Carotenoid Profiling of a Red Seaweed Pyropia yezoensis: Insights into Biosynthetic Pathways in the Order Bangiales
Abstract
1. Introduction
2. Results
2.1. Lutein, Zeaxanthin, and α/β-Carotene Contents in P. yezoensis
2.2. Isolation and Identification of Monohydroxy-Carotenoids in P. yezoensis
2.3. Isolation and Identification of Epoxy-Carotenoids in P. yezoensis
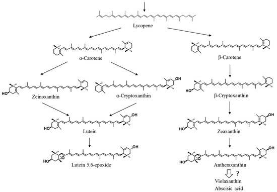
3. Discussion
4. Materials and Methods
4.1. Chemicals
4.2. Seaweed Materials
4.3. Extraction of Total Lipids from P. yezoensis
4.4. Lutein, Zeaxanthin, α/β-Carotene Contents in P. yezoensis
4.5. Isolation of Monohydroxy Carotenoids
4.6. Isolation of Epoxy-Carotenoids
4.7. Identification of Monohydroxy- and Epoxy-Carotenoids in P. yezoensis
4.8. Statistical Analysis
5. Conclusions
Author Contributions
Funding
Acknowledgments
Conflicts of Interest
References
- Nisar, N.; Li, L.; Lu, S.; Khin, N.C.; Pogson, B.J. Carotenoid metabolism in plants. Mol. Plant 2015, 8, 68–82. [Google Scholar] [CrossRef] [PubMed]
- Eggersdorfer, M.; Wyss, A. Carotenoids in human nutrition and health. Arch. Biochem. Biophys. 2018, 652, 18–26. [Google Scholar] [CrossRef] [PubMed]
- Castenmiller, J.J.; West, C.E. Bioavailability and bioconversion of carotenoids. Annu. Rev. Nutr. 1998, 18, 19–38. [Google Scholar] [CrossRef] [PubMed]
- Johnson, E.J. The role of carotenoids in human health. Nutr. Clin. Care 2002, 5, 56–65. [Google Scholar] [CrossRef] [PubMed]
- Fernández-Sevilla, J.M.; Acién Fernández, F.G.; Molina Grima, E. Biotechnological production of lutein and its applications. Appl. Microbiol. Biotechnol. 2010, 86, 27–40. [Google Scholar] [CrossRef] [PubMed]
- E-Stat, Portal Site of Official Statistics of Japan. Available online: https://www.e-stat.go.jp/ (accessed on 1 November 2018).
- Drew, K.M. Life-history of Porphyra. Nature 1954, 173, 1243–1244. [Google Scholar] [CrossRef]
- Nakamura, Y.; Sasaki, N.; Kobayashi, M.; Ojima, N.; Yasuike, M.; Shigenobu, Y.; Satomi, M.; Fukuma, Y.; Shiwaku, K.; Tsujimoto, A.; et al. The first symbiont-free genome sequence of marine red alga, Susabi-nori (Pyropia yezoensis). PLoS ONE 2013, 8, e57122. [Google Scholar] [CrossRef] [PubMed]
- Sahoo, D.; Tang, X.R.; Yarish, C. Porphyra—The economic seaweed as a new experimental system. Curr. Sci. 2002, 83, 1313–1316. [Google Scholar]
- Takaichi, S. Carotenoids in algae: Distributions, biosyntheses and functions. Mar. Drugs 2011, 9, 1101–1118. [Google Scholar] [CrossRef] [PubMed]
- Takaichi, S.; Yokoyama, A.; Mochimaru, M.; Uchida, H.; Murakami, A. Carotenogenesis diversification in phylogenetic lineages of Rhodophyta. J. Phycol. 2016, 52, 329–338. [Google Scholar] [CrossRef] [PubMed]
- Schubert, N.; Garcia-Mendoza, E.; Pacheco-Ruiz, I. Carotenoid composition of marine red algae. J. Phycol. 2006, 42, 1208–1216. [Google Scholar] [CrossRef]
- Kim, J.; Smith, J.J.; Tian, L.; DellaPenna, D. The evolution and function of carotenoid hydroxylases in Arabidopsis. Plant Cell Physiol. 2009, 50, 463–479. [Google Scholar] [CrossRef] [PubMed]
- Brawley, S.H.; Blouin, N.A.; Ficko-Blean, E.; Wheeler, G.L.; Lohr, M.; Goodson, H.V.; Jenkins, J.W.; Blaby-Haas, C.E.; Helliwell, K.E.; Chan, C.X.; et al. Insights into the red algae and eukaryotic evolution from the genome of Porphyra umbilicalis (Bangiophyceae, Rhodophyta). Proc. Natl. Acad. Sci. USA 2017, 114, E6361–E6370. [Google Scholar] [CrossRef] [PubMed]
- Yang, L.E.; Huang, X.Q.; Hang, Y.; Deng, Y.Y.; Lu, Q.Q.; Lu, S. The P450-type carotene hydroxylase PuCHY1 from Porphyra suggests the evolution of carotenoid metabolism in red algae. J. Integr. Plant Biol. 2014, 56, 902–915. [Google Scholar] [CrossRef] [PubMed]
- Mikami, K.; Hosokawa, M. Biosynthetic pathway and health benefits of fucoxanthin, an algae-specific xanthophyll in brown seaweeds. Int. J. Mol. Sci. 2013, 14, 13763–13781. [Google Scholar] [CrossRef] [PubMed]
- Mikami, K.; Mori, I.C.; Matsuura, T.; Ikeda, Y.; Kojima, M.; Sakakibara, H.; Hirayama, T. Comprehensive quantification and genome survey reveal the presence of novel phytohormone action modes in red seaweeds. J. Appl. Phycol. 2016, 28, 2539–2548. [Google Scholar] [CrossRef]
- Guajardo, E.; Correa, J.A.; Contreras-Porcia, L. Role of abscisic acid (ABA) in activating antioxidant tolerance responses to desiccation stress in intertidal seaweed species. Planta 2016, 243, 767–781. [Google Scholar] [CrossRef] [PubMed]
- Englert, G. NMR spectroscopy. In Carotenoids; Britton, G., Liaaen-Jensen, S., Pfander, H., Eds.; Birkhäuser: Basel, Switzerland, 1995; Volume 1B, pp. 147–260. [Google Scholar]
- Chan, C.X.; Blouin, N.A.; Zhuang, Y.; Zäuner, S.; Prochnik, S.E.; Lindquist, E.; Lin, S.; Benning, C.; Lohr, M.; Yarish, C.; et al. Porphyra (Bangiophyceae) transcriptomes provide insights into red algal development and metabolism. J. Phycol. 2012, 48, 1328–1342. [Google Scholar] [CrossRef] [PubMed]
- Christaki, E.; Bonos, E.; Giannenas, I.; Florou-Paneri, P. Functional properties of carotenoids originating from algae. J. Sci. Food Agric. 2013, 93, 5–11. [Google Scholar] [CrossRef] [PubMed]
- Hammond, B.R., Jr.; Miller, L.S.; Bello, M.O.; Lindbergh, C.A.; Mewborn, C.; Renzi-Hammond, L.M. Effects of lutein/zeaxanthin supplementation on the cognitive function of community dwelling older adults: A randomized, double-masked, placebo-controlled trial. Front. Aging Neurosci. 2017, 9, 254. [Google Scholar] [CrossRef] [PubMed]
- Bjørnland, T.; Borch, G.; Liaaen-Jensen, S. Configurational studies on red algae carotenoids. Phytochemistry 1984, 23, 1711–1715. [Google Scholar] [CrossRef]
- Hegazi, M.M.; Pérez-Ruzafa, A.; Almela, L.; Candela, M.E. Separation and identification of chlorophylls and carotenoids from Caulerpa prolifera, Jania rubens and Padina pavonica by reversed-phase high-performance liquid chromatography. J. Chromatogr. 1998, 829, 153–159. [Google Scholar] [CrossRef]
- Quinlan, R.F.; Shumskaya, M.; Bradbury, L.M.; Beltrán, J.; Ma, C.; Kennelly, E.J.; Wurtzel, E.T. Synergistic interactions between carotene ring hydroxylases drive lutein formation in plant carotenoid biosynthesis. Plant Physiol. 2012, 160, 204–214. [Google Scholar] [CrossRef] [PubMed]
- Quinlan, R.F.; Jaradat, T.T.; Wurtzel, E.T. Escherichia coli as a platform for functional expression of plant P450 carotene hydroxylases. Arch. Biochem. Biophys. 2007, 458, 146–157. [Google Scholar] [CrossRef] [PubMed]
- Li, Q.; Farre, G.; Naqvi, S.; Breitenbach, J.; Sanahuja, G.; Bai, C.; Sandmann, G.; Capell, T.; Christou, P.; Zhu, C. Cloning and functional characterization of the maize carotenoid isomerase and β-carotene hydroxylase genes and their regulation during endosperm maturation. Transgenic Res. 2010, 19, 1053–1568. [Google Scholar] [CrossRef] [PubMed]
- Tian, L.; Musetti, V.; Kim, J.; Magallanes-Lundback, M.; DellaPenna, D. The Arabidopsis LUT1 locus encodes a member of the cytochrome p450 family that is required for carotenoid epsilon-ring hydroxylation activity. Proc. Natl. Acad. Sci. USA 2004, 101, 402–407. [Google Scholar] [CrossRef] [PubMed]
- Takemura, M.; Maoka, T.; Misawa, N. Biosynthetic routes of hydroxylated carotenoids (xanthophylls) in Marchantia polymorpha, and production of novel and rare xanthophylls through pathway engineering in Escherichia coli. Planta 2015, 241, 699–710. [Google Scholar] [CrossRef] [PubMed]
- Hieber, A.D.; Bugos, R.C.; Yamamoto, H.Y. Plant lipocalins: Violaxanthin de-epoxidase and zeaxanthin epoxidase. Biochim. Biophys. Acta 2000, 1482, 84–91. [Google Scholar] [CrossRef]
- Niyogi, K.K.; Grossman, A.R.; Björkman, O. Arabidopsis mutants define a central role for the xanthophyll cycle in the regulation of photosynthetic energy conversion. Plant Cell 1988, 10, 1121–1134. [Google Scholar] [CrossRef]
- Dautermann, O.; Lohr, M. A functional zeaxanthin epoxidase from red algae shedding light on the evolution of light-harvesting carotenoids and the xanthophyll cycle in photosynthetic eukaryotes. Plant J. 2017, 92, 879–891. [Google Scholar] [CrossRef] [PubMed]
- Yamano, Y.; Ito, M. Total synthesis of capsanthin and capsorubin using Lewis acid-promoted regio- and stereoselective rearrangement of tetrasubsutituted epoxides. Org. Biomol. Chem. 2007, 5, 3207–3212. [Google Scholar] [CrossRef] [PubMed]
- Khachik, F.; Chan, A.-N.; Gana, A.; Mazzola, E. Partial synthesis of (3R,6′R)-α-cryptoxanthin and (3R)-β-cryptoxanthin from (3R,3′R,6′R)-lutein. J. Nat. Prod. 2007, 70, 220–226. [Google Scholar] [CrossRef] [PubMed]
- Kitade, Y.; Fukuda, S.; Nakajima, M.; Watanabe, T.; Saga, N. Isolation of a cDNA encoding a homologue of actin from Porphyra yezoensis (Rhodophyta). J. Appl. Phycol. 2002, 14, 135–141. [Google Scholar] [CrossRef]










| UV-VIS | 420, 444, 471 nm Methanol |
|---|---|
| 1H-NMR | δ ppm |
| 16/17 | 1.03 |
| 18 | 1.73 |
| 19 | 1.97 |
| 20 | 1.97 |
| 4’ | 5.55 |
| 7’ | 5.43 |
| 17’ | 0.85 |
| 18’ | 1.63 |
| 19’ | 1.91 |
| 20’ | 1.97 |
| Peak 4 | Peak 5 | |||
|---|---|---|---|---|
| Position | d | mult. J (Hz) | d | mult. J (Hz) |
| 2 | 1.25 | dd (12, 7) | 1.25 | dd (12, 7) |
| 2 | 1.63 | ddd (12, 3, 1.5) | 1.63 | ddd (12, 3, 1.5) |
| 3 | 3.91 | m | 3.91 | m |
| 4 | 1.63 | dd (14, 9) | 1.63 | dd (14, 9) |
| 4 | 2.39 | ddd (14, 5, 1.5) | 2.39 | ddd (14, 5, 1.5) |
| 7 | 5.88 | d (16) | 5.88 | d (16) |
| 8 | 6.29 | d (16) | 6.29 | d (16) |
| 10 | 6.20 | d (11) | 6.20 | d (11) |
| 11 | 6.61 | dd (15, 11) | 6.61 | dd (15, 11) |
| 12 | 6.38 | d (15) | 6.38 | d (15) |
| 14 | 6.25 | m | 6.25 | m |
| 15 | 6.63 | m | 6.63 | m |
| 16 | 0.98 | s | 0.98 | s |
| 17 | 1.15 | s | 1.15 | s |
| 18 | 1.19 | s | 1.19 | s |
| 19 | 1.93 | s | 1.93 | s |
| 20 | 1.97 | s | 1.97 | s |
| 2’ | 1.37 | dd (13, 7) | 1.48 | |
| 2′ | 1.85 | dd (13, 6) | 1.77 | |
| 3′ | 4.25 | m | 4.00 | m |
| 4′ | 5.55 | br. S | 2.05 | dd (14, 9) |
| 4′ | 2.39 | ddd (14, 5.5, 1.5) | ||
| 6′ | 2.40 | d (9) | ||
| 7′ | 5.43 | dd (15.5, 9) | 6.10 | d (16) |
| 8′ | 6.14 | d (16) | 6.16 | d (16) |
| 10′ | 6.14 | d (10) | 6.16 | d (11) |
| 11′ | 6.62 | dd (15, 11) | 6.60 | dd (15, 11) |
| 12′ | 6.36 | d (15) | 6.35 | d (15) |
| 14′ | 6.26 | m | 6.25 | d (11) |
| 15′ | 6.63 | m | 6.63 | m |
| 16′ | 1.00 | s | 1.08 | s |
| 17′ | 0.85 | s | 1.08 | s |
| 18′ | 1.63 | s | 1.74 | s |
| 19′ | 1.91 | s | 1.93 | s |
| 20′ | 1.97 | s | 1.97 | s |
© 2018 by the authors. Licensee MDPI, Basel, Switzerland. This article is an open access article distributed under the terms and conditions of the Creative Commons Attribution (CC BY) license (http://creativecommons.org/licenses/by/4.0/).
Share and Cite
Koizumi, J.; Takatani, N.; Kobayashi, N.; Mikami, K.; Miyashita, K.; Yamano, Y.; Wada, A.; Maoka, T.; Hosokawa, M. Carotenoid Profiling of a Red Seaweed Pyropia yezoensis: Insights into Biosynthetic Pathways in the Order Bangiales. Mar. Drugs 2018, 16, 426. https://doi.org/10.3390/md16110426
Koizumi J, Takatani N, Kobayashi N, Mikami K, Miyashita K, Yamano Y, Wada A, Maoka T, Hosokawa M. Carotenoid Profiling of a Red Seaweed Pyropia yezoensis: Insights into Biosynthetic Pathways in the Order Bangiales. Marine Drugs. 2018; 16(11):426. https://doi.org/10.3390/md16110426
Chicago/Turabian StyleKoizumi, Jiro, Naoki Takatani, Noritoki Kobayashi, Koji Mikami, Kazuo Miyashita, Yumiko Yamano, Akimori Wada, Takashi Maoka, and Masashi Hosokawa. 2018. "Carotenoid Profiling of a Red Seaweed Pyropia yezoensis: Insights into Biosynthetic Pathways in the Order Bangiales" Marine Drugs 16, no. 11: 426. https://doi.org/10.3390/md16110426
APA StyleKoizumi, J., Takatani, N., Kobayashi, N., Mikami, K., Miyashita, K., Yamano, Y., Wada, A., Maoka, T., & Hosokawa, M. (2018). Carotenoid Profiling of a Red Seaweed Pyropia yezoensis: Insights into Biosynthetic Pathways in the Order Bangiales. Marine Drugs, 16(11), 426. https://doi.org/10.3390/md16110426

