Whole Genome Sequencing of the Giant Grouper (Epinephelus lanceolatus) and High-Throughput Screening of Putative Antimicrobial Peptide Genes
Abstract
1. Introduction
2. Results
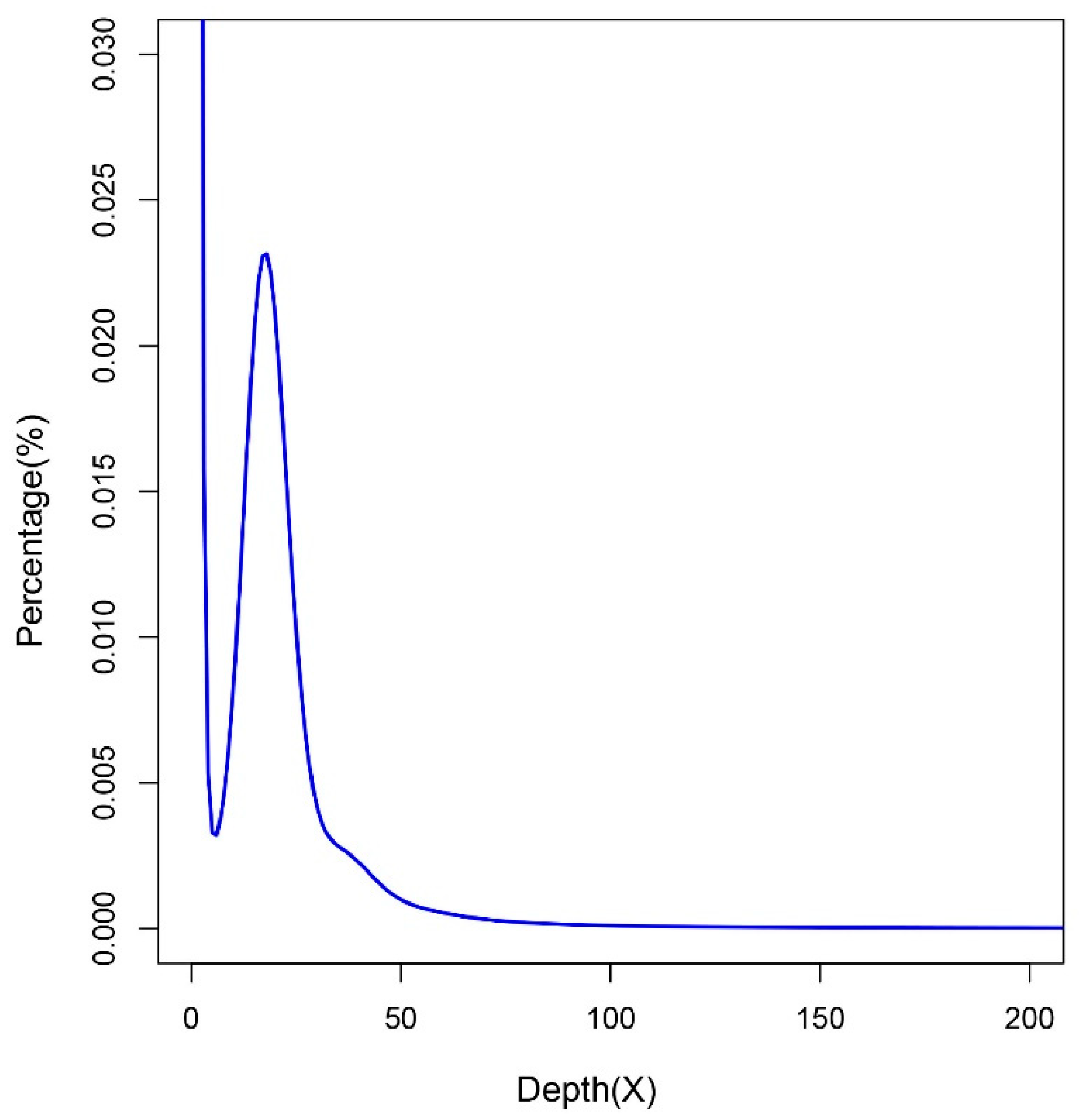
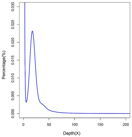
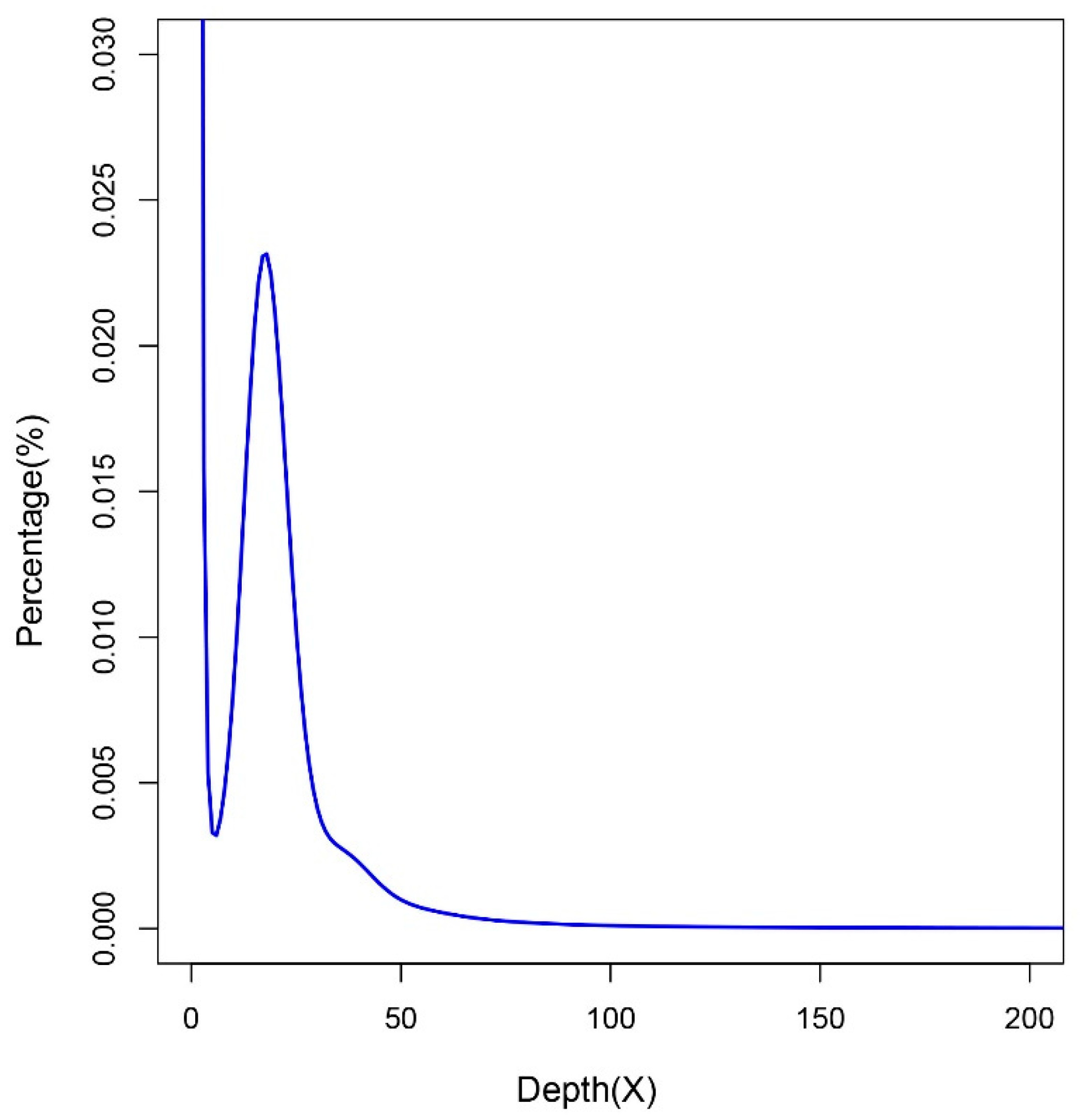
2.1. Genome Size Estimation
2.2. De Novo Genome Assembly and Annotation
2.3. Pseudochromosome Construction
2.4. Identification, Transcriptomic Quantification, and Annotation of Putative Antimicrobial Peptides (AMPs)
2.5. Location of Putative AMP Genes and Growth-Related Genes
3. Discussion
4. Materials and Methods
4.1. Sample Preparation and Sequencing
4.2. Genome Assembly
4.3. Pseudochromosome Construction
4.4. Repeat Annotation
4.5. Gene Annotation
4.6. Identification and Transcriptomic Quantification of AMPs
5. Conclusions
Supplementary Materials
Author Contributions
Funding
Conflicts of Interest
References
- Rimmer, M.A.; Glamuzina, B. A review of grouper (Family Serranidae: Subfamily Epinephelinae) aquaculture from a sustainability science perspective. Rev. Aquac. 2019, 11, 58–87. [Google Scholar] [CrossRef]
- FAO. FishStatJ, a Tool for Fishery Statistics Analysis; FAO Fisheries and Aquaculture Department, FIPS–Statistics and information: Rome, Italy, 2017. [Google Scholar]
- Bright, D.; Reynolds, A.; Nguyen, N.H.; Knuckey, R.; Knibb, W.; Elizur, A. A study into parental assignment of the communal spawning protogynous hermaphrodite, giant grouper (Epinephelus lanceolatus). Aquaculture 2016, 459, 19–25. [Google Scholar] [CrossRef]
- Sadovy, Y.J.; Donaldson, T.J.; Graham, T.R.; McGilvray, F.; Muldoon, G.J.; Philipps, M.J.; Rimmer, M.A.; Smith, A.; Yeeting, B. While Stocks Last: The Live Reef Food Fish Trade. Asian Dev. Bank 2003, 1632, 169. [Google Scholar]
- Fan, B.; Liu, X.C.; Meng, Z.N.; Tan, B.H.; Wang, L.; Zhang, H.F.; Zhang, Y.; Wang, Y.X.; Lin, H.R. Cryopreservation of giant grouper Epinephelus lanceolatus (Bloch, 1790) sperm. J. Appl. Ichthyol. 2014, 30, 334–339. [Google Scholar] [CrossRef]
- Sun, Y.; Guo, C.-Y.; Wang, D.-D.; Li, X.F.; Xiao, L.; Zhang, X.; You, X.; Shi, Q.; Hu, G.-J.; Fang, C.; et al. Transcriptome analysis reveals the molecular mechanisms underlying growth superiority in a novel grouper hybrid (Epinephelus fuscogutatus♀ × E. lanceolatus♂). BMC Genet. 2016, 17, 175. [Google Scholar] [CrossRef] [PubMed]
- Sun, Y.; Huang, Y.; Hu, G.; Zhang, X.; Ruan, Z.; Zhao, X.; Guo, C.; Tang, Z.; Li, X.; You, X.; et al. Comparative Transcriptomic Study of Muscle Provides New Insights into the Growth Superiority of a Novel Grouper Hybrid. PLoS ONE 2016, 11, e0168802. [Google Scholar] [CrossRef]
- Harikrishnan, R.; Balasundaram, C.; Heo, M. Fish health aspects of grouper aquaculture Fish health aspects in grouper aquaculture. Aquaculture 2017, 320, 1–21. [Google Scholar] [CrossRef]
- Chuang, S.-C.; Huang, W.-L.; Kau, S.-W.; Yang, Y.-P.; Yang, C.-D. Pleurocidin Peptide Enhances Grouper Anti-Vibrio harveyi Immunity Elicited by Poly(lactide-co-glycolide)-Encapsulated Recombinant Glyceraldehyde-3-phosphate Dehydrogenase. Vaccines 2014, 2, 380–396. [Google Scholar] [CrossRef]
- Zasloff, M. Antimicrobial peptides of multicellular organisms. Nature 2002, 415, 389–395. [Google Scholar] [CrossRef]
- Yin, Z.-X.; He, W.; Chen, W.-J.; Yan, J.-H.; Yang, J.-N.; Chan, S.-M.; He, J.-G. Cloning, expression and antimicrobial activity of an antimicrobial peptide, epinecidin-1, from the orange-spotted grouper, Epinephelus coioides. Aquaculture 2006, 253, 204–211. [Google Scholar] [CrossRef]
- Pan, C.-Y.; Chen, J.-Y.; Cheng, Y.-S.E.; Chen, C.-Y.; Ni, I.-H.; Sheen, J.-F.; Pan, Y.-L.; Kuo, C.-M. Gene Expression and Localization of the Epinecidin-1 Antimicrobial Peptide in the Grouper (Epinephelus coioides), and Its Role in Protecting Fish against Pathogenic Infection. DNA Cell Biol. 2007, 26, 403–413. [Google Scholar] [CrossRef] [PubMed]
- Zhou, J.-G.; Wei, J.-G.; Xu, D.; Cui, H.-C.; Yan, Y.; Ou-Yang, Z.-L.; Huang, X.-H.; Huang, Y.-H.; Qin, Q.-W. Molecular cloning and characterization of two novel hepcidins from orange-spotted grouper, Epinephelus coioides. Fish Shellfish Immunol. 2011, 30, 559–568. [Google Scholar] [CrossRef] [PubMed]
- Guo, M.; Wei, J.; Huang, X.; Huang, Y.; Qin, Q. Antiviral effects of β-defensin derived from orange-spotted grouper (Epinephelus coioides). Fish Shellfish Immunol. 2012, 32, 828–838. [Google Scholar] [CrossRef] [PubMed]
- Li, Z.P.; Chen, D.W.; Pan, Y.Q.; Deng, L. Two isoforms of piscidin from Malabar grouper, Epinephelus malabaricus: Expression and functional characterization. Fish Shellfish Immunol. 2016, 57, 222–235. [Google Scholar] [CrossRef] [PubMed]
- You, X.; Shu, L.; Li, S.; Chen, J.; Luo, J.; Lu, J.; Mu, Q.; Bai, J.; Xia, Q.; Chen, Q.; et al. Construction of high-density genetic linkage maps for orange-spotted grouper Epinephelus coioides using multiplexed shotgun genotyping. BMC Genet. 2013, 14, 113. [Google Scholar] [CrossRef]
- Yu, H.; You, X.; Li, J.; Liu, H.; Meng, Z.; Xiao, L.; Zhang, H.; Lin, H.R.; Zhang, Y.; Shi, Q. Genome-wide mapping of growth-related quantitative trait loci in orange-spotted grouper (Epinephelus coioides) using double digest restriction-site associated DNA sequencing (ddRADseq). Int. J. Mol. Sci. 2016, 17, 501. [Google Scholar] [CrossRef] [PubMed]
- Yu, H.; You, X.; Li, J.; Zhang, X.; Zhang, S.; Jiang, S.; Lin, X.; Lin, H.R.; Meng, Z.; Shi, Q. A genome-wide association study on growth traits in orange-spotted grouper (Epinephelus coioides) with RAD-seq genotyping. Sci. China Life Sci. 2018, 61, 934–946. [Google Scholar] [CrossRef] [PubMed]
- Ye, C.; Hill, C.M.; Wu, S.; Ruan, J.; Ma, Z.S. DBG2OLC: Efficient Assembly of Large Genomes Using Long Erroneous Reads of the Third Generation Sequencing Technologies. Sci. Rep. 2016, 6, 31900. [Google Scholar] [CrossRef] [PubMed]
- Simão, F.A.; Waterhouse, R.M.; Ioannidis, P.; Kriventseva, E.V.; Zdobnov, E.M. BUSCO: Assessing genome assembly and annotation completeness with single-copy orthologs. Bioinformatics 2015, 31, 3210–3212. [Google Scholar] [CrossRef]
- Bao, W.; Kojima, K.K.; Kohany, O. Repbase Update, a database of repetitive elements in eukaryotic genomes. Mob. DNA 2015, 6, 11. [Google Scholar] [CrossRef]
- Påhlman, L.I.; Mörgelin, M.; Kasetty, G.; Olin, A.I.; Schmidtchen, A.; Herwald, H. Antimicrobial activity of fibrinogen and fibrinogen-derived peptides--a novel link between coagulation and innate immunity. Thromb. Haemost. 2013, 109, 930–939. [Google Scholar] [PubMed]
- Papareddy, P.; Rydengård, V.; Pasupuleti, M.; Walse, B.; Mörgelin, M.; Chalupka, A.; Malmsten, M.; Schmidtchen, A. Proteolysis of human thrombin generates novel host defense peptides. PLoS Pathog. 2010, 6, e1000857. [Google Scholar] [CrossRef] [PubMed]
- Yi, Y.; You, X.; Bian, C.; Chen, S.; Lv, Z.; Qiu, L.; Shi, Q. High-Throughput Identification of Antimicrobial Peptides from Amphibious Mudskippers. Mar. Drugs 2017, 15, 364. [Google Scholar] [CrossRef] [PubMed]
- Seo, J.K.; Lee, M.J.; Go, H.J.; Kim, Y.J.; Park, N.G. Antimicrobial function of the GAPDH-related antimicrobial peptide in the skin of skipjack tuna, Katsuwonus pelamis. Fish Shellfish Immunol. 2014, 36, 571–581. [Google Scholar] [CrossRef] [PubMed]
- Seo, J.-K.; Lee, M.J.; Go, H.-J.; Park, T.H.; Park, N.G. Purification and characterization of YFGAP, a GAPDH-related novel antimicrobial peptide, from the skin of yellowfin tuna, Thunnus albacares. Fish Shellfish Immunol. 2012, 33, 743–752. [Google Scholar] [CrossRef] [PubMed]
- Du, H.; Yu, Y.; Ma, Y.; Gao, Q.; Cao, Y.; Chen, Z.; Ma, B.; Qi, M.; Li, Y.; Zhao, X.; et al. Sequencing and de novo assembly of a near complete indica rice genome. Nat. Commun. 2017, 8, 15324. [Google Scholar] [CrossRef]
- Luo, M.C.; Gu, Y.Q.; Puiu, D.; Wang, H.; Twardziok, S.O.; Deal, K.R.; Huo, N.; Zhu, T.; Wang, L.; Wang, Y.; et al. Genome sequence of the progenitor of the wheat D genome Aegilops tauschii. Nature 2017, 551, 498–502. [Google Scholar] [CrossRef]
- Mascher, M.; Gundlach, H.; Himmelbach, A.; Beier, S.; Twardziok, S.O.; Wicker, T.; Radchuk, V.; Dockter, C.; Hedley, P.E.; Russell, J.; et al. A chromosome conformation capture ordered sequence of the barley genome. Nature 2017, 544, 427. [Google Scholar] [CrossRef]
- Yang, N.; Xu, X.W.; Wang, R.R.; Peng, W.L.; Cai, L.; Song, J.M.; Li, W.; Luo, X.; Niu, L.; Wang, Y.; et al. Contributions of Zea mays subspecies mexicana haplotypes to modern maize. Nat. Commun. 2017, 8, 1874. [Google Scholar] [CrossRef]
- Jiao, Y.; Peluso, P.; Shi, J.; Liang, T.; Stitzer, M.C.; Wang, B.; Campbell, M.S.; Stein, J.C.; Wei, X.; Chin, C.S.; et al. Improved maize reference genome with single-molecule technologies. Nature 2017, 546, 524–527. [Google Scholar] [CrossRef]
- Fang, C.; Ma, Y.; Wu, S.; Liu, Z.; Wang, Z.; Yang, R.; Hu, G.; Zhou, Z.; Yu, H.; Zhang, M.; et al. Genome-wide association studies dissect the genetic networks underlying agronomical traits in soybean. Genome Biol. 2017, 18, 161. [Google Scholar] [CrossRef] [PubMed]
- Fang, L.; Wang, Q.; Hu, Y.; Jia, Y.; Chen, J.; Liu, B.; Zhang, Z.; Guan, X.; Chen, S.; Zhou, B.; et al. Genomic analyses in cotton identify signatures of selection and loci associated with fiber quality and yield traits. Nat. Genet. 2017, 49, 1089–1098. [Google Scholar] [CrossRef] [PubMed]
- Zimin, A.V.; Delcher, A.L.; Florea, L.; Kelley, D.R.; Schatz, M.C.; Puiu, D.; Hanrahan, F.; Pertea, G.; Van Tassell, C.P.; Sonstegard, T.S.; et al. A whole-genome assembly of the domestic cow, Bos taurus. Genome Biol. 2009, 10, R42. [Google Scholar] [CrossRef] [PubMed]
- Zhu, H.; Shuai, S.; Liu, Y.; Lou, P.; Li, R.; Shen, X.; Zhang, M.; Zhou, C.; Li, M.; Zhang, Y.; et al. Genomic analyses identify distinct patterns of selection in domesticated pigs and Tibetan wild boars. Nat. Genet. 2013, 45, 1431–1438. [Google Scholar]
- Rubin, C.-J.; Megens, H.-J.; Martinez Barrio, A.; Maqbool, K.; Sayyab, S.; Schwochow, D.; Wang, C.; Carlborg, Ö.; Jern, P.; Jørgensen, C.B.; et al. Strong signatures of selection in the domestic pig genome. Proc. Natl. Acad. Sci. USA 2012, 109, 19529–19536. [Google Scholar] [CrossRef]
- Jiang, Y.; Xie, M.; Chen, W.; Talbot, R.; Maddox, J.F.; Faraut, T.; Wu, C.; Muzny, D.M.; Li, Y.; Zhang, W.; et al. The sheep genome illuminates biology of the rumen and lipid metabolism. Science 2014, 344, 1168–1173. [Google Scholar] [CrossRef]
- Dong, Y.; Xie, M.; Jiang, Y.; Xiao, N.; Du, X.; Zhang, W.; Tosser-Klopp, G.; Wang, J.; Yang, S.; Liang, J.; et al. Sequencing and automated whole-genome optical mapping of the genome of a domestic goat (Capra hircus). Nat. Biotechnol. 2013, 31, 135–141. [Google Scholar] [CrossRef]
- Hutchison, J.L.; Nystrom, J.C.; Schwartz, J.C.; Hastie, A.R.; Smith, T.P.L.; Liachko, I.; Kelley, C.M.; Lam, E.T.; Van Tassell, C.P.; Phillippy, A.M.; et al. Single-molecule sequencing and chromatin conformation capture enable de novo reference assembly of the domestic goat genome. Nat. Genet. 2017, 49, 643–650. [Google Scholar]
- Star, B.; Nederbragt, A.J.; Jentoft, S.; Grimholt, U.; Malmstrøm, M.; Gregers, T.F.; Rounge, T.B.; Paulsen, J.; Solbakken, M.H.; Sharma, A.; et al. The genome sequence of Atlantic cod reveals a unique immune system. Nature 2011, 477, 207–210. [Google Scholar] [CrossRef]
- Tine, M.; Kuhl, H.; Gagnaire, P.A.; Louro, B.; Desmarais, E.; Martins, R.S.T.; Hecht, J.; Knaust, F.; Belkhir, K.; Klages, S.; et al. European sea bass genome and its variation provide insights into adaptation to euryhalinity and speciation. Nat. Commun. 2014, 5, 5770. [Google Scholar] [CrossRef]
- Vij, S.; Kuhl, H.; Kuznetsova, I.S.; Komissarov, A.; Yurchenko, A.A.; Van Heusden, P.; Singh, S.; Thevasagayam, N.M.; Prakki, S.R.S.; Purushothaman, K.; et al. Chromosomal-Level Assembly of the Asian Seabass Genome Using Long Sequence Reads and Multi-layered Scaffolding. PLoS Genet. 2016, 12, 1–35. [Google Scholar]
- You, X.; Bian, C.; Zan, Q.; Xu, X.; Liu, X.; Chen, J.; Wang, J.; Qiu, Y.; Li, W.; Zhang, X.; et al. Mudskipper genomes provide insights into terrestrial adaptation of amphibious fishes. Nat. Commun. 2014, 5, 5594. [Google Scholar] [CrossRef] [PubMed]
- Davidson, W.S.; Koop, B.F.; Jones, S.J.M.; Iturra, P.; Vidal, R.; Maass, A.; Jonassen, I.; Lien, S.; Omholt, S.W. Sequencing the genome of the Atlantic salmon (Salmo salar). Genome Biol. 2010, 11, 403. [Google Scholar] [PubMed]
- Lien, S.; Koop, B.F.; Sandve, S.R.; Miller, J.R.; Kent, M.P.; Nome, T.; Hvidsten, T.R.; Leong, J.S.; Minkley, D.R.; Zimin, A.; et al. The Atlantic salmon genome provides insights into rediploidization. Nature 2016, 533, 200–205. [Google Scholar] [CrossRef] [PubMed]
- Wang, Y.; Lu, Y.; Zhang, Y.; Ning, Z.; Li, Y.; Zhao, Q.; Lu, H.; Huang, R.; Xia, X.; Feng, Q.; et al. The draft genome of the grass carp (Ctenopharyngodon idellus) provides insights into its evolution and vegetarian adaptation. Nat. Genet. 2015, 47, 625–631. [Google Scholar] [CrossRef] [PubMed]
- Xu, P.; Zhang, X.; Wang, X.; Li, J.; Liu, G.; Kuang, Y.; Xu, J.; Zheng, X.; Ren, L.; Wang, G.; et al. Genome sequence and genetic diversity of the common carp, Cyprinus carpio. Nat. Genet. 2014, 46, 1212–1219. [Google Scholar] [CrossRef] [PubMed]
- Chen, S.; Zhang, G.; Shao, C.; Huang, Q.; Liu, G.; Zhang, P.; Song, W.; An, N.; Chalopin, D.; Volff, J.N.; et al. Whole-genome sequence of a flatfish provides insights into ZW sex chromosome evolution and adaptation to a benthic lifestyle. Nat. Genet. 2014, 46, 253–260. [Google Scholar] [CrossRef] [PubMed]
- Venkatesh, B.; Lee, A.P.; Ravi, V.; Maurya, A.K.; Lian, M.M.; Swann, J.B.; Ohta, Y.; Flajnik, M.F.; Sutoh, Y.; Kasahara, M.; et al. Elephant shark genome provides unique insights into gnathostome evolution. Nature 2014, 505, 174–179. [Google Scholar] [CrossRef] [PubMed]
- Wu, C.; Zhang, D.; Kan, M.; Lv, Z.; Zhu, A.; Su, Y.; Zhou, D.; Zhang, J.; Zhang, Z.; Xu, M.; et al. The draft genome of the large yellow croaker reveals well-developed innate immunity. Nat. Commun. 2014, 5, 1–7. [Google Scholar] [CrossRef] [PubMed]
- Wang, S.; Zeng, X.; Yang, Q.; Qiao, S. Antimicrobial Peptides as Potential Alternatives to Antibiotics in Food Animal Industry. Int. J. Mol. Sci. 2016, 17, 603. [Google Scholar] [CrossRef] [PubMed]
- Bian, C.; Li, J.; Lin, X.; Chen, X.; Yi, Y.; You, X.; Zhang, Y.; Lv, Y.; Shi, Q. Whole Genome Sequencing of the Blue Tilapia (Oreochromis aureus) Provides a Valuable Genetic Resource for Biomedical Research on Tilapias. Mar. Drugs 2019, 17, 386. [Google Scholar] [CrossRef] [PubMed]
- Couto, M.A.; Harwig, S.S.; Cullor, J.S.; Hughes, J.P.; Lehrer, R.I. Identification of eNAP-1, an antimicrobial peptide from equine neutrophils. Infect. Immun. 1992, 60, 3065–3071. [Google Scholar] [PubMed]
- Lai, Y.; Gallo, R.L. AMPed up immunity: How antimicrobial peptides have multiple roles in immune defense. Trends Immunol. 2011, 30, 131–141. [Google Scholar] [CrossRef] [PubMed]
- Hilchie, A.L.; Wuerth, K.; Hancock, R.E. Immune modulation by multifaceted cationic host. Nat. Chem. Biol. 2013, 9, 761–768. [Google Scholar] [CrossRef] [PubMed]
- Wagener, J.; Schneider, J.J.; Baxmann, S.; Kalbacher, H.; Borelli, C.; Nuding, S.; Küchler, R.; Wehkamp, J.; Kaeser, M.D.; Mailänder-Sanchez, D.; et al. A peptide derived from the highly conserved protein gapdh is involved in tissue protection by different antifungal strategies and epithelial immunomodulation. J. Investig. Dermatol. 2013, 133, 144–153. [Google Scholar] [CrossRef] [PubMed]
- Branco, P.; Francisco, D.; Chambon, C.; Hébraud, M.; Arneborg, N.; Almeida, M.G.; Caldeira, J.; Albergaria, H. Identification of novel GAPDH-derived antimicrobial peptides secreted by Saccharomyces cerevisiae and involved in wine microbial interactions. Appl. Microbiol. Biotechnol. 2014, 98, 843–853. [Google Scholar] [CrossRef]
- Thompson, R.; Munro, J.L. Aspects of the biology and ecology of Caribbean reef fishes: Serranidae (hinds and groupers). J. Fish Biol. 1978, 12, 115–146. [Google Scholar] [CrossRef]
- Rivals, E.; Salmela, L. LoRDEC: Accurate and efficient long read error correction. Bioinformatics 2014, 30, 3506–3514. [Google Scholar]
- Fujiyama, A.; Harada, M.; Okuno, M.; Toyoda, A.; Maruyama, H.; Kajitani, R.; Kohara, Y.; Toshimoto, K.; Noguchi, H.; Itoh, T.; et al. Efficient de novo assembly of highly heterozygous genomes from whole-genome shotgun short reads. Genome Res. 2014, 24, 1384–1395. [Google Scholar]
- Walker, B.J.; Abeel, T.; Shea, T.; Priest, M.; Abouelliel, A.; Sakthikumar, S.; Cuomo, C.A.; Zeng, Q.; Wortman, J.; Young, S.K.; et al. Pilon: An integrated tool for comprehensive microbial variant detection and genome assembly improvement. PLoS ONE 2014, 9, e112963. [Google Scholar] [CrossRef]
- Van Ooijen, J. Software for the Calculation of Genetic Linkage Maps in Experimental Populations; Kyazma BV: Wageningen, The Netherlands, 2004. [Google Scholar]
- Zhang, S.; Zhang, X.; Chen, X.; Xu, T.; Wang, M.; Qin, Q.; Zhong, L.; Jiang, H.; Zhu, X.; Liu, H.; et al. Construction of a High-Density Linkage Map and QTL Fine Mapping for Growth- and Sex-Related Traits in Channel Catfish (Ictalurus punctatus). Front. Genet. 2019, 10, 251. [Google Scholar] [CrossRef] [PubMed]
- Zhao, X.; Hao, W. LTR_FINDER: An efficient tool for the prediction of full-length LTR retrotransposons. Nucleic Acids Res. 2007, 35, W265–W268. [Google Scholar]
- Tarailo-Graovac, M.; Chen, N. Using RepeatMasker to identify repetitive elements in genomic sequences. Curr. Protoc. Bioinforma. 2009, 25, 4–10. [Google Scholar]
- Stanke, M.; Keller, O.; Gunduz, I.; Hayes, A.; Waack, S.; Morgenstern, B. AUGUSTUS: Ab initio prediction of alternative transcripts. Nucleic Acids Res. 2006, 34, W435–W439. [Google Scholar] [CrossRef] [PubMed]
- Burge, C.; Karlin, S. Prediction of complete gene structures in human genomic DNA. J. Mol. Biol. 1997, 268, 78–94. [Google Scholar] [CrossRef] [PubMed]
- Altschul, S.F.; Gish, W.; Miller, W.; Meyers, E.W.; Lipman, D.J. Basic Local Alignment Search Tool. J. Mol. Biol. 1990, 215, 8. [Google Scholar] [CrossRef]
- Birney, E.; Clamp, M.; Durbin, R. GeneWise and Genomewise. Genome Res. 2004, 14, 988–995. [Google Scholar] [CrossRef] [PubMed]
- Trapnell, C.; Pachter, L.; Salzberg, S.L. TopHat: Discovering splice junctions with RNA-Seq. Bioinformatics 2009, 25, 1105–1111. [Google Scholar] [CrossRef]
- Trapnell, C.; Williams, B.A.; Pertea, G.; Mortazavi, A.; Kwan, G.; van Baren, M.J.; Salzberg, S.L.; Wold, B.J.; Pachter, L. Transcript assembly and quantification by RNA-Seq reveals unannotated transcripts and isoform switching during cell differentiation. Nat. Biotechnol. 2010, 28, 511–515. [Google Scholar] [CrossRef]
- Lewis, S.; Searle, S.; Harris, N.; Gibson, M.; Lyer, V.; Richter, J.; Wiel, C.; Bayraktaroglir, L.; Birney, E.; Crosby, M.; et al. Creating a honey bee consensus gene set. Genome Biol. 2002, 3, R13. [Google Scholar] [CrossRef]
- Bateman, A.; Mitchell, A.; Bairoch, A.; Quinn, A.F.; Laugraud, A.; Wu, C.H.; Sigrist, C.J.A.; Orengo, C.; Yeats, C.; McAnulla, C.; et al. InterPro: The integrative protein signature database. Nucleic Acids Res. 2009, 37, D211–D215. [Google Scholar]
- Kanehisa, M.; Goto, S. Kanehisa Laboratories Kyoto Encyclopedia of Genes and Genomes. Nucleic Acids Res. 2018, 28, 27–30. [Google Scholar]
- Bairoch, A. The SWISS-PROT protein sequence database and its supplement TrEMBL in 2000. Nucleic Acids Res. 2002, 28, 45–48. [Google Scholar] [CrossRef] [PubMed]
- Chen, Y.; Chen, Y.; Shi, C.; Huang, Z.; Zhang, Y.; Li, S.; Li, Y.; Ye, J.; Yu, C.; Li, Z.; et al. SOAPnuke: A MapReduce acceleration-supported software for integrated quality control and preprocessing of high-throughput sequencing data. Gigascience 2018, 7, 1–6. [Google Scholar] [CrossRef] [PubMed]
- Kim, D.; Paggi, J.M.; Park, C.; Bennett, C.; Salzberg, S.L. Graph-based genome alignment and genotyping with HISAT2 and HISAT-genotype. Nat. Biotechnol. 2019, 37, 907–915. [Google Scholar] [CrossRef]
- Li, B.; Dewey, C.N. RSEM: Accurate transcript quantification from RNA-Seq data with or without a reference genome. BMC Bioninform. 2011, 12, 323. [Google Scholar] [CrossRef] [PubMed]





| Criteria | Contig | Scaffold | 
|---|---|---|
| Number | 3207 | 3187 | 
| Total length (bp) | 1,128,030,970 | 1,128,030,990 | 
| Longest (bp) | 9,533,321 | 9,533,321 | 
| N50 (bp) | 1,469,414 | 1,505,601 | 
| N90 (bp) | 209,611 | 210,944 | 
| >2 kb | 3182 | 3162 | 
| Chr | Length (Mb) | Number of Genes | Number of Scaffolds | 
|---|---|---|---|
| 1 | 39.05 | 917 | 53 | 
| 2 | 41.84 | 899 | 54 | 
| 3 | 20.61 | 374 | 18 | 
| 4 | 50.74 | 1198 | 78 | 
| 5 | 41.95 | 912 | 53 | 
| 6 | 50.39 | 978 | 72 | 
| 7 | 44.01 | 1062 | 55 | 
| 8 | 54.01 | 1051 | 56 | 
| 9 | 52.56 | 1127 | 70 | 
| 10 | 45.93 | 1209 | 49 | 
| 11 | 41.12 | 820 | 41 | 
| 12 | 35.95 | 918 | 45 | 
| 13 | 54.06 | 1359 | 56 | 
| 14 | 47.27 | 947 | 60 | 
| 15 | 38.31 | 894 | 35 | 
| 16 | 39.82 | 728 | 57 | 
| 17 | 40.89 | 858 | 47 | 
| 18 | 34.17 | 675 | 58 | 
| 19 | 31.81 | 898 | 24 | 
| 20 | 22.54 | 491 | 24 | 
| 21 | 45.46 | 1007 | 68 | 
| 22 | 44.25 | 944 | 80 | 
| 23 | 42.07 | 1035 | 43 | 
| 24 | 40.81 | 905 | 60 | 
| total | 999.69 | 22,206 | 1256 | 
| Ranking | Muscle | Liver | Brain | 
|---|---|---|---|
| 1 | GAPDH1 1 (49,379.59) | Hemoglobin1 (24,013.91) | Hemoglobin1 (11,531.97) | 
| 2 | GAPDH2 (5017.39) | Hemoglobin12 (23,219.52) | Hemoglobin12 (7262.71) | 
| 3 | Hemoglobin12 (2440.09) | sOT2 2 (14,410.88) | sOT2 (1416.06) | 
| 4 | Hemoglobin1 (2295.59) | Antiproteinase1 (11,271.67) | β2-Microglobin1 (1136.57) | 
| 5 | Ap-s 3 (339.63) | Antiproteinase5 (7898.22) | Neuropeptide5 (858.07) | 
| 6 | β2-Microglobin1 (258.26) | Antiproteinase2 (6566.73) | BPTI4 4 (654.21) | 
| 7 | β2-Microglobin4 (137.71) | Thrombin1 (5759.76) | Neuropeptide6 (631.31) | 
| 8 | Ubiquicidin (86.92) | GAPDH1 (5378.38) | Saposin2 (572.89) | 
| 9 | BPTI16 (85.56) | BPTI12 (4143.13) | Lectin12 (535.93) | 
| 10 | Saposin2 (81.02) | Thrombin23 (2039.84) | Synuclein (350.56) | 
| 11 | BPTI7 (57.05) | Antiproteinase3 (1806.51) | β2-Microglobin4 (340.17) | 
| 12 | Lectin25 (43.21) | Thrombin29 (1544.98) | Amyloid2 (250.76) | 
| 13 | Thrombin53 (40.79) | Thrombin22 (1313.59) | Amyloid1 (249.58) | 
| 14 | Thrombin31 (38.01) | Thrombin46 (1201.45) | Lysozyme2 (208.82) | 
| 15 | BPTI15 (32.09) | Thrombin6 (1039.43) | Ubiquicidin (191.88) | 
| 16 | CcAMP 5 (30.21) | β2-Microglobin1 (662.14) | Thymosin2 (177.76) | 
| 17 | BPTI14 (27.33) | Thrombin64 (621.69) | Thrombin45 (171.27) | 
| 18 | Lectin3 (23.87) | Thrombin42 (590.54) | Ubiquitin10 (119.27) | 
| 19 | Ubiquitin1 (23.61) | Thrombin47 (554.85) | LEAP-2_2 6 (116.44) | 
| 20 | Ubiquitin5 (21.93) | Thrombin18 (473.18) | Lectin19 (103.89) | 
| Gene Name | Chr | Gene ID | Function Type | 
|---|---|---|---|
| tni-fast1 | Chr1 | longdun_GLEAN_10010987 | Ca2+ regulating | 
| tnt-skeletal2 | Chr1 | longdun_GLEAN_10010985 | Ca2+ regulating | 
| pgk3 | Chr2 | longdun_GLEAN_10005384 | Glycolytic | 
| tni-slow | Chr3 | longdun_GLEAN_10021266 | Ca2+ regulating | 
| tnc4 | Chr4 | longdun_GLEAN_10018260 | Ca2+ regulating | 
| tnt-cardiac | Chr4 | longdun_GLEAN_10017734 | Ca2+ regulating | 
| pgam25 | Chr5 | longdun_GLEAN_10022627 | Glycolytic | 
| pgm26 | Chr6 | longdun_GLEAN_10022325 | Glycolytic | 
| gPi7 | Chr8 | longdun_GLEAN_10012880 | Glycolytic | 
| pyk8 | Chr8 | longdun_GLEAN_10018335 | Glycolytic | 
| pfk-muscle9 | Chr9 | longdun_GLEAN_10019679 | Glycolytic | 
| ald10 | Chr10 | longdun_GLEAN_10019814 | Glycolytic | 
| pfk-liver | Chr11 | longdun_GLEAN_10018530 | Glycolytic | 
| pgm1 | Chr12 | longdun_GLEAN_10020822 | Glycolytic | 
| pgm3 | Chr14 | longdun_GLEAN_10008616 | Glycolytic | 
| ryr211 | Chr15 | longdun_GLEAN_10008973 | Ca2+ regulating | 
| pgam1a | Chr17 | longdun_GLEAN_10012515 | Glycolytic | 
| eno112 | Chr18 | longdun_GLEAN_10002289 | Glycolytic | 
| gapdh113 | Chr19 | longdun_GLEAN_10017174 | Glycolytic | 
| tpi1b14 | Chr19 | longdun_GLEAN_10017191 | Glycolytic | 
| ryr1 | Chr21 | longdun_GLEAN_10010008 | Ca2+ regulating | 
| gapdh2 | Chr22 | longdun_GLEAN_10014462 | Glycolytic | 
| eno2 | Chr22 | longdun_GLEAN_10014466 | Glycolytic | 
| tpi1a | Chr22 | longdun_GLEAN_10014467 | Glycolytic | 
| Putative AMP Gene Name | Gene ID | Query AMP (AMP ID in APD3 Database) | TPM | ||
|---|---|---|---|---|---|
| Brain | Liver | Muscle | |||
| gapdh1 | longdun_GLEAN_10017174 | Skipjack tuna GAPDH-related antimicrobial peptide (SJGAP) (2680) | 4.77 | 5378.38 | 49379.59 | 
| gapdh2 | longdun_GLEAN_10014462 | Yellowfin tuna glyceraldehyde-3-phosphate dehydrogenase-related antimicrobial peptide (YFGAP) (2012) | 12.19 | 0.17 | 5017.39 | 
© 2019 by the authors. Licensee MDPI, Basel, Switzerland. This article is an open access article distributed under the terms and conditions of the Creative Commons Attribution (CC BY) license (http://creativecommons.org/licenses/by/4.0/).
Share and Cite
Wang, D.; Chen, X.; Zhang, X.; Li, J.; Yi, Y.; Bian, C.; Shi, Q.; Lin, H.; Li, S.; Zhang, Y.; et al. Whole Genome Sequencing of the Giant Grouper (Epinephelus lanceolatus) and High-Throughput Screening of Putative Antimicrobial Peptide Genes. Mar. Drugs 2019, 17, 503. https://doi.org/10.3390/md17090503
Wang D, Chen X, Zhang X, Li J, Yi Y, Bian C, Shi Q, Lin H, Li S, Zhang Y, et al. Whole Genome Sequencing of the Giant Grouper (Epinephelus lanceolatus) and High-Throughput Screening of Putative Antimicrobial Peptide Genes. Marine Drugs. 2019; 17(9):503. https://doi.org/10.3390/md17090503
Chicago/Turabian StyleWang, Dengdong, Xiyang Chen, Xinhui Zhang, Jia Li, Yunhai Yi, Chao Bian, Qiong Shi, Haoran Lin, Shuisheng Li, Yong Zhang, and et al. 2019. "Whole Genome Sequencing of the Giant Grouper (Epinephelus lanceolatus) and High-Throughput Screening of Putative Antimicrobial Peptide Genes" Marine Drugs 17, no. 9: 503. https://doi.org/10.3390/md17090503
APA StyleWang, D., Chen, X., Zhang, X., Li, J., Yi, Y., Bian, C., Shi, Q., Lin, H., Li, S., Zhang, Y., & You, X. (2019). Whole Genome Sequencing of the Giant Grouper (Epinephelus lanceolatus) and High-Throughput Screening of Putative Antimicrobial Peptide Genes. Marine Drugs, 17(9), 503. https://doi.org/10.3390/md17090503
 
        

 
       