Comparative Analysis of the Biochemical and Molecular Responses of Nannochloropsis gaditana to Nitrogen and Phosphorus Limitation: Phosphorus Limitation Enhances Carotenogenesis
Abstract
1. Introduction
2. Results and Discussion
2.1. Analysis of Cell Growth and Photosynthetic Activity Under N- and P-Limited Conditions
2.2. The Effects of Nutrient Limitation on Carotenoids and Lipids Productivity
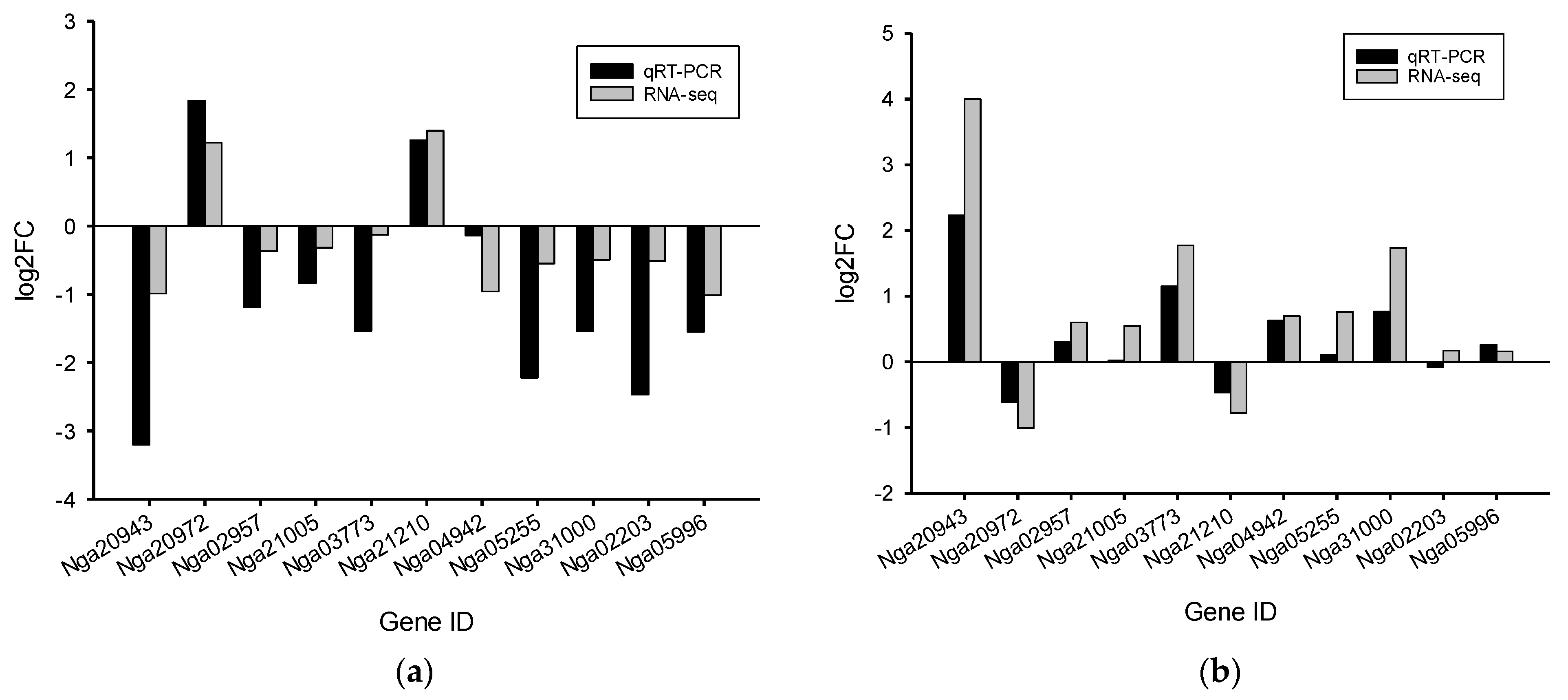
2.3. Differential Gene Expression in Response to N and P Limitation
2.4. Impact of Nutrient Limitation on Genes Involved in Photosynthesis
2.5. Impact of Nutrient Limitation on Genes Involved in Lipid Metabolism
2.6. Impact of Nutrient Limitation on Genes Involved in Central Carbon Metabolism
2.7. Impact of Nutrient Limitation on Genes Involved in Carotenoid Biosynthesis
3. Materials and Methods
3.1. Cell Culture Conditions
3.2. Measurement of Growth Parameters
3.3. Analysis of Pigments and Lipids Contents
3.4. RNA Extraction and RNA-Seq Analysis
3.5. Quantitative Real-Time PCR
3.6. Statistical Analysis
4. Conclusions
Supplementary Materials
Author Contributions
Funding
Institutional Review Board Statement
Data Availability Statement
Conflicts of Interest
References
- Onyeaka, H.; Miri, T.; Obileke, K.; Hart, A.; Anumudu, C.; Al-Sharify, Z.T. Minimizing Carbon Footprint via Microalgae as a Biological Capture. Carbon Capture Sci. Technol. 2021, 1, 100007. [Google Scholar] [CrossRef]
- Xu, P.; Li, J.; Qian, J.; Wang, B.; Liu, J.; Xu, R.; Chen, P.; Zhou, W. Recent Advances in CO2 Fixation by Microalgae and Its Potential Contribution to Carbon Neutrality. Chemosphere 2023, 319, 137987. [Google Scholar] [CrossRef]
- Siedenburg, J. Could microalgae offer promising options for climate action via their agri-food applications? Front. Sustain. Food Syst. 2022, 6, 976946. [Google Scholar] [CrossRef]
- Prasad, R.; Gupta, S.K.; Shabnam, N.; Oliveira, C.Y.B.; Nema, A.K.; Ansari, F.A.; Bux, F. Role of Microalgae in Global CO2 Sequestration: Physiological Mechanism, Recent Development, Challenges, and Future Prospective. Sustainability 2021, 13, 13061. [Google Scholar] [CrossRef]
- Koller, M.; Muhr, A.; Braunegg, G. Microalgae as versatile cellular factories for valued products. Algal Res. 2014, 6, 52–63. [Google Scholar] [CrossRef]
- Guiry, M.D. How Many Species of Algae Are There? A Reprise. Four Kingdoms, 14 Phyla, 63 Classes and Still Growing. J. Phycol. 2024, 60, 214–228. [Google Scholar] [CrossRef]
- Tredici, M.R. Mass Production of Microalgae: Photobioreactors. In Handbook of Microalgal Culture: Biotechnology and Applied Phycology; Blackwell Publishing Ltd.: Oxford, UK, 2004; p. 178. [Google Scholar]
- Camacho, F.; Macedo, A.; Malcata, F. Potential industrial applications and commercialization of microalgae in the functional food and feed industries: A short review. Mar. Drugs 2019, 17, 312. [Google Scholar] [CrossRef]
- Radakovits, R.; Jinkerson, R.E.; Fuerstenberg, S.I.; Tae, H.; Settlage, R.E.; Boore, J.L.; Posewitz, M.C. Draft genome sequence and genetic transformation of the oleaginous alga Nannochloropis gaditana. Nat. Commun. 2012, 3, 686. [Google Scholar] [CrossRef]
- Liu, M.; Ding, W.; Pan, Y.; Hu, H.; Liu, J. Zeaxanthin epoxidase is involved in the carotenoid biosynthesis and light-dependent growth of the marine alga Nannochloropsis oceanica. Biotechnol. Biofuels Bioprod. 2023, 16, 74. [Google Scholar] [CrossRef]
- Markou, G.; Nerantzis, E. Microalgae for high-value compounds and biofuels production: A review with focus on cultivation under stress conditions. Biotechnol. Adv. 2013, 31, 1532–1542. [Google Scholar] [CrossRef]
- Zanella, L.; Vianello, F. Microalgae of the genus Nannochloropsis: Chemical composition and functional implications for human nutrition. J. Funct. Foods 2020, 68, 103919. [Google Scholar] [CrossRef]
- Bongiovani, N.; Popovich, C.A.; Martínez, A.M.; Constenla, D.; Leonardi, P.I. Biorefinery Approach from Nannochloropsis oceanica CCALA 978: Neutral Lipid and Carotenoid Co-Production Under Nitrate or Phosphate Deprivation. Bioenergy Res. 2019, 13, 518–529. [Google Scholar] [CrossRef]
- Wang, F.; Huang, L.; Gao, B.; Zhang, C. Optimum Production Conditions, Purification, Identification, and Antioxidant Activity of Violaxanthin from Microalga Eustigmatos cf. polyphem (Eustigmatophyceae). Mar. Drugs 2018, 16, 190. [Google Scholar] [CrossRef]
- Soontornchaiboon, W.; Joo, S.S.; Kim, S.M. Anti-inflammatory effects of violaxanthin isolated from microalga Chlorella ellipsoidea in RAW 264.7 macrophages. Biol. Pharm. Bull. 2012, 35, 1137–1144. [Google Scholar] [CrossRef]
- Pasquet, V.; Morisset, P.; Ihammouine, S.; Chepied, A.; Aumailley, L.; Berard, J.-B.; Serive, B.; Kaas, R.; Lanneluc, I.; Thiery, V.; et al. Antiproliferative Activity of Violaxanthin Isolated from Bioguided Fractionation of Dunaliella tertiolecta Extracts. Mar. Drugs 2011, 9, 819–831. [Google Scholar] [CrossRef]
- Kim, H.M.; Jung, J.H.; Kim, J.Y.; Heo, J.; Cho, D.H.; Kim, H.S.; An, S.; An, I.S.; Bae, S. The protective effect of violaxanthin from Nannochloropsis oceanica against ultraviolet B-induced damage in normal human dermal fibroblasts. Photochem. Photobiol. 2019, 95, 595–604. [Google Scholar] [CrossRef]
- Park, S.B.; Yun, J.H.; Ryu, A.J.; Yun, J.; Kim, J.W.; Lee, S.; Choi, S.; Cho, D.H.; Choi, D.Y.; Lee, Y.J.; et al. Development of a novel Nannochloropsis strain with enhanced violaxanthin yield for large-scale production. Microb. Cell Fact. 2021, 20, 43. [Google Scholar] [CrossRef]
- Sun, Y.; Xin, Y.; Zhang, L.; Wang, Y.; Liu, R.; Li, X.; Zhou, C.; Zhang, L.; Han, J. Enhancement of violaxanthin accumulation in Nannochloropsis oceanica by overexpressing a carotenoid isomerase gene from Phaeodactylum tricornutum. Front. Microbiol. 2022, 13, 942883. [Google Scholar] [CrossRef]
- Fattore, N.; Bellan, A.; Pedroletti, L.; Vitulo, N.; Morosinotto, T. Acclimation of photosynthesis and lipids biosynthesis to prolonged nitrogen and phosphorus limitation in Nannochloropsis gaditana. Algal Res. 2021, 58, 102368. [Google Scholar] [CrossRef]
- Geider, R.; La Roche, J. Redfield revisited: Variability of C:N:P in marine microalgae and its biochemical basis. Eur. J. Phycol. 2002, 37, 1–17. [Google Scholar] [CrossRef]
- Hulatt, C.J.; Smolina, I.; Dowle, A.; Kopp, M.; Vasanth, G.K.; Hoarau, G.G.; Wijffels, R.H.; Kiron, V. Proteomic and transcriptomic patterns during lipid remodeling in Nannochloropsis gaditana. Int. J. Mol. Sci. 2020, 21, 6946. [Google Scholar] [CrossRef]
- Wei, L.; You, W.; Xu, Z.; Zhang, W. Transcriptomic survey reveals multiple adaptation mechanisms in response to nitrogen deprivation in marine Porphyridium cruentum. PLoS ONE 2021, 16, e0259833. [Google Scholar] [CrossRef]
- Shi, Y.; Liu, M.; Ding, W.; Liu, J. Novel insights into phosphorus deprivation-boosted lipid synthesis in the marine alga Nannochloropsis oceanica without compromising biomass production. J. Agric. Food Chem. 2020, 68, 11488–11502. [Google Scholar] [CrossRef]
- You, W.; Wei, L.; Gong, Y.; Hajjami, M.E.; Xu, J.; Poetsch, A. Integration of proteome and transcriptome refines key molecular processes underlying oil production in Nannochloropsis oceanica. Biotechnol. Biofuels 2020, 13, 109. [Google Scholar] [CrossRef]
- Lubián, L.M.; Montero, O.; Moreno-Garrido, I.; Huertas, I.E.; Sobrino, C.; González-del Valle, M.; Parés, G. Nannochloropsis (Eustigmatophyceae) as source of commercially valuable pigments. J. Appl. Phycol. 2000, 12, 249–255. [Google Scholar] [CrossRef]
- Forján Lozano, E.; Garbayo Nores, I.; Casal Bejarano, C.; Vílchez Lobato, C. Enhancement of carotenoid production in Nannochloropsis by phosphate and sulphur limitation. In Communicating Current Research and Educational Topics and Trends in Applied Microbiology; Formatex: Badajoz, Spain, 2007; pp. 356–364. [Google Scholar]
- Brembu, T.; Mühlroth, A.; Alipanah, L.; Bones, A.M. The effects of phosphorus limitation on carbon metabolism in diatoms. Philos. Trans. R. Soc. B Biol. Sci. 2017, 372, 20160406. [Google Scholar] [CrossRef]
- Corteggiani Carpinelli, E.; Telatin, A.; Vitulo, N.; Forcato, C.; D’Angelo, M.; Schiavon, R.; Vezzi, A.; Giacometti, G.M.; Morosinotto, T.; Valle, G. Chromosome scale genome assembly and transcriptome profiling of Nannochloropsis gaditana in nitrogen depletion. Mol. Plant 2014, 7, 323–335. [Google Scholar] [CrossRef]
- Janssen, J.H.; Spoelder, J.; Koehorst, J.J.; Schaap, P.J.; Wijffels, R.H.; Barbosa, M.J. Time-dependent transcriptome profile of genes involved in triacylglycerol (TAG) and polyunsaturated fatty acid synthesis in Nannochloropsis gaditana during nitrogen starvation. J. Appl. Phycol. 2020, 32, 1153–1164. [Google Scholar] [CrossRef]
- Poliner, E.; Pulman, J.A.; Zienkiewicz, K.; Childs, K.; Benning, C.; Farré, E.M. A toolkit for Nannochloropsis oceanica CCMP1779 enables gene stacking and genetic engineering of the eicosapentaenoic acid pathway for enhanced long-chain polyunsaturated fatty acid production. Plant Biotechnol. J. 2018, 16, 298–309. [Google Scholar] [CrossRef]
- Murakami, H.; Nobusawa, T.; Hori, K.; Shimojima, M.; Ohta, H. Betaine lipid is crucial for adapting to low temperature and phosphate deficiency in Nannochloropsis. Plant Physiol. 2018, 177, 181–193. [Google Scholar] [CrossRef]
- Riekhof, W.R.; Sears, B.B.; Benning, C. Annotation of genes involved in glycerolipid biosynthesis in Chlamydomonas reinhardtii: Discovery of the betaine lipid synthase BTA1Cr. Eukaryot. Cell 2005, 4, 242–252. [Google Scholar] [CrossRef] [PubMed]
- Meng, Y.; Cao, X.; Yang, M.; Liu, J.; Yao, C.; Xue, S. Glycerolipid remodeling triggered by phosphorous starvation and recovery in Nannochloropsis oceanica. Algal Res. 2019, 39, 101451. [Google Scholar] [CrossRef]
- Endo, K.; Kobayashi, K.; Wada, H. Sulfoquinovosyldiacylglycerol has an essential role in thermosynechococcus elongatus BP-1 under phosphate-deficient conditions. Plant Cell Physiol. 2016, 57, 2461–2471. [Google Scholar] [CrossRef] [PubMed]
- Wang, J.; Pan, W.; Nikiforov, A.; King, W.; Hong, W.; Li, W.; Han, Y.; Patton-Vogt, J.; Shen, J.; Cheng, L. Identification of two glycerophosphodiester phosphodiesterase genes in maize leaf phosphorus remobilization. Crop. J. 2021, 9, 95–108. [Google Scholar] [CrossRef]
- Mühlroth, A.; Winge, P.; El Assimi, A.; Jouhet, J.; Maréchal, E.; Hohmann-Marriott, M.F.; Vadstein, O.; Bones, A.M. Mechanisms of Phosphorus Acquisition and Lipid Class Remodeling under P Limitation in a Marine Microalga. Plant Physiol. 2017, 175, 1543–1559. [Google Scholar] [CrossRef]
- Zhu, C.J.; Lee, Y.K. Determination of biomass dry weight of marine microalgae. J. Appl. Phycol. 1997, 9, 189–194. [Google Scholar] [CrossRef]
- Baroli, I.; Do, A.D.; Yamane, T.; Niyogi, K.K. Zeaxanthin accumulation in the absence of a functional xanthophyll cycle protects Chlamydomonas reinhardtii from photooxidative stress. Plant Cell 2003, 15, 992–1008. [Google Scholar] [CrossRef]
- Sanz, N.; García-Blanco, A.; Gavalás-Olea, A.; Loures, P.; Garrido, J.L. Phytoplankton pigment biomarkers: HPLC separation using a pentafluorophenyloctadecyl silica column. Methods Ecol. Evol. 2015, 6, 1199–1209. [Google Scholar] [CrossRef]
- Gupta, P.; Sreelakshmi, Y.; Sharma, R. A Rapid and Sensitive Method for Determination of Carotenoids in Plant Tissues by High Performance Liquid Chromatography. Plant Methods 2015, 11, 5. [Google Scholar] [CrossRef]
- Kim, S.Y.; Kwon, Y.M.; Kim, K.W.; Kim, J.Y.H. Exploring the Potential of Nannochloropsis sp. Extract for Cosmeceutical Applications. Mar. Drugs 2021, 19, 690. [Google Scholar] [CrossRef]
- Lim, H.S.; Kim, J.Y.H.; Kwak, H.S.; Sim, S.J. Integrated microfluidic platform for multiple processes from microalgal culture to lipid extraction. Anal. Chem. 2014, 86, 8585–8592. [Google Scholar] [CrossRef] [PubMed]
- Bray, N.L.; Pimentel, H.; Melsted, P.; Pachter, L. Near-optimal probabilistic RNA-seq quantification. Nat. Biotechnol. 2016, 34, 525–527. [Google Scholar] [CrossRef] [PubMed]
- Gerst, R.; Hölzer, M. PCAGO: An interactive web service to analyze RNA-Seq data with principal component analysis. bioRxiv 2018. [Google Scholar] [CrossRef]
- Livak, K.J.; Schmittgen, T.D. Analysis of relative gene expression data using real-time quantitative PCR and the 2−ΔΔCT method. Methods 2001, 25, 402–408. [Google Scholar] [CrossRef]






| Gene | Function | log2FC (N-/Control) | FDR | 
|---|---|---|---|
| NgLHCf1 (Naga_100012g50) | Light harvesting complex | −3.09 | 1.72 × 10−37 | 
| NgLHCf2 (Naga_100005g99) | Light harvesting complex | −1.79 | 2.49 × 10−27 | 
| NgLHCf3 (Naga_100157g5) | Light harvesting complex | −1.64 | 8.49 × 10−20 | 
| NgLHCf4 (Naga_100168g14) | Light harvesting complex | −2.15 | 2.15 × 10−40 | 
| NgLHCf5 (Naga_100017g59) | Light harvesting complex | −2.36 | 2.73 × 10−38 | 
| NgLHCf6 (Naga_100004g86) | Light harvesting complex | −2.04 | 1.51 × 10−31 | 
| NgLHCf7 (Naga_100013g28) | Light harvesting complex | −1.86 | 6.00 × 10−25 | 
| NgLHCf8 (Naga_100027g19) | Light harvesting complex | −2.03 | 1.85 × 10−30 | 
| NgLHCr1 (Naga_100002g18) | Light harvesting complex | −1.84 | 3.50 × 10−25 | 
| NgLHCr2 (Naga_100168g13) | Light harvesting complex | −2.02 | 6.80 × 10−29 | 
| NgLHCr3 (Naga_100017g83) | Light harvesting complex | −2.69 | 1.61 × 10−53 | 
| NgLHCr4 (Naga_100092g17) | Light harvesting complex | −1.07 | 5.21 × 10−11 | 
| NgLHCr5 (Naga_100434g4) | Light harvesting complex | −2.67 | 1.10 × 10−58 | 
| NgLHCr6 (Naga_100641g3) | Light harvesting complex | −2.23 | 1.68 × 10−40 | 
| NgLHCx1 (Naga_100173g12) | Light harvesting complex | −2.03 | 6.29 × 10−29 | 
| psbW (Naga_100040g31) | PS II reaction center W | −0.94 | 9.75 × 10−06 | 
| psbO (Naga_100313g2) | PS II O2-evolving enhancer protein | −0.95 | 1.32 × 10−07 | 
| psbP (Naga_100119g18) | PS II O2-evolving complex protein | −0.82 | 4.26 × 10−07 | 
| Pbs27 (Naga_100005g25) | PS II 11 kDa protein | −1.34 | 1.93 × 10−17 | 
| psbQ (Naga_100273g6) | extrinsic protein in PS II | −1.66 | 3.19 × 10−24 | 
| psbU (Naga_100076g3) | PS II 12 kDa extrinsic protein | −0.79 | 4.73 × 10−05 | 
| CPOX (Naga_100665g2) | Coproporphyrinogen III oxidase | −0.83 | 4.47 × 10−08 | 
| CHLH (Naga_100105g7) | Mg-chelatase subunit H | −0.99 | 7.23 × 10−10 | 
| POR (Naga_100258g4) | Light-dependent NADPH:protochlorophyllide oxidoreductase | −0.74 | 8.98 × 10−07 | 
| Ycf48 (Naga_100114g2) | PS II stability/assembly factor | −0.51 | 6.77 × 10−04 | 
| Disclaimer/Publisher’s Note: The statements, opinions and data contained in all publications are solely those of the individual author(s) and contributor(s) and not of MDPI and/or the editor(s). MDPI and/or the editor(s) disclaim responsibility for any injury to people or property resulting from any ideas, methods, instructions or products referred to in the content. | 
© 2024 by the authors. Licensee MDPI, Basel, Switzerland. This article is an open access article distributed under the terms and conditions of the Creative Commons Attribution (CC BY) license (https://creativecommons.org/licenses/by/4.0/).
Share and Cite
Kim, S.Y.; Moon, H.; Kwon, Y.M.; Kim, K.W.; Kim, J.Y.H. Comparative Analysis of the Biochemical and Molecular Responses of Nannochloropsis gaditana to Nitrogen and Phosphorus Limitation: Phosphorus Limitation Enhances Carotenogenesis. Mar. Drugs 2024, 22, 567. https://doi.org/10.3390/md22120567
Kim SY, Moon H, Kwon YM, Kim KW, Kim JYH. Comparative Analysis of the Biochemical and Molecular Responses of Nannochloropsis gaditana to Nitrogen and Phosphorus Limitation: Phosphorus Limitation Enhances Carotenogenesis. Marine Drugs. 2024; 22(12):567. https://doi.org/10.3390/md22120567
Chicago/Turabian StyleKim, Sun Young, Hanbi Moon, Yong Min Kwon, Kyung Woo Kim, and Jaoon Young Hwan Kim. 2024. "Comparative Analysis of the Biochemical and Molecular Responses of Nannochloropsis gaditana to Nitrogen and Phosphorus Limitation: Phosphorus Limitation Enhances Carotenogenesis" Marine Drugs 22, no. 12: 567. https://doi.org/10.3390/md22120567
APA StyleKim, S. Y., Moon, H., Kwon, Y. M., Kim, K. W., & Kim, J. Y. H. (2024). Comparative Analysis of the Biochemical and Molecular Responses of Nannochloropsis gaditana to Nitrogen and Phosphorus Limitation: Phosphorus Limitation Enhances Carotenogenesis. Marine Drugs, 22(12), 567. https://doi.org/10.3390/md22120567
 
        
 
                                                
 
       