The Discovery of Antibacterial Cembranoids from the Soft Coral Lobophytum crassum by DeepSAT Analysis
Abstract
1. Introduction
2. Results
2.1. Utilizing DeepSAT to Localize the Target Compound
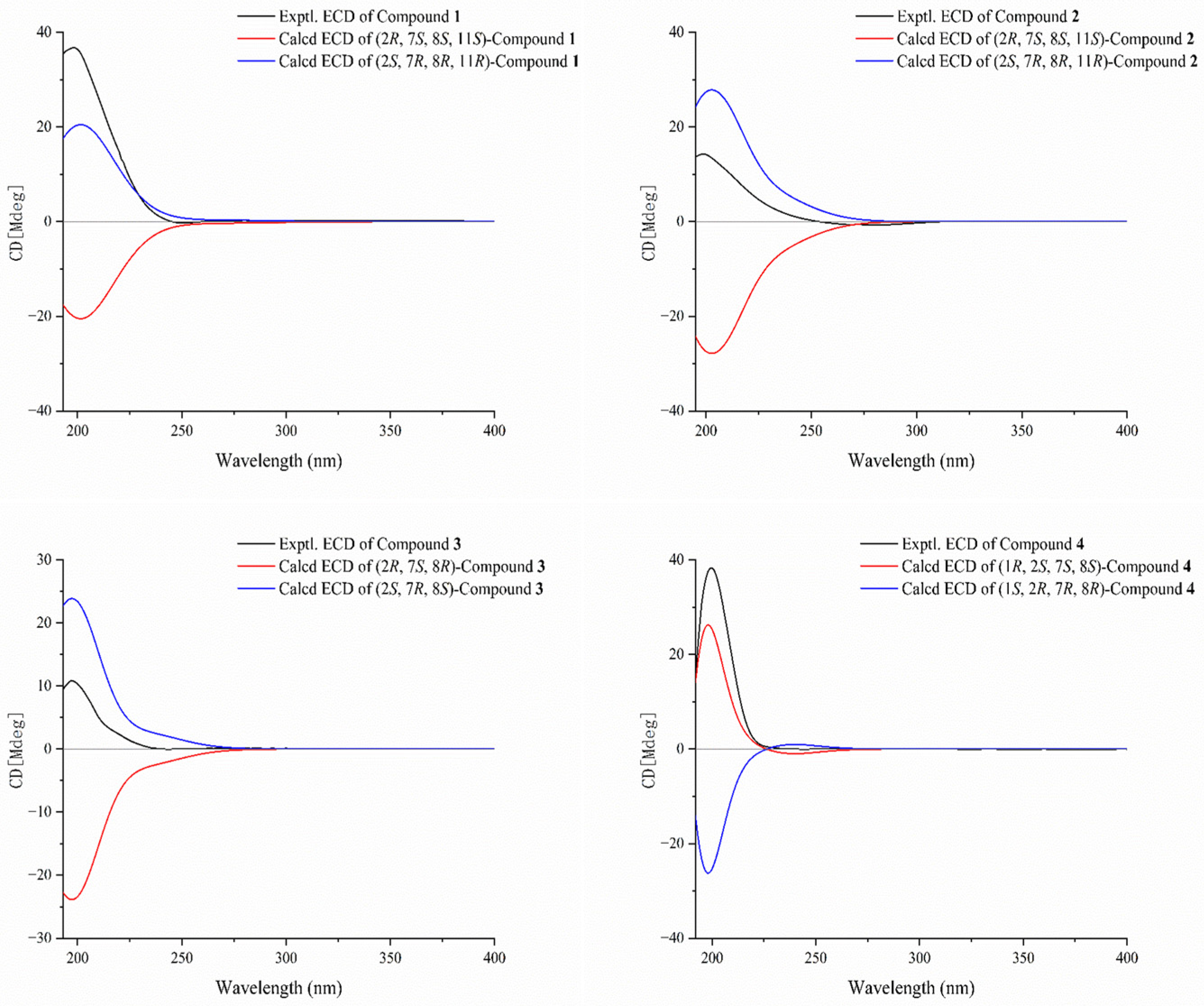
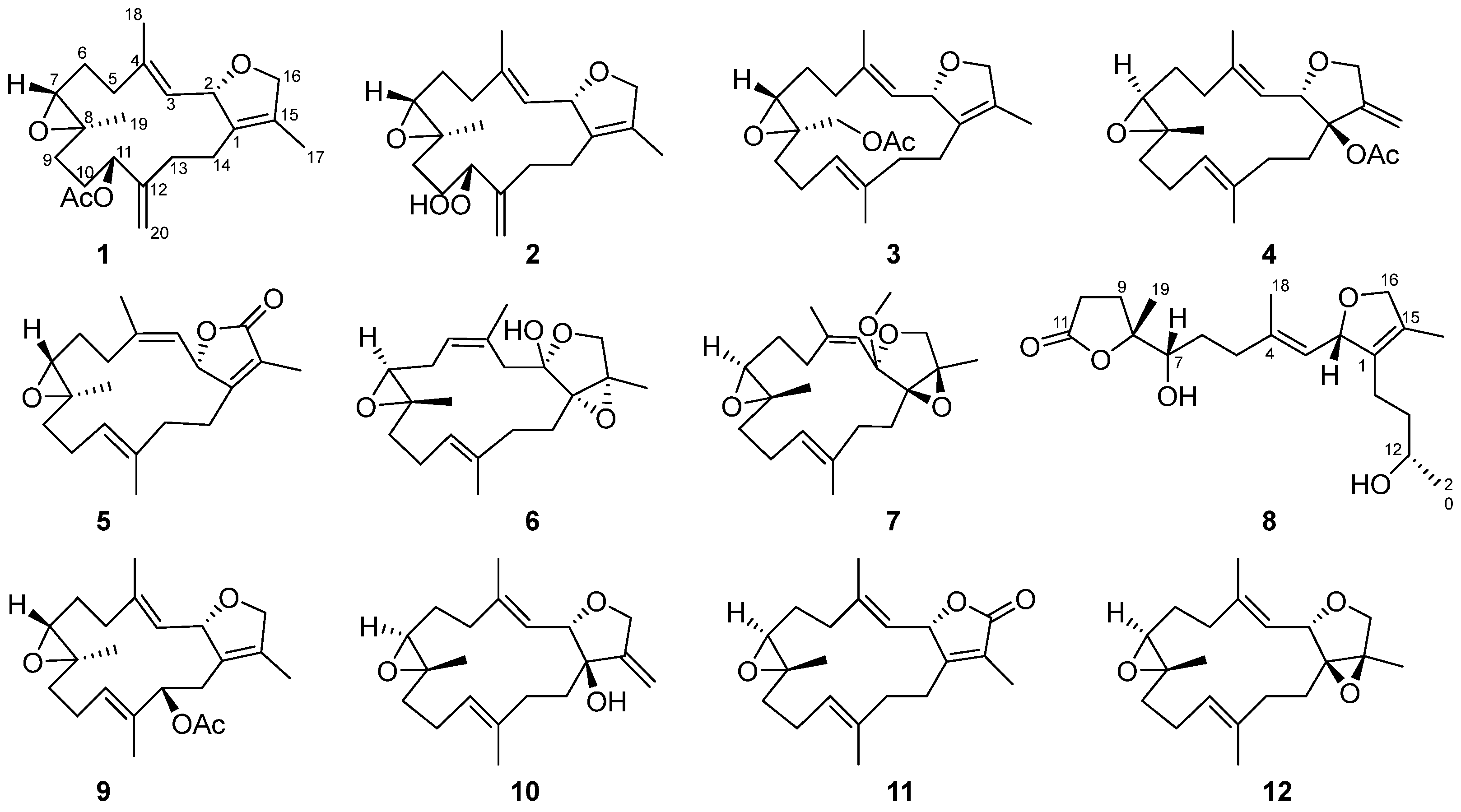
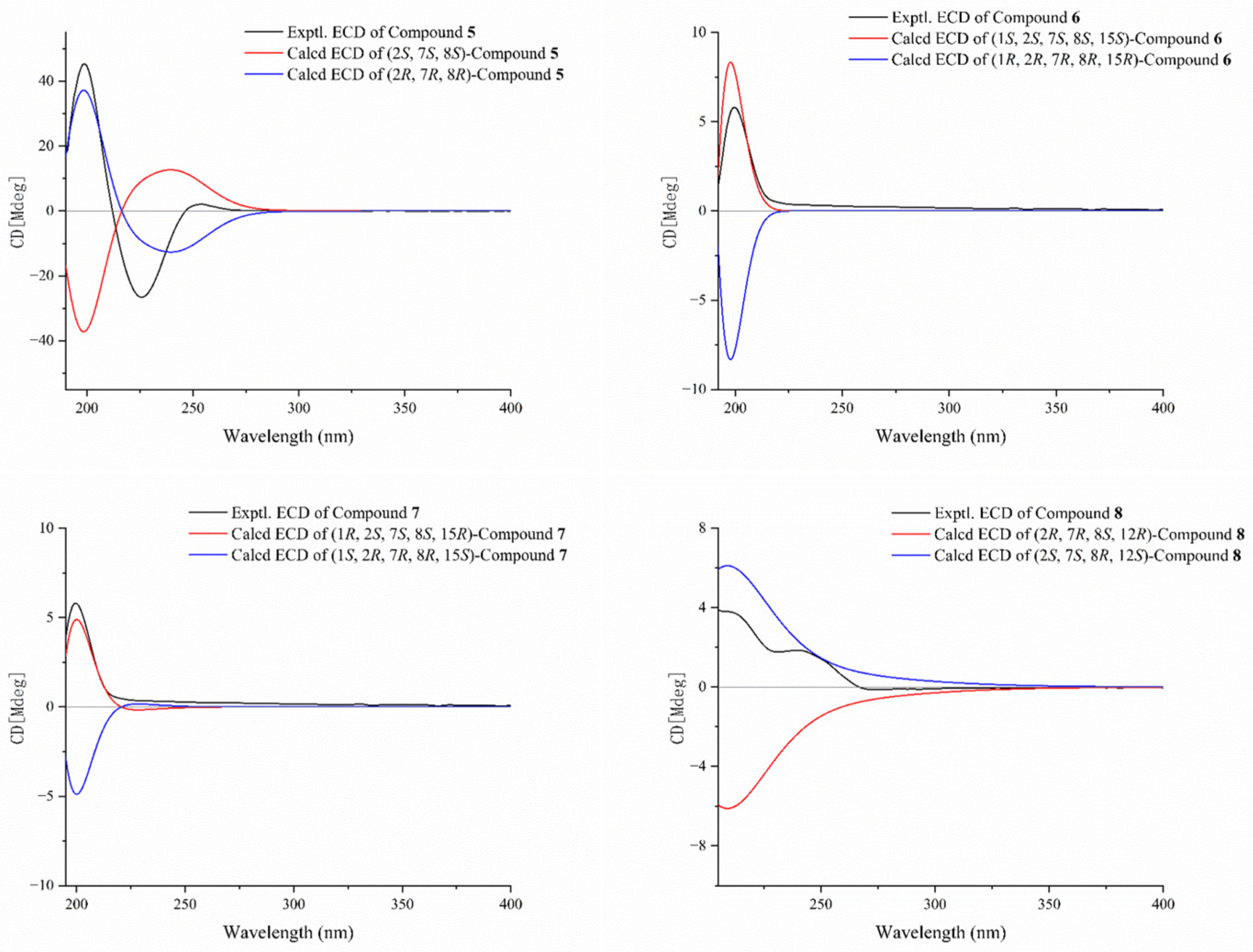
2.2. Structural Identification of Compounds 1–12
2.3. In Vitro Biological Assay
3. Materials and Methods
3.1. General Experimental Procedures
3.2. Animal Materials
3.3. DeepSAT Analysis
3.4. Extraction and Isolation
3.4.1. Compound 1
3.4.2. Compound 2
3.4.3. Compound 3
3.4.4. Compound 4
3.4.5. Compound 5
3.4.6. Compound 6
3.4.7. Compound 7
3.4.8. Compound 8
3.5. Calculation Section
3.6. Antibacterial Activity Bioassays
3.7. Cytotoxicity Testing
4. Conclusions
Supplementary Materials
Author Contributions
Funding
Institutional Review Board Statement
Data Availability Statement
Acknowledgments
Conflicts of Interest
References
- Rodrigues, I.G.; Miguel, M.G.; Mnif, W. A Brief Review on New Naturally Occurring Cembranoid Diterpene Derivatives from the Soft Corals of the Genera Sarcophyton, Sinularia, and Lobophytum Since 2016. Molecules 2019, 24, 781. [Google Scholar] [CrossRef] [PubMed]
- Peng, H.; Zeng, Y.; Zhang, R.; Yang, L.; Wu, F.; Gai, C.; Yuan, J.; Chang, W.; Dai, H.; Wang, X. Cembranoid Diterpenes from South China Sea Soft Coral Sarcophyton crassocaule. Mar. Drugs 2024, 22, 536. [Google Scholar] [CrossRef] [PubMed]
- Yan, X.; Ouyang, H.; Wang, W.; Liu, J.; Li, T.; Wu, B.; Yan, X.; He, S. Antimicrobial Terpenoids from South China Sea Soft Coral Lemnalia sp. Mar. Drugs 2021, 19, 294. [Google Scholar]
- Tsai, K.-C.; Chen, C.-S.; Su, J.-H.; Lee, Y.-C.; Tseng, Y.-H.; Wei, W.-C. The Blockade of Mitogen-Activated Protein Kinase 14 Activation by Marine Natural Product Crassolide Triggers ICD in Tumor Cells and Stimulates Anti-Tumor Immunity. Mar. Drugs 2023, 21, 225. [Google Scholar] [CrossRef]
- Wen, Z.-H.; Chiu, Y.-J.; Yang, S.N.; Huang, T.-Y.; Feng, C.-W.; Chen, N.-F.; Sung, C.-S.; Chen, W.-F. Soft Corals-derived Dihydrosinularin Attenuates Neuronal Apoptosis in 6-hydroxydopamine-induced Cell Model of Parkinson’s Disease by Regulating the PI3K Pathway. Curr. Med. Chem. 2025, 32, 1606–1620. [Google Scholar] [CrossRef]
- Matthée, G.F.; König, G.M.; Wright, A.D. Three new diterpenes from the marine soft coral Lobophytum crassum. J. Nat. Prod. 1998, 61, 237–240. [Google Scholar] [CrossRef]
- Song, Y.-T.; Yu, D.-D.; Su, M.-Z.; Luo, H.; Cao, J.-G.; Yao, L.-G.; Liang, L.-F.; Guo, Y.-W.; Yang, F. Antitumor Cembrane Diterpenoids from the South China Sea Soft Coral Lobophytum sp. Chem. Biodivers. 2023, 20, e202300217. [Google Scholar]
- Zhang, J.; Ma, H.; Jin, S.; Liu, X.; Li, L.; Liu, Z.; Li, G.; Li, P. Seven New Lobane Diterpenoids from the Soft Coral Lobophytum catalai. Mar. Drugs 2023, 21, 223. [Google Scholar] [CrossRef]
- Mohamed, T.A.; Elshamy, A.I.; Hussien, T.A.; Su, J.-H.; Sheu, J.-H.; Hegazy, M.E.F. Lobophylins F-H: Three new cembrene diterpenoids from soft coral Lobophytum crassum. J. Asian Nat. Prod. Res. 2016, 19, 201–207. [Google Scholar] [CrossRef]
- Kim, H.W.; Zhang, C.; Reher, R.; Wang, M.; Alexander, K.L.; Nothias, L.-F.; Han, Y.K.; Shin, H.; Lee, K.Y.; Lee, K.H.; et al. DeepSAT: Learning Molecular Structures from Nuclear Magnetic Resonance Data. J. Cheminf. 2023, 15, 71. [Google Scholar] [CrossRef]
- Ryu, B.; Glukhov, E.; Teixeira, T.R.; Caffrey, C.R.; Madiyan, S.; Joseph, V.; Avalon, N.E.; Leber, C.A.; Naman, C.B.; Gerwick, W.H. The Kavaratamides: Discovery of Linear Lipodepsipeptides from the Marine Cyanobacterium Moorena bouillonii Using a Comparative Chemogeographic Analysis. J. Nat. Prod. 2024, 87, 1601–1610. [Google Scholar] [CrossRef]
- Wang, Q.; Xin, B.S.; Kou, W.-L.; Gao, L.-N.; Zhang, G.-X.; Qiao, Y.-J.; Yao, G.D.; Huang, X.X.; Song, S.J. Discovery of isopentenyl flavonoids with inhibitory activity against hepatocellular carcinoma cells based on DeepSAT. Phytochemistry 2025, 234, 114437. [Google Scholar] [CrossRef]
- Yang, P.-Y.; Wang, Y.-J.; Xi, Y.-F.; Xin, B.-S.; Zhang, W.-Q.; Lin, B.; Yao, G.-D.; Lou, L.-L.; Huang, X.-X.; Song, S.-J. Targeted discovery of anthranilic acid-based alkaloids with neuroprotective and acetylcholinesterase inhibitory effects from natural indigo plant (Persicaria tinctoria) using DeepSAT technology. Ind. Crops Prod. 2025, 226, 120718. [Google Scholar] [CrossRef]
- Lai, C.-R.; Jiang, M.-X.; Tian, D.-M.; Lu, W.; Wu, B.; Tang, J.-S.; Zou, Y.; Lv, S.-H.; Yao, X.-S. Targeted Isolation of ω-3 Polyunsaturated Fatty Acids from the Marine Dinoflagellate Prorocentrum lima Using DeepSAT and LC-MS/MS and Their High Activity in Promoting Microglial Functions. Mar. Drugs 2025, 23, 286. [Google Scholar] [CrossRef] [PubMed]
- Lin, S.-T.; Wang, S.-K.; Duh, C.-Y. Cembranoids from the Dongsha Atoll Soft Coral Lobophytum crassum. Mar. Drugs 2011, 9, 2705–2716. [Google Scholar] [CrossRef] [PubMed]
- Quang, T.H.; Ha, T.T.; Minh, C.V.; Kiem, P.V.; Huong, H.T.; Ngan, N.T.T.; Nhiem, N.X.; Tung, N.H.; Tai, B.H.; Thuy, D.T.T.; et al. Cytotoxic and anti-inflammatory cembranoids from the Vietnamese soft coral Lobophytum laevigatum. Bioorg. Med. Chem. 2011, 19, 2625–2632. [Google Scholar] [CrossRef] [PubMed]
- Bernstein, J.; Shmeuli, U.; Zadock, E.; Kashman, Y.; Néeman, I. Sarcophine, a new epoxy cembranolide from marine origin. Tetrahedron 1974, 30, 2817–2824. [Google Scholar] [CrossRef]
- Chao, C.-H.; Li, W.-L.; Huang, C.-Y.; Ahmed, A.F.; Dai, C.-F.; Wu, Y.-C.; Lu, M.-C.; Liaw, C.-C.; Sheu, J.-H. Isoprenoids from the Soft Coral Sarcophyton glaucum. Mar. Drugs 2017, 15, 202. [Google Scholar] [CrossRef]
- Liu, J.; Xu, T.; Yao, L.-G.; Li, S.-W.; Guo, Y.-W. Polyoxygenated cembranoids from the South China Sea soft coral Sarcophyton boettgeri and their stereochemistry. Fitoterapia 2022, 162, 105299. [Google Scholar] [CrossRef]
- Cheng, S.-Y.; Wang, S.-K.; Duh, C.-Y. Secocrassumol, a seco-Cembranoid from the Dongsha Atoll Soft Coral Lobophytum crassum. Mar. Drugs 2014, 12, 6028–6037. [Google Scholar] [CrossRef]
- Ditchfield, R. Molecular Orbital Theory of Magnetic Shielding and Magnetic Susceptibility. J. Chem. Phys. 1972, 56, 5688–5691. [Google Scholar] [CrossRef]
- Ditchfield, R. Self-consistent perturbation theory of diamagnetism. Mol. Phys. 1974, 27, 789–807. [Google Scholar] [CrossRef]
- McMichael Rohlfing, C.; Allen, L.C.; Ditchfield, R. Proton and carbon-13 chemical shifts: Comparison between theory and experiment. Chem. Phys. 1984, 87, 9–15. [Google Scholar] [CrossRef]
- Wolinski, K.; Hinton, J.F.; Pulay, P. Efficient implementation of the gauge-independent atomic orbital method for NMR chemical shift calculations. J. Am. Chem. Soc. 1990, 112, 8251–8260. [Google Scholar] [CrossRef]
- Frisch, M.J.; Trucks, G.; Schlegel, H.B.; Scuseria, G.E.; Robb, M.A.; Cheeseman, J.; Scalmani, G.; Barone, V.; Mennucci, B.; Petersson, G.A.; et al. Gaussian 09 Revision A.1; Gaussian Inc.: Wallingford, CT, USA, 2009. [Google Scholar]
- Pescitelli, G.; Bruhn, T. Good Computational Practice in the Assignment of Absolute Configurations by TDDFT Calculations of ECD Spectra. Chirality 2016, 28, 466–474. [Google Scholar] [CrossRef] [PubMed]







| No. | δH Mult. (J in Hz) | |||
|---|---|---|---|---|
| 1 | 2 | 3 | 4 | |
| 2 | 5.43 m | 5.43 m | 5.53 m | 4.44 d (9.0) |
| 3 | 5.30 d (9.7) | 5.30 d (9.9) | 5.24 d (10.0) | 5.65 d (9.0) |
| 5a | 2.36 m | 2.35 m | 2.33 m | 2.42 m |
| 5b | 2.36 m | 2.35 m | 2.33 m | 2.30 m |
| 6a | 1.75 m | 1.81 m | 1.97 m | 2.05 m |
| 6b | 1.75 m | 1.71 td (5.4, 3.9) | 1.70 m | 1.71 m |
| 7 | 2.67 m | 2.71 t (5.3) | 2.87 m | 2.93 dd (7.3, 3.8) |
| 9a | 1.80 m | 1.93 m | 2.36 m | 2.09 m |
| 9b | 1.34 ddd (13.3, 7.7, 5.0) | 1.51 m | 0.99 td (13.3, 3.2) | 1.03 td (13.2, 3.4) |
| 10a | 1.70 m | 1.56 s | 2.25 m | 2.27 m |
| 10b | 1.50 m | 1.39 ddt (14.0, 8.6, 5.9) | 1.93 m | 1.91 m |
| 11 | 5.13 dd (7.5, 4.0) | 4.24 dd (8.8, 4.0) | 5.12 m | 5.02 m |
| 13a | 2.03 m | 2.09 m | 1.93 m | 2.11 m |
| 13b | 2.03 m | 1.99 m | 1.93 m | 2.05 m |
| 14a | 2.14 m | 2.17 m | 2.55 dd (14.1, 11.1, 7.9) | 2.47 m |
| 14b | 2.14 m | 2.09 m | 1.70 m | 2.09 m |
| 16a | 4.55 dd (11.7, 4.5) | 4.56 dd (11.9, 5.2) | 4.50 m | 4.60 m |
| 16b | 4.46 dd (11.6, 3.6) | 4.46 m | 4.50 m | 4.32 dt (13.1, 2.3) |
| 17a | 1.67 s | 1.68 s | 1.66 s | 5.43 t (2.5) |
| 17b | 5.23 t (2.2) | |||
| 18 | 1.78 s | 1.78 s | 1.82 s | 1.81 s |
| 19a | 1.25 s | 1.27 s | 4.42 d (12.1) | 1.29 s |
| 19b | 3.94 d (12.1) | |||
| 20a | 5.00 s | 5.11 dt (21.1, 1.2) | 1.60 s | 1.60 s |
| 20b | 4.95 s | |||
| OAc | 2.08 s | 2.12 s | 1.97 s | |
| -OOH | 7.96 s | |||
| No. | δC, Type | |||
|---|---|---|---|---|
| 1 | 2 | 3 | 4 | |
| 1 | 129.6, qC | 129.6, qC | 133.2, qC | 87.9, qC |
| 2 | 84.5, CH | 84.5, CH | 83.8, CH | 82.1, CH |
| 3 | 127.3, CH | 127.2, CH | 126.8, CH | 120.3, CH |
| 4 | 139.3, qC | 139.4, qC | 139.0, qC | 141.7, qC |
| 5 | 37.6, CH2 | 37.5, CH2 | 37.8, CH2 | 36.6, CH2 |
| 6 | 24.1, CH2 | 24.5, CH2 | 24.8, CH2 | 25.4, CH2 |
| 7 | 60.8, CH | 60.0, CH | 61.1, CH | 62.5, CH |
| 8 | 60.7, qC | 60.3, qC | 59.9, qC | 60.1, qC |
| 9 | 31.8, CH2 | 31.5, CH2 | 34.7, CH2 | 39.5, CH2 |
| 10 | 27.7, CH2 | 26.8, CH2 | 23.1, CH2 | 23.7, CH2 |
| 11 | 74.7, CH | 87.3, CH | 123.7, CH | 123.4, CH |
| 12 | 146.7, qC | 147.5, qC | 137.4, qC | 135.8, qC |
| 13 | 32.8, CH2 | 32.9, CH2 | 36.8, CH2 | 34.2, CH2 |
| 14 | 25.0, CH2 | 25.4, CH2 | 26.2, CH2 | 31.2, CH2 |
| 15 | 132.4, qC | 132.4, qC | 128.2, qC | 148.0, qC |
| 16 | 78.4, CH2 | 78.4, CH2 | 78.6, CH2 | 70.0, CH2 |
| 17 | 10.3, CH3 | 10.3, CH3 | 10.4, CH3 | 110.4, CH2 |
| 18 | 15.3, CH3 | 15.5, CH3 | 15.8, CH3 | 17.4, CH3 |
| 19 | 18.3, CH3 | 18.6, CH3 | 64.8, CH2 | 16.6, CH3 |
| 20 | 111.9, CH2 | 112.5, CH2 | 15.3, CH3 | 15.3, CH3 |
| OAc | 170.5, qC | 171.0, qC | 170.0, qC | |
| 21.4, CH3 | 21.0, CH3 | 22.5, CH3 | ||
| No. | δH Mult. (J in Hz) | |||
|---|---|---|---|---|
| 5 | 6 | 7 | 8 | |
| 2 | 5.61 d (8.0) | 5.40 m | ||
| 3a | 4.89 d (7.5) | 3.01 d (13.8) | 5.09 m | 5.24 dd (9.6, 1.2) |
| 3b | 2.27 m | |||
| 5a | 2.34 m | 5.85 dd (11.6, 5.0) | 2.62 dd (13.6, 4.0) | 2.34 ddd (13.6, 10.1, 6.3) |
| 5b | 2.34 m | 2.44 dd (13.6, 6.4) | 2.27 m | |
| 6a | 1.91 m | 2.64 dd (14.9, 11.4) | 1.93 dddd (14.0, 12.8, 6.4, 2.7) | 1.62 m |
| 6b | 1.48 ddt (14.3, 11.2, 5.7) | 1.73 m | 1.43 m | 1.43 m |
| 7 | 2.66 dd (6.3, 3.6) | 2.56 d (8.1) | 2.65 d (2.9) | 3.57 dd (11.4, 2.1) |
| 9a | 2.14 m | 2.13 m | 2.11 m | 2.66 ddd (18.1, 10.5, 6.4) |
| 9b | 1.28 ddd (13.2, 12.5, 5.0) | 1.12 ddd (13.2, 12.7, 3.4) | 1.26 m | 2.57 ddd (18.1, 10.5, 6.6) |
| 10a | 2.25 m | 1.97 m | 2.24 tdd (14.1, 11.2, 4.9) | 2.43 ddd (12.9, 10.5, 6.6) |
| 10b | 2.14 m | 1.85 m | 2.13 m | 1.79 m |
| 11 | 5.13 d (10.1) | 5.07 d (10.6) | 5.13 d (10.9) | |
| 12 | 3.79 h (6.1) | |||
| 13a | 2.34 m | 2.46 ddd (14.0, 8.2, 3.3) | 2.67 m | 1.49 m |
| 13b | 1.99 ddd (14.1, 11.3, 3.3) | 2.27 m | 2.08 m | 1.49 m |
| 14a | 2.74 td (12.0, 7.4) | 2.27 m | 1.81 m | 2.02 m |
| 14b | 1.87 m | 2.08 m | 1.81 m | 2.02 m |
| 16a | 3.82 q (10.0) | 3.82 d (9.9) | 4.53 dd (11.6, 5.0) | |
| 16b | 3.82 q (10.0) | 3.66 d (9.9) | 4.45 ddt (11.7, 2.5, 1.2) | |
| 17 | 1.83 s | 1.49 s | 1.47 s | 1.65 s |
| 18 | 1.74 s | 1.87 s | 1.77 d (1.2) | 1.76 d (0.8) |
| 19 | 1.17 s | 1.23 s | 1.14 s | 1.35 s |
| 20 | 1.68 s | 1.64 s | 1.61 s | 1.19 d (6.1) |
| 2-OMe | 3.21 s | |||
| No. | δC, Type | |||
|---|---|---|---|---|
| 5 | 6 | 7 | 8 | |
| 1 | 162.2, qC | 71.3, qC | 70.9, qC | 133.2, qC |
| 2 | 79.0, CH | 103.8, qC | 108.7, qC | 84.9, CH |
| 3 | 121.0, CH | 36.4, CH2 | 120.9, CH | 127.0, CH |
| 4 | 141.8, qC | 132.0, qC | 142.5, qC | 139.0, qC |
| 5 | 30.4, CH2 | 128.5, CH | 28.7, CH2 | 35.8, CH2 |
| 6 | 26.7, CH2 | 29.2, CH2 | 26.4, CH2 | 27.2, CH2 |
| 7 | 64.3, CH | 64.7, CH | 65.1, CH | 74.1, CH |
| 8 | 60.4, qC | 59.5, qC | 60.6, qC | 89.7, qC |
| 9 | 37.5, CH2 | 39.0, CH2 | 37.6, CH2 | 30.0, CH2 |
| 10 | 24.2, CH2 | 25.9, CH2 | 24.0, CH2 | 27.6, CH2 |
| 11 | 125.9, CH | 124.6, CH | 124.3, CH | 178.2, qC |
| 12 | 134.3, qC | 135.7, qC | 135.2, qC | 68.3, CH |
| 13 | 38.8, CH2 | 34.9, CH2 | 35.5, CH2 | 37.6, CH2 |
| 14 | 25.5, CH2 | 24.4, CH2 | 26.5, CH2 | 21.6, CH2 |
| 15 | 122.8, qC | 64.5, qC | 64.0, qC | 128.9, qC |
| 16 | 174.9, qC | 69.8, CH2 | 68.7, CH2 | 78.3, CH2 |
| 17 | 8.6, CH3 | 12.7, CH3 | 12.5, CH3 | 10.3, CH3 |
| 18 | 22.5, CH3 | 25.0, CH3 | 23.3, CH3 | 15.6, CH3 |
| 19 | 16.6 CH3 | 16.2, CH3 | 16.4, CH3 | 23.6, CH3 |
| 20 | 15.2, CH3 | 15.5, CH3 | 15.6, CH3 | 24.0, CH3 |
| 2-OMe | 49.4, CH3 | |||
Disclaimer/Publisher’s Note: The statements, opinions and data contained in all publications are solely those of the individual author(s) and contributor(s) and not of MDPI and/or the editor(s). MDPI and/or the editor(s) disclaim responsibility for any injury to people or property resulting from any ideas, methods, instructions or products referred to in the content. |
© 2025 by the authors. Licensee MDPI, Basel, Switzerland. This article is an open access article distributed under the terms and conditions of the Creative Commons Attribution (CC BY) license (https://creativecommons.org/licenses/by/4.0/).
Share and Cite
Wu, B.; Yao, L.-G.; Su, M.-Z.; Hou, G.-G.; Li, S.-W.; Guo, Y.-W. The Discovery of Antibacterial Cembranoids from the Soft Coral Lobophytum crassum by DeepSAT Analysis. Mar. Drugs 2025, 23, 468. https://doi.org/10.3390/md23120468
Wu B, Yao L-G, Su M-Z, Hou G-G, Li S-W, Guo Y-W. The Discovery of Antibacterial Cembranoids from the Soft Coral Lobophytum crassum by DeepSAT Analysis. Marine Drugs. 2025; 23(12):468. https://doi.org/10.3390/md23120468
Chicago/Turabian StyleWu, Bing, Li-Gong Yao, Ming-Zhi Su, Gui-Ge Hou, Song-Wei Li, and Yue-Wei Guo. 2025. "The Discovery of Antibacterial Cembranoids from the Soft Coral Lobophytum crassum by DeepSAT Analysis" Marine Drugs 23, no. 12: 468. https://doi.org/10.3390/md23120468
APA StyleWu, B., Yao, L.-G., Su, M.-Z., Hou, G.-G., Li, S.-W., & Guo, Y.-W. (2025). The Discovery of Antibacterial Cembranoids from the Soft Coral Lobophytum crassum by DeepSAT Analysis. Marine Drugs, 23(12), 468. https://doi.org/10.3390/md23120468

