Exploring Chemical Diversity of Phorbas Sponges as a Source of Novel Lead Compounds in Drug Discovery
Abstract
1. Introduction
2. Chemistry
2.1. Alkaloids
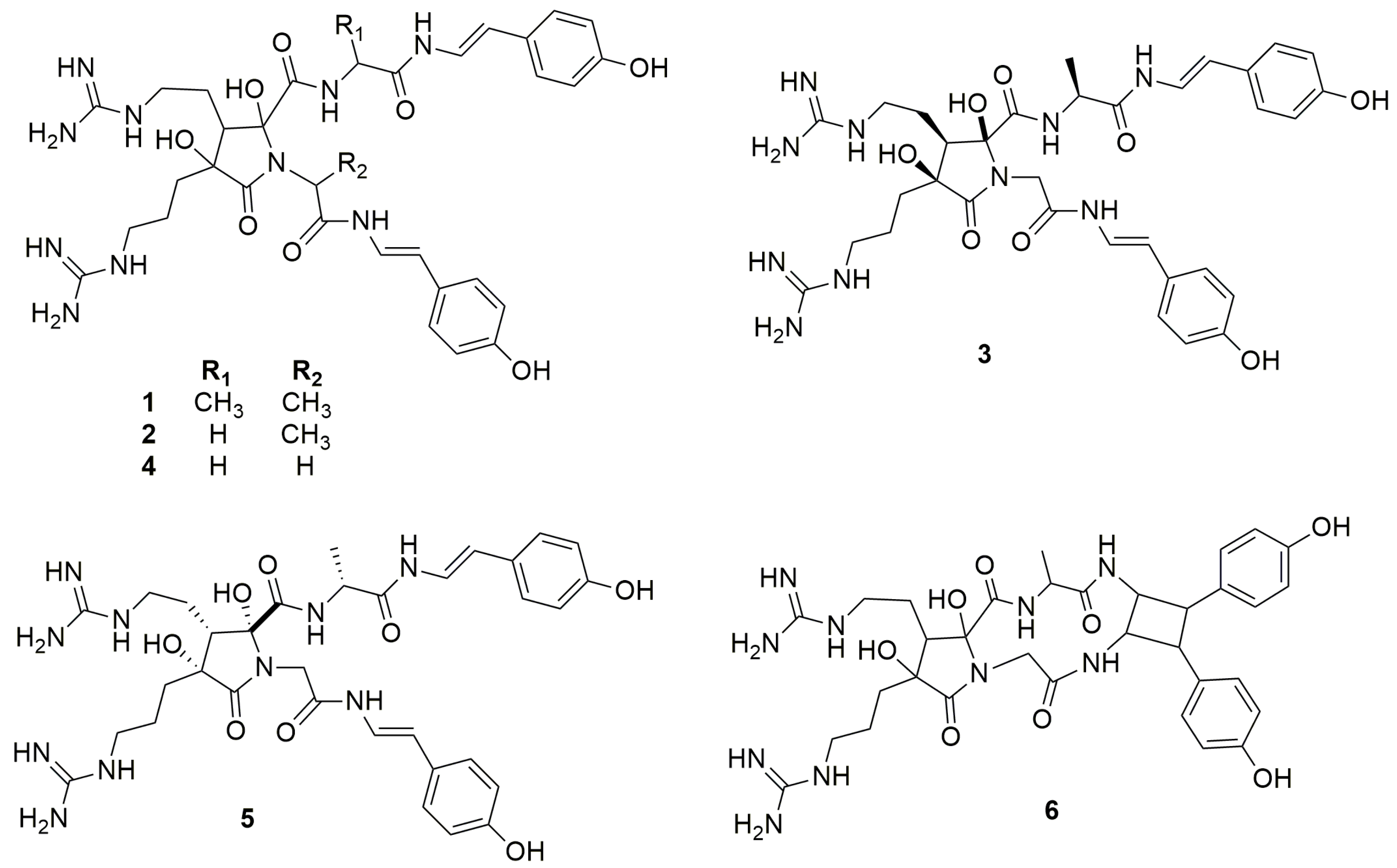
2.1.1. Anchinopeptolides
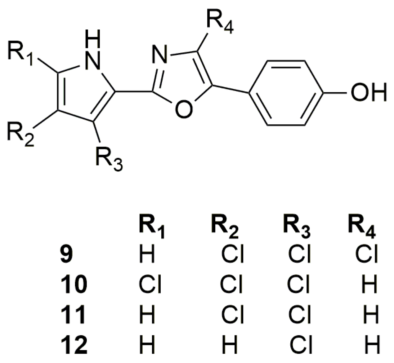
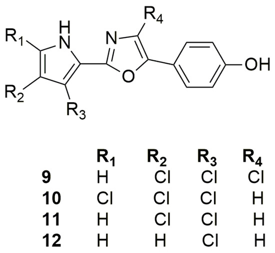
2.1.2. Phorbazoles
2.1.3. Zarzissine
2.1.4. Phorbatopsins
2.2. Macrolides
2.2.1. Phorboxazoles
2.2.2. Muironolides
2.2.3. Phorbasides
2.3. Steroids
2.3.1. Phorbasterones
2.3.2. Anthosterones
2.3.3. Amaroxocanes
2.3.4. Amaranzoles
2.4. Terpenoids
2.4.1. Sesterterpenoids
Phorbaketals
Alotaketals
Ansellones
Anvilones
Phorbadione
Phorbasones
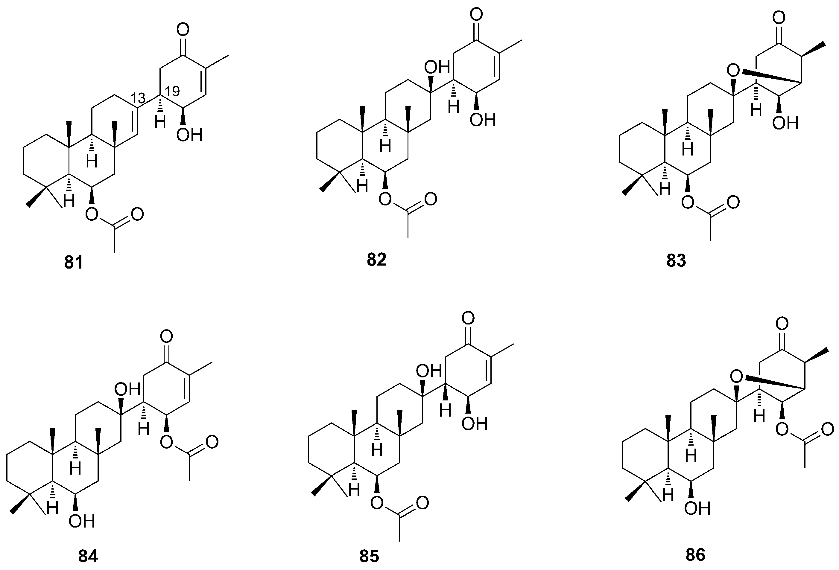
Suberitenones
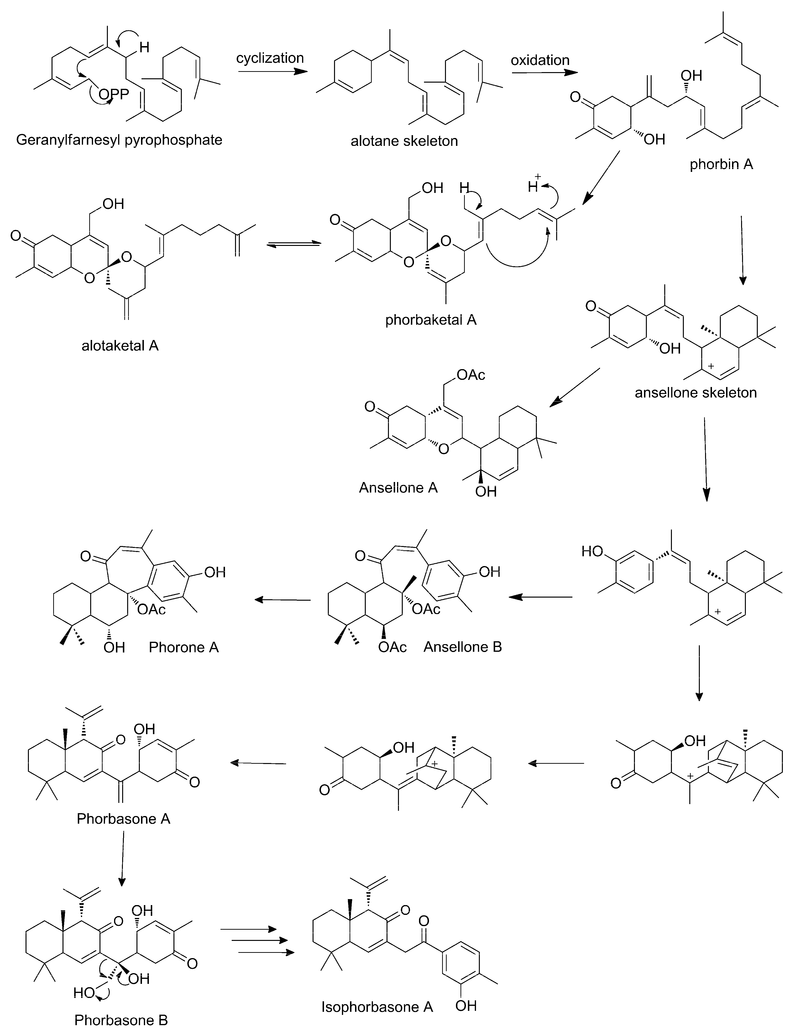
Putative Biosynthetic Pathway of Sesterterpenoids from Phorbas
2.4.2. Diterpenoids
Phorbasins
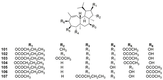
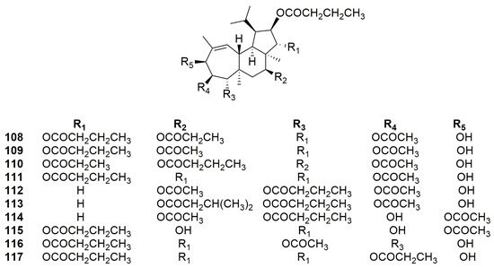
Gagunins
2.4.3. Tetraterpenoids
2.5. Miscellaneous
2.5.1. Other Compounds Identified from P. topsenti
2.5.2. Other Compounds Identified from P. amaranthus
3. Bioactivity of Compounds Isolated from Sponges of the Genus Phorbas
3.1. Cytotoxic and Cytostatic Activity
3.2. Other Biological Activities
4. Conclusions
Author Contributions
Funding
Institutional Review Board Statement
Informed Consent Statement
Conflicts of Interest
References
- Esposito, G.; Della Sala, G.; Teta, R.; Caso, A.; Bourguet-Kondracki, M.L.; Pawlik, J.R.; Mangoni, A.; Costantino, V. Chlorinated Thiazole-Containing Polyketide-Peptides from the Caribbean Sponge Smenospongia conulosa: Structure elucidation on microgram scale. Eur. J. Org. Chem. 2016, 2016, 2871–2875. [Google Scholar] [CrossRef]
- Britstein, M.; Devescovi, G.; Handley, K.M.; Malik, A.; Haber, M.; Saurav, K.; Teta, R.; Costantino, V.; Burgsdorf, I.; Gilbert, J.A.; et al. A new N-Acyl homoserine lactone synthase in an uncultured symbiont of the red sea sponge Theonella swinhoei. Appl. Environ. Microbiol. 2016, 82, 1274–1285. [Google Scholar] [CrossRef]
- Carroll, A.R.; Copp, B.R.; Davis, R.A.; Keyzers, R.A.; Prinsep, M.R. Marine natural products. Nat. Prod. Rep. 2020, 37, 175–223. [Google Scholar] [CrossRef]
- Varijakzhan, D.; Loh, J.Y.; Yap, W.S.; Yusoff, K.; Seboussi, R.; Lim, S.H.E.; Lai, K.S.; Chong, C.M. Bioactive compounds from marine sponges: Fundamentals and applications. Mar. Drugs 2021, 19, 246. [Google Scholar] [CrossRef]
- Thomas, T.; Moitinho-Silva, L.; Lurgi, M.; Björk, J.R.; Easson, C.; Astudillo-García, C.; Olson, J.B.; Erwin, P.M.; López-Legentil, S.; Luter, H.; et al. Diversity, structure and convergent evolution of the global sponge microbiome. Nat. Commun. 2016, 7, 11870. [Google Scholar] [CrossRef]
- Della Sala, G.; Hochmuth, T.; Costantino, V.; Teta, R.; Gerwick, W.; Gerwick, L.; Piel, J.; Mangoni, A. Polyketide genes in the marine sponge Plakortis simplex: A new group of mono-modular type I polyketide synthases from sponge symbionts. Environ. Microbiol. Rep. 2013, 5, 809–818. [Google Scholar] [CrossRef]
- Pita, L.; Rix, L.; Slaby, B.M.; Franke, A.; Hentschel, U. The sponge holobiont in a changing ocean: From microbes to ecosystems. Microbiome 2018, 6, 46. [Google Scholar] [CrossRef]
- Lemloh, M.-L.; Fromont, J.; Brümmer, F.; Usher, K.M. Diversity and abundance of photosynthetic sponges in temperate Western Australia. BMC Ecol. 2009, 9, 4. [Google Scholar] [CrossRef]
- Esposito, G.; Teta, R.; Marrone, R.; De Sterlich, C.; Casazza, M.; Anastasio, A.; Lega, M.; Costantino, V. A fast detection strategy for Cyanobacterial blooms and associated cyanotoxins (FDSCC) reveals the occurrence of lyngbyatoxin A in Campania (South Italy). Chemosphere 2019, 225, 342–351. [Google Scholar] [CrossRef]
- Teta, R.; Della Sala, G.; Esposito, G.; Stornaiuolo, M.; Scarpato, S.; Casazza, M.; Anastasio, A.; Lega, M.; Costantino, V. Monitoring cyanobacterial blooms during the COVID-19 pandemic in Campania, Italy: The case of lake avernus. Toxins 2021, 13, 471. [Google Scholar] [CrossRef]
- Teta, R.; Irollo, E.; Della Sala, G.; Pirozzi, G.; Mangoni, A.; Costantino, V. Smenamides A and B, chlorinated peptide/polyketide hybrids containing a dolapyrrolidinone unit from the Caribbean sponge Smenospongia aurea. Evaluation of their role as leads in antitumor drug research. Mar. Drugs 2013, 11, 4451–4463. [Google Scholar] [CrossRef]
- Caso, A.; Esposito, G.; Della Sala, G.; Pawlik, J.R.; Teta, R.; Mangoni, A.; Costantino, V. Fast detection of two smenamide family members using molecular networking. Mar. Drugs 2019, 17, 618. [Google Scholar] [CrossRef] [PubMed]
- Saurav, K.; Borbone, N.; Burgsdorf, I.; Teta, R.; Caso, A.; Bar-Shalom, R.; Esposito, G.; Britstein, M.; Steindler, L.; Costantino, V. Identification of quorum sensing activators and inhibitors in the marine sponge Sarcotragus spinosulus. Mar. Drugs 2020, 18, 127. [Google Scholar] [CrossRef]
- Elgoud Said, A.A.; Mahmoud, B.K.; Attia, E.Z.; Abdelmohsen, U.R.; Fouad, M.A. Bioactive natural products from marine sponges belonging to family Hymedesmiidae. RSC Adv. 2021, 11, 16179–16191. [Google Scholar] [CrossRef]
- Woolly, E.F.; Singh, A.J.; Russell, E.R.; Miller, J.H.; Northcote, P.T. Hamigerans R and S: Nitrogenous Diterpenoids from the New Zealand marine sponge Hamigera tarangaensis. J. Nat. Prod. 2018, 81, 387–393. [Google Scholar] [CrossRef] [PubMed]
- Thacker, R.W.; Hill, A.L.; Hill, M.S.; Redmond, N.E.; Collins, A.G.; Morrow, C.C.; Spicer, L.; Carmack, C.A.; Zappe, M.E.; Pohlmann, D.; et al. Nearly complete 28S rRNA gene sequences confirm new hypotheses of sponge evolution. Integr. Comp. Biol. 2013, 53, 373–387. [Google Scholar] [CrossRef] [PubMed]
- Evcen, A.; Çinar, M.E.; Zengin, M.; Süer, S.; Rüzgar, M. New records of five sponge species (Porifera) for the Black Sea. Zootaxa 2016, 4103, 267–275. [Google Scholar] [CrossRef]
- Huguenin, L.; Salani, S.; Lopes, M.F.; Albano, R.M.; Hajdu, E.; Esteves, E.L. Integrative taxonomy of hemimycale (hymedesmiidae: Poecilosclerida: Demospongiae) from southeastern Brazil, with the description of two new species. Zootaxa 2018, 4442, 137–152. [Google Scholar] [CrossRef]
- Angulo-Preckler, C.; Cid, C.; Oliva, F.; Avila, C. Antifouling activity in some benthic Antarctic invertebrates by “in situ” experiments at Deception Island, Antarctica. Mar. Environ. Res. 2015, 105, 30–38. [Google Scholar] [CrossRef] [PubMed]
- Koutsouveli, V.; Taboada, S.; Moles, J.; Cristobo, J.; Ríos, P.; Bertran, A.; Solà, J.; Avila, C.; Riesgo, A. Insights into the reproduction of some Antarctic dendroceratid, poecilosclerid, and haplosclerid demosponges. PLoS ONE 2018, 13, e192267. [Google Scholar] [CrossRef]
- Casapullo, A.; Finamore, E.; Minale, L.; Zollo, F. A dimeric peptide alkaloid of a completely new type, Anchinopeptolide A, from the marine sponge Anchinoe tenacior. Tetrahedron Lett. 1993, 34, 6297–6300. [Google Scholar] [CrossRef]
- Casapullo, A.; Minale, L.; Zollo, F.; Lavayre, J. Four new dimeric peptide alkaloids, anchinopeptolides B-D, and cycloanchinopeptolide C, congeners of anchinopeptolide A, from the mediterranean marine sponge Anchinoe tenacior. J. Nat. Prod. 1994, 57, 1227–1233. [Google Scholar] [CrossRef]
- Rudi, A.; Stein, Z.; Green, S.; Goldberg, I.; Kashman, Y.; Benayahu, Y.; Schleyer, M. Phorbazoles A-D, novel chlorinated phenylpyrrolyloxazoles from the marine sponge Phorbas aff. clathrata. Tetrahedron Lett. 1994, 35, 2589–2592. [Google Scholar] [CrossRef]
- Searle, P.A.; Molinski, T.F. Phorboxazoles A and B: Potent cytostatic macrolides from marine sponge Phorbas Sp. J. Am. Chem. Soc. 1995, 117, 8126–8131. [Google Scholar] [CrossRef]
- Dalisay, D.S.; Molinski, T.F. Structure elucidation at the nanomole scale. 2. Hemi-phorboxazole A from Phorbas sp. +. Org. Lett. 2009, 11, 1967–1970. [Google Scholar] [CrossRef] [PubMed]
- Nguyen, T.D.; Nguyen, X.C.; Longeon, A.; Keryhuel, A.; Le, M.H.; Kim, Y.H.; Chau, V.M.; Bourguet-Kondracki, M.L. Antioxidant benzylidene 2-aminoimidazolones from the Mediterranean sponge Phorbas topsenti. Tetrahedron 2012, 68, 9256–9259. [Google Scholar] [CrossRef]
- Morinaka, B.I.; Masuno, M.N.; Pawlik, J.R.; Molinski, T.F. Amaranzole A, a new N-imidazolyl steroid from Phorbas amaranthus. Org. Lett. 2007, 9, 5219–5222. [Google Scholar] [CrossRef] [PubMed]
- Morinaka, B.I.; Pawlik, J.R.; Molinski, T.F. Amaranzoles B–F, imidazole-2-carboxy steroids from the marine sponge Phorbas amaranthus. C24-N- And C24- O -analogues from a divergent oxidative biosynthesis. J. Org. Chem. 2010, 75, 2453–2460. [Google Scholar] [CrossRef] [PubMed]
- Park, S.Y.; Choi, H.; Hwang, H.; Kang, H.; Rho, J.R. Gukulenins A and B, cytotoxic tetraterpenoids from the marine sponge Phorbas gukulensis. J. Nat. Prod. 2010, 73, 734–737. [Google Scholar] [CrossRef]
- Jeon, J.E.; Liao, L.; Kim, H.; Sim, C.J.; Oh, D.C.; Oh, K.B.; Shin, J. Cytotoxic diterpenoid pseudodimers from the Korean sponge Phorbas gukhulensis. J. Nat. Prod. 2013, 76, 1679–1685. [Google Scholar] [CrossRef]
- Vuong, D.; Capon, R.J. Phorbasin A: A novel diterpene from a southern Australian marine sponge, Phorbas species. J. Nat. Prod. 2000, 63, 1684–1685. [Google Scholar] [CrossRef]
- Bastos Lemos Silva, S.; Beniddir, M.A.; Gallard, J.F.; Poupon, E.; Thomas, O.P.; Evanno, L. Chemical Insights into the Anchinopeptolide Series. Eur. J. Org. Chem. 2019, 2019, 5515–5518. [Google Scholar] [CrossRef]
- Casapullo, A.; Minale, L.; Zollo, F. The unique 6-(p-hydroxyphenyl)-2H-3,4-dihydro-1,1-dioxo-1,4-thiazine and the new tripeptide l-glu-gly-4-hydroxystirylamine from the marine sponge Anchinoe tenacior. Tetrahedron Lett. 1994, 35, 2421–2422. [Google Scholar] [CrossRef]
- Nuzzo, G.; Ciavatta, M.L.; Kiss, R.; Mathieu, V.; Leclercqz, H.; Manzo, E.; Villani, G.; Mollo, E.; Lefranc, F.; D’Souza, L.; et al. Chemistry of the nudibranch Aldisa andersoni: Structure and biological activity of phorbazole metabolites. Mar. Drugs 2012, 10, 1799–1811. [Google Scholar] [CrossRef]
- Guttormsen, Y.; Fairhurst, M.E.; Pandey, S.K.; Isaksson, J.; Haug, B.E.; Bayer, A. Total synthesis of phorbazole B. Molecules 2020, 25, 4848. [Google Scholar] [CrossRef]
- Radspieler, A.; Liebscher, J. Total synthesis of phorbazole C. Tetrahedron 2001, 57, 4867–4871. [Google Scholar] [CrossRef]
- Bouaicha, N.; Amade, P.; Fuel, D.; Roussakis, C. Zarzissine, a new cytotoxic guanidine alkaloid from the mediterranean sponge Anchinoe paupertas. J. Nat. Prod. 1994, 57, 1455–1457. [Google Scholar] [CrossRef]
- Vacelet, J.; Perez, T. Phorbas topsenti and Phorbas tailliezi (Demospongiae, Poecilosclerida), new names for the Mediterranean “Phorbas paupertas” and “Phorbas coriaceus”. Zootaxa 2008, 1873, 26–38. [Google Scholar] [CrossRef]
- Moyna, G.; Manta, E. Conformational analysis of phorboxazole bis-oxazole oxane fragment analogs by NMR spectroscopy and molecular modeling simulations. Magn. Reson. Chem. 2008, 46, 36–41. [Google Scholar]
- Dalisay, D.S.; Morinaka, B.I.; Skepper, C.K.; Molinski, T.F. A tetrachloro polyketide hexahydro-1H-isoindolone, muironolide A, from the marine sponge Phorbas sp. natural products at the nanomole scale. J. Am. Chem. Soc. 2009, 131, 7552–7553. [Google Scholar] [CrossRef]
- Zampella, A.; D’Auria, M.V.; Minale, L.; Debitus, C.; Roussakis, C. Callipeltoside A: A cytotoxic aminodeoxy sugar-containing macrolide of a new type from the marine Lithistida sponge Callipelta sp. J. Am. Chem. Soc. 1996, 118, 11085. [Google Scholar] [CrossRef]
- Costantino, V.; Fattorusso, E.; Imperatore, C.; Mangoni, A.; Teta, R. Terpioside from the marine sponge Terpios sp., the first glycosphingolipid having an L-fucofuranose unit. Eur. J. Org. Chem. 2008, 2130–2134. [Google Scholar] [CrossRef]
- Costantino, V.; Fattorusso, E.; Imperatore, C.; Mangoni, A.; Teta, R. Amphiceramide A and B, novel glycosphingolipids from the marine sponge Amphimedon compressed. Eur. J. Org. Chem. 2009, 13, 2112–2119. [Google Scholar] [CrossRef]
- MacMillan, J.B.; Guang, X.Z.; Skepper, C.K.; Molinski, T.F. Phorbasides A-E, cytotoxic chlorocyclopropane macrolide glycosides from the marine sponge Phorbas sp. CD determination of C-methyl sugar configurations. J. Org. Chem. 2008, 73, 3699–3706. [Google Scholar] [CrossRef] [PubMed]
- Paterson, I.; Paquet, T. Total synthesis and configurational validation of (+)-phorbaside A. Org. Lett. 2010, 12, 2158–2161. [Google Scholar] [CrossRef] [PubMed]
- Dalisay, D.S.; Molinski, T.F. NMR quantitation of natural products at the nanomole scale. J. Nat. Prod. 2009, 72, 739–744. [Google Scholar] [CrossRef]
- Dalisay, D.S.; Molinski, T.F. Structure elucidation at the nanomole scale. 3. phorbasides G-I from Phorbas sp. J. Nat. Prod. 2010, 73, 679–682. [Google Scholar] [CrossRef] [PubMed]
- Masuno, M.N.; Pawlik, J.R.; Molinski, T.F. Phorbasterones A-D, Cytotoxic Nor-Ring A Steroids from the Sponge Phorbas amaranthus. J. Nat. Prod. 2004, 67, 731–733. [Google Scholar] [CrossRef]
- Tischler, M.; Ayer, S.W.; Andersen, R.J.; Mitchell, J.F.; Clardy, J. Anthosterones A and B, ring A contracted steroids from the sponge Anthoracuata graceae. Can. J. Chem. 1988, 66, 1173–1178. [Google Scholar] [CrossRef]
- Morinaka, B.I.; Pawlik, J.R.; Molinski, T.F. Amaroxocanes A and B: Sulfated dimeric sterols defend the caribbean coral reef sponge Phorbas amaranthus from fish predators. J. Nat. Prod. 2009, 72, 259–264. [Google Scholar] [CrossRef] [PubMed]
- Nahar, L.; Sarker, S.D. Steroid Dimers; Wiley: Hoboken, NJ, USA, 2012; ISBN 9781119972853. [Google Scholar]
- Rho, J.R.; Hwang, B.S.; Sim, C.J.; Joung, S.; Lee, H.Y.; Kim, H.J. Phorbaketals A, B, and C, sesterterpenoids with a spiroketal of hydrobenzopyran moiety isolated from the marine sponge Phorbas sp. Org. Lett. 2009, 11, 5590–5593. [Google Scholar] [CrossRef] [PubMed]
- Lee, Y.; Wang, W.; Kim, H.; Giri, A.G.; Won, D.H.; Hahn, D.; Baek, K.R.; Lee, J.; Yang, I.; Choi, H.; et al. Phorbaketals L-N, cytotoxic sesterterpenoids isolated from the marine sponge of the genus Phorbas. Bioorganic Med. Chem. Lett. 2014, 24, 4095–4098. [Google Scholar] [CrossRef] [PubMed]
- Wang, W.; Mun, B.; Lee, Y.; Reddy, M.V.; Park, Y.; Lee, J.; Kim, H.; Hahn, D.; Chin, J.; Ekins, M.; et al. Bioactive sesterterpenoids from a Korean sponge Monanchora sp. J. Nat. Prod. 2013, 76, 170–177. [Google Scholar] [CrossRef] [PubMed]
- Forestieri, R.; Merchant, C.E.; De Voogd, N.J.; Matainaho, T.; Kieffer, T.J.; Andersen, R.J. Alotaketals A and B, sesterterpenoids from the marine sponge hamigera species that activate the camp cell signaling pathway. Org. Lett. 2009, 11, 5166–5169. [Google Scholar] [CrossRef]
- Daoust, J.; Chen, M.; Wang, M.; Williams, D.E.; Chavez, M.A.G.; Wang, Y.A.; Merchant, C.E.; Fontana, A.; Kieffer, T.J.; Andersen, R.J. Sesterterpenoids isolated from a northeastern pacific Phorbas sp. J. Org. Chem. 2013, 78, 8267–8273. [Google Scholar] [CrossRef]
- Wang, M.; Tietjen, I.; Chen, M.; Williams, D.E.; Daoust, J.; Brockman, M.A.; Andersen, R.J. Sesterterpenoids isolated from the Sponge Phorbas sp. activate latent HIV-1 provirus expression. J. Org. Chem. 2016, 81, 11324–11334. [Google Scholar] [CrossRef] [PubMed]
- Zhang, F.M.; Zhang, S.Y.; Tu, Y.Q. Recent progress in the isolation, bioactivity, biosynthesis, and total synthesis of natural spiroketals. Nat. Prod. Rep. 2018, 35, 75–104. [Google Scholar] [CrossRef]
- Cheng, H.; Zhang, Z.; Yao, H.; Zhang, W.; Yu, J.; Tong, R. Unified asymmetric total syntheses of (−)-Alotaketals A-D and (−)-Phorbaketal A. Angew. Chem. 2017, 129, 9224–9228. [Google Scholar] [CrossRef]
- Lee, J.; Kim, J.; Lee, H.Y. Au(I)-Catalyzed Cyclization of epoxyalkynes to allylic alcohol containing spiroketals and application to the total synthesis of (-)-Alotaketal A. Org. Lett. 2020, 22, 4073–4077. [Google Scholar] [CrossRef]
- Yao, H.; Zhou, N.; Zhang, Z.; Guan, W.; Wang, H.; Cheng, H. Recent developments in syntheses of alotaketals and phorbaketals. Tetrahedron Lett. 2020, 61, 151480. [Google Scholar] [CrossRef]
- Daoust, J.; Fontana, A.; Merchant, C.E.; De Voogd, N.J.; Patrick, B.O.; Kieffer, T.J.; Andersen, R.J. Ansellone A, a sesterterpenoid isolated from the nudibranch cadlina luteromarginata and the sponge Phorbas sp., activates the cAMP signaling pathway. Org. Lett. 2010, 12, 3208–3211. [Google Scholar] [CrossRef]
- Zhang, W.; Yao, H.; Yu, J.; Zhang, Z.; Tong, R. Total syntheses of Sesterterpenoid ansellones A and B, and Phorbadione. Angew. Chem. Int. Ed. 2017, 56, 4787–4791. [Google Scholar] [CrossRef] [PubMed]
- Yanagihara, M.; Murai, K.; Kishimoto, N.; Abe, T.; Misumi, S.; Arisawa, M. Total synthesis and biological evaluation of the potent HIV latency-reversing agent Ansellone A and its analogues. Org. Lett. 2021, 23, 1720–1725. [Google Scholar] [CrossRef] [PubMed]
- Rho, J.R.; Hwang, B.S.; Joung, S.; Byun, M.R.; Hong, J.H.; Lee, H.Y. Phorbasones A and B, sesterterpenoids isolated from the marine sponge Phorbas sp. and induction of osteoblast differentiation. Org. Lett. 2011, 13, 884–887. [Google Scholar] [CrossRef] [PubMed]
- Wang, W.; Lee, Y.; Lee, T.G.; Mun, B.; Giri, A.G.; Lee, J.; Kim, H.; Hahn, D.; Yang, I.; Chin, J.; et al. Phorone A and isophorbasone A, sesterterpenoids isolated from the marine sponge Phorbas sp. Org. Lett. 2012, 14, 4486–4489. [Google Scholar] [CrossRef] [PubMed]
- Solanki, H.; Angulo-Preckler, C.; Calabro, K.; Kaur, N.; Lasserre, P.; Cautain, B.; de la Cruz, M.; Reyes, F.; Avila, C.; Thomas, O.P. Suberitane sesterterpenoids from the Antarctic sponge Phorbas areolatus (Thiele, 1905). Tetrahedron Lett. 2018, 59, 3353–3356. [Google Scholar] [CrossRef]
- McNally, M.; Capon, R.J. Phorbasin B and C: Novel diterpenes from a Southern Australian marine sponge, Phorbas species. J. Nat. Prod. 2001, 64, 645–647. [Google Scholar] [CrossRef]
- Macklin, T.K.; Micalizio, G.C. Total synthesis and structure elucidation of (+)-phorbasin C. J. Am. Chem. Soc. 2009, 131, 1392–1393. [Google Scholar] [CrossRef]
- Zhang, H.; Capon, R.J. Phorbasins D-F: Diterpenyl-taurines from a Southern Australian marine sponge, Phorbas sp. Org. Lett. 2008, 10, 1959–1962. [Google Scholar] [CrossRef]
- Lee, H.S.; Park, S.Y.; Sim, C.J.; Rho, J.R. Phorbasins G-I: Three new diterpenoids from the sponge Phorbas gukulensis. Chem. Pharm. Bull. 2008, 56, 1198–1200. [Google Scholar] [CrossRef][Green Version]
- Takahashi, K.; Ogura, Y.; Kuse, M.; Takikawa, H. First synthesis and absolute configuration of phorbasin H, a diterpene carboxylic acid isolated from the sponge Phorbas gukulensis. Biosci. Biotechnol. Biochem. 2019, 83, 2198–2201. [Google Scholar] [CrossRef]
- Do Amaral, B.S.; da Silva, F.B.; Leme, G.M.; Schmitz, L.S.S.; Jimenez, P.C.; Martins, R.C.C.; Cass, Q.B.; Valverde, A.L. Integrated analytical workflow for chromatographic profiling and metabolite annotation of a cytotoxic Phorbas amaranthus extract. J. Chromatogr. B Anal. Technol. Biomed. Life Sci. 2021, 1174, 122720. [Google Scholar] [CrossRef] [PubMed]
- Zhang, H.; Major, J.M.; Lewis, R.J.; Capon, R.J. Phorbasins G-K: New cytotoxic diterpenes from a southern Australian marine sponge, Phorbas sp. Org. Biomol. Chem. 2008, 6, 3811–3815. [Google Scholar] [CrossRef] [PubMed]
- Rho, J.R.; Lee, H.S.; Sim, C.J.; Shin, J. Gagunins, highly oxygenated diterpenoids from the sponge Phorbas sp. Tetrahedron 2002, 58, 9585–9591. [Google Scholar] [CrossRef]
- Kyoung, H.J.; Jeon, J.E.; Ryu, S.; Lee, H.S.; Oh, K.B.; Shin, J. Polyoxygenated diterpenes from the sponge Phorbas sp. J. Nat. Prod. 2008, 71, 1701–1707. [Google Scholar] [CrossRef]
- Tymann, D.; Bednarzick, U.; Iovkova-Berends, L.; Hiersemann, M. Progress toward the Total Synthesis of Gukulenin A: Photochemically Triggered Two-Carbon Ring Expansion Key to α-Tropolonic Ether Synthesis. Org. Lett. 2018, 20, 4072–4076. [Google Scholar] [CrossRef]
- Wang, M.; Carver, J.J.; Phelan, V.V.; Sanchez, L.M.; Garg, N.; Peng, Y.; Duy Nguyen, D.; Watrous, J.; Kapono, C.A.; Luzzatto-Knaan, T.; et al. Sharing and community curation of mass spectrometry data with global natural products social molecular networking. Nat. Publ. Gr. 2016, 34, 828–837. [Google Scholar] [CrossRef]
- Hamed, I.; Özogul, F.; Özogul, Y.; Regenstein, J.M. Marine bioactive compounds and their health benefits: A review. Compr. Rev. Food Sci. Food Saf. 2015, 14, 446–465. [Google Scholar] [CrossRef]
- Ahn, J.H.; Woo, J.H.; Rho, J.R.; Choi, J.H. Anticancer activity of gukulenin a isolated from the marine sponge Phorbas gukhulensis in vitro and in vivo. Mar. Drugs 2019, 17, 126. [Google Scholar] [CrossRef]
- Xiao, Q.; Young, K.; Zakarian, A. Total synthesis and structural revision of (+)-Muironolide A. J. Am. Chem. Soc. 2015, 137, 5907–5910. [Google Scholar] [CrossRef]
- Seo, Y.J.; Lee, K.T.; Rho, J.R.; Choi, J.H. Phorbaketal A, isolated from the marine sponge Phorbas sp., exerts its anti-inflammatory effects via NF-κB inhibition and heme oxygenase-1 activation in lipopolysaccharide-stimulated macrophages. Mar. Drugs 2015, 13, 7005–7019. [Google Scholar] [CrossRef] [PubMed]
- Byun, M.R.; Lee, C.H.; Hwang, J.H.; Kim, A.R.; Moon, S.A.; Sung, M.K.; Roh, J.-R.; Hwang, E.S.; Hong, J.-H. Phorbaketal A inhibits adipogenic differentiation through the suppression of PPARγ-mediated gene transcription by TAZ. Eur. J. Pharmacol. 2013, 718, 181–187. [Google Scholar] [CrossRef] [PubMed]
- Byun, M.R.; Kim, A.R.; Hwang, J.H.; Sung, M.K.; Lee, Y.K.; Hwang, B.S.; Rho, J.R.; Hwang, E.S.; Hong, J.H. Phorbaketal A stimulates osteoblast differentiation through TAZ mediated Runx2 activation. FEBS Lett. 2012, 586, 1086–1092. [Google Scholar] [CrossRef] [PubMed]
- Angulo-Preckler, C.; San Miguel, O.; García-Aljaro, C.; Avila, C. Antibacterial defenses and palatability of shallow-water Antarctic sponges. Hydrobiologia 2018, 806, 123–138. [Google Scholar] [CrossRef]
- Lee, S.H.; Jeon, J.E.; Ahn, C.H.; Chung, S.C.; Shin, J.; Oh, K.B. Inhibition of yeast-to-hypha transition in Candida albicans by phorbasin H isolated from Phorbas sp. Appl. Microbiol. Biotechnol. 2013, 97, 3141–3148. [Google Scholar] [CrossRef]
- Lee, H.Y.; Jang, E.J.; Bae, S.Y.; Jeon, J.E.; Park, H.J.; Shin, J.; Lee, S.K. Anti-melanogenic activity of gagunin D, a highly oxygenated diterpenoid from the marine sponge Phorbas sp., via modulating tyrosinase expression and degradation. Mar. Drugs 2016, 14, 212. [Google Scholar] [CrossRef] [PubMed]
- Vijayan, R.; Subbarao, N.; Manoharan, N. Discovery of marine sponge compound as promising inhibitor for Macrophage Infectivity Potentiator (Mip) protein against Chlamydia pneumoniae. Int. J. Biosci. Biochem. Bioinform. 2015, 5, 202–210. [Google Scholar] [CrossRef][Green Version]
- Costantini, S.; Guerriero, E.; Teta, R.; Capone, F.; Caso, A.; Sorice, A.; Romano, G.; Ianora, A.; Ruocco, N.; Budillon, A.; et al. Evaluating the effects of an organic extract from the mediterranean sponge Geodia cydonium on human breast cancer cell lines. Int. J. Mol. Sci. 2017, 18, 2112. [Google Scholar] [CrossRef]
- Teta, R.; Della Sala, G.; Esposito, G.; Via, C.W.; Mazzoccoli, C.; Piccoli, C.; Bertin, M.J.; Costantino, V.; Mangoni, A. A joint molecular networking study of a: Smenospongia sponge and a cyanobacterial bloom revealed new antiproliferative chlorinated polyketides. Org. Chem. Front. 2019, 6, 1762–1774. [Google Scholar] [CrossRef]






































| Name | Class | Species | Cell Lines | Dose/Concentration | Reference | |
|---|---|---|---|---|---|---|
| 13 | Zarzissine | Alkaloid | Phorbas tenacior | P-388 a | IC50 12 µg/mL | [37] |
| KB b | IC50 5 µg/mL | |||||
| NSCLC-N6 c | IC50 10 µg/mL | |||||
| 17 | Phorboxazole A | Macrolide | Phorbas sp. | HCT-116 d | GI50 4.36 × 10−10 M | [24] |
| HT29 d | GI50 3.31 × 10−10 M | |||||
| 19 | Muironolide A | Macrolide | Phorbas sp. | HCT-116 d | IC50 96.5 μg/mL | [40] |
| 20 | Phorbaside A | Macrolide | Phorbas sp. | HCT-116 d | IC50 30.0 μM | [44] |
| 22 | Phorbaside C | Macrolide | Phorbas sp. | HCT-116 d | IC50 2 μM | [44] |
| 23 | Phorbaside D | Macrolide | Phorbas sp. | HCT-116 d | IC50 61.9 μM | [44] |
| 24 | Phorbaside E | Macrolide | Phorbas sp. | HCT-116 d | IC50 10.2 μM | [44] |
| 29 | Phorbasterone A | Steroid | Phorbas amaranthus | HCT-116 d | IC50 1–3 µg/mL | [48,73] |
| 30 | Phorbasterone B | Steroid | Phorbas amaranthus | HCT-116 d | IC50 1–3 µg/mL | [48,73] |
| 31–32 | Phorbasterone C | Steroid | Phorbas amaranthus | HCT-116 d | IC50 1–3 µg/mL | [48,73] |
| 33–34 | Phorbasterone D | Steroid | Phorbas amaranthus | HCT-116 d | IC50 1–3 µg/mL | [48,73] |
| 45 | Phorbaketal A | Sesterterpenoid | Phorbas sp. | A549 c | IC50 11–12 µg mL−1 | [52,54] |
| HT-29 d | IC50 11–12 µg mL−1 | |||||
| HepG2 e | IC50 11–12 µg mL−1 | |||||
| 46 | Phorbaketal B | Sesterterpenoid | Phorbas sp. | A549 c | IC50 12–460 µg/mL | [52,54] |
| HT-29 d | IC50 12–460 µg/mL | |||||
| HepG2 e | IC50 12–460 µg/mL | |||||
| 47 | Phorbaketal C | Sesterterpenoid | Phorbas sp. | A549 c | IC50 12–460 µg/mL | [52,54] |
| HT-29 d | IC50 12–460 µg/mL | |||||
| HepG2 e | IC50 12–460 µg/mL | |||||
| HT-29 d | LG50 5–15 μM | |||||
| 50 | Phorbaketal N | Sesterterpenoid | Phorbas sp. | PANC-1 f | IC50 11.4 µM | [53] |
| A498 g | IC50 18.7 µM | |||||
| ACHN g | LC50 24.4 µM | |||||
| 84 | Isosuberitenone B | Sesterterpenoid | Phorbas areolatus | A549 c | IC50 8.8 μM | [67] |
| HT-29 d | IC50 9.0 μM | |||||
| HepG2 e | IC50 7.4 μM | |||||
| MCF-7 h | IC50 8.8 μM | |||||
| 85 | 19-episuberitenone B | Sesterterpenoid | Phorbas areolatus | A549 c | IC50 5.1 μM | [67] |
| HT-29 d | IC50 6.4 μM | |||||
| HepG2 e | IC50 5.0 μM | |||||
| MCF-7 h | IC50 5.1 μM | |||||
| 88 | Phorbasin B | Diterpene | Phorbas sp. | A549 c | LG50 5–15 μM | [70] |
| HT-29 d | LG50 5–15 μM | |||||
| 89 | Phorbasin C | Diterpene | Phorbas sp. | A549 c | LG50 5–15 μM | [70] |
| HT-29 d | LG50 5–15 μM | |||||
| 91 | Phorbasin E | Terpenyl-taurine | Phorbas sp. | A549 c | LG50 5–15 μM | [70] |
| HT-29 d | LG50 5–15 μM | |||||
| 101 | Gagunin A | Diterpenoid | Phorbas sp. | K-562 a | LC50 50.1 µg/mL | [75] |
| 102 | Gagunin B | Diterpenoid | Phorbas sp. | K-562 a | LC50 10.4 µg/mL | [75] |
| 103 | Gagunin C | Diterpenoid | Phorbas sp. | K-562 a | LC50 0.71 µg/mL | [75] |
| 104 | Gagunin D | Diterpenoid | Phorbas sp. | K-562 a | LC50 0.13 µg/mL | [75] |
| 105 | Gagunin E | Diterpenoid | Phorbas sp. | K-562 a | LC50 0.03 µg/mL | [75] |
| 106 | Gagunin F | Diterpenoid | Phorbas sp. | K-562 a | LC50 0.11 µg/mL | [75] |
| 107 | Gagunin G | Diterpenoid | Phorbas sp. | K-562 a | LC50 2.0 µg/mL | [75] |
| 108 | Gagunin H | Diterpenoid | Phorbas sp. | K-562 a | LC50 10.0 µg/mL | [76] |
| 109 | Gagunin I | Diterpenoid | Phorbas sp. | K-562 a | LC50 11.5 µg/mL | [76] |
| 110 | Gagunin J | Diterpenoid | Phorbas sp. | K-562 a | LC50 9.1 µg/mL | [76] |
| 111 | Gagunin K | Diterpenoid | Phorbas sp. | K-562 a | LC50 17.5 µg/mL | [76] |
| 112 | Gagunin L | Diterpenoid | Phorbas sp. | K-562 a | LC50 12.5 µg/mL | [76] |
| 113 | Gagunin M | Diterpenoid | Phorbas sp. | K-562 a | LC50 0.71 µg/mL | [76] |
| 114 | Gagunin N | Diterpenoid | Phorbas sp. | K-562 a | LC50 > 50 µg/mL | [76] |
| 115 | Gagunin O | Diterpenoid | Phorbas sp. | K-562 a | LC50 11.1 µg/mL | [76] |
| 116 | Gagunin P | Diterpenoid | Phorbas sp. | K-562 a | LC50 8.5 µg/mL | [76] |
| 117 | Gagunin Q | Diterpenoid | Phorbas sp. | K-562 a | LC50 > 50 µg/mL | [76] |
| 118 | Gukulenin A | tetraterpenoid | Phorbas gukulensis | HCT-116 d | IC50 62 nM | [30] |
| FaDu b | IC50 57 nM | |||||
| SN12C g | IC50 92 nM | |||||
| MKN45 j | IC50 0.13 nM | |||||
| TOVG-21G i | IC50 0.04 μM | [80] | ||||
| OVCAR-3 i | IC50 0.13 μM | |||||
| A2780 i | IC50 0.03 μM | |||||
| SKOV3 i | IC50 0.36 μM | |||||
| 119 | Gukulenin B | tetraterpenoid | Phorbas gukulensis | HCT-116 d | IC50 0.55 μM | [30] |
| A2780 i | ||||||
| FaDu b | IC50 0.63 μM | |||||
| SN12C g | IC50 0.61 μM | |||||
| MKN45 j | IC50 0.72 μM | |||||
| 123 | Gukulenin F | Tetraterpenoid | Phorbas gukulensis | K-562 a | LC50 0.4 µM | [30] |
| FaDu b | IC50 0.63 μM | |||||
| SN12C g | IC50 0.61 μM | |||||
| MKN45 j | IC50 0.72 μM |
| Compound | Class | Species | Biological Activity | Dose/Concentration | Reference | |
|---|---|---|---|---|---|---|
| 1 | Anchinopeptolide A | Alkaloid | P. tenacior | Displacement of specific ligands from their biochemical receptors | 5 µg/mL-average inhibition values roughly 35–40% in all receptor binding | [21,22] |
| 2 | Anchinopeptolide B | Alkaloid | P. tenacior | Displacement of specific ligands from their biochemical receptors | 5 µg/mL-71% human B2 bradykinin receptor; 80% neuropeptide Y receptor | [21,22] |
| 3 | Anchinopeptolide C | Alkaloid | P. tenacior | Displacement of specific ligands from their biochemical receptors | 5 µg/mL-62% somatostatin receptor; 52% human B2 bradykinin receptor; 57% neuropeptide Y receptor | [21,22] |
| 4 | Anchinopeptolide D | Alkaloid | P. tenacior | Displacement of specific ligands from their biochemical receptors | 5 µg/mL-77% somatostatin receptor | [21,22] |
| 13 | Zarzissine | Alkaloid | P. topsenti | Antimicrobial | Paper disk agar-(100 µg, purified product) 12,10, and 11 mm | [37] |
| 14 | p-Hydroxybenzaldehyde | Alkaloid | P. topsenti | Antimicrobial | Paper disk agar-(100 µg, purified product) 8,7, and 7 mm | [37] |
| 14 | Phorbatopsin A | Alkaloid | P. topsenti | Antioxidant | ORACFL 0.88 ± 0.28 | [26] |
| 15 | Phorbatopsin B | Alkaloid | P. topsenti | Antioxidant | ORACFL 0.50 ± 0.08 | [26] |
| 16 | Phorbatopsin C | Alkaloid | P. topsenti | Antioxidant | ORACFL 0.21 ± 0.02 | [26] |
| 17 | Phorboxazole A | Macrolide | Phorbas sp. | Antifungal | Agar disk diffusion assay-C. albicans: 12 mm (1 µg) and 9 mm (0.1 µg); Saccharomyces carlsbergensis: 1, 20 mm (1 µg), and 13 mm (0.1 µg) | [24] |
| 18 | Phorboxazole B | Macrolide | Phorbas sp. | Antifungal | Agar disk diffusion assay-C. albicans: 11 mm (1 µg) and 8 mm (0.1 µ g); Saccharomyces carlsbergensis: 1, 16 mm (1 µg), and 10 mm (0.1 µg) | [24] |
| 19 | Muironolide A | Macrolide | Phorbas sp. | Antifungal | MIC 16 μg/mL | [40] |
| 22 | Phorbaside C | Macrolide | Phorbas sp. | Macrophage infectivity potentiator (Mip) | Binding affinity of 75 with Chlamydia pneumoniae | [88] |
| 37 | Amaroxocane A | Steroid | P.amaranthus | Anti-predatory activity | Little feeding deterrence (8/10 pellets eaten) | [50] |
| 38 | Amaroxocane B | Steroid | P. amaranthus. | Anti-predatory activity | Significant deterrent activity (3/10 pellets eaten) | [50] |
| 45 | Phorbaketal A | Sesterterpenoid | Phorbas sp. | Osteogenic differentiation Anti-inflammatory | Phorbaketal A stimulates TAZ-mediated osteoblast differentiation through the activation of extracellular signal-regulated kinase (1–10 µg/mL) Dose dependent inhibition of LPS-induced production of inflammatory cytokines and the transcriptional activity NF-κB (2.5, 5, and 10 μM) and adipocyte differentiation through transcriptional coactivator with PDZ-binding motif (1–10 µg/mL) | [84] [82,83] |
| 60 | Alotaketal A | Sesterterpenoid | Phorbas sp. | cAMP signaling activation | cAMP cell signaling pathway-EC50 of 18 nM | [55] |
| 61 | Alotaketal B | Sesterterpenoid | Phorbas sp. | cAMP signaling activation | cAMP cell signaling pathway-EC50 of 240 nM | [55] |
| 62 | Alotaketal C | Sesterterpenoid | Phorbas sp. | Latency-reversing agent (LRA) | HIV-1 provirus/GFP expression of J-Lat 9.2 cells-1 μM | [56,57,78] |
| 63 | Alotaketal D | Sesterterpenoid | Phorbas sp. | Latency-reversing agent (LRA) | HIV-1 provirus/GFP expression of J-Lat 9.2 cells-30 μM | [56,57,78] |
| 65 | Ansellone A | Sesterterpenoid | Phorbas sp. | cAMP signaling activation Latency-reversing agent (LRA)cAMP activator | cAMP cell signaling pathway-EC50 of 14 µM HIV-1 provirus/GFP expression of J-Lat 9.2 cells-30 μM | [57,62] |
| 66 | Ansellone B | Sesterterpenoid | Phorbas sp. | Inhibition of inducible NOS (iNOS) | RAW 264.7 LPS-activated mouse macrophage cells-IC50 = f 4.5 μM, | [66] |
| 73 | Anvilone A | Sesterterpenoid | Phorbas sp. | Latency-reversing agent (LRAs) | HIV-1 provirus/GFP expression of J-Lat 9.2 cells-30 μM | [57] |
| 76 | Phorbasone A | Sesterterpenoid | Phorbas sp. | Osteogenic properties | Calcium deposition effect at a concentration of 0.5 μg/mL | [65] |
| 79 | Phorbasone A acetate | Sesterterpenoid | Phorbas sp. | Inhibition of inducible NOS (iNOS) | Inhibitory activity on NOS in RAW 264.7 LPS-activated mouse macrophage cells-IC50 = 2.8 μM | [66] |
| 83 | Oxaspirosuberitenone | Sesterterpenoids | P. areolatus | Antimicrobial | Activity against MRSA at the highest concentration tested (160 µM) | [67] |
| 94 | Phorbasin H | Diterpenoid | Phorbas sp. | Antifungal | Suppression of the hyphal development of C. albicans (250 μg/mL) | [86] |
| 93–95 | Phorbasins | Diterpenoid | Phorbas sp. | Antifungal | EtOH extract-growth inhibitory activity against the gram-positive bacteria Staphylococcus aureus and Micrococcus luteus–Concentration: N/A | [68,69] |
| 104 | Gagunin D | Diterpenoid | Phorbas sp. | Anti-melanogenic | IC50 = 5.7 µg/mL; 10 µM on UVB irradiated human skin models demonstrated a considerable reduction melanin biosynthesis | [87] |
| 101–117 | Gagunins | Diterpenoid | Phorbas sp. | Isocitrate lyase (ICL) inhibition | LC50 of 55–140 µg/mL | [76] |
| 125 | Astaxanthin | Carotenoid | P. topsenti | Antioxidant | ORACFL 0.22 ± 0.02 | [26] |
| 126 | Adonirubin | Carotenoid | P. topsenti | Antioxidant | ORACFL 0.024 ± 0.001 | [26] |
| 127 | Taurine | Sulfonic acid | P. topsenti | Antioxidant | ORACFL 0.083 ± 0.013 | [26] |
| 128 | Taurobetaine | Sulfonic acid | P. topsenti | Antioxidant | ORACFL 00.019 ± 0.002 | [26] |
Publisher’s Note: MDPI stays neutral with regard to jurisdictional claims in published maps and institutional affiliations. |
© 2021 by the authors. Licensee MDPI, Basel, Switzerland. This article is an open access article distributed under the terms and conditions of the Creative Commons Attribution (CC BY) license (https://creativecommons.org/licenses/by/4.0/).
Share and Cite
Caso, A.; da Silva, F.B.; Esposito, G.; Teta, R.; Sala, G.D.; Cavalcanti, L.P.A.N.; Valverde, A.L.; Martins, R.C.C.; Costantino, V. Exploring Chemical Diversity of Phorbas Sponges as a Source of Novel Lead Compounds in Drug Discovery. Mar. Drugs 2021, 19, 667. https://doi.org/10.3390/md19120667
Caso A, da Silva FB, Esposito G, Teta R, Sala GD, Cavalcanti LPAN, Valverde AL, Martins RCC, Costantino V. Exploring Chemical Diversity of Phorbas Sponges as a Source of Novel Lead Compounds in Drug Discovery. Marine Drugs. 2021; 19(12):667. https://doi.org/10.3390/md19120667
Chicago/Turabian StyleCaso, Alessia, Fernanda Barbosa da Silva, Germana Esposito, Roberta Teta, Gerardo Della Sala, Laura P. A. Nunes Cavalcanti, Alessandra Leda Valverde, Roberto Carlos C. Martins, and Valeria Costantino. 2021. "Exploring Chemical Diversity of Phorbas Sponges as a Source of Novel Lead Compounds in Drug Discovery" Marine Drugs 19, no. 12: 667. https://doi.org/10.3390/md19120667
APA StyleCaso, A., da Silva, F. B., Esposito, G., Teta, R., Sala, G. D., Cavalcanti, L. P. A. N., Valverde, A. L., Martins, R. C. C., & Costantino, V. (2021). Exploring Chemical Diversity of Phorbas Sponges as a Source of Novel Lead Compounds in Drug Discovery. Marine Drugs, 19(12), 667. https://doi.org/10.3390/md19120667

