci. Technol. 1981, 15, 1223–1229. [Google Scholar] [CrossRef] [PubMed]
 - Pourret, O. Competition between Organic Matter and Solid Surface for Cation Sorption: Ce and Rare Earth Element as Proxy. In Proceedings of the American Geophysical Union (AGU) Fall Meeting, San Francisco, CA, USA, 11–15 December 2006. [Google Scholar]
 - Khan, R.; Inam, M.A.; Iqbal, M.M.; Shoaib, M.; Park, D.R.; Lee, K.H.; Shin, S.; Khan, S. Removal of ZnO Nanoparticles from Natural Waters by Coagulation-Flocculation Process: Influence of Surfactant Type on Aggregation, Dissolution and Colloidal Stability. Sustainability 2018, 17. [Google Scholar] [CrossRef]
 







| NOM Type | Sb Charge | Langmuir Fitting | Freundlich Fitting | ||||
|---|---|---|---|---|---|---|---|
| KL (L/mg) | qm (mg C/g) | R² | KF | n | R² | ||
| HA | Sb(III) | 1.023 | 742.49 | 0.978 | 338.29 | 1.87 | 0.932 | 
| Sb(V) | 1.159 | 759.73 | 0.986 | 375.42 | 1.78 | 0.952 | |
| SA | Sb(III) | 0.496 | 198.74 | 0.971 | 61.50 | 1.71 | 0.939 | 
| Sb(V) | 0.948 | 208.76 | 0.988 | 92.44 | 2.09 | 0.962 | |
| L-cys | Sb(III) | 0.326 | 446.75 | 0.952 | 110.61 | 1.83 | 0.903 | 
| Sb(V) | 0.306 | 627.51 | 0.980 | 144.20 | 1.66 | 0.945 | |
© 2019 by the authors. Licensee MDPI, Basel, Switzerland. This article is an open access article distributed under the terms and conditions of the Creative Commons Attribution (CC BY) license (http://creativecommons.org/licenses/by/4.0/).
Share and Cite
Inam, M.A.; Khan, R.; Park, D.R.; Khan, S.; Uddin, A.; Yeom, I.T. Complexation of Antimony with Natural Organic Matter: Performance Evaluation during Coagulation-Flocculation Process. Int. J. Environ. Res. Public Health 2019, 16, 1092. https://doi.org/10.3390/ijerph16071092
Inam MA, Khan R, Park DR, Khan S, Uddin A, Yeom IT. Complexation of Antimony with Natural Organic Matter: Performance Evaluation during Coagulation-Flocculation Process. International Journal of Environmental Research and Public Health. 2019; 16(7):1092. https://doi.org/10.3390/ijerph16071092
Chicago/Turabian StyleInam, Muhammad Ali, Rizwan Khan, Du Ri Park, Sarfaraz Khan, Ahmed Uddin, and Ick Tae Yeom. 2019. "Complexation of Antimony with Natural Organic Matter: Performance Evaluation during Coagulation-Flocculation Process" International Journal of Environmental Research and Public Health 16, no. 7: 1092. https://doi.org/10.3390/ijerph16071092
APA StyleInam, M. A., Khan, R., Park, D. R., Khan, S., Uddin, A., & Yeom, I. T. (2019). Complexation of Antimony with Natural Organic Matter: Performance Evaluation during Coagulation-Flocculation Process. International Journal of Environmental Research and Public Health, 16(7), 1092. https://doi.org/10.3390/ijerph16071092
        
