Next Article in Journal
Effect of Methionine Oxidation and Substitution of α-Conotoxin TxID on α3β4 Nicotinic Acetylcholine Receptor
Next Article in Special Issue
Sesterterpenoid and Steroid Metabolites from a Deep-Water Alaska Sponge Inhibit Wnt/β-Catenin Signaling in Colon Cancer Cells
Previous Article in Journal
Raistrickiones A−E from a Highly Productive Strain of Penicillium raistrickii Generated through Thermo Change
Previous Article in Special Issue
Crambescidin 800, Isolated from the Marine Sponge Monanchora viridis, Induces Cell Cycle Arrest and Apoptosis in Triple-Negative Breast Cancer Cells
 
 
Font Type:
Arial Georgia Verdana
Font Size:
Aa Aa Aa
Line Spacing:
Column Width:
Background:
Review

Chemistry and Biological Activities of the Marine Sponges of the Genera Mycale (Arenochalina), Biemna and Clathria

1
Muséum National d’Histoire Naturelle, Molécules de Communication et Adaptation des Micro-organismes, Sorbonne Universités, UMR 7245 CNRS/MNHN, CP 54, 57 Rue Cuvier, 75005 Paris, France
2
Organic Chemistry Division, Chemistry Department, Faculty of Science, Mansoura University, Mansoura 35516, Egypt
3
Department of Pharmacognosy and Chemistry of Natural products, Faculty of Pharmacy, National and Kapodistrian University of Athens, Panepistimiopolis Zografou, Athens 15771, Greece
4
Department of Biochemistry, Faculty of Agriculture, Fayoum University, 63514 Fayoum, Egypt
5
Department of Pharmacognosy, University of Vienna, 1090 Vienna, Austria
6
Institute of Genetics and Animal Breeding of the Polish Academy of Sciences, 05-552 Jastrzebiec, Poland
7
Queensland Museum, Biodiversity & Geosciences Program, P.O. Box 3300, South Brisbane BC, Queensland 4101, Australia
8
ICSN—Institut de Chimie des Substances Naturelles, CNRS UPR 2301, University of Paris-Saclay, 1, Avenue de la Terrasse, 91198 Gif-Sur-Yvette, France
9
ICBAS—Instituto de Ciências Biomédicas Abel Salazar & CIIMAR, Universidade do Porto, Rua de Jorge Viterbo Ferreira, 228, 4050-313 Porto, Portugal
*
Authors to whom correspondence should be addressed.
Mar. Drugs 2018, 16(6), 214; https://doi.org/10.3390/md16060214
Submission received: 28 April 2018 / Revised: 7 June 2018 / Accepted: 13 June 2018 / Published: 18 June 2018
(This article belongs to the Special Issue Bioactive Compounds from Marine Sponges)

Abstract

Over the past seven decades, particularly since the discovery of the first marine-derived nucleosides, spongothymidine and spongouridine, from the Caribbean sponge Cryptotethya crypta in the early 1950s, marine natural products have emerged as unique, renewable and yet under-investigated pools for discovery of new drug leads with distinct structural features, and myriad interesting biological activities. Marine sponges are the most primitive and simplest multicellular animals, with approximately 8900 known described species, although more than 15,000 species are thought to exist worldwide today. These marine organisms potentially represent the richest pipeline for novel drug leads. Mycale (Arenochalina) and Clathria are recognized marine sponge genera belonging to the order Poecilosclerida, whereas Biemna was more recently reclassified, based on molecular genetics, as a new order Biemnida. Together, these sponge genera contribute to the production of physiologically active molecular entities with diverse structural features and a wide range of medicinal and therapeutic potentialities. In this review, we provide a comprehensive insight and up-to-date literature survey over the period of 1976–2018, focusing on the chemistry of the isolated compounds from members of these three genera, as well as their biological and pharmacological activities, whenever available.

Graphical Abstract

1. Introduction

Current medical risks, including diabetes, chronic pains, hepatitis, hypertension, microbial infection, together with the emergence of multidrug-resistant microbes and different types of carcinoma, have motivated and encouraged scientists to search for new bioactive compounds with novel modes of action [1]. Naturally occurring compounds derived from plants, marine invertebrates and microorganisms have provided important platforms and ideal validated starting materials for drug development and manufacturing [2]. Marine natural products represent a potent, promising and valuable source of supply for new chemical entities possessing unprecedented and novel mechanisms of action [2,3,4,5,6,7]. At present, marine-derived compounds or derivatives thereof have contributed to seven approved drugs for the market: cytarabine (Cytosar-U®, Depocyst®, approved by FDA in 1969 for cancer treatment), vidarabine (Vira-A®, approved by FDA in 1976 as antiviral), ziconotide (Prialt®, approved by FDA in in 2004 as analgesic for treatment of severe chronic pain), trabectedin (Yondelis®, ET-743, approved in the EU in 2007 as an anticancer), eribulin mesylate (Halaven®, approved by FDA in 2010 and by Heath Canada in 2011 for metastatic breast cancer treatment), brentuximab vidotin (Adcetris®, approved by FDA in 2011 for Hodgkin’s lymphoma cells, and in 2017 for cutaneous T-cell lymphoma) and omega-3 acid ethyl esters (Lovaza®, approved by FDA in 2004 for lowering blood triglyceride levels in adults with severe hypertriglyceridemia) [8,9]. Moreover, twelve marine natural products are being under exploration in different phases of clinical trials [8], and a number of them are in the preclinical pipeline. Despite being the most basal of metazoan animal phyla, marine sponges (Porifera) greatly contribute as prolific suppliers of potentially valuable novel compounds to the clinical pipeline, with almost 47% of all reported bioactive compounds from the marine environment. Several relevant reports have shown that almost 62.5% (i.e., 10 out of 16) of clinically approved medicines, or those in ongoing advanced clinical phases, are derived from marine invertebrates, including marine sponges [10,11]. Marine sponges of the genera Mycale (Arenochalina) (family Mycalidae), Clathria (family Microcionidae), and Biemna (family Desmacellidae) include diverse sponge species belonging to the orders Poecilosclerida and Biemnida. They are rich producers of diverse and physiologically active secondary metabolites [12,13] with a wide range of biological activities, including cytotoxic, antimalarial [14,15], anti-HIV [16], anti-inflammatory [17,18], enzyme inhibitors [19], antifungal and antibacterial properties [20,21]. Some of these compounds are chemotaxonomic markers, particularly for some Poecilosclerida marine sponges of the genera Batzella, Crambe and Monanchora [22]. The World Porifera Database [23] lists 14 valid species of Mycale (Arenochalina), 55 of Biemna, and 381 of Clathria. To the best of our knowledge, chemical investigations have previously been carried out only on nineteen species of the genus Mycale (Arenochalina), i.e., Mycale (Arenochalina) mirabilis and Mycale (Arenochalina) sp., M. rotalis, M. aff. graveleyi, M. laxxissima, M. izuensis, M. fibrexilis, M. ancorina, M. (carmia) cf. spongiosa, M. adhaerens, M. magellanica, M. hentscheli, M. micracanthoxea, M. tenuispiculata, M. cecilia, M. laevis, M. lissochela and M. plumos. For the genus Biemna, only four species, including Biemna laboutei, Biemna sp., B. ehrenbergi, and B. fortis, were chemically studied, while eleven species of the genus Clathria, i.e., Clathria hirsuta, C. gombawuiensis, C. cervicornis, C. compressa, C. araiosa, Clathia. sp., C. calla, C. reinwardtii, C. lissosclera, C. basilana, C. strepsitoxa and C. pyramida were chemically investigated (Table 1). Due to our interest in the marine sponges of the order Poecilosclerida [22,24,25,26], we have reviewed the literature reporting the isolation of secondary metabolites from these three marine sponge genera, covering the period of 1976–2018. This up-to-date review focuses mainly on the chemistry of the isolated metabolites, although their biological and pharmacological properties are also discussed when they are available.

2. Chemistry and Biological Activities of the Secondary Metabolites Isolated from the Marine Sponges of the Genera Mycale (Arenochalina), Biemna and Clathria

In this section, we provide insights into the chemical classes and biological activities of the marine sponge-derived secondary metabolites obtained from these three genera. For convenience, the isolated compounds are divided into fourteen major groups, according to their skeleton as well as their biosynthetic origins. Additionally, their biological potentialities are also discussed whenever applicable.

2.1. Guanidine-Containing Alkaloids

Crambescidins, batzelladines, mirabilins and ptilocaulins are definite groups of marine cyclic guanidine-containing alkaloids that display potent biological activities, such as cytotoxic, antiviral, antifungal and anti-HIV-1 gp 120-human. These compounds were isolated from various marine sponge genera, like Batzella, Crambe, Monanchora and Ptilocaulis, and are chemotaxonomic markers for the marine sponges belonging to the orders Poecilosclerida and Axinellida [22,27]. Crambescidin 800 (1), a pentacyclic guanidine alkaloid, was isolated from the marine sponge Clathria (Thalysias) cervicornis, and was found to display potent antimicrobial activity against Acinetobacter baumannii, Klebsiella pneumoniae and Pseudomonas aeruginosa, with MIC values of 2, 1 and 1 μg/mL, respectively [21]. Recently, three new crambescidin-type alkaloids, including crambescidin 345 (2), crambescidin 361 (3) and crambescidin 373 (4), along with the known congeners 1, crambescidin 359 (5) and crambescidin 657 (6) (Figure 1), were isolated from the Indonesian marine sponge C. bulbotoxa. Interestingly, 3 was reported as a new crambescidin congener which possesses two identical saturated spiroaminal six-membered ring on both sides, which is considered to be rare within the crambescidin family. Additionally, 3 bears a propyl group as an alkyl substituent of the left-sided tetrahydropyran moiety. Compounds 25, possessing only the pentacyclic guanidinium core (vessel), exhibited moderate cytotoxicity against the A431 cancer cell line with IC50 values of 7.0, 2.5, 0.94 and 3.1 μg/mL, respectively. However, 1 and 6, featuring both the vessel and the long-chain ω-hydroxy fatty acid (anchor) motifs, displayed significant cytotoxicity with IC50 values of 48 and 12 nM, respectively. Such variation in cytotoxicity highlighted the importance of the spermidine part, which could act as a spacer linking two sites of interaction [24]. Furthermore, 24 demonstrated a strong anti-oomycete activity against the plant pathogenic fungus Phytophthora capsici with a minimum inhibitory dose (MID) of 50 μg/disk, while 1 and 6 showed a weak activity with MID 100 mg/disk or even higher [28]. Two batzelladine derivatives, norbatzelladine L (7) and clathriadic acid (8) (Figure 1), were isolated from the Caribbean marine sponge C. (Microciona) calla. Compound 7 exhibited potent cytotoxicity against a variety of cancer cell lines, including breast cancer (MDA-MB-231), non-small cell lung cancer (A549) and colon cancer (HT29), with GI50 = 0.7, 1.1 and 1.2 03BCg/mL, respectively, whereas 8 showed a weak antitumor activity with GI50 = 13.5, >30 and >30 μM, respectively. Moreover, 7 displayed stronger (IC50 = 0.4 μg/mL) antimalarial activity than 8 (IC50 = 2.3 μg/mL) [29].
Six tricyclic guanidine alkaloids, mirabilins A–F (914), were isolated from a Southern Australian marine sponge Mycale (Arenochalina) mirabilis [30]. Later on, seven further cytotoxic tricyclic guanidine alkaloids, netamines A–G (1521), were reported from a Madagascar marine sponge Biemna laboutei. These compounds showed an in vitro cytotoxic activity against three human cancer cell lines, i.e., NSCL (A549), colon (HT29), and breast (MDA-MB-231). While netamine C (17) showed GI50 values of 4.3, 2.4 and 2.6 μg/mL, respectively, netamine D (18) exhibited slightly higher GI50 values of 6.6, 5.3 and 6.3 μg/mL against these cancer cell lines [31]. An additional seven tricyclic alkaloids, netamines H–N (2228), along with the known congeners netamine G (21) and mirabilins A (9), C (11) and F (14), were isolated from the same marine sponge. These compounds displayed cytotoxic and antimalarial activities. Netamine M (27) exhibited cytotoxicity against KB cancer cell line with the IC50 in a micromolar range whereas netamine K (25) showed antiplasmodial activity against Plasmodium falciparum with the IC50 value of 2.4 μg/mL [14]. Another five antimalarial tricyclic guanidine alkaloids, netamines O–S (2933), were also isolated, together with the previously reported netamine E (19), from B. laboutei. Netamines O–Q (2931) showed a promising in vitro antimalarial activity against P. falciparum with IC50 values of 16.99 ± 4.12, 32.62 ± 3.44, and 8.37 ± 1.35 μg/mL, respectively. Moreover, these compounds also exhibited cytotoxic activity against the KB cancer cell line in the range of 10−5 M [15]. A tricyclic guanidine alkaloid, mirabilin G (34), isolated from the Australian sponge Clathria sp., displayed a moderate antibacterial activity against Gram-negative bacterial strains, including Escherichia coli and Serratia marcescens, as well as antifungal activity against Saccharomyces cerevisiae [32]. Further chemical investigation of the marine sponge Clathria sp., collected from South Australia, resulted in the isolation of mirabilins C (11), F (14) and G (34), along with three new congeners, namely mirabilins H–J (3537). Compounds 11, 14, 3437 displayed no cytotoxicity against neuroblastoma (SH-SY5Y), gastric (AGS), colorectal (HT29) and intestinal (Intestine-407) cancer cell lines, with LD50 > 30 μg/mL [33] (Figure 2).
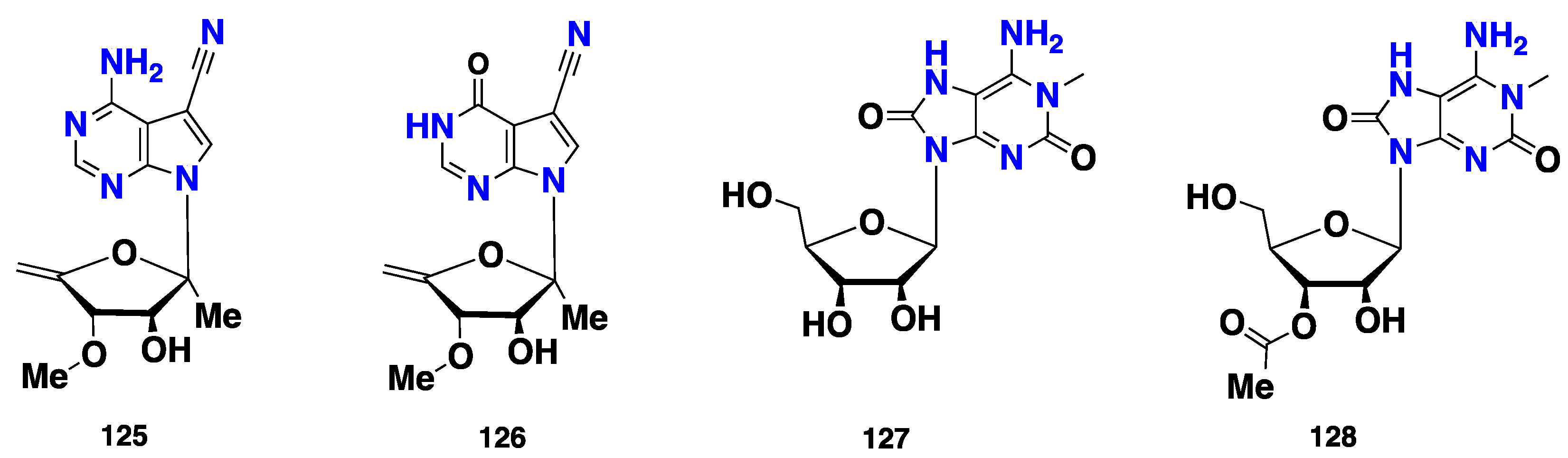
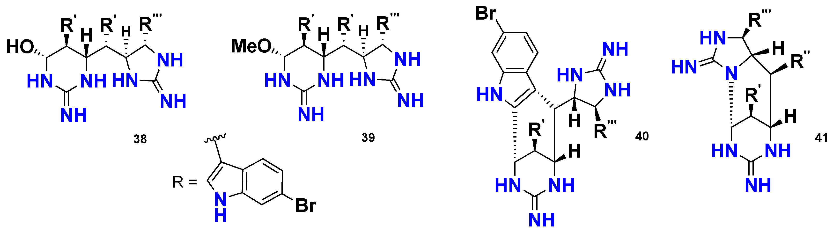
Another interesting group of marine cyclic guanidine alkaloids comprises those containing a bromoindole moiety. The tris-bromoindole cyclic guanidine alkaloids, araiosamine A–D (3841) (Figure 3), were isolated from the marine sponge Clathria (Thalysias) araiosa, collected from Vanuatu. These compounds originated from an unusual mode of linear polymerization of tryptamine units involving a C–C bond formation. Compounds 3841 were evaluated for their antimicrobial activity; however, none of them displayed significant antibacterial activity against S. aureus or anti-HIV activity [34].

2.2. Pyridoacridine, Pteridine, Tetrahydroquinolizine and N-methylpyrrolidone Alkaloids

Pyridoacridine alkaloids are a unique group of marine-derived metabolites and are one of the largest marine alkaloid families. Chemically, they feature a common tetracyclic hetero-aromatic parent-11H-pyrido[4,3,2nm] acridine or 4H-pyrido[2,3,4-kl] acridone [35,36]. Among the three marine sponge genera, pyridoacridine alkaloids were exclusively isolated from Biemna species. Biemnadin (42), 8, 9-dihydro-11-hydroxyascididemin (43), 8-hydroxyisocystodamine (44) and 9-hydroxyisocystodamine (45) (Figure 4), were reported from the Okinawan Biemna sp. Compounds 42 and 43 displayed a significant in vitro cytotoxicity against two tumor cell lines: human epidermoid carcinoma KB (with IC50 values of 1.73 and 0.209 μg/mL, respectively) and murine lymphoma L1210 (with IC50 values of 4.29 and 0.675 μg/mL, respectively) [37]. Moreover, labuanine A (46) was isolated, along with three previously described congeners, i.e., 42, 45 and isocystodamine (47) (Figure 4), from the Indonesian sponge B. fortis. All of these compounds induced multipolar neuritogenesis in more than 50% of Neuro 2A murine neuroblastoma cells at concentrations of 0.03–3 μM. Interestingly, 47 not only displayed the strongest neuritogenic activity but also activated an increase of the acetylcholinesterase level [38]. Matsunaga’s group [39] described the isolation of N-methylisocystodamine (48) and methoxymethylisocystodamine (49) (Figure 4), together with 47, from the marine sponge Biemna sp., collected at Oshima-Shinsone, Southern Japan. Both 48 and 49 were found to activate the erythroid differentiation of human leukemia K562 cells, with an ED50 value of 5 nM [39]. Later on, the same group [40] further isolated N-hydroxymethylisocystodamine (50) and neolabuaninen A (51), together with the previously reported congeners ecionines A (52) and B (53), 42, 45 and 47 (Figure 4), from the same sponge. These compounds displayed cytotoxicity and activated differentiation of K562 leukaemia cells into erythrocytes at a concentration of 5 μg/mL. Furthermore, 47 and 50 were the most active in inducing neuronal differentiation when compared to 42, 45 and 51. Interestingly, while 51 and 52 lowered this activity, 42, 47 and 53 showed no notable activity [40]. Another interesting group of marine-derived alkaloids are the pteridines, which represent a widely distributed family of naturally occurring alkaloids. Chemically, pteridine nucleus is composed of a pyrimidine ring fused with a pyrazine ring. Examples of this group are pseudoanchnazines A–C (5456) (Figure 4), which were isolated from the marine sponge Clathria sp., collected near the coast of Rio Negro, Argentina. Compound 54 showed a moderate inhibition against E. coli at 50 μg/disk [41]. Additionally, Sperry and Crews described isolation of a new tetrahydroquinolizinium ion, clathryimine A (57), which produced a decarboxylated derivative clathryimine B upon heating in CDCl3 (Figure 4), from the Indo-Pacific marine sponge C. basilana, collected in Indonesia [42]. Radhika et al. [43] reported the isolation of N-methylpyrrolidone (58) (Figure 4) from C. frondifera, collected from the East coast of India.

2.3. Monoindole Alkaloids

Wang et al. [44] reported the isolation of eleven brominated indole alkaloids, 5969 (Figure 5), from the marine sponge M. fibrexilis. Since monoindole alkaloids were less common for this sponge family, the authors proposed that they could be specific for this species.

2.4. Pyrrole-Containing Alkaloids

Fourteen pyrrole-containing metabolites, named mycalazols (7081) and mycalazals (8283) (Figure 6 and Figure 7), were isolated from M. micracanthoxea, collected at the Southern coast of Spain. Compounds 7083 displayed a potent in vitro cytotoxicity with ED50 values in the micromolar rang, against five cancer cell lines: P388, SCHABEL mice lymphoma, A549 human lung carcinoma, HT29 human colon carcinoma and MEL28 human melanoma, and 7576 and 81 were the most active analogues [45].
A further eleven pyrrole-containing metabolites, 8494 (Figure 8), were isolated from the same sponge, collected in the Caribbean Sea in Venezuela. The structures of these compounds were elucidated by analysis of their NMR, HRMS and GC-MS data. Compound 84 was the most active against Leishmania mexicana promastigotes, with LD50 value of 12 µg/mL [46]. Three 5-alkylpyrrole-2-carbaldehydes (9597) (Figure 8) were reported from M. tenuispiculata, collected in Southern India [47], while an additional fourteen 5-alkylpyrrole-2-carbaldehyde analogues, with varying alkyl side chains, named mycalazals (98108) and mycalenitriles (109111) (Figure 8) were isolated from M. Cecilia, collected in California. These compounds displayed growth inhibition activity against nine cancer cell lines, with GI50 values below 5 µg/mL, being 103 the most cytotoxic against the LNcaP cell line, with a GI50 value of 0.2 µg/mL. Compounds 98, 99 and 102 displayed remarkable cytostatic activity on this tumor cell line, with TGI (Total Growth Inhibition) values of 3.3, 2.6 and 2.8 µg/mL, respectively. Compounds 109111 exhibited potent cytotoxicity with high selectivity against PANC1 human pancreas, LOVO human colon, and HELA human lymphoma cell lines [48]. It is interesting to point out that the cytotoxicity exhibited by mycalazals and mycalenitriles is affected by the structural features of the alkyl side chains, including their length, the number and position of the unsaturations [48]. Recently, Xue et al. [49] described isolation of mycalenitrile-15 (112) and mycalenitrile-16 (113) from the Chinese M. lissochela. Compound 112 displayed a remarkable PTP1B (Protein-tyrosine phosphatase 1B) inhibitory activity with an IC50 value of 8.6 µM.

2.5. Bromine-Containing Amides

Three brominated acetylenic amides, clathrynamides A–C (114116) (Figure 9), were isolated from the Japanese marine sponge Clathria sp., collected from the Sad-misaki coast. Compound 114 displayed potent inhibitory activity against the mitotic cell division of starfish eggs at a very low concentration, with an IC50 value of 6 ng/mL, and cytotoxicity against the human myeloid K-562 cell line with an IC50 value of 0.2 μg/mL. Compounds 115 and 116 were less active than 114 against the mitotic cell division of starfish eggs, with IC50 values of 0.2 and 1 μg/mL, respectively. Based on the IC50 values of 114116, it is clear that the presence of a primary amide in the molecule plays an important role in the inhibitory activity of the mitotic cell division of starfish eggs [50].

2.6. Cyclic Peptides/Thiopeptides

Two cyclic thiopeptides, microcionamides A (117) and B (118), were isolated from C. (Thalysias) abietina, collected from the Philippines. Compounds 117 and 118 displayed a significant cytotoxicity against the human breast tumor cell lines, MCF-7 and SKBR-3, with the IC50 values of 125/98 nM and 177/172 nM, respectively. Furthermore, 117 and 118 also displayed inhibitory activity against Mycobacterium tuberculosis (H37Ra), with MIC value of 5.7 μg/mL [51]. Another cyclic thiopeptide, gombamide A (119) (Figure 10) was isolated from the Korean marine sponge C. gombawuiensis. 119 exhibited a weak cytotoxicity against K562 and A549 cell lines with the IC50 values of 6.9 and 7.1 μg/mL, respectively. Moreover, 119 also exhibited a moderate inhibitory activity against Na+/K+-ATPase with IC50 of 17.8 μg/mL [52]. Five cyclic tetrapeptides, azumamides A–E (120124), were isolated from the marine sponge M. izuensis. These compounds displayed a potent HDAC (Histone Deacetylase) inhibitory activity with the IC50 values of 0.045 to 1.3 µM, using enzymes obtained from K562 human leukemia cells. Compounds 120124 represented the first examples of cyclic peptides with HDAC inhibition activity recorded from marine invertebrates [53].

2.7. Nucleotides

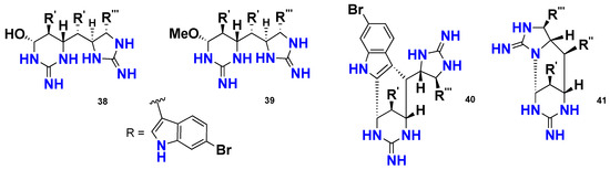
Two guanine-nucleotides, mycalisines A (125) and B (126) (Figure 11), from the Japanese sponge Mycale sp., were found to inhibit a cell division of the fertilized starfish (Asterina pectinifera) eggs with MIC50 of 0.5 and 200 µg/mL, respectively [54]. Two 8-oxoisoguanine-nucleotides, 127 and 128 (Figure 11), were isolated from Clathria (Microciona) strepsitoxa, collected from the Northeastern Atlantic. These compounds did not exhibit any significant antimicrobial or cytotoxic activity [55].

2.8. Fatty Acids

(Z)-16-pentacosenoic acid (129) and (Z)-18-pentacosenoic acid (130) were isolated from the hydrolyzed phospholipids of the Caribbean sponge M. laevis [56], while (5Z)-2-methoxy-5-hexadeconic acid (131) (Figure 12) was reported from M. laxissima [57]. Chemical investigation of the Red Sea M. euplectellioides led to the identification of hexacosa-(6Z,10Z)-dienoic acid methyl ester (132), hexacosa-(6Z,10Z)-dienoic acid (133) and icosa-(8Z,11Z)-dienoic acid methyl ester (134) (Figure 12). Compounds 132134 displayed weak cytotoxicity against A549 human lung carcinoma, U373 glioblastoma and PC-3 prostate cancer cell lines [58].

2.9. Polyketides Derivatives

Mycalamides A (135) and B (136) (Figure 13) were isolated from Mycale sp., collected from Otago Harbour, New Zealand. Both compounds exhibited a potent in vitro anti-HSV-1 activity. Compound 136 was a more potent antiviral agent than 135, with the Minimum Active Doses (MAD) of 1–2 and 3.5–5.0 ng/disk, respectively. Furthermore, 136 exhibited stronger (IC50 = 0.7 ± 0.3 ng/mL) cytotoxicity than 135 (IC50 = 3.0 ± 1.3 ng/mL) against P-388 cancer line [59,60]. Additionally, mycalamide D (137) (Figure 13), along with 135 and 136, were also reported from Mycale sp., collected from New Zealand [61]. Compounds 135 and 137 displayed significant cytotoxicity against three cell lines: non-tumorigenic pig kidney (LLC-PK1), human lung carcinoma (H441) and human neuroblastoma (SH-SY5Y) cell lines. Furthermore, 135137 exhibited remarkable cytotoxicity in a nanomolar range against lymphoma P-388 cells with IC50 values of 5.2, 1.3 and 65.5 ± 5.5 nM, respectively. From a structure-activity point of view, the cytotoxic potency is inversely proportional to the number of the methoxy groups as well as the polarity of the compounds (Figure 13) [61]. Within the polyketide group, acetogenins were also isolated from the marine sponge of the genus Mycale. Giordano et al. [62] reported the isolation of two polybrominated C15 acetogenins (138139) from M. rotalis, and subsequently, Notaro et al. isolated the C15 nonrterpenoid brominated ether (140) from the same sponge [63].

2.10. Anthraquinones

Six rhodocomatulin-type anthraquinones, including the previously reported rhodocomatulin 5, 7-dimethyl ether (141) and rhodocomatulin 7-methyl ether (142), together with the new 6-methoxyrhodocomatulin 7-methyl ether (143), 3-bromo-6-methoxy-12-deethylrhodocomatulin 7-methyl ether (144), 3-bromo-6-methoxyrhodocomatulin 7-methyl ether (155) and 3-bromorhodocomatulin 7-methyl ether (146) (Figure 14), were isolated from the marine sponge C. hirsuta, collected from the Great Barrier Reef, Australia. Compounds 141 and 142 were also isolated from the marine sponge Comatula rotalaria [64].

2.11. Macrolides

Three trioxazole containing macrolides, mycalolides A–C (147149) (Figure 15), isolated from the Japanese Mycale sp., displayed antifungal activity against some pathogenic fungi. These compounds also showed a promising cytotoxicity against the B-16 cancer cell line, with IC50 values ranging from 0.5 to 1.0 ng/mL [65]. 13-Deoxytedanolide (150) (Figure 15), along with 147148, were also isolated from the Japanese sponge M. adhaerens. Compound 150 exhibited significant cytotoxicity against P388 leukemia cells, with an IC50 value of 94 pg/mL [66]. The chemical investigation of Mycale sp., collected from New Zealand, afforded a potent cytotoxic thiazole-containing macrolide, pateamine (151) (Figure 15). Compound 151 displayed significant and selective cytotoxicity against P388 cells with an IC50 value of 0.15 ng/mL [67]. Thiomycalolides A (152) and B (153) (Figure 15), another two trioxazole-containing macrolides, were reported from Mycale sp., collected at Gokasho Bay, Japan. Both compounds were cytotoxic against human leukaemia P388 cells with an IC50 of 18 ng/mL [68]. Further analogues, including 30-hydroxymycalolide A (154), 32-hydroxymycalolide A (155) and 38-hydroxymycalolide B (156) (Figure 15), were isolated, together with 147149, from the Japanese M. magellanica. Compounds 154156 showed cytotoxicity against L1210 cells, with IC50 values of 0.019, 0.013 and 0.015 µg/mL, respectively [69,70]. Peloruside A (157), another cytotoxic macrolide, was isolated from Mycale sp., collected from New Zealand. This compound exhibited a remarkable cytotoxicity against P388 with IC50 value of 18 nM [71]. Additionally, 30, 32-dihydroxymycaloloide A (158) (Figure 15) was isolated from the Japanese sponge M. izuensis as a cytotoxic compound against HeLa cells with IC50 value of 2.6 ng/mL [72].
A bisoxazole-containing macrolide, secomycalolide A (159) (Figure 16), was isolated from a Japanese Mycale sp., together with 147 and 154. By using a chymotrypsin-like substrate, 159, 147 and 154 displayed a promising proteasome inhibition activity, with IC50 values of 11, 30 and 45 µg/mL, respectively [73]. Later on, peloruside B (160) (Figure 16), another potent cytotoxic macrolide, was isolated from the New Zealand sponge M. hentscheli. Compound 160 showed strong cytotoxicity against human myeloid leukemia cells (HL-60) and human ovarian carcinoma 1A9 cells with IC50 values of 33 ± 10 and 71 ± 6 nM, respectively [74]. Additionally, miuramides A (161) and B (162) (Figure 16) were identified from Mycale sp., collected from Japan. Both compounds showed significant cytotoxicity against 3YI cells with IC50 value of 7 nM [75]. Very recently, Suo et al., described the isolation of pelorusides C (163) and D (164) (Figure 16), also from the New Zealand sponge M. hentscheli. Both compounds showed cytotoxicity against HL-60 cell line, with IC50 values of more than 2 and 15 µM, respectively [76]. A structure-activity analysis revealed that pelorusides A–D (157, 160, 163 and 164) (Figure 15 and Figure 16) stabilize microtubules by binding to β-tubulin, similar to the antitumor drug paclitaxel, highlighting the potential of these compounds as promising anticancer drug candidates [74,75,77,78,79].

2.12. Terpenoids

Five sesquiterpenes, including two sesquiterpene phenols (+)-curcuphenol (165) and (+)-curcudiol (166), along with three minor compounds, 167169 (Figure 17), were reported from an Australian marine sponge Mycale (Arenochalina) sp. [80]. Compound 165 displayed in vitro cytotoxicity against P388 murine leukemia and human tumor cell lines (IC50 = 7 μg/mL), HCT-8 (colon; MIC = 0.1 μg/mL), mammary (MDAMB; MIC = 0.1 μg/mL) [80] and NSLC (A549; MIC = 10 μM) [81], as well as antifungal activity against Candida albicans and Cryptococcus neoformans (MIC = 15 μM) [81,82]. Moreover, 165 also showed antibacterial activity against both Staphylococcus aureus and methicillin-resistant S. aureus, with MIC value below 20 μM [82]. On the contrary, 166 only exhibited weak antifungal activity against filamentous fungi and Candida albicans with MIC = 250 μg/mL [81,83]. Three terpenoid metabolites, clathrins A–C (170172) (Figure 17), were isolated from the marine sponge Clathria sp., collected from the Great Australian Bight. Compound 170 represents the first example of a marine sesquiterpene/benzenoid in which the “benzenoid” residue retained a nonaromatic shikimate character, while 171 and 172 are rearranged norditerpenes. However, 172 was thought to be an artefact, which represents the oxidized form of 171 [84]. The unusual bicyclic C21-diterpenoids, including clathric acid (173) and two acyl taurine derivatives, clathrimides A (174) and B (175) (Figure 17), were isolated from the marine sponge C. compressa, which was collected in Florida [20]. These compounds were tested for antibacterial activity against several Gram-positive and Gram-negative bacteria. However, only 173 was found to exhibit weak antibacterial activity, with MIC = 32 μg/mL against S. aureus (ATTC 6538P), and with MIC = 64 μg/mL against both methicillin-resistant S. aureus (ATTC 33591) and vancomycin-resistant S. aureus (VRSA), while 174 and 175 exhibited no activity at the highest concentration tested (128 μg/mL). Moreover, none of the compounds showed activity against Gram-negative bacteria [20]. Three tetracyclic sesterterpenes, gombaspiroketals A–C (176178) (Figure 18), were isolated from the Korean sponge C. gombawuiensis, and showed in vitro cytotoxicity against K562 and A549 cell lines, with IC50 values of 1.45, 2.02, 0.85 and 0.77, 1.87, 4.65 μg/mL, respectively. Furthermore, 176 and 178 also exhibited antibacterial activity against several strains of Gram-positive bacteria, including S. aureus, Bacillus subtilis and Kocuria rhizophila, with MIC values of 25.0, 6.25, 12.5 and 25.0, 6.25, 25.0 μg/mL, respectively, and against Gram-negative bacteria Salmonela enterica and Proteus hauseri, with MIC values of 12.5, 6.25 and 25.0, 12.5 μg/mL, respectively. Moreover, 176178 also inhibited the enzymes Na+/K+-ATPase and isocitrate lyase (ICL) with IC50 = 10.9, 77.9, 18.7 and 57.4, >100, 66.3 μg/mL, respectively, and their inhibitory activity was hypothesized to be due to the three-dimensional structure of the spiroketal motif [85]. Phorone B (179) and ansellone C (180) (Figure 18), along with a nortriterpene sodium O-sulfonato-glucuronide saponin gombaside A (181) (Figure 18), were also isolated from C. gombawuiensis. Compound 181 features a rare 4,4,14-trimethyl pregnane skeleton. Compounds 179181 exhibited moderate cytotoxicity against A549 and k562 cancer cell lines with IC50 values of 4.7/3.9, 5.4/4.5 and 2.1/1.8 μg/mL, respectively. Interestingly, while 181 showed antibacterial activity against B. subtilis and P. hauseri with MIC values of 1.6 and 3.1 μg/mL, respectively, 179 and 180 were inactive (MIC > 100 μg/mL) [86]. Rotalins A (182) and B (183) are two diterpenes reported from the Mediterranean M. rotalis [87] while mycgranol (184) (Figure 18) is a diterpene, isolated from the Kenyan M. aff. graveleyi [88].
Norsesterterpene cyclic peroxides are a distinct class of marine sponges-derived metabolites. Five norsesterterpene cyclic peroxides, 185189 (Figure 19), were isolated from the Australian marine sponge M. ancorina [89]. Capon et al. [90] reported the isolation of further two norsesterterpene cyclic peroxides, 190191 (Figure 19), from M. (Carmia) cf. spongiosa, collected from New South Wales, Australia. Compounds 190191 were isolated from the CH2Cl2 soluble fraction, which exhibited antimicrobial activity against B. subtilis and Saccharomyces cerevisae. Mycaperoxides A (192) and B (193) (Figure 19), isolated from the Thai Mycale sp., were found to display in vitro potent cytotoxicity against three cancer cell lines, P-388, A-549 and HT.29 with IC50 of 0.5-1.0 µg/mL, and antiviral activity against several viruses, including HSV-1. Moreover, these compounds also showed antibacterial activity against B. subtilis and S. aureus [91]. A further five cyclic peroxides, 185, 186, 189, mycaperoxides C (194) and D (195), along with six norterpenes, 196201 (Figure 20), were isolated from M. sp. From Australia [92]. A re-investigation of Mycale sp., collected from New South Wales, Australia, allowed the identification of two further mycaperoxides F (202) and G (203) and a norterpene ketone (204) (Figure 20) [93]. Similarly, re-examination of the Thai Mycale sp., by Phuwapraisirisan et al., led to the isolation of mycaperoxide H (205) (Figure 20), which was cytotoxic against the HeLa cancer cell line with IC50 = 0.8 µg/mL [94].
Two aromatic keto-carotenoids, clathriacine (206) and trikentriohodine (207) (Figure 20), were isolated from the marine sponge identified as C. frondifera, which, if correct, is now a junior synonym of C. (Thalysias) vulpine [95,96].

2.13. Steroidal Compounds

Three highly oxygenated steroids, named contignasterol (208) and clathriols A (209) and B (210) (Figure 21), were isolated from the New Zealand marine sponge C. (Clathria) lissosclera. While 208 exhibited a histamine release inhibitory activity with an IC50 = 0.8 ± 0.32 μg/mL, 209 and 210 showed anti-inflammatory activity against the production of superoxide stimulated with N-formyl-methionine-leucine-phenylalanine (fmlp) or phorbol myristate acetate (PMA), with IC50 values of −33/27 and 140/130 μg/mL, respectively. Moreover, 209 also displayed a 72% inhibition of the histamine release in peritoneal mast cells and a 76% inhibition of human peripheral blood neutrophil at a concentration of 30 μM [17,18]. Bioassay-guided fractionation of the CHCl3-MeOH crude extract of the marine sponge Clathria sp., collected from the Red sea, resulted in the isolation of a sulfated sterol, clathsterol (211) (Figure 21), which displayed moderate antiviral activity against HIV-1 at a concentration of 10 μg/mL [16]. Biemansterol (212), along with the previously reported 24β-methylcholesta-5, 7, 22, 25-tetraen-3β-ol (213) (Figure 21), were isolated from the Okinawan marine sponge Biemna sp. [97]. Compound 212, which possesses a rare 22, 25-diene side chain displayed in vitro cytotoxicity against murine lymphoma L1210 and human epidermoid KB cell lines, with IC50 values of 3 and 1.3 μM, respectively [97]. Foristerol (214) (Figure 21), a steroid featuring an unusual seven-membered lactone ring, was reported from the Chinese marine sponge, B. fortis [98], while 5α, 8α-epidioxy-24(S)-ethylcholest-6-en-3β-ol (215) (Figure 21) was isolated from the Madagascar marine sponge B. triraphis [99]. Huang and Guo [100] described the isolation of nine steroids, including melithasterol B (216), (24R)-ergosta-7,22-dien-3, 5, 6-triol (217), (24R)-ergosta-4, 6, 8(14), 22-tetraen-3-one (218), (24R)-ergosta-4, 7, 22-trien-3-one (219), (24R)-ergosta-6, 22-dien-5, 8-epidioxy-3-ol (220), 6-hydroxycholest-4-en-3-one (221), cholest-4-en-3, 6-dione (222), cholest-4-en-3-one (223) and cholest-5, 22-dien-3-one (224) (Figure 21), from the Chinese marine sponge B. fortis. Compound 222 displayed mild inhibition of T- and B-lymphocytes proliferation and potent hPTP1B inhibitory activity, with IC50 = 1.6 μM [100]. Youssef et al. [101] reported the isolation of ehrenasterol (225) and (22E)-ergosta-5, 8, 22-trien-7-one-3β-ol (226), along with the previously reported (24R)-ergosta-6, 22-dien-5, 8-epidioxy-3-ol (220) and 216 (Figure 21), from the Red Sea marine sponge B. ehrenbergi. Compound 225 exhibited antibacterial activity with an inhibition zone of 20 mm at 100 μg/disc against E. coli. Moreover, both 225 and 226 showed weak cytotoxicity against a human colon adenocarcinoma (HCT-116) cancer cell line, with IC50 of 45 and 40 μg/mL, respectively [101]. The steroidal oligoglycosides, mycalosides A–I (227235) (Figure 22), were isolated from the Caribbean sponge M. laxissima. These compounds represent the first examples of steroidal oligoglycosides reported from marine sponges. The fraction containing 227235, along with the pure mycaloside A (227) and mycaloside G (233), showed growth inhibition of fertilized eggs of the marine urchin (Strongylocentrotus nudus), with EC50 of 7.4 and 3.2 µg/mL, respectively [102,103].

2.14. Miscellaneous Compounds

The unprecedented cytotoxic PKS/NPRS metabolites, mycapolyols A–F (236241) (Figure 23), were isolated from a Japanese M. izuensis. These compounds displayed cytotoxic activity against the HeLa cells, with IC50 values of 0.06, 0.05, 0.16, 0.40, 0.38 and 0.90 µg/mL, respectively [104]. On the other hand, the first naturally occurring 5-thiosugar, 5-thio-D-mannose (242) (Figure 23), was reported from the marine sponge C. (Dendrocia) pyramida [105] while diethylene glycol dibenzoate (243) was reported from C. reinwardtti, collected at the Mandapam coast in the Gulf of Mannar, Tamilnadu, India [106]. 1,5-Diazacyclohenicosane (244) (Figure 23), an aliphatic cyclic diamine was isolated from the Kenyan Mycale sp. [107]. Compound 244 exhibited significant cytotoxicity against A549 human lung carcinoma, HT29 human tissue carcinoma, and MDA-MB-231 human breast adenocarcinoma, with GI50 values of 5.41, 5.07 and 5.74 µM, respectively.

3. Conclusions and Prospects

This review presents extensive documented data, focusing on chemical diversity and biological activities of the secondary metabolites, isolated from the three marine sponge genera: Mycale (Arenochalina), Biemna and Clathria, demonstrating these marine species as prolific sources of structurally diverse bioactive compounds. Despite their production of tricyclic guanidine-containing alkaloids, these sponges are classified under two different orders: Mycale (Arenochalina)/Clathria (under the order Poecilosclerida) and Biemna (under the order Biemnida), as recent molecular data revealed that Biemna is not related to the Poecilosclerida, and hence a new order Biemnida was given for the genus Biemna. This finding could highlight the important question of using secondary metabolites as taxonomic markers. Another important chemical feature is the uniqueness of the production of pyridoacridine alkaloids by Biemna sponges, which implies the relatedness of Biemna genus to the order Poecilosclerida. The two hundred and forty-four metabolites reported in this review are put together into fourteen major chemical classes, according to their structural characteristics and biosynthetic origin. The vast array of bioactivities exhibited by some of these metabolites make these marine sponge genera some of the most attractive biological targets, worthy of further exploration.

Author Contributions

A.E.-D. designed and elaborated the manuscript. M.T. helped in manuscript preparation. A.G.A., J.N.A.H. provided comments and additional data. A.E.-M. and A.K. critically revised and improved the manuscript. All the authors approved the final version of the manuscript.

Acknowledgments

This work was supported by the mission sector of the Ministry of High Education of the Arab Republic of Egypt (Egyptian cultural bureau in Paris and Athens); Amr El-Demerdash’s, and Mohamed Tammam’s joint supervision were fully funded and supported.

Conflicts of Interest

The authors declare no conflict of interest.

Abbreviations

The following abbreviations are used in this manuscript:
EC50Half maximal Effective Concentration
GI50Half maximal Growth Inhibition
HIV-1 Human Immunodeficiency Virus 1
IC50Half maximal Inhibitory Concentration
MICMinimum Inhibitory Concentration
MADMinimum active Dose
MIDMinimal Infective Dose
LD50Lethal Dose 50 (median concentration of a toxicant that will kill 50% of the test animals within a designated period

References

  1. Miller, J.H.; Field, J.J.; Kanakkanthara, R.; Owen, J.G.; Singh, A.J.; Northcote, P.T. Marine invertebrate natural products that target microtubules. J. Nat. Prod. 2018, 81, 691–702. [Google Scholar] [CrossRef] [PubMed]
  2. Newman, D.J.; Cragg, G.M. Natural products as sources of new drugs from 1981 to 2014. J. Nat. Prod. 2016, 79, 629–661. [Google Scholar] [CrossRef] [PubMed]
  3. Blunt, J.W.; Carroll, A.R.; Copp, A.R.; Davis, R.A.; Keyzers, R.A.; Prinsep, M.R. Marine natural Products. Nat. Prod. Rep. 2018, 35, 8–53. [Google Scholar] [CrossRef] [PubMed]
  4. Deshmukh, S.K.; Prakash, V.; Ranjan, N. Marine fungi: A source of potential anticancer compounds. Front. Microbiol. 2018, 8, 1–24. [Google Scholar] [CrossRef] [PubMed]
  5. Leal, M.C.; Hilàrio, A.; Munro, M.H.G.; Blunt, J.W.; Calado, R. Natural products discovery needs improved taxonomic and geographic information. Nat. Prod. Rep. 2016, 33, 747–750. [Google Scholar] [CrossRef] [PubMed]
  6. Blunt, J.W.; Copp, B.R.; Keyzers, R.A.; Munro, M.H.G.; Prinsep, M.R. Marine natural products. Nat. Prod. Rep. 2016, 33, 382–431. [Google Scholar] [CrossRef] [PubMed]
  7. Blunt, J.W.; Copp, B.R.; Keyzers, R.A.; Munro, M.H.G.; Prinsep, M.R. Marine natural products. Nat. Prod. Rep. 2015, 32, 116–211. [Google Scholar] [CrossRef] [PubMed]
  8. Montaser, R.; Luesch, H. Marine natural products: A new wave of drugs. Future Med. Chem. 2011, 3, 1475–1489. [Google Scholar] [CrossRef] [PubMed]
  9. Patridge, E.; Gareiss, P.; Kinch, M.S.; Hoyer, D. An analysis of FDA-approved drugs: Natural products and their derivatives. Drug Discov. Today 2016, 21, 204–207. [Google Scholar] [CrossRef] [PubMed]
  10. Mayer, A.M.S.; Glaser, K.B.; Cuevas, C.; Jacobs, R.S.; Kem, W.; Little, R.D.; McIntosh, J.M.; Newman, D.J.; Potts, B.C.; Shuster, D.E. The odyssey of marine pharmaceuticals: A current pipeline perspective. Trends Pharmacol. Sci. 2010, 31, 255–265. [Google Scholar] [CrossRef] [PubMed]
  11. Martins, A.; Vieira, H.; Gaspar, H.; Santos, S. Marketed marine natural products in the pharmaceutical and cosmeceutical industries: Tips for Success. Mar. Drugs 2014, 12, 1066–1101. [Google Scholar] [CrossRef] [PubMed]
  12. Berlinck, R.G.S.; Romminger, S. The chemistry and biology of guanidine natural products. Nat. Prod. Rep. 2016, 33, 456–490. [Google Scholar] [CrossRef] [PubMed]
  13. Berlinck, R.G.S.; Bertonha, A.F.; Takaki, M.; Rodriguez, J.P.G. The chemistry and biology of guanidine natural products. Nat. Prod. Rep. 2017, 34, 1264–1301. [Google Scholar] [CrossRef] [PubMed]
  14. Gros, E.; Al-Mourabit, A.; Martin, M.T.; Sorres, J.; Vacelet, J.; Frederick, M.; Aknin, M.; Kashman, Y.; Bialecki, A.G. Netamines H–N, tricyclic alkaloids from the marine sponge Biemna laboutei and their antimalarial Activity. J. Nat. Prod. 2014, 77, 818–823. [Google Scholar] [CrossRef] [PubMed]
  15. Gros, E.; Martin, M.T.; Sorres, J.; Moriou, C.; Vacelet, J.; Frederich, M.; Aknin, M.; Kashman, Y.; Bialecki, Y.G.; Al-Mourabit, A. Netamines O–S, five new tricyclic guanidine alkaloids from the Madagascar sponge Biemna laboutei, and their antimalarial activities. Chem. Biodivers. 2015, 12, 1725–1733. [Google Scholar] [CrossRef] [PubMed]
  16. Rudi, A.; Yosief, T.; Loya, S.; Hizi, A.; Schleyer, M.; Kashman, Y. Clathsterol, a novel anti-HIV-1 RT sulfated sterol from the sponge Clathria species. J. Nat. Prod. 2001, 64, 1451–1453. [Google Scholar] [CrossRef] [PubMed]
  17. Keyzers, R.A.; Northcote, P.T.; Webb, V. Clathriol, a novel polyoxygenated 14 steroid isolated from the New Zealand marine sponge Clathria lissosclera. J. Nat. Prod. 2002, 65, 598–600. [Google Scholar] [CrossRef] [PubMed]
  18. Keyzers, R.A.; Northcote, P.T.; Berridge, M.V. Clathriol B, a new 14β marine sterol from the New Zealand sponge Clathria lissosclera. Aust. J. Chem. 2003, 56, 279–282. [Google Scholar] [CrossRef]
  19. Ruocco, N.; Costantini, S.; Palumbo, F.; Costantini, M. Marine sponges and bactéria as challenging sources of enzyme inhibitors for pharmacological applications. Mar. Drugs 2017, 15, 173. [Google Scholar] [CrossRef] [PubMed]
  20. Gupta, P.; Sharma, U.; Schulz, T.C.; McLean, A.B.; Robins, A.J.; West, L.M. Bicyclic C21 terpenoids from the marine sponge Clathria compressa. J. Nat. Prod. 2012, 75, 1223–1227. [Google Scholar] [CrossRef] [PubMed]
  21. Sun, X.; Sun, S.; Ference, C.; Zhu, W.; Zhou, N.; Zhang, Y.; Zhou, K. A potent antimicrobial compound isolated from Clathria cervicornis. Bioorg. Med. Chem. Lett. 2015, 25, 67–69. [Google Scholar] [CrossRef] [PubMed]
  22. El-Demerdash, A.; Atanasov, A.G.; Bishayee, A.; Abdel-Mogib, M.; Hooper, J.N.A.; Al-Mourabit, A. Batzella, Crambe and Monanchora: Highly prolific marine sponge genera yielding compounds with potential applications for cancer and other therapeutic areas. Nutrients 2018, 10, 33. [Google Scholar] [CrossRef] [PubMed]
  23. Van Soest, R.W.M.; Boury-Esnault, N.; Hooper, J.N.A.; Rützler, K.; de Voogd, N.J.; Alvarez, B.; Hajdu, E.; Pisera, A.B.; Manconi, R.; Schönberg, C.; et al. World Porifera Database. 2018. Available online: http://www.marinespecies.org/porifera/ (accessed on 28 April 2018).
  24. El-Demerdash, A.; Moriou, C.; Martin, M.T.; Rodrigues-Stien, A.; Petek, S.; Demoy-Schnider, M.; Hall, K.; Hooper, J.N.A.; Debitus, C.; Al-Mourabit, A. Cytotoxic guanidine alkaloids from a French Polynesian Monanchora n. sp. sponge. J. Nat. Prod. 2016, 79, 1929–1937. [Google Scholar] [CrossRef] [PubMed]
  25. El-Demerdash, A. Isolation of Bioactive Marine Natural Products and Bio-Inspired Synthesis of Fused Guanidinic Tricyclic Analogues. Unpublished Ph.D. Thesis, University of Paris-Saclay, Paris, France, May 2016. [Google Scholar]
  26. El-Demerdash, A.; Moriou, C.; Martin, M.T.; Petek, S.; Debitus, C.; Al-Mourabit, A. Unguiculins A–C: Cytotoxic bis-guanidine alkaloids from the French Polynesian sponge, Monanchora n. sp. Nat. Prod. Res. 2017, 1–6. [Google Scholar] [CrossRef] [PubMed]
  27. Sfecci, E.; Lacour, T.; Amad, P.; Mehiri, M. Polycyclic guanidine alkaloids from Poecilosclerida marine sponges. Mar. Drugs 2016, 14, 77–101. [Google Scholar] [CrossRef] [PubMed]
  28. Kasmiati, K.; Yoshioka, Y.; Okamoto, T.; Ojika, M. New Crambescidin-Type Alkaloids from the Indonesian Marine Sponge Clathria bulbotoxa. Mar. Drugs 2018, 16, 84. [Google Scholar] [CrossRef] [PubMed]
  29. Laville, R.; Thomas, O.; Berrué, F.; Marquez, D.; Vacelet, J.; Amade, D. Bioactive guanidine alkaloids from two Caribbean marine sponges. J. Nat. Prod. 2009, 72, 1589–1594. [Google Scholar] [CrossRef] [PubMed]
  30. Barrow, R.A.; Murray, L.M.; Lim, T.K.; Capon, R.J. Mirabilins (A–F): New Alkaloids from a Southern Australian Marine Sponge, Arenochalina mirabilis. Aust. J. Chem. 1996, 49, 767–773. [Google Scholar] [CrossRef]
  31. Sorek, H.; Rudi, A.; Gueta, S.; Reyes, F.; Martin, M.J.; Aknin, M.; Gaydou, E.; Vacelet, J.; Kashman, Y. Netamines A–G: Seven new tricyclic guanidine alkaloids from the marine sponge Biemna laboutei. Tetrahedron 2006, 62, 8838–8843. [Google Scholar] [CrossRef]
  32. Capon, R.; Miller, M.; Rooney, F. Mirabilin G: A new alkaloid from a southern Australian marine sponge, Clathria species. J. Nat. Prod. 2001, 64, 643–644. [Google Scholar] [CrossRef] [PubMed]
  33. El-Naggar, M.; Conte, M.; Capon, R. Mirabilins revisited: Polyketide alkaloids from a southern Australian marine sponge, Clathria sp. Org. Biomol. Chem. 2010, 8, 407–412. [Google Scholar] [CrossRef] [PubMed]
  34. Wei, X.; Henriksen, N.; Skalicky, J.; Harper, M.; Cheatham, T.; Ireland, C.; Wagoner, R. Araiosamines A–D: Tris-bromoindole cyclic guanidine alkaloids from the marine sponge Clathria (Thalysias) araiosa. J. Org. Chem. 2011, 76, 5515–5523. [Google Scholar] [CrossRef] [PubMed]
  35. Kijjoa, A. Pyridoacridine alkaloids from marine Origin: Sources and Anticancer Activity. In Handbook of Anticancer Drugs from Marine Origin; Kim, S.-K., Ed.; Springer International Publishing: Cham, Switzerland, 2014; pp. 771–802. ISBN 978-3-319-07144-2. [Google Scholar]
  36. Ibrahim, S.R.M.; Mohamed, G.A. Marine pyridoacridine alkaloids: Biosynthesis and biological activities. Chem. Biodivers. 2016, 13, 37–47. [Google Scholar] [CrossRef] [PubMed]
  37. Zeng, C.M.; Ishibashi, M.; Matsumoto, K.; Nakaike, S.; Kobayashi, J. Two new polycyclic aromatic alkaloids from the Okinawan marine sponge Biemna sp. Tetrahedron 1993, 49, 8337–8342. [Google Scholar] [CrossRef]
  38. Aoki, S.; Wei, H.; Matsui, K.; Rachmat, R.; Kobayashi, M. Pyridoacridine alkaloids inducing neuronal differentiation in a neuroblastoma cellLine, from marine sponge Biemna fortis. Bioorg. Med. Chem. 2003, 11, 1969–1973. [Google Scholar] [CrossRef]
  39. Ueoka, R.; Ise, Y.; Okada, S.; Matsunaga, S. Cell differentiation inducers from a marine sponge Biemna sp. Tetrahedron 2011, 67, 6679–6681. [Google Scholar] [CrossRef]
  40. Morana, D.A.P.; Takadaa, K.; Ise, Y.; Bontemsc, N.; Davis, R.A.; Furihatae, K.; Okada, S.; Matsunaga, S. Two cell differentiation inducing pyridoacridines from a marine sponge Biemna sp and their chemical conversions. Tetrahedron 2015, 71, 5013–5018. [Google Scholar] [CrossRef]
  41. Zuleta, I.; Vitelli, M.; Baggio, R.; Garland, M.; Seldes, A.; Palermo, J. Novel pteridine alkaloids from the sponge Clathria sp. Tetrahedron 2002, 58, 4481–4486. [Google Scholar] [CrossRef]
  42. Sperry, S.; Crews, P. A novel alkaloid from the Indo-Pacific sponge Clathria basilana. Tetrahedron Lett. 1996, 37, 2389–2390. [Google Scholar] [CrossRef]
  43. Radhika, G.; Venkatesan, R.; Kathiroli, S. N-methylpyrrolidone: Isolation and characterization of the compound from the marine sponge Clathria frondifera (class:Demospongiae). Indian J. Mar. Sci. 2007, 36, 235–238. [Google Scholar]
  44. Wang, R.P.; Lin, H.W.; Li, L.Z.; Gao, P.Y.; Xu, Y.; Song, S.J. Monoindole alkaloids from a marine sponge Mycale fibrexilis. Biochem. Syst. Ecol. 2012, 43, 210–213. [Google Scholar] [CrossRef]
  45. Ortega, M.J.; Zubia, E.; Carballo, J.L.; Salva, J. New cytotoxic metabolites from the sponge Mycale micracanthoxea. Tetrahedron 1997, 53, 331–340. [Google Scholar] [CrossRef]
  46. Compagnone, R.S.; Oliveri, M.C.; Pina, I.C.; Marques, S.; Rangel, H.R.; Dagger, F.; Suarez, A.I.; Gomez, M. 5-alkylpyrrole-2-carboxaldehydes from the Caribbean sponges Mycale Microsigmatosa and Desmapsamma Anchorata. Nat. Prod. Lett. 1999, 13, 203–211. [Google Scholar] [CrossRef]
  47. Venkatesham, U.; Rao, M.R.; Venkateswarlu, Y. New 5-alkylpyrrole-2-carboxaldehyde derivatives from the sponge Mycale tenuispiculata. J. Nat. Prod. 2000, 63, 1318–1320. [Google Scholar] [CrossRef] [PubMed]
  48. Ortega, M.J.; Zubia, E.; Sanchez, M.C.; Salva, J.; Carballo, J.L. Structure and cytotoxicity of new metabolites from the sponge Mycale cecilia. Tetrahedron 2004, 60, 2517–2524. [Google Scholar] [CrossRef]
  49. Xue, D.-Q.; Liu, H.-L.; Chen, S.-H.; Mollo, E.; Gavagnin, M.; Li, J.; Li, X.-W.; Guo, Y.-W. 5-Alkylpyrrole-2-carboxaldehyde derivatives from the Chinese sponge Mycale lissochela and their PTP1B inhibitory activities. Chin. Chem. Lett. 2017, 28, 1190–1193. [Google Scholar] [CrossRef]
  50. Ohta, S.; Okada, H.; Kobayashi, H.; Oclarit, J.; Ikegami, S. Clathrynamides A, B, and C: Novel amides from a marine sponge Clathria sp. that inhibit cell division of fertilized starfish eggs. Tetrahedron Lett. 1993, 34, 5935–5938. [Google Scholar] [CrossRef]
  51. Davis, R.; Mangalindan, G.; Bojo, Z.; Antemano, R.; Rodriguez, N.; Concepcion, G.; Samson, S.; Guzman, D.; Cruz, L.; Tasdemir, D.; et al. Microcionamides A and B, bioactive peptides from the Philippine sponge Clathria (Thalysias) abietina. J. Org. Chem. 2004, 69, 4170–4176. [Google Scholar] [CrossRef] [PubMed]
  52. Woo, J.; Jeon, J.; Kim, C.; Sim, C.; Oh, D.; Oh, K.; Shin, J. Gombamide A, a cyclic thiopeptide from the sponge Clathria gombawuiensis. J. Nat. Prod. 2013, 76, 1380–1383. [Google Scholar] [CrossRef] [PubMed]
  53. Nakao, Y.; Yoshida, S.; Matsunaga, S.; Shindoh, N.; Terada Koji, N.; Yamashita, J.K.; Ganesan, A.; van Soest, R.W.M.; Fusetani, N. Azumamides A–E: Histone Deacetylase Inhibitory Cyclic Tetrapeptides from the Marine Sponge Mycale izuensis. Angew. Chem. Int. Ed. 2006, 45, 7553–7557. [Google Scholar] [CrossRef] [PubMed]
  54. Kato, Y.; Fusetani, N.; Matsunaga, S.; Hashimoto, K. Bioactive marine metabolites IX. Mycalisines A and B, novel nucleosides which inhibit cell division of fertilized starfish eggs, from the marine sponge Mycale sp. Tetrahedron Lett. 1985, 26, 3483–3486. [Google Scholar] [CrossRef]
  55. Firsova, D.; Calabro, K.; Lasserre, P.; Reyes, F.; Thomas, O.P. Isoguanosine derivatives from the Northeastern Atlantic sponge Clathria (Microciona) strepsitoxa. Tetrahedron Lett. 2017, 58, 4652–4654. [Google Scholar] [CrossRef]
  56. Carballeira, N.M.; Negron, V.; Reyes, E.D. Novel monounsaturated fatty acids from the sponges Amphimedon compressa and Mycale laevis. J. Nat. Prod. 1992, 55, 333–339. [Google Scholar] [CrossRef]
  57. Carballeira, N.M.; Negron, V.; Reyes, E.D. Novel naturally occurring α-methoxy acids from the phospholipids of Caribbean sponges. Tetrahedron 1992, 48, 1053–1058. [Google Scholar] [CrossRef]
  58. Mohamed, G.A.; Zbd-Elrazek, A.E.E.; Hassanean, H.A.; Alhdal, A.M.; Almohammadi, A.; Youssef, D.T.A. New fatty acids from the Red Sea sponge Mycale euplectellioides. Nat. Prod. Res. 2014, 28, 1080–1092. [Google Scholar] [CrossRef] [PubMed]
  59. Perry, N.B.; Blunt, J.W.; Munro, M.H.G.; Pannell, L.K. Mycalamide A, an antiviral compound from a New Zealand sponge of the genus Mycale. J. Am. Chem. Soc. 1988, 110, 4850–4851. [Google Scholar] [CrossRef]
  60. Perry, N.B.; Blunt, J.W.; Munro, M.H.G.; Thompson, A.M. Antiviral and antitumor agents from a New Zealand sponge, Mycale sp. Structures and solution conformations of mycalamides A and B. J. Org. Chem. 1990, 55, 223–227. [Google Scholar] [CrossRef]
  61. West, L.M.; Northcote, P.T.; Hood, K.A.; Miller, J.H.; Page, M.J. Mycalamide D, a new cytotoxic amide from the New Zealand marine sponge Mycale species. J. Nat. Prod. 2000, 63, 707–709. [Google Scholar] [CrossRef] [PubMed]
  62. Giordano, F.; Mayol, L.; Notaro, G.; Piccilli, V.; Sica, D. Structure and absolute configuration of two new Polybrominated CI5 acetogenins from the sponge Mycale rotalis. J. Chem. Soc. Chem. Commun. 1990, 1559–1561. [Google Scholar] [CrossRef]
  63. Notaro, G.; Piccialli, V.; Sica, D.; Mayol, L.; Giordano, F. A further C15 nonterpenoid Polybromoether from the Encrusting sponge Mycale rotalis. J. Nat. Prod. 1992, 55, 626–632. [Google Scholar] [CrossRef]
  64. Khokhar, S.; Pierens, G.; Hooper, J.; Ekins, M.; Feng, Y.; Davis, R. Rhodocomatulin-type anthraquinones from the Australian marine invertebrates Clathria hirsuta and Comatula rotalaria. J. Nat. Prod. 2016, 79, 946–953. [Google Scholar] [CrossRef] [PubMed]
  65. Fusetani, N.; Yasumuro, K.; Matsunaga, S.; Hashimoto, K. Mycalolides A–C, hybrid macrolides of ulapualides and halichondramide, from a sponge of the genus Mycale. Tetrahedron Lett. 1989, 30, 2809–2812. [Google Scholar] [CrossRef]
  66. Fusetani, N.; Sugawara, T.; Matsunaga, S. Bioactive marine metabolites. Part 35. Cytotoxic metabolites of the marine sponge Mycale adhaerens Lambe. J. Org. Chem. 1991, 56, 4971–4974. [Google Scholar] [CrossRef]
  67. Northcote, P.T.; Blunt, J.W.; Munro, M.H.G. Pateamine: A potent cytotoxin from the New Zealand Marine sponge, Mycale sp. Tetrahedron Lett. 1991, 32, 6411–6414. [Google Scholar] [CrossRef]
  68. Matsunaga, S.; Nogata, Y.; Fusetani, N. Thiomycalolides:  New cytotoxic trisoxazole-containing macrolides isolated from a marine sponge Mycale sp. J. Nat. Prod. 1998, 61, 663–666. [Google Scholar] [CrossRef] [PubMed]
  69. Matsunaga, S.; Sugawara, T.; Fusetani, N. New mycalolides from the marine sponge Mycale magellanica and their interconversion. J. Nat. Prod. 1998, 61, 1164–1167. [Google Scholar] [CrossRef] [PubMed]
  70. Matsunaga, S.; Liu, P.; Celatka, C.A.; Panek, J.S.; Fusetani, N. Relative and absolute stereochemistry of mycalolides, bioactive macrolides from the marine sponge Mycale magellanica. J. Am. Chem. Soc. 1999, 121, 5605–5606. [Google Scholar] [CrossRef]
  71. West, L.M.; Northcote, P.T.; Battershill, C.N. Peloruside A:  A potent cytotoxic macrolide isolated from the New Zealand marine sponge Mycale sp. J. Org. Chem. 2000, 65, 445–449. [Google Scholar] [CrossRef] [PubMed]
  72. Phuwapraisirisan, P.; Matsunaga, S.; van Soest, R.W.M.; Fusetani, N. isolation of a new mycalolide from the marine sponge Mycale izuensis. J. Nat. Prod. 2002, 65, 942–943. [Google Scholar] [CrossRef] [PubMed]
  73. Tsukamoto, S.; Koimaru, K.; Ohta, T. Secomycalolide A: A new proteasome inhibitor isolated from a marine sponge of the genus Mycale. Mar. Drugs 2005, 3, 29–35. [Google Scholar] [CrossRef]
  74. Singh, A.J.; Xu, C.X.; Xu, X.; West, L.M.; Wilmes, A.; Chan, A.; Hamel, E.; Miller, J.H.; Northcote, P.T.; Ghosh, A.K. Peloruside B, A potent antitumor Macrolide from the New Zealand marine sponge Mycale hentscheli: Isolation, structure, total synthesis, and bioactivity. J. Org. Chem. 2010, 75, 2–10. [Google Scholar] [CrossRef] [PubMed]
  75. Suo, R.; Takada, K.; Kohtsuka, H.; Ise, Y.; Okada, S.; Matsunaga, S. Miuramides A and B, trisoxazole macrolides from a Mycale sp. marine sponge that induce a protrusion phenotype in cultured mammalian cells. J. Nat. Prod. 2018, 81, 1108–1112. [Google Scholar] [CrossRef] [PubMed]
  76. Singh, A.J.; Razzak, M.; Teesdale-Spittle, P.; Gaitanos, T.N.; Wilmes, A.; Paterson, I.; Goodman, J.; Miller, J.H.; Northcote, P.T. Structure–activity studies of the pelorusides: New congeners and semi-synthetic analogues. Org. Biomol. Chem. 2011, 9, 4456–4466. [Google Scholar] [CrossRef] [PubMed]
  77. Kanakkanthara, A.; Northcote, P.T.; Miller, J.H. Peloruside A: A lead non-taxoid-site microtubule-stabilizing agent with potential activity against cancer, neurodegeneration, and autoimmune disease. Nat. Prod. Rep. 2016, 33, 549–561. [Google Scholar] [CrossRef] [PubMed]
  78. Hood, K.A.; West, L.M.; Rouwe, B.; Northcote, P.T.; Berridge, M.V.; Wakefield, S.J.; Miller, J.H. Peloruside A, a novel antimitotic agent with paclitaxel-like microtubule- stabilizing activity. Cancer Res. 2002, 62, 3356–3360. [Google Scholar] [PubMed]
  79. Ganguly, A.; Cabral, F.; Yang, H.; Patel, K.D. Peloruside A is a microtubule-stabilizing agent with exceptional anti-migratory properties in human endothelial cells. Oncoscience 2015, 2, 585–595. [Google Scholar] [CrossRef] [PubMed]
  80. Butler, M.S.; Capon, R.J.; Nadeson, R.; Beveridge, A.A. Aromatic bisabolenes from an Australian marine sponge, Arenochalina sp. J. Nat. Prod. 1991, 54, 619–623. [Google Scholar] [CrossRef]
  81. Wright, A.E.; Pomponi, S.A.; McConnell, O.J.; Kohmoto, S.; McCarthy, P.J. (+)-Curcuphenol and (+)-curcudiol, sesquiterpene phenols from shallow and deep water collections of the marine sponge Didiscus flavus. J. Nat. Prod. 1987, 50, 976–978. [Google Scholar] [CrossRef]
  82. Peng, J.; Franzblau, S.G.; Zhang, F.; Hamann, M.T. Novel sesquiterpenes and a lactone from the Jamaican sponge Myrmekioderma styx. Tetrahedron Lett. 2002, 43, 9699–9702. [Google Scholar] [CrossRef]
  83. Gaspar, H.; Feio, S.S.; Rodrigues, A.I.; van Soest, R.W.M. Antifungal activity of (+)-curcuphenol, a metabolite from the marine sponge Didiscus oxeata. Mar. Drugs 2004, 2, 8–13. [Google Scholar] [CrossRef]
  84. Capon, R.; Miller, M.; Rooney, F. Clathrins A–C: Metabolites from a southern Australian marine sponge, Clathria species. J. Nat. Prod. 2000, 63, 821–824. [Google Scholar] [CrossRef] [PubMed]
  85. Woo, J.; Kim, C.; Kim, S.; Kim, H.; Oh, D.; Oh, K.; Shin, J. Gombaspiroketals A–C sesterterpenes from the sponge Clathria gombawuiensis. Org. Lett. 2014, 16, 2826–2829. [Google Scholar] [CrossRef] [PubMed]
  86. Woo, J.; Kim, C.; Ahn, C.; Oh, D.; Oh, K.; Shin, J. Additional sesterterpene and a nortriterpene saponin from the sponge Clathria gombawuiensis. J. Nat. Prod. 2015, 78, 218–224. [Google Scholar] [CrossRef] [PubMed]
  87. Corriero, G.; Madaio, A.; Mayol, L.; Piccialli, V.; Sica, D. Rotalin A and B, two novel diterpene from the encrusting Mediterranean sponge Mycale Rotalis (Bowerbank). Tetrahedron 1989, 45, 277–288. [Google Scholar] [CrossRef]
  88. Rudi, A.; Benayahu, Y.; Kashman, Y. Mycgranol, a new diterpene from the marine sponge Mycale aff. Graveleyi. J. Nat. Prod. 2005, 68, 280–281. [Google Scholar] [CrossRef] [PubMed]
  89. Capon, R.J.; Macleod, J.K. Structural and stereochemical studies on marine norterpene cyclic peroxides, Part 2. J. Nat. Prod. 1987, 50, 225–229. [Google Scholar] [CrossRef]
  90. Capon, R.J. Two new norsesterterpene cyclic peroxides from a marine sponge, Mycale (Carmia) cf. spongiosa. J. Nat. Prod. 1991, 54, 190–195. [Google Scholar] [CrossRef]
  91. Tanaka, J.-C.; Higo, T.; Suwanborirus, K.; Kokpol, U.; Bernardinelli, G.; Jefford, C.W. Bioactive norsesterterpene 1,2-dioxanes from a Thai sponge, Mycale sp. J. Org. Chem. 1993, 58, 2999–3002. [Google Scholar] [CrossRef]
  92. Capon, R.J.; Rochfort, S.J.; Ovenden, S.P.B. Cyclic peroxides and related norterpenes from a Southern Australian marine sponge, Mycale sp. J. Nat. Prod. 1997, 60, 1261–1264. [Google Scholar] [CrossRef]
  93. Capon, R.J.; Rochfort, S.J.; Ovenden, S.P.B.; Metzger, R.P. Mycaperoxides F and G and a related norterpene ketone from Southern Australian marine sponges, Mycale Species. J. Nat. Prod. 1998, 61, 525–528. [Google Scholar] [CrossRef]
  94. Phuwapraisirisan, P.; Matsunaga, S.; Fusetani, N.; Chaitanawisuti, N.; Kritsanapuntu, S.; Menasveta, P. Mycaperoxide H, a new cytotoxic norsesterterpene peroxide from a Thai marine sponge Mycale sp. J. Nat. Prod. 2003, 66, 289–291. [Google Scholar] [CrossRef] [PubMed]
  95. Tanaka, Y.; Katyama, T. Biochemical studies on the carotenoids in Porifera. The structure of clathriaxanathin in sea sponge Clathria frondifera (Bower bank). Bull. Jpn. Soc. Sci. Fish. 1976, 42, 801–805. [Google Scholar] [CrossRef]
  96. Tanaka, Y.; Fujita, Y.; Katayama, T. Biochemical studies on the carotenoids in Porifera. Identification of the aromatic ketocarotenoid in Clathria frondifera and Tedania digitata. Bull. Jpn. Soc. Sci. Fish. 1977, 43, 767–772. [Google Scholar] [CrossRef]
  97. Zeng, C.M.; Ishibashi, M.; Kobayashi, J. Biemnasterol, a new cytotoxic sterol with the rare 22,25-diene side chain isolated from the marine sponge Biemna sp. J. Nat. Prod. 1993, 56, 2016–2018. [Google Scholar] [CrossRef] [PubMed]
  98. Huang, X.-C.; Guo, Y.-W.; Song, G.-Q. Fortisterol, a novel steroid with an unusual seven-membered lactone ring B from the Chinese marine sponge Biemna fortis Topsent. J. Asian Nat. Prod. Res. 2006, 8, 485–489. [Google Scholar] [CrossRef] [PubMed]
  99. Bensemhoun, J.; Bombarda, I.; Aknin, M.; Vacelet, J.; Gaydou, E.M. 5α, 8α-epidioxy-24(S)-ethylcholest-6-en-3β-ol from the marine sponge Biemna triraphis Topsent. Nat. Prod. Commun. 2008, 3, 843. [Google Scholar]
  100. Huang, X.-C.; Guo, Y.-W. Chemical constituents of marine sponge Biemna fortis Topsent. Chin. J. Nat. Med. 2008, 6, 348–353. [Google Scholar] [CrossRef]
  101. Youssef, D.T.A.; Bader, J.M.; Shaala, L.A.; Mohamed, G.A.; Bamanie, F.H. Ehrenasterol and biemnic acid; new bioactive compounds from the Red Sea sponge Biemna ehrenbergi. Phytochem. Lett. 2015, 12, 296–301. [Google Scholar] [CrossRef]
  102. Kalinovsky, A.I.; Antonov, A.S.; Afiyatullov, S.S.; Dmitrenok, P.S.; Evtuschenko, E.V.; Stonic, V.A. Mycaloside A, a new steroid oligoglycoside with an unprecedented structure from the Caribbean sponge Mycale laxissima. Tetrahedron Lett. 2002, 43, 523–525. [Google Scholar] [CrossRef]
  103. Antonov, A.S.; Afiyatullov, S.S.; Kalinovsky, A.I.; Ponomarenko, L.P.; Dmitrenok, P.S.; Aminin, D.L.; Agafonova, I.G.; Stonic, V.A. Mycalosides B–I, eight new spermostatic steroid oligoglycosides from the sponge Mycale laxissima. J. Nat. Prod. 2003, 66, 1082–1088. [Google Scholar] [CrossRef] [PubMed]
  104. Phuwapraisirisan, P.; Matsunaga, S.; Fusetani, N. Mycapolyols A–F, new cytotoxic metabolites of mixed biogenesis from the marine sponge Mycale izuensis. Org. Lett. 2005, 7, 2233–2236. [Google Scholar] [CrossRef] [PubMed]
  105. Capon, R.; Macleod, J. 5-Thio-D-mannose from the marine sponge Clathria pyramida (Lendenfeld). The first example of a naturally occurring 5-thiosugar. J. Chem. Soc. Chem. Commun. 1987, 15, 1200–1201. [Google Scholar] [CrossRef]
  106. Venkateshwar, G.T.; Krishnaiah, P.; Malla, R.S. Chemical Investigation of the marine sponges Clathria reinwardtii and Haliclona cribicutus. Indian J. Chem. Sect. B 2005, 44B, 607–610. [Google Scholar]
  107. Coello, L.; Martín, M.J.; Reyes, F. 1,5-Diazacyclohenicosane, a New cytotoxic metabolite from the marine Sponge Mycale sp. Mar. Drugs 2009, 7, 445–450. [Google Scholar] [CrossRef] [PubMed]
Figure 1. Chemical structures of 18.
Figure 1. Chemical structures of 18.
Marinedrugs 16 00214 g001
Figure 2. Chemical structures of 937.
Figure 2. Chemical structures of 937.
Marinedrugs 16 00214 g002
Figure 3. Chemical structures of 3841.
Figure 3. Chemical structures of 3841.
Marinedrugs 16 00214 g003
Figure 4. Chemical structures of 4258.
Figure 4. Chemical structures of 4258.
Marinedrugs 16 00214 g004
Figure 5. Chemical structures of 5969.
Figure 5. Chemical structures of 5969.
Marinedrugs 16 00214 g005
Figure 6. Chemical structures 7076.
Figure 6. Chemical structures 7076.
Marinedrugs 16 00214 g006
Figure 7. Chemical structures 7783.
Figure 7. Chemical structures 7783.
Marinedrugs 16 00214 g007
Figure 8. Chemical structures 84113.
Figure 8. Chemical structures 84113.
Marinedrugs 16 00214 g008
Figure 9. Chemical structures of 114116.
Figure 9. Chemical structures of 114116.
Marinedrugs 16 00214 g009
Figure 10. Chemical structures of 117124.
Figure 10. Chemical structures of 117124.
Marinedrugs 16 00214 g010
Figure 11. Chemical structures of 125128.
Figure 11. Chemical structures of 125128.
Marinedrugs 16 00214 g011
Figure 12. Chemical structures 129134.
Figure 12. Chemical structures 129134.
Marinedrugs 16 00214 g012
Figure 13. Chemical structures of 135140.
Figure 13. Chemical structures of 135140.
Marinedrugs 16 00214 g013
Figure 14. Chemical structures of 141146.
Figure 14. Chemical structures of 141146.
Marinedrugs 16 00214 g014
Figure 15. Chemical structures of 147158.
Figure 15. Chemical structures of 147158.
Marinedrugs 16 00214 g015
Figure 16. Chemical structures of 159164.
Figure 16. Chemical structures of 159164.
Marinedrugs 16 00214 g016
Figure 17. Chemical structures 165175.
Figure 17. Chemical structures 165175.
Marinedrugs 16 00214 g017
Figure 18. Chemical structures of 176184.
Figure 18. Chemical structures of 176184.
Marinedrugs 16 00214 g018
Figure 19. Chemical structures 185193.
Figure 19. Chemical structures 185193.
Marinedrugs 16 00214 g019
Figure 20. Chemical structures of 194207.
Figure 20. Chemical structures of 194207.
Marinedrugs 16 00214 g020
Figure 21. Chemical structures of 208226.
Figure 21. Chemical structures of 208226.
Marinedrugs 16 00214 g021
Figure 22. Chemical structures 227235.
Figure 22. Chemical structures 227235.
Marinedrugs 16 00214 g022
Figure 23. Chemical structures 236244.
Figure 23. Chemical structures 236244.
Marinedrugs 16 00214 g023
Table 1. Summary of the secondary metabolites isolated from the marine sponges belonging to the genera Mycale (Arenochalina), Biemna and Clathria, their source organisms and biological activities.
Table 1. Summary of the secondary metabolites isolated from the marine sponges belonging to the genera Mycale (Arenochalina), Biemna and Clathria, their source organisms and biological activities.
NameCompound ClassMarine SpongesCollectionBioactivitiesRef.
Crambescidin 800 (1)Pentacyclic guanidineClathria (Thalysias) cervicornis-Antimicrobial21
Crambescidins 16Pentacyclic guanidineC. bulbotoxaIndonesiaCytotoxic, antifungal28
Norbatzelladine L (7)Tricyclic guanidineC. (Microciona) callaCaribbeanCytotoxic29
Clathriadic acid (8)Tricyclic guanidineC. (Microciona) callaCaribbeanCytotoxic, antimalarial29
Mirabilins A–F (914)Tricyclic guanidineMycale (Arenochalina) mirabilisAustraliaNr30
Netamines A–G (1521)Tricyclic guanidineBiemna labouteiMadagascarCytotoxicity31
Netamines H–N (2228)Tricyclic guanidineB. labouteiMadagascarCytotoxic, antimalarial14
Netamines O–S (2933)Tricyclic guanidineB.labouteiMadagascarCytotoxic, antimalarial15
Mirabilin G (34)Tricyclic guanidineClathria sp.AustraliaAntibacterial, antifungal32
Mirabilins H–J (3537)Tricyclic guanidineClathria sp.AustraliaCytotoxic33
Araiosamines A–D (3841)Indole cyclic guanidine C. (Thalysias) araiosaVanuatuAntibacterial, Anti-HIV-134
4245Pyridoacridine Biemna sp.OkinawaCytotoxicity37
46 and 47Pyridoacridine Biemna sp.IndonesiaEnzyme inhibitor38
48 and 49Pyridoacridine Biemna sp.JapanCytotoxic39
5053PyridoacridineBiemna sp.JapanCytotoxic40
Pseudoanchnazines A–C (5456)Pteridine alkaloidClathria sp.ArgentinaAntibacterial41
Clathryimine A (57)Quinolizine alkaloidC. (Clathria) basilanaIndo-PacificNr42
N-methylpyrrolidone (58)Pyrrolodine Alkaloid C. frondiferaIndiaNr43
5969Indole alkaloidsM. fibrexilisChinaNr44
7083Pyrrole alkaloidsM. micracanthoxeaSpainCytotoxic45
8494Pyrrole alkaloidsM. micracanthoxeaVenezuelaCytotoxic46
9597Pyrrole alkaloidsM. tenuispiculataIndiaNr47
98111Pyrrole alkaloidsM. ceciliaCaliforniaCytotoxic48
112 and 113Pyrrole alkaloidsM. lissochelaChinaEnzyme inhibitor49
Clathrynamides A–C (114116)Bromine-containing amideClathria sp.Sad-Misaki, JapanCytotoxic, inhibitors of starfish eggs 50
Microcionamides A&B (117&118)Cyclic thiopeptideC. (Thalysias) abietinaPhilippinesCytotoxic, antibacterial51
Gombamide A (119)Cyclic thiopeptideC. (Clathria) gombawuiensisKoreaCytotoxic, enzyme inhibitor52
Azumamides (120124)Cyclic peptidesMycale izuensisJapanHistone Deacetylase53
Mycalisines (125126)NucleotidesMycale sp.Japan Inhibitors of starfish eggs54
127 and 128NucleotidesC. (Microciona) strepsitoxaAtlantic Nr55
129 and 130Fatty acidM. laevisCaribbean Nr56
131Fatty acidM. laxissimaCaribbeanNr57
132134Fatty acidM. euplectellioidesRed SeaCytotoxic58
Mycalamides A&B (135&136)PolyketideMycale sp.New ZealandCytotoxic, antiviral59–60
Mycalamide D (137)PolyketideMycale sp.New ZealandCytotoxic61
138140PolyketideM. rotalisMediterraneanNr62–63
141146AnthraquinoneC. (Thalysias) hirsutaAustraliaNr64
147149MacrolideMycale sp.JapanAntifungal, cytotoxic65
150MacrolideM. adhaerens LambJapanCytotoxic66
Pateamine (151)MacrolideMycale sp.New ZealandCytotoxic67
152 and 153MacrolideMycale sp.JapanCytotoxic68
154156MacrolideM. magellanicaJapanCytotoxic 69–70
Peloruside A (157)MacrolideMycale sp.New ZealandCytotoxic71
158MacrolideM. izuensisJapanCytotoxic72
159MacrolideMycale sp.JapanCytotoxic73
Peloruside B (160)MacrolideM. hentscheliNew ZealandCytotoxic74
161 and 162MacrolideMycale sp.JapanCytotoxic75
Peloruside C&D (163&164)MacrolideM. hentscheliNew ZealandCytotoxic76
165-169SesquiterpeneM. (Arenochalina) spAustraliaAntitumor, antifungal80–83
Clathrin A–C (170172)SesterterpeneClathria spAustralia-84
Clathric acid (173)C21 terpenoidC. compressaFloridaAntimicrobial20
Clathrimide A&B (174&175)C21 -terpenoidC. compressaFloridaAntimicrobial20
Gombaspiroketal A–C (176178)SesterterpeneC. gombawuiensisKoreaAntibacterial, enzyme inhibitors85
179 and 181Norterpene/triterpeneC. gombawuiensisKoreaAntibacterial86
Rotalins (182183)DiterepeneM. rotalisMediterranean Nr87
Mycgranol (184)DiterepeneM. aff. graveleyiKenyaNr88
185189Cyclic norterpenoid peroxideM. ancorinaAustraliaNr89
190 and 191Cyclic norterpenoid peroxideM. (carmia) cf. spongiosaAustraliaAntimicrobial90
192 and 193Cyclic norterpenoid peroxideMycale sp.ThailandCytotoxic, antiviral91
194201Cyclic peroxide/norditerepeneMycale sp.AustraliaNr92
202204Cyclic norterpenoid peroxideMycale sp.AustraliaNr93
205Cyclic norterpenoid peroxideMycale sp.ThailandCytotoxic94
206 and 207TetraterpeneC. frondifera (=C. (Thalysias vulpina)JapanNr95–96
Contignasterol (208)SteroidC. (Clathria) lissoscleraNew ZealandHistamine inhibitory17–18
Clathriols A&B (209&210)SteroidC. (Clathria) lissoscleraNew ZealandAnti-inflammatory, histamine inhibitory17–18
Clathsterol (211)Sulphated sterolClathria sp.Red SeaAnti-HIV-116
Biemansterol (212)SterolBiemna sp.Okinawa, JapanCytotoxic97
213SterolBiemna sp.Okinawa, JapanCytotoxic97
Foristerol (214)SterolB. fortisChinaNr98
215SterolB. triraphisMadagascarNr99
216224SterolB. fortisChinaLymphocytes and hPTP1B inhibition100
225 and 226SterolB. ehrenbergiRed SeaCytotoxic, antibacterial101
227235SterolM. laxissimaCaribbean Fertilized eggs inhibitors102–103
Mycapolyols A–F (184189)Mixed PKS/NPRSM. izuensisJapanCytotoxic104
242Thio-sugarC. (Dendrocia) pyramidaAustraliaNr105
243GlycolC.reinwardttiIndiaNr106
2441,5-Diamine Mycale sp.KenyaCytotoxic107
Nr: Not recorded.

Share and Cite

MDPI and ACS Style

El-Demerdash, A.; Tammam, M.A.; Atanasov, A.G.; Hooper, J.N.A.; Al-Mourabit, A.; Kijjoa, A. Chemistry and Biological Activities of the Marine Sponges of the Genera Mycale (Arenochalina), Biemna and Clathria. Mar. Drugs 2018, 16, 214. https://doi.org/10.3390/md16060214

AMA Style

El-Demerdash A, Tammam MA, Atanasov AG, Hooper JNA, Al-Mourabit A, Kijjoa A. Chemistry and Biological Activities of the Marine Sponges of the Genera Mycale (Arenochalina), Biemna and Clathria. Marine Drugs. 2018; 16(6):214. https://doi.org/10.3390/md16060214

Chicago/Turabian Style

El-Demerdash, Amr, Mohamed A. Tammam, Atanas G. Atanasov, John N. A. Hooper, Ali Al-Mourabit, and Anake Kijjoa. 2018. "Chemistry and Biological Activities of the Marine Sponges of the Genera Mycale (Arenochalina), Biemna and Clathria" Marine Drugs 16, no. 6: 214. https://doi.org/10.3390/md16060214

APA Style

El-Demerdash, A., Tammam, M. A., Atanasov, A. G., Hooper, J. N. A., Al-Mourabit, A., & Kijjoa, A. (2018). Chemistry and Biological Activities of the Marine Sponges of the Genera Mycale (Arenochalina), Biemna and Clathria. Marine Drugs, 16(6), 214. https://doi.org/10.3390/md16060214

Note that from the first issue of 2016, this journal uses article numbers instead of page numbers. See further details here.

Article Metrics

Back to TopTop