Eco-Friendly Extraction, Structure, and Gel Properties of ι-Carrageenan Extracted Using Ca(OH)2
Abstract
:1. Introduction
2. Results and Discussion
2.1. Comparison of the Extraction of ι-Carrageenan by Using NaOH and Ca(OH)2
2.2. Determination of Physicochemical Properties
2.3. Elemental Analysis
2.4. Molecular Weight
2.5. FTIR Spectroscopy
2.6. Thermal Analysis
2.7. TPA
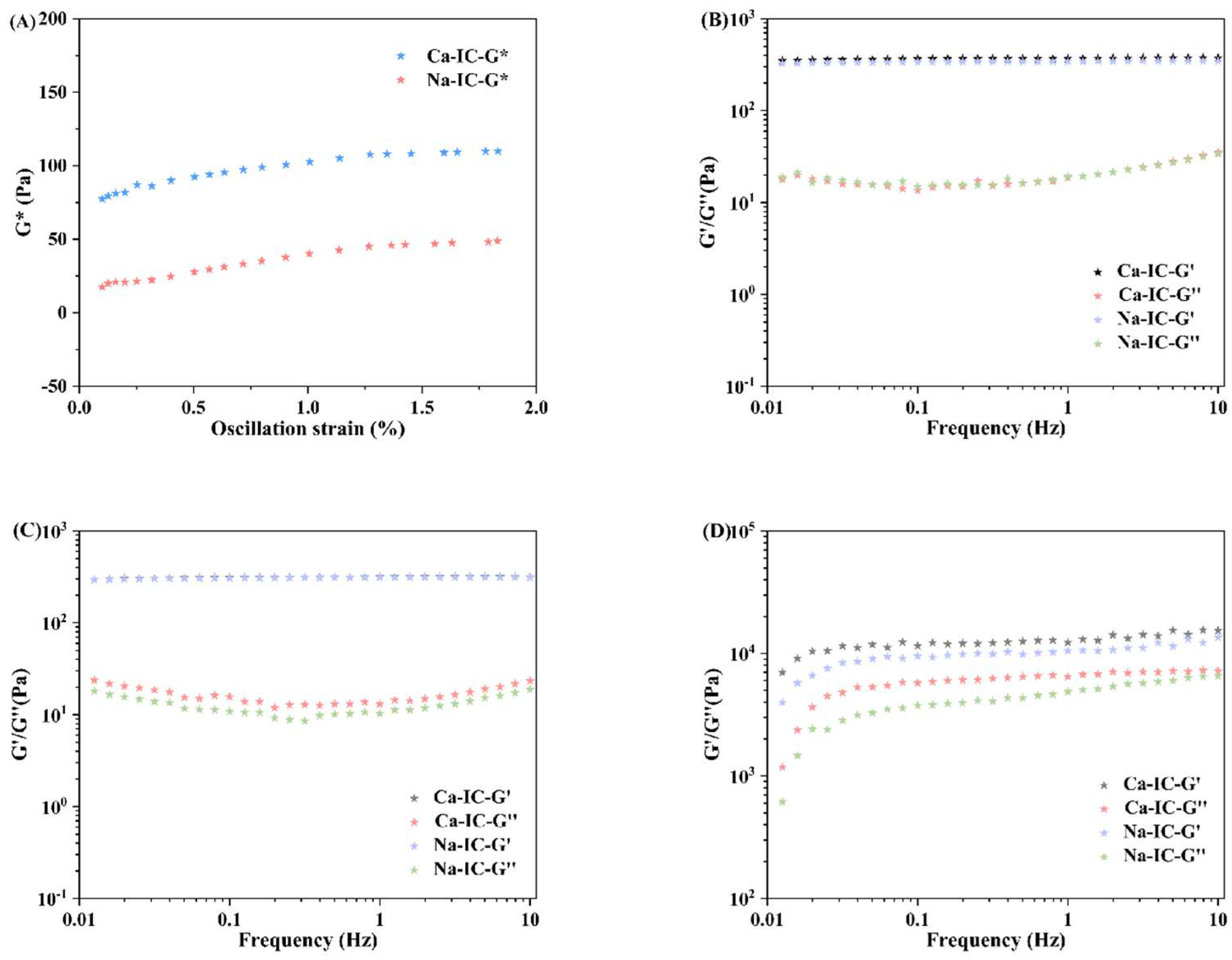
2.8. Rheological Characterization
2.8.1. Steady Rheological Testing
2.8.2. Frequency Sweep Test
2.8.3. Temperature Sweep Test
2.8.4. Thixotropy Test
3. Materials and Methods
3.1. Materials
3.2. Extraction of ι-Carrageenan by Ca(OH)2
3.3. Extraction of ι-Carrageenan by NaOH
3.4. Yield Determination
3.5. Elemental Analysis
3.6. Determination of Physicochemical and Gel Properties
3.7. FTIR Spectroscopy
3.8. Thermal Analysis
3.9. TPA
3.10. Rheological Analysis
3.11. Statistical Analysis
4. Conclusions
Supplementary Materials
Author Contributions
Funding
Institutional Review Board Statement
Data Availability Statement
Conflicts of Interest
References
- Scieszka, S.; Klewicka, E. Algae in food: A general review. Crit. Rev. Food Sci. Nutr. 2019, 59, 3538–3547. [Google Scholar] [CrossRef] [PubMed]
- Tavassoli-Kafrani, E.; Shekarchizadeh, H.; Masoudpour-Behabadi, M. Development of edible films and coatings from alginates and carrageenans. Carbohydr. Polym. 2016, 137, 360–374. [Google Scholar] [CrossRef] [PubMed]
- Van de Velde, F.; Knutsen, S.H.; Usov, A.I.; Rollema, H.S.; Cerezo, A.S. H-1 and C-13 high resolution NMR spectroscopy of carrageenans: Application in research and industry. Trends Food Sci. Technol. 2002, 13, 73–92. [Google Scholar] [CrossRef]
- Van de Velde, F.; Rollema, H.S.; Grinberg, N.V.; Burova, T.V.; Grinberg, V.Y.; Tromp, R.H. Coil-helix transition of iota-carrageenan as a function of chain regularity. Biopolymers 2002, 65, 299–312. [Google Scholar] [CrossRef] [PubMed]
- Kaminska-Dworznicka, A.; Janczewska-Dupczyk, A.; Kot, A.; Laba, S.; Samborska, K. The impact of iota- and kappa-carrageenan addition on freezing process and ice crystals structure of strawberry sorbet frozen by various methods. J. Food Sci. 2020, 85, 50–56. [Google Scholar] [CrossRef]
- Ramin, B.B.S.; Rufato, K.B.; Sabino, R.M.; Popat, K.C.; Kipper, M.J.; Martins, A.F.; Muniz, E.C. Chitosan/iota-carrageenan/curcumin-based materials performed by precipitating miscible solutions prepared in ionic liquid. J. Mol. Liq. 2019, 290, 10. [Google Scholar] [CrossRef]
- Leibbrandt, A.; Meier, C.; Konig-Schuster, M.; Weinmullner, R.; Kalthoff, D.; Pflugfelder, B.; Graf, P.; Frank-Gehrke, B.; Beer, M.; Fazekas, T.; et al. Iota-carrageenan is a potent inhibitor of influenza A virus infection. PLoS ONE 2010, 5, e14320. [Google Scholar] [CrossRef]
- Dawes, C.J.; Stanley, N.F.; Stancioff, D.J. Seasonal and reproductive aspects of plant chemistry, and iota-carrageenan from Floridian-Eucheuma (Rhodophyta, Gigartinales). Bot. Mar. 1977, 20, 137–147. [Google Scholar] [CrossRef]
- Azevedo, G.; Hilliou, L.; Bernardo, G.; Sousa-Pinto, I.; Adams, R.W.; Nilsson, M.; Villanueva, R.D. Tailoring kappa/iota-hybrid carrageenan from Mastocarpus stellatus with desired gel quality through pre-extraction alkali treatment. Food Hydrocoll. 2013, 31, 94–102. [Google Scholar] [CrossRef]
- Villanueva, R.D.; Hilliou, L.; Sousa-Pinto, I. Postharvest culture in the dark: An eco-friendly alternative to alkali treatment for enhancing the gel quality of kappa/iota-hybrid carrageenan from Chondrus crispus (Gigartinales, Rhodophyta). Bioresour. Technol. 2009, 100, 2633–2638. [Google Scholar] [CrossRef]
- Vazquez-Delfin, E.; Robledo, D.; Freile-Pelegrin, Y. Microwave-assisted extraction of the Carrageenan from Hypnea musciformis (Cystocloniaceae, Rhodophyta). J. Appl. Phycol. 2014, 26, 901–907. [Google Scholar] [CrossRef]
- Boulho, R.; Marty, C.; Freile-Pelegrin, Y.; Robledo, D.; Bourgougnon, N.; Bedoux, G. Antiherpetic (HSV-1) activity of carrageenans from the red seaweed Solieria chordalis (Rhodophyta, Gigartinales) extracted by microwave-assisted extraction (MAE). J. Appl. Phycol. 2017, 29, 2219–2228. [Google Scholar] [CrossRef]
- Youssouf, L.; Lallemand, L.; Giraud, P.; Soule, F.; Bhaw-Luximon, A.; Meilhac, O.; D’Hellencourt, C.L.; Jhurry, D.; Couprie, J. Ultrasound-assisted extraction and structural characterization by NMR of alginates and carrageenans from seaweeds. Carbohydr. Polym. 2017, 166, 55–63. [Google Scholar] [CrossRef] [PubMed]
- Blanco-Pascual, N.; Aleman, A.; Gomez-Guillen, M.C.; Montero, M.P. Enzyme-assisted extraction of kappa/iota-hybrid carrageenan from Mastocarpus stellatus for obtaining bioactive ingredients and their application for edible active film development. Food Funct. 2014, 5, 319–329. [Google Scholar] [CrossRef] [Green Version]
- De Araujo, I.W.F.; Rodrigues, J.A.G.; Vanderlei, E.D.O.; de Paula, G.A.; Lima, T.D.; Benevides, N.M.B. Iota-carrageenans from Solieria filiformis (Rhodophyta) and their effects in the inflammation and coagulation. Acta Sci.-Technol. 2012, 34, 127–135. [Google Scholar] [CrossRef]
- Yarnpakdee, S.; Benjakul, S.; Kingwascharapong, P. Physico-chemical and gel properties of agar from Gracilaria tenuistipitata from the lake of Songkhla, Thailand. Food Hydrocoll. 2015, 51, 217–226. [Google Scholar] [CrossRef]
- Li, Y.C.; Zhao, M.; Gomez, L.P.; Senthamaraikannan, R.; Padamati, R.B.; O’Donnell, C.P.; Tiwari, B.K. Investigation of enzyme-assisted methods combined with ultrasonication under a controlled alkali pretreatment for agar extraction from Gelidium sesquipedale. Food Hydrocoll. 2021, 120, 10. [Google Scholar] [CrossRef]
- Xiao, Q.; Wang, X.; Zhang, J.; Zhang, Y.; Chen, J.; Chen, F.; Xiao, A. Pretreatment Techniques and Green Extraction Technologies for Agar from Gracilaria lemaneiformis. Mar. Drugs 2021, 19, 617. [Google Scholar] [CrossRef]
- Liu, Y.; An, D.; Xiao, Q.; Chen, F.; Zhang, Y.; Weng, H.; Xiao, A. A novel κ-carrageenan extracting process with calcium hydroxide and carbon dioxide. Food Hydrocoll. 2022, 127, 107507. [Google Scholar] [CrossRef]
- Djabourov, M.; Nishinari, K.; RossMurphy, S.B. Physical Gels from Biological and Synthetic Polymers; Cambridge University Press: Cambridge, UK, 2013; pp. 1–356. [Google Scholar]
- Janaswamy, S.; Chandrasekaran, R. Effect of calcium ions on the organization of iota-carrageenan helices: An X-ray investigation. Carbohydr. Res. 2002, 337, 523–535. [Google Scholar] [CrossRef]
- Wen, C.R.; Wang, N.; Dong, Y.Y.; Tian, J.; Song, S.; Qi, H. Calcium-induced-gel properties for iota-carrageenan in the presence of different charged amino acids. LWT-Food Sci. Technol. 2021, 146, 10. [Google Scholar] [CrossRef]
- Hoffmann, R.A.; Gidley, M.J.; Cooke, D.; Frith, W.J. Effect of isolation procedures on the molecular composition and physical properties of Eucheuma cottonii carrageenan. Food Hydrocoll. 1995, 9, 281–289. [Google Scholar] [CrossRef]
- Rees, D.A. Shapely polysaccharides—The eighth colworth medal lecture. Biochem. J. 1972, 126, 257–273. [Google Scholar] [CrossRef] [PubMed] [Green Version]
- Alba, K.; Kontogiorgos, V. Seaweed Polysaccharides (Agar, Alginate Carrageenan). In Encyclopedia of Food Chemistry; Melton, L., Shahidi, F., Varelis, P., Eds.; Academic Press: Oxford, UK, 2019; pp. 240–250. [Google Scholar]
- Rotbart, M.; Neeman, I.; Nussinovitch, A.; Kopelman, I.J.; Cogan, U. The extraction of carrageenan and its effect on the gel texture. Int. J. Food Sci. Technol. 1988, 23, 591–599. [Google Scholar] [CrossRef]
- Hilliou, L.; Larotonda, F.D.S.; Abreu, P.; Ramos, A.M.; Sereno, A.M.; Gonçalves, M.P. Effect of extraction parameters on the chemical structure and gel properties of κ/ι-hybrid carrageenans obtained from Mastocarpus stellatus. Biomol. Eng. 2006, 23, 201–208. [Google Scholar] [CrossRef]
- Tako, M.; Nakamura, S.; Kohda, Y. Indicative evidence for a conformational transition in iota-carrageenan. Carbohydr. Res. 1987, 161, 247–255. [Google Scholar] [CrossRef]
- Bono, A.; Anisuzzaman, S.M.; Ding, O.W. Effect of process conditions on the gel viscosity and gel strength of semi-refined carrageenan (SRC) produced from seaweed (Kappaphycus alvarezii). J. King Saud Univ.-Eng. Sci. 2014, 26, 3–9. [Google Scholar] [CrossRef] [Green Version]
- Bui, V.; Nguyen, B.T.; Nicolai, T.; Renou, F. Mixed iota and kappa carrageenan gels in the presence of both calcium and potassium ions. Carbohydr. Polym. 2019, 223, 7. [Google Scholar] [CrossRef]
- Michel, A.S.; Mestdagh, M.M.; Axelos, M.A.V. Physico-chemical properties of carrageenan gels in presence of various cations. Int. J. Biol. Macromol. 1997, 21, 195–200. [Google Scholar] [CrossRef]
- Pereira, L.; Amado, A.M.; Critchley, A.T.; van de Velde, F.; Ribeiro-Claro, P.J.A. Identification of selected seaweed polysaccharides (phycocolloids) by vibrational spectroscopy (FTIR-ATR and FT-Raman). Food Hydrocoll. 2009, 23, 1903–1909. [Google Scholar] [CrossRef] [Green Version]
- Zhang, X.; Liu, X.; Cao, M.; Xia, K.; Zhang, Y. Preparation of hydroxypropyl agars and their properties. Carbohydr. Polym. 2015, 129, 87–91. [Google Scholar] [CrossRef] [PubMed]
- Wang, N.; Tian, J.; Wang, L.; Song, S.; Ai, C.; Janaswamy, S.; Wen, C. Fucoidan hydrogels induced by κ-carrageenan: Rheological, thermal and structural characterization. Int. J. Biol. Macromol. 2021, 191, 514–520. [Google Scholar] [CrossRef] [PubMed]
- Jones, D.S.; Woolfson, A.D.; Djokic, J.; Coulter, W.A. Development and mechanical characterization of bioadhesive semi-solid, polymeric systems containing tetracycline for the treatment of periodontal diseases. Pharm. Res. 1996, 13, 1734–1738. [Google Scholar] [CrossRef]
- Zhang, X.; Liu, X.; Xia, K.; Luan, J. Preparation of oxidized agar and characterization of its properties. Carbohydr. Polym. 2014, 112, 583–586. [Google Scholar] [CrossRef] [PubMed]
- Hilliou, L.; Larotonda, F.D.S.; Sereno, A.M.; Goncalves, M.P. Thermal and viscoelastic properties of kappa/iota-hybrid carrageenan gels obtained from the Portuguese seaweed Mastocarpus stellatus. J. Agric. Food Chem. 2006, 54, 7870–7878. [Google Scholar] [CrossRef] [PubMed]
- Yang, J.; Shen, M.Y.; Wu, T.; Luo, Y.; Li, M.Y.; Wen, H.L.; Xie, J.H. Role of salt ions and molecular weights on the formation of Mesona chinensis polysaccharide-chitosan polyelectrolyte complex hydrogel. Food Chem. 2020, 333, 11. [Google Scholar] [CrossRef] [PubMed]
- Hasanvand, E.; Rafe, A. Rheological and structural properties of rice bran protein-flaxseed (Linum usitatissimum L.) gum complex coacervates. Food Hydrocoll. 2018, 83, 296–307. [Google Scholar] [CrossRef]
- Wee, M.S.M.; Nurhazwani, S.; Tan, K.W.J.; Goh, K.K.T.; Sims, I.M.; Matia-Merino, L. Complex coacervation of an arabinogalactan-protein extracted from the Meryta sinclarii tree (puka gum) and whey protein isolate. Food Hydrocoll. 2014, 42, 130–138. [Google Scholar] [CrossRef]
- Michon, C.; Chapuis, C.; Langendorff, V.; Boulenguer, P.; Cuvelier, G. Structure evolution of carrageenan/milk gels: Effect of shearing, carrageenan concentration and nu fraction on rheological behavior. Food Hydrocoll. 2005, 19, 541–547. [Google Scholar] [CrossRef]
- Hesarinejad, M.A.; Koocheki, A.; Razavi, S.M.A. Dynamic rheological properties of Lepidium perfoliatum seed gum: Effect of concentration, temperature and heating/cooling rate. Food Hydrocoll. 2014, 35, 583–589. [Google Scholar] [CrossRef]
- Osano, J.P.; Hosseini-Parvar, S.H.; Matia-Merino, L.; Golding, M. Emulsifying properties of a novel polysaccharide extracted from basil seed (Ocimum bacilicum L.): Effect of polysaccharide and protein content. Food Hydrocoll. 2014, 37, 40–48. [Google Scholar] [CrossRef]
- Fontes-Candia, C.; Ström, A.; Gómez-Mascaraque, L.G.; López-Rubio, A.; Martínez-Sanz, M. Understanding nanostructural differences in hydrogels from commercial carrageenans: Combined small angle X-ray scattering and rheological studies. Algal Res. 2020, 47, 101882. [Google Scholar] [CrossRef]
- Yang, Z.; Yang, H.; Yang, H. Effects of sucrose addition on the rheology and microstructure of κ-carrageenan gel. Food Hydrocoll. 2018, 75, 164–173. [Google Scholar] [CrossRef]
- Liu, S.; Bao, H.; Li, L. Thermoreversible gelation and scaling laws for graphene oxide-filled κ-carrageenan hydrogels. Eur. Polym. J. 2016, 79, 150–162. [Google Scholar] [CrossRef]
- Li, S.; Li, Y.; Li, J. Thixotropy of magnetorheological gel composites: Experimental testing and modelling. Compos. Sci. Technol. 2021, 214, 108996. [Google Scholar] [CrossRef]
- Xiao, Q.; An, D.; Zhang, C.; Weng, H.F.; Zhang, Y.H.; Chen, F.Q.; Xiao, A.F. Agar quality promotion prepared by desulfation with hydrogen peroxide. Int. J. Biol. Macromol. 2020, 145, 492–499. [Google Scholar] [CrossRef]
- Zhang, C.; An, D.; Xiao, Q.; Weng, H.F.; Zhang, Y.H.; Yang, Q.M.; Xiao, A.F. Preparation, characterization, and modification mechanism of agar treated with hydrogen peroxide at different temperatures. Food Hydrocoll. 2020, 101, 9. [Google Scholar] [CrossRef]
- Plashchina, I.G.; Muratalieva, I.R.; Braudo, E.E.; Tolstoguzov, V.B. Studies of the gel formation of κ-carrageenan above the coil-helix transition-temperature range. Carbohydr. Polym. 1986, 6, 15–34. [Google Scholar] [CrossRef]
- Miao, M.; Li, R.; Jiang, B.; Cui, S.W.; Zhang, T.; Jin, Z.Y. Structure and physicochemical properties of octenyl succinic esters of sugary maize soluble starch and waxy maize starch. Food Chem. 2014, 151, 154–160. [Google Scholar] [CrossRef]
- Zhao, T.Y.; Yang, S.Q.; Hu, X.C.; Song, W.X.; Cai, J.W.; Xu, Q. Restraining effect of nitrogen on coal oxidation in different stages: Non-isothermal TG-DSC and EPR research. Int. J. Min. Sci. Technol. 2020, 30, 387–395. [Google Scholar] [CrossRef]
- Usov, A.I.; Shashkov, A.S. Polysaccharides of Algae. XXXIV: Detection of iota-Carrageenan in Phyllophora brodiaei (Turn.) J. Ag. (Rhodophyta) Using 13C-NMR Spectroscopy. Bot. Mar. 1985, 28, 367. [Google Scholar] [CrossRef]








| Physicochemical Property | Na-IC | Ca-IC | 
|---|---|---|
| Gel strength (g·cm−2) | 235.2 ± 12.2 b | 337.1 ± 25.9 a | 
| Sulfate content (%) | 27.0 ± 0.7 a | 26.7 ± 2.1 a | 
| 3,6-anhydro-d-galactose content (%) | 14.0 ± 0.7 b | 15.9 ± 0.6 a | 
| Whiteness (%) | 48.6 ± 0.4 b | 56.7 ± 0.3 a | 
| Viscosity (cP) | 50.8 ± 1.5 a | 25.4 ± 1.2 b | 
| Concentration (%, w/v) | Na-IC | Ca-IC | ||||
|---|---|---|---|---|---|---|
| K | n | R2 | K | n | R2 | |
| 0.2 | 0.8361 | 0.2139 | 0.9901 | 0.0152 | 0.6746 | 0.9944 | 
| 0.5 | 2.7746 | 0.2075 | 0.9955 | 0.0548 | 0.6226 | 0.9900 | 
| 1.0 | 5.1585 | 0.2032 | 0.9917 | 0.3356 | 0.5207 | 0.9953 | 
| 1.5 | 7.8100 | 0.1998 | 0.9906 | 0.8052 | 0.5048 | 0.9909 | 
| 2.0 | 8.5668 | 0.1822 | 0.9921 | 1.6499 | 0.4999 | 0.9905 | 
| Publisher’s Note: MDPI stays neutral with regard to jurisdictional claims in published maps and institutional affiliations. | 
© 2022 by the authors. Licensee MDPI, Basel, Switzerland. This article is an open access article distributed under the terms and conditions of the Creative Commons Attribution (CC BY) license (https://creativecommons.org/licenses/by/4.0/).
Share and Cite
Jiang, F.; Liu, Y.; Xiao, Q.; Chen, F.; Weng, H.; Chen, J.; Zhang, Y.; Xiao, A. Eco-Friendly Extraction, Structure, and Gel Properties of ι-Carrageenan Extracted Using Ca(OH)2. Mar. Drugs 2022, 20, 419. https://doi.org/10.3390/md20070419
Jiang F, Liu Y, Xiao Q, Chen F, Weng H, Chen J, Zhang Y, Xiao A. Eco-Friendly Extraction, Structure, and Gel Properties of ι-Carrageenan Extracted Using Ca(OH)2. Marine Drugs. 2022; 20(7):419. https://doi.org/10.3390/md20070419
Chicago/Turabian StyleJiang, Feng, Yao Liu, Qiong Xiao, Fuquan Chen, Huifen Weng, Jun Chen, Yonghui Zhang, and Anfeng Xiao. 2022. "Eco-Friendly Extraction, Structure, and Gel Properties of ι-Carrageenan Extracted Using Ca(OH)2" Marine Drugs 20, no. 7: 419. https://doi.org/10.3390/md20070419
APA StyleJiang, F., Liu, Y., Xiao, Q., Chen, F., Weng, H., Chen, J., Zhang, Y., & Xiao, A. (2022). Eco-Friendly Extraction, Structure, and Gel Properties of ι-Carrageenan Extracted Using Ca(OH)2. Marine Drugs, 20(7), 419. https://doi.org/10.3390/md20070419
 
         
                                                

 
       