Industrial Symbiosis Systems: Promoting Carbon Emission Reduction Activities
Abstract
1. Introduction
1.1. Traditional Study Methods
1.2. The Perspective of Industrial Symbiosis
1.3. The Problem
2. Model
- (1)
- Assume that the sizes of the three groups remain relatively stable. Thus, the scale of each group is standardized to 1. Suppose at time , the probabilities of CER activities in producer, consumer and decomposer groups are , and , and hence the probabilities of not to carry out carbon emission reduction (NCER) are , and respectively.
- (2)
- Each stakeholder has a bounded rationality, so it is not easy to make at optimal strategy at any time. In order to reach a stable state, the strategy will be adjusted and improved constantly.
- (3)
- In the industrial symbiosis system, all stakeholders pursue a high-level synergy of economic value and environmental value. For the sake of discussion, here we reflect it in the form of fitness.
- (4)
- Each group interacts with the other two groups in the industrial symbiosis system. Specifically:
- (i)
- If the stakeholder involved in the abovementioned game carries out CER activity, it will obtain a basic return regardless of whether other stakeholders carry out CER activities or not. Here fi(i = 1, 2, 3) denotes the basic returns for the producer, consumer or decomposer carrying out CER activity, respectively.
- (ii)
- If no more than two stakeholders (one or two) are involved in CER activities, the two or one who does not carry out such activity will share the benefits of others, i.e., “free riding” exists. Here, πi(i = 1, 2, 3) indicates the free riding returns of each group, respectively.
- (iii)
- The number of stakeholders involved in the activities may affect the fitness. All stakeholders involved in CER activities may not get less benefits than when only one or two are involved in such activities, i.e., α1 ≥ α0, β2 ≥ β1 ≥ β0 and γ2 ≥ γ1 ≥ γ0 , where αj, βj and γj denote the return growth of producer, consumer and decomposer’s respectively when j + 1 members are participating in CER (j = 0, 1, 2).
- (5)
- The stakeholders have to pay some costs while improving their own fitness by CER activities. Suppose Ci(i = 1, 2, 3) represent the input costs of the three groups, respectively.
3. Tripartite Evolutionary Model Analysis
3.1. Replicated Dynamic Equation
3.2. Equilibrium Solution Analysis of the Industrial Symbiosis System
3.3. Stability Analysis of Industrial Symbiosis System
- ,
- ,
- ,
- ,
- ,
- ,
- ,
- ,
- .
3.3.1. All Groups Adopt the Pure Strategy
3.3.2. Single Group Adopts Pure Strategy
3.3.3. Other Situations
3.4. Numerical Simulations
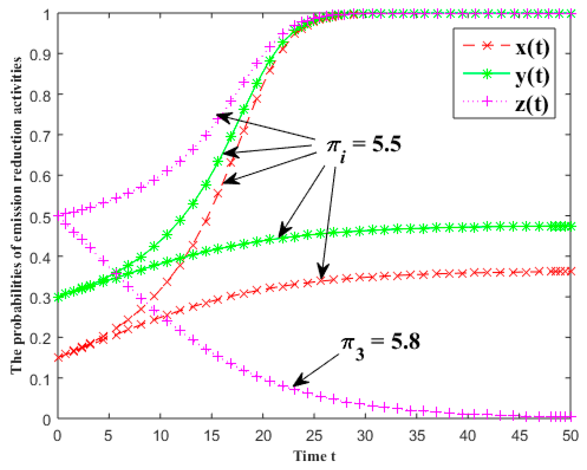
3.5. Parameter Analysis
3.5.1. The Initial State
3.5.2. The Input Cost of Emission Reduction
3.5.3. The Free Riding Return of Emission Reduction
3.5.4. The Basic Return and the Rate of Return of Emission Reduction Input
4. Discussion
4.1. Implications
4.2. Our Model vs. Other Evolutionary Game Models
5. Conclusions
Author Contributions
Funding
Conflicts of Interest
Appendix A
- (i)
- If both consumer and decomposer groups do not carry out CER activities, i.e., and , by substituting and into , we get .
- (ii)
- If one of the consumer and decomposer groups carries out CER activities, but the other group does not carry out CER activities, i.e., , or , , by substituting and into , we can obtain .
- (iii)
- If both consumer and decomposer groups carry out CER activities, i.e., and , by substituting and into , we can derive .
- (1)
- if , , .
- (2)
- if , , .
Appendix B
| Parameters | Values | Units | Data Sources |
|---|---|---|---|
| 94.06 | % | Sustainable Development Report of Baoshan Iron and Steel Co., Ltd. in 2015 [66] and Adjustment and Upgrading Planning of Iron and Steel Industry (2016–2020) [67] | |
| 71.2 | % | China Iron and Steel Industry Development Report (2016 Edition) [68] | |
| 26.9 | % | Sustainable Development Report of Baoshan Iron and Steel Co., Ltd. in 2015 [66] | |
| 69.060 | Billion | Calculated from Sustainable Development Report of Baoshan Iron and Steel Co., Ltd. in 2005 [69] and China Statistical Yearbook (2006) [70] | |
| 52.843 | Billion | ||
| 5.292 | Billion | ||
| 71.309 | Billion | Calculated from Sustainable Development Report of Baoshan Iron and Steel Co., Ltd. in 2015 [66] and China Statistical Yearbook (2016) [71] | |
| 85.538 | Billion | ||
| 7.254 | Billion | ||
| 3.166 | Billion | ||
| 3.798 | Billion | ||
| 0.322 | Billion | ||
| 0.1 | % | Expert evaluating method | |
| 0.5 | % | ||
| 1.5 | % | ||
| 0.1 | % | ||
| 0.2 | % | ||
| 0.3 | % | ||
| 0.1 | % | ||
| 0.2 | % | ||
| 0.3 | % |

References
- Shao, S.; Liu, J.; Geng, Y.; Miao, Z.; Yang, Y. Uncovering driving factors of carbon emissions from China’s mining sector. Appl. Energy 2016, 166, 220–238. [Google Scholar] [CrossRef]
- Xu, X.; Tan, Y.; Chen, S.; Yang, G.; Su, W. Urban household carbon emission and contributing factors in the Yangtze River Delta, China. PLoS ONE 2015, 10, e0121604. [Google Scholar] [CrossRef] [PubMed]
- Zhang, Y.J.; Wang, A.D.; Tan, W. The impact of China’s carbon allowance allocation rules on the product prices and emission reduction behaviors of ETS-covered enterprises. Energy Policy 2015, 86, 176–185. [Google Scholar] [CrossRef]
- Fouilloux, J.; Moraux, F.; Viviani, J.-L. Investing in finite-life carbon emissions reduction program under risk and idiosyncratic uncertainty. Energy Policy 2015, 82, 310–320. [Google Scholar] [CrossRef]
- Ozturk, I.; Acaravci, A. The long-run and causal analysis of energy, growth, openness and financial development on carbon emissions in Turkey. Energy Econ. 2013, 36, 262–267. [Google Scholar] [CrossRef]
- Du, Z.; Lin, B. Analysis of carbon emissions reduction of China’s metallurgical industry. J. Clean. Prod. 2018, 176, 1177–1184. [Google Scholar] [CrossRef]
- Yu, S.; Wei, Y.M.; Wang, K. Provincial allocation of carbon emission reduction targets in China: An approach based on improved fuzzy cluster and Shapley value decomposition. Energy Policy 2014, 66, 630–644. [Google Scholar] [CrossRef]
- Li, Z.; Shao, S.; Shi, X.; Sun, Y.; Zhang, X. Structural transformation of manufacturing, natural resource dependence, and carbon emissions reduction: Evidence of a threshold effect from China. J. Clean. Prod. 2019, 206, 920–927. [Google Scholar] [CrossRef]
- Wu, Y.; Shen, L.; Zhang, Y.; Shuai, C.; Yan, H.; Lou, Y.; Ye, G. A new panel for analyzing the impact factors on carbon emission: A regional perspective in China. Ecol. Indic. 2019, 97, 260–268. [Google Scholar] [CrossRef]
- Du, K.; Lu, H.; Yu, K. Sources of the potential CO2 emission reduction in China: A nonparametric metafrontier approach. Appl. Energy 2014, 115, 491–501. [Google Scholar] [CrossRef]
- Zhang, Y.J.; Hao, J.F.; Song, J. The CO2 emission efficiency, reduction potential and spatial clustering in China’s industry: Evidence from the regional level. Appl. Energy 2016, 174, 213–223. [Google Scholar] [CrossRef]
- Zhang, J.; Xing, Z.; Wang, J. Analysis of CO2 emission performance and abatement potential for municipal industrial sectors in Jiangsu, China. Sustainability 2016, 8, 697–711. [Google Scholar] [CrossRef]
- Liu, L.; Zong, H.; Zhao, E.; Chen, C.; Wang, J. Can China realize its carbon emission reduction goal in 2020: From the perspective of thermal power development. Appl. Energy 2014, 124, 199–212. [Google Scholar] [CrossRef]
- Böhringer, C.; Lange, A.; Rutherford, T.F. Optimal emission pricing in the presence of international spillovers: Decomposing leakage and terms-of-trade motives. J. Public Econ. 2014, 110, 101–111. [Google Scholar] [CrossRef]
- Fischer, C.; Fox, A.K. Comparing policies to combat emissions leakage: Border carbon adjustments versus rebates. J. Environ. Econ. Manag. 2012, 64, 199–216. [Google Scholar] [CrossRef]
- Tan, X.; Liu, Y.; Cui, J.; Su, B. Assessment of carbon leakage by channels: An approach combining CGE model and decomposition analysis. Energy Econ. 2018, 74, 535–545. [Google Scholar] [CrossRef]
- Oshiro, K.; Masui, T. Diffusion of low emission vehicles and their impact on CO2 emission reduction in Japan. Energy Policy 2015, 81, 215–225. [Google Scholar] [CrossRef]
- Cardell, J.B.; Anderson, C.L. Targeting existing power plants: EPA emission reduction with wind and demand response. Energy Policy 2015, 80, 11–23. [Google Scholar] [CrossRef]
- Zakeri, A.; Dehghanian, F.; Fahimnia, B.; Sarkis, J. Carbon pricing versus emissions trading: A supply chain planning perspective. Int. J. Prod. Econ. 2015, 164, 197–205. [Google Scholar] [CrossRef]
- Renner, G.T. Geography of industrial localization. Econ. Geogr. 1947, 23, 167–189. [Google Scholar]
- Chertow, M.R. Industrial symbiosis: Literature and taxonomy. Annu. Rev. Energy Environ. 2000, 25, 313–337. [Google Scholar] [CrossRef]
- Mirata, M.; Emtairah, T. Industrial symbiosis networks and the contribution to environmental innovation: The case of the Landskrona industrial symbiosis programme. J. Clean. Prod. 2005, 13, 993–1002. [Google Scholar] [CrossRef]
- Lombardi, D.R.; Laybourn, P. Redefining industrial symbiosis. J. Ind. Ecol. 2012, 16, 28–37. [Google Scholar] [CrossRef]
- Shi, L.; Liu, G.; Guo, S. International comparison and policy recommendation on the development model of industrial symbiosis in China. Acta Ecol. Sin. 2012, 32, 3950–3957. [Google Scholar] [CrossRef]
- Boons, F.; Spekkink, W.; Jiao, W. A process perspective on industrial symbiosis. J. Ind. Ecol. 2014, 18, 341–355. [Google Scholar] [CrossRef]
- Geng, Y.; Zhang, L.; Chen, X.; Xue, B.; Fujita, T.; Dong, H. Urban ecological footprint analysis: A comparative study between Shenyang in China and Kawasaki in Japan. J. Clean. Prod. 2014, 75, 130–142. [Google Scholar] [CrossRef]
- Zhang, Y.; Zheng, H.; Fath, B.D. Ecological network analysis of an industrial symbiosis system: A case study of the Shandong Lubei eco-industrial park. Ecol. Modell. 2015, 306, 174–184. [Google Scholar] [CrossRef]
- Song, X.; Geng, Y.; Dong, H.; Chen, W. Social network analysis on industrial symbiosis: A case of Gujiao eco-industrial park. J. Clean. Prod. 2018, 193, 414–423. [Google Scholar] [CrossRef]
- Chertow, M.; Miyata, Y. Assessing collective firm behavior: Comparing industrial symbiosis with possible alternatives for individual companies in Oahu, HI. Bus. Strateg. Environ. 2011, 20, 266–280. [Google Scholar] [CrossRef]
- Jung, S.; Dodbiba, G.; Chae, S.H.; Fujita, T. A novel approach for evaluating the performance of eco-industrial park pilot projects. J. Clean. Prod. 2013, 39, 50–59. [Google Scholar] [CrossRef]
- Golev, A.; Corder, G.D. Developing a classification system for regional resource synergies. Miner. Eng. 2012, 29, 58–64. [Google Scholar] [CrossRef]
- Ashton, W.S. The structure, function, and evolution of a regional industrial ecosystem. J. Ind. Ecol. 2009, 13, 228–246. [Google Scholar] [CrossRef]
- Zhang, Y.; Zheng, H.; Chen, B.; Yang, N. Social network analysis and network connectedness analysis for industrial symbiotic systems: Model development and case study. Front. Earth Sci. 2013, 7, 169–181. [Google Scholar] [CrossRef]
- Zhang, Y.; Zheng, H.; Fath, B.D.; Liu, H.; Yang, Z.; Liu, G.; Su, M. Ecological network analysis of an urban metabolic system based on input-output tables: Model development and case study for Beijing. Sci. Total Environ. 2014, 468, 642–653. [Google Scholar] [CrossRef]
- Dong, L.; Zhang, H.; Fujita, T.; Ohnishi, S.; Li, H.; Fujii, M.; Dong, H. Environmental and economic gains of industrial symbiosis for Chinese iron/steel industry: Kawasaki’s experience and practice in Liuzhou and Jinan. J. Clean. Prod. 2013, 59, 226–238. [Google Scholar] [CrossRef]
- Valero, A.; Usón, S.; Torres, C.; Valero, A.; Agudelo, A.; Costa, J. Thermoeconomic tools for the analysis of eco-industrial parks. Energy 2013, 62, 62–72. [Google Scholar] [CrossRef]
- Geng, Y.; Liu, Z.; Xue, B.; Dong, H.; Fujita, T.; Chiu, A. Emergy-based assessment on industrial symbiosis: A case of Shenyang Economic and Technological Development Zone. Environ. Sci. Pollut. Res. 2014, 21, 13572–13587. [Google Scholar] [CrossRef] [PubMed]
- Park, H.S.; Behera, S.K. Methodological aspects of applying eco-efficiency indicators to industrial symbiosis networks. J. Clean. Prod. 2014, 64, 478–485. [Google Scholar] [CrossRef]
- Chertow, M.R. “Uncovering” industrial symbiosis. J. Ind. Ecol. 2007, 11, 11–30. [Google Scholar] [CrossRef]
- Chertow, M.; Ehrenfeld, J. Organizing self-organizing systems. J. Ind. Ecol. 2012, 16, 13–27. [Google Scholar] [CrossRef]
- Grant, G.B.; Seager, T.P.; Massard, G.; Nies, L. Information and communication technology for industrial symbiosis. J. Ind. Ecol. 2010, 14, 740–753. [Google Scholar] [CrossRef]
- Romero, E.; Ruiz, M.C. Framework for applying a complex adaptive system approach to model the operation of eco-industrial parks. J. Ind. Ecol. 2013, 17, 731–741. [Google Scholar] [CrossRef]
- Cimren, E.; Fiksel, J.; Posner, M.E.; Sikdar, K. Material flow optimization in by-product synergy networks. J. Ind. Ecol. 2011, 15, 315–332. [Google Scholar] [CrossRef]
- Behera, S.K.; Kim, J.-H.; Lee, S.-Y.; Suh, S.; Park, H.-S. Evolution of ‘designed’ industrial symbiosis networks in the Ulsan Eco-industrial Park: ‘research and development into business’ as the enabling framework. J. Clean. Prod. 2012, 29–30, 103–112. [Google Scholar] [CrossRef]
- Short, S.W.; Bocken, N.M.P.; Barlow, C.Y.; Chertow, M.R. From refining sugar to growing tomatoes. J. Ind. Ecol. 2014, 18, 603–618. [Google Scholar] [CrossRef]
- Dong, H.; Ohnishi, S.; Fujita, T.; Geng, Y.; Fujii, M.; Dong, L. Achieving carbon emission reduction through industrial & urban symbiosis: A case of Kawasaki. Energy 2014, 64, 277–286. [Google Scholar] [CrossRef]
- Dong, L.; Gu, F.; Fujita, T.; Hayashi, Y.; Gao, J. Uncovering opportunity of low-carbon city promotion with industrial system innovation: Case study on industrial symbiosis projects in China. Energy Policy 2014, 65, 388–397. [Google Scholar] [CrossRef]
- Kim, H.W.; Ohnishi, S.; Fujii, M.; Fujita, T.; Park, H.S. Evaluation and allocation of greenhouse gas reductions in industrial symbiosis. J. Ind. Ecol. 2017, 22, 275–287. [Google Scholar] [CrossRef]
- Yu, B.; Li, X.; Shi, L.; Qian, Y. Quantifying CO2 emission reduction from industrial symbiosis in integrated steel mills in China. J. Clean. Prod. 2015, 103, 801–810. [Google Scholar] [CrossRef]
- Yu, F.; Han, F.; Cui, Z. Reducing carbon emissions through industrial symbiosis: A case study of a large enterprise group in China. J. Clean. Prod. 2015, 103, 811–818. [Google Scholar] [CrossRef]
- Zhang, B.; Du, Z.; Wang, Z. Carbon reduction from sustainable consumption of waste resources: An optimal model for collaboration in an industrial symbiotic network. J. Clean. Prod. 2018, 196, 821–828. [Google Scholar] [CrossRef]
- Sperry-Taylor, A.T. Bounded rationality in the centipede game. Episteme 2012, 8, 262–280. [Google Scholar] [CrossRef]
- Wainwright, J. A dynamical systems approach to Bianchi cosmologies: Orthogonal models of class A. Class. Quantum Gravity 1989, 6, 1409–1431. [Google Scholar] [CrossRef]
- Lyapunov, A.M. The general problem of the stability of motion. Int. J. Control 1992, 55, 531–534. [Google Scholar] [CrossRef]
- Lin, J.; Pan, D.; Davis, S.J.; Zhang, Q.; kebin, H.; Wang, C.; Streets, D.G.; Wuebbles, D.J.; Guan, D. China’s international trade and air pollution in the United States. Proc. Natl. Acad. Sci. USA 2014, 111, 1736–1741. [Google Scholar] [CrossRef] [PubMed]
- Xia, L.; Hao, W.; Qin, J.; Ji, F.; Yue, X. Carbon emission reduction and promotion policies considering social preferences and consumers’ low-carbon awareness in the cap-and-trade system. J. Clean. Prod. 2018, 195, 1105–1124. [Google Scholar] [CrossRef]
- Shan, H. On supernetwork of knowledge integration oriented towards the transformation of traditional manufacturing enterprises. Yuejiang Acad. J. 2015, 7, 35–41. [Google Scholar]
- Velenturf, A. Analysing the governance system for the promotion of industrial symbiosis in the Humber region, UK. People Place Policy 2016, 10, 146–173. [Google Scholar] [CrossRef]
- Wu, J.; Qi, H.; Wang, R. Insight into industrial symbiosis and carbon metabolism from the evolution of iron and steel industrial network. J. Clean. Prod. 2016, 135, 251–262. [Google Scholar] [CrossRef]
- Olson, M. The Logic of Collective Action: Public Goods and the Theory of Groups; Harvard University Press: Cambridge, UK, 1965; p. 14. [Google Scholar]
- China Baowu Iron and Steel Group Co., Ltd. Environmental Management System. Available online: http://www.baowugroup.com/contents/5446/109849.html (accessed on 20 February 2019).
- Zhang, H.; Xu, Z.; Zhou, D.; Cao, J. Waste cooking oil-to-energy under incomplete information: Identifying policy options through an evolutionary game. Appl. Energy 2017, 185, 547–555. [Google Scholar] [CrossRef]
- Sheng, J.; Webber, M. Incentive-compatible payments for watershed services along the Eastern Route of China’s South-North Water Transfer Project. Ecosyst. Serv. 2017, 25, 213–226. [Google Scholar] [CrossRef]
- Liu, Q.; Li, X.; Meng, X. Effectiveness research on the multi-player evolutionary game of coal-mine safety regulation in China based on system dynamics. Saf. Sci. 2019, 111, 224–233. [Google Scholar] [CrossRef]
- Chen, L. Research on Industrial Ecological-economic System Optimization Based on Green Total Factor Productivity; Southeast University: Nanjing, China, 2016. [Google Scholar]
- Baoshan Iron and Steel Co., Ltd. Sustainable Development Report. 2015. Available online: http://tv.baosteel.com/web/plc/pdf/SR2015.pdf (accessed on 20 March 2019).
- Ministry of Industry and Information Technology of the People’s Republic of China. Adjustment and Upgrading Planning of Iron and Steel Industry (2016–2020). Available online: http://www.miit.gov.cn/n1146285/n1146352/n3054355/n3057569/n3057573/c5353862/content.html (accessed on 20 March 2019).
- China’s Iron & Steel Industry Association. China Steel Industry Development. 2016. Available online: http://www.chinaisa.org.cn/gxportal/DispatchAction.do?efFormEname=ECTM40&key=UTIMM1w3BWRUNQYxUDcCY1YyUjIGYlRhV2ZRY1QxAT1XRA9AARoENAEQAEcFEgJg (accessed on 20 March 2019).
- Baoshan Iron and Steel Co., Ltd. Sustainable Development Report. 2005. Available online: http://www.baosteel.com/plc/brochure/pdf/SR2005.pdf (accessed on 20 March 2019).
- National Bureau of Statistics of China. China Statistical Yearbook. 2006. Available online: http://www.stats.gov.cn/tjsj/ndsj/2006/indexch.htm (accessed on 20 March 2019).
- National Bureau of Statistics of China. China Statistical Yearbook. 2016. Available online: http://www.stats.gov.cn/tjsj/ndsj/2016/indexch.htm (accessed on 20 March 2019).







| Decomposer | |||||
|---|---|---|---|---|---|
| Producer | CER () | Consumer | CER () | , , | , , |
| NCER () | , , | , , | |||
| NCER () | Consumer | CER () | , , | , , | |
| NCER () | , , | , , | |||
| Mixed Strategy State | Equilibrium Point | Condition of Equilibrium Point |
|---|---|---|
| Case | Equilibrium Point | Conditions of ESS |
|---|---|---|
| I | , , | |
| II | , , | |
| , , | ||
| , , | ||
| III | , , | |
| , , | ||
| , , | ||
| IV | , , |
© 2019 by the authors. Licensee MDPI, Basel, Switzerland. This article is an open access article distributed under the terms and conditions of the Creative Commons Attribution (CC BY) license (http://creativecommons.org/licenses/by/4.0/).
Share and Cite
Shan, H.; Yang, J.; Wei, G. Industrial Symbiosis Systems: Promoting Carbon Emission Reduction Activities. Int. J. Environ. Res. Public Health 2019, 16, 1093. https://doi.org/10.3390/ijerph16071093
Shan H, Yang J, Wei G. Industrial Symbiosis Systems: Promoting Carbon Emission Reduction Activities. International Journal of Environmental Research and Public Health. 2019; 16(7):1093. https://doi.org/10.3390/ijerph16071093
Chicago/Turabian StyleShan, Haiyan, Junliang Yang, and Guo Wei. 2019. "Industrial Symbiosis Systems: Promoting Carbon Emission Reduction Activities" International Journal of Environmental Research and Public Health 16, no. 7: 1093. https://doi.org/10.3390/ijerph16071093
APA StyleShan, H., Yang, J., & Wei, G. (2019). Industrial Symbiosis Systems: Promoting Carbon Emission Reduction Activities. International Journal of Environmental Research and Public Health, 16(7), 1093. https://doi.org/10.3390/ijerph16071093
