Comparing Long-Term Prognosis in Chronic Critically Ill Patients: A Case Series Study of Medical versus Surgical Sepsis
Abstract
:1. Introduction
2. Methods
2.1. Case Series Description
2.2. Statistical Analysis
3. Results
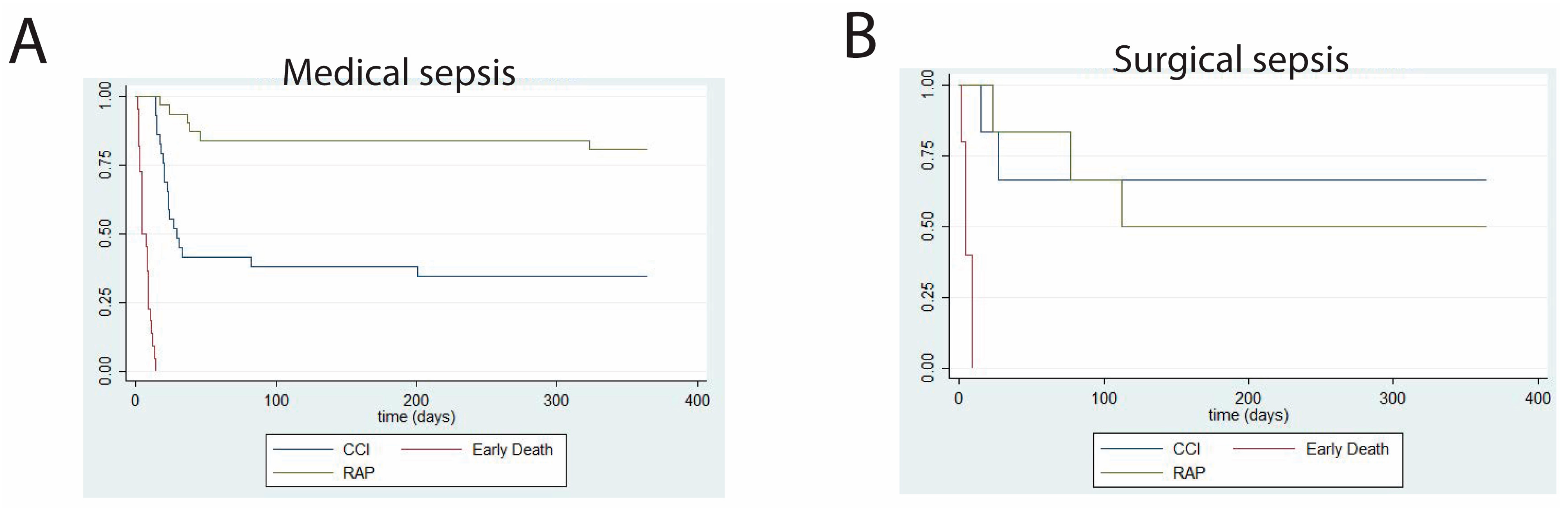
4. Discussion
5. Conclusions
Author Contributions
Funding
Institutional Review Board Statement
Informed Consent Statement
Data Availability Statement
Conflicts of Interest
References
- Rivers, E.; Nguyen, B.; Havstad, S.; Ressler, J.; Muzzin, A.; Knoblich, B.; Peterson, E.; Tomlanovich, M. Early goal-directed therapy in the treatment of severe sepsis and septic shock. N. Engl. J. Med. 2001, 345, 1368–1377. [Google Scholar] [CrossRef]
- Stortz, J.A.; Mira, J.C.; Raymond, S.L.; Loftus, T.J.; Ozrazgat-Baslanti, T.; Wang, Z.K.; Ghita, G.L.; Leeuwenburgh, C.; Segal, M.S.; Bihorac, A.; et al. Benchmarking clinical outcomes and the immunocatabolic phenotype of chronic critical illness after sepsis in surgical intensive care unit patients. J. Trauma Acute Care 2018, 84, 342–349. [Google Scholar] [CrossRef]
- Nelson, J.E.; Cox, C.E.; Hope, A.A.; Carson, S.S. Chronic critical illness. Am. J. Respir. Crit. Care Med. 2010, 182, 446–454. [Google Scholar] [CrossRef]
- La Russa, R.; Maiese, A.; Viola, R.V.; De Matteis, A.; Pinchi, E.; Frati, P.; Fineschi, V. Searching for highly sensitive and specific biomarkers for sepsis: State-of-the-art in post-mortem diagnosis of sepsis through immunohistochemical analysis. Int. J. Immunopathol. Pharmacol. 2019, 33, 2058738419855226. [Google Scholar] [CrossRef]
- Kahn, J.M.; Le, T.; Angus, D.C.; Cox, C.E.; Hough, C.L.; White, D.B.; Yende, S.; Carson, S.S. The epidemiology of chronic critical illness in the United States. Crit. Care Med. 2015, 43, 282–287. [Google Scholar] [CrossRef]
- Iwashyna, T.J.; Hodgson, C.L.; Pilcher, D.; Bailey, M.; van Lint, A.; Chavan, S.; Bellomo, R. Timing of onset and burden of persistent critical illness in Australia and New Zealand: A retrospective, population-based, observational study. Lancet Respir. Med. 2016, 4, 566–573. [Google Scholar] [CrossRef]
- Carson, S.S.; Bach, P.B. The epidemiology and costs of chronic critical illness. Crit. Care Clin. 2002, 18, 461–476. [Google Scholar] [CrossRef]
- Marchioni, A.; Fantini, R.; Antenora, F.; Clini, E.; Fabbri, L. Chronic critical illness: The price of survival. Eur. J. Clin. Investig. 2015, 45, 1341–1349. [Google Scholar] [CrossRef]
- Brakenridge, S.C.; Efron, P.A.; Cox, M.C.; Stortz, J.A.; Hawkins, R.B.; Ghita, G.; Gardner, A.; Mohr, A.M.; Anton, S.D.; Moldawer, L.L.; et al. Current Epidemiology of Surgical Sepsis: Discordance Between Inpatient Mortality and 1-year Outcomes. Ann. Surg. 2019, 270, 502–510. [Google Scholar] [CrossRef]
- Elias, A.C.; Matsuo, T.; Grion, C.M.; Cardoso, L.T.; Verri, P.H. Incidence and risk factors for sepsis in surgical patients: A cohort study. J. Crit. Care 2012, 27, 159–166. [Google Scholar] [CrossRef]
- Moore, L.J.; McKinley, B.A.; Turner, K.L.; Todd, S.R.; Sucher, J.F.; Valdivia, A.; Sailors, R.M.; Kao, L.S.; Moore, F.A. The epidemiology of sepsis in general surgery patients. J. Trauma 2011, 70, 672–680. [Google Scholar] [CrossRef] [PubMed]
- Moola, S.; Munn, Z.; Tufanaru, C.; Aromataris, E.; Sears, K.; Sfetcu, R.; Currie, M.; Qureshi, R.; Mattis, P.; Lisy, K.; et al. Chapter 7: Systematic Reviews of Etiology and Risk; The Joanna Briggs Institute: Adelaide, Australia, 2017; Volume 2023. [Google Scholar]
- Munn, Z.; Barker, T.H.; Moola, S.; Tufanaru, C.; Stern, C.; McArthur, A.; Stephenson, M.; Aromataris, E. Methodological quality of case series studies: An introduction to the JBI critical appraisal tool. JBI Evid. Synth. 2020, 18, 2127–2133. [Google Scholar] [CrossRef] [PubMed]
- Singer, M.; Deutschman, C.S.; Seymour, C.W.; Shankar-Hari, M.; Annane, D.; Bauer, M.; Bellomo, R.; Bernard, G.R.; Chiche, J.D.; Coopersmith, C.M.; et al. The Third International Consensus Definitions for Sepsis and Septic Shock (Sepsis-3). JAMA 2016, 315, 801–810. [Google Scholar] [CrossRef] [PubMed]
- Ferreira, F.L.; Bota, D.P.; Bross, A.; Mélot, C.; Vincent, J.L. Serial evaluation of the SOFA score to predict outcome in critically ill patients. JAMA 2001, 286, 1754–1758. [Google Scholar] [CrossRef]
- Oken, M.M.; Creech, R.H.; Tormey, D.C.; Horton, J.; Davis, T.E.; McFadden, E.T.; Carbone, P.P. Toxicity and response criteria of the Eastern Cooperative Oncology Group. Am. J. Clin. Oncol. 1982, 5, 649–655. [Google Scholar] [CrossRef]
- von Elm, E.; Altman, D.G.; Egger, M.; Pocock, S.J.; Gotzsche, P.C.; Vandenbroucke, J.P.; Initiative, S. The Strengthening the Reporting of Observational Studies in Epidemiology (STROBE) statement: Guidelines for reporting observational studies. PLoS Med. 2007, 4, e296. [Google Scholar] [CrossRef]
- Seidelman, J.L.; Mantyh, C.R.; Anderson, D.J. Surgical Site Infection Prevention: A Review. JAMA 2023, 329, 244–252. [Google Scholar] [CrossRef]
- Rhodes, A.; Evans, L.E.; Alhazzani, W.; Levy, M.M.; Antonelli, M.; Ferrer, R.; Kumar, A.; Sevransky, J.E.; Sprung, C.L.; Nunnally, M.E.; et al. Surviving Sepsis Campaign: International Guidelines for Management of Sepsis and Septic Shock: 2016. Intensive Care Med. 2017, 43, 304–377. [Google Scholar] [CrossRef]
- Mira, J.C.; Gentile, L.F.; Mathias, B.J.; Efron, P.A.; Brakenridge, S.C.; Mohr, A.M.; Moore, F.A.; Moldawer, L.L. Sepsis Pathophysiology, Chronic Critical Illness, and Persistent Inflammation-Immunosuppression and Catabolism Syndrome. Crit. Care Med. 2017, 45, 253–262. [Google Scholar] [CrossRef]
- Hawkins, R.B.; Raymond, S.L.; Stortz, J.A.; Horiguchi, H.; Brakenridge, S.C.; Gardner, A.; Efron, P.A.; Bihorac, A.; Segal, M.; Moore, F.A.; et al. Chronic Critical Illness and the Persistent Inflammation, Immunosuppression, and Catabolism Syndrome. Front. Immunol. 2018, 9, 1511. [Google Scholar] [CrossRef]
- Gentile, L.F.; Cuenca, A.G.; Efron, P.A.; Ang, D.; Bihorac, A.; McKinley, B.A.; Moldawer, L.L.; Moore, F.A. Persistent inflammation and immunosuppression: A common syndrome and new horizon for surgical intensive care. J. Trauma Acute Care Surg. 2012, 72, 1491–1501. [Google Scholar] [CrossRef] [PubMed]
- Mira, J.C.; Brakenridge, S.C.; Moldawer, L.L.; Moore, F.A. Persistent Inflammation, Immunosuppression and Catabolism Syndrome. Crit. Care Clin. 2017, 33, 245–258. [Google Scholar] [CrossRef] [PubMed]
- Roedl, K.; Jarczak, D.; Boenisch, O.; de Heer, G.; Burdelski, C.; Frings, D.; Sensen, B.; Nierhaus, A.; Kluge, S.; Wichmann, D. Chronic Critical Illness in Patients with COVID-19: Characteristics and Outcome of Prolonged Intensive Care Therapy. J. Clin. Med. 2022, 11, 1049. [Google Scholar] [CrossRef] [PubMed]



| Characteristics | RAP (n = 5) | CCI (n = 7) | Early Death (n = 5) | p * | p ** |
|---|---|---|---|---|---|
| Male, n (%) | 3 (60) | 5 (71) | 2 (40) | 0.55 | 0.68 |
| Age in years, mean ± SD | 74.4 ± 16.6 | 69.7 ± 5.8 | 56.6 ± 22.3 | 0.18 | 0.66 |
| Age ≥ 65 years, n (%) | 5 (100.0) | 6 (85.7) | 3 (60.0) | 0.24 | 0.29 |
| BMI, median (25th, 75th percentiles) | 25.0 (23.0, 43.2) | 35.3 (27.5, 42.7) | 33.0 (27.0, 37.4) | 0.88 | 0.68 |
| Charlson comorbidity index score, mean ± SD | 5.2 ± 1.5 | 5.43 ± 2.67 | 5.8 ± 3.93 | 0.96 | 0.78 |
| APACHE II score, mean ± SD | 26 ± 9.4 | 21.9 ± 7.2 | 24.2 ± 4.3 | 0.63 | 0.95 |
| SOFA score, mean ± SD | 9 ± 2.8 | 8.7 ± 3.6 | 11.6 ± 4.2 | 0.42 | 0.95 |
| Septic shock, n (%) | 2 (40) | 2 (28.6) | 4 (80) | 0.20 | 0.68 |
| Sepsis source: | |||||
| - abdominal, n (%) | 1 (20) | 2 (28.6%) | 0 (0) | 0.43 | 0.74 |
| - lung, n (%) | 1 (20) | 4 (57.1) | 2 (40) | 0.43 | 0.20 |
| - other, n (%) | 3 (60) | 1 (14.3) | 3 (60) | 0.17 | 0.10 |
| Characteristics | RAP (n = 30) | CCI (n = 31) | Early Death (n = 21) | p * | p ** |
|---|---|---|---|---|---|
| Male, n (%) | 19 (63) | 17 (55) | 12 (57) | 0.79 | 0.50 |
| Age in years, mean ± SD | 60.5 ± 16.9 | 60.4 ± 16.3 | 62.5 ± 17.6 | 0.89 | 0.99 |
| Age ≥ 65 years, n (%) | 17 (56.7) | 12 (38.7) | 13 (61.9) | 0.20 | 0.16 |
| BMI, median (25th, 75th percentiles) | 30.2 (22.6, 35.5) | 32.9 (27.1, 39.8) | 28.4 (22.5, 39.0) | 0.48 | 0.19 |
| Charlson comorbidity index score, mean ± SD | 3.6 ± 2.4 | 4.6 ± 3.2 | 5.3 ± 3.3 | 0.08 | 0.06 |
| APACHE II score, mean ± SD | 25.9 ± 7.0 | 28.2 ± 8.9 | 31.4 ± 7.9 | 0.07 | 0.29 |
| SOFA score, mean ± SD | 8.9 ± 3.8 | 12.0 ± 3.6 | 11.8 ± 3.4 | 0.0023 | 0.0017 |
| Septic shock, n (%) | 7 (23.3) | 10 (32.3) | 10 (47.6) | 0.19 | 0.44 |
| Sepsis source: | |||||
| - abdominal, n (%) | 2 (6.5) | 8 (25.8) | 4 (19.1) | 0.13 | 0.04 |
| - lung, n (%) | 20 (66.7) | 18 (58.1) | 13 (61.9) | 0.79 | 0.49 |
| - other, n (%) | 8 (26.7) | 5 (16.1) | 4 (19.1) | 0.58 | 0.05 |
| Short-Term Outcomes | Surgical CCI (n = 7) | Medical CCI (n = 21) | p-Value |
|---|---|---|---|
| 28-day mortality, n (%) | 3 (42.9) | 16 (51.6) | 0.68 |
| ICU-free days within first 28 days, median (25th, 75th percentiles) | 5.0 (3.5, 9.5) | 0 (0, 6.0) | 0.04 |
| ICU mortality, n (%) | 3 (42.9) | 15 (48.4) | 0.79 |
| Hospital LOS, median (25th, 75th percentiles) | 23 (16, 28) | 24 (20, 35) | 0.30 |
| Ventilator-free days *, median (25th, 75th percentiles) | 21 (11,24) | 3 (0, 12.5) | 0.0039 |
| 28-day readmission, n (%) | 2 (28.6) | 4 (12.9) | 0.30 |
| SOFA score at day 14, mean ± SD | 4.3 ± 2.7 | 8.0 ± 3.9 | <0.0001 |
| AKI, n (%) | 4 (57.1) | 18 (58.1) | 0.96 |
| Discharge disposition, n (%): | |||
| - Discharged home | 1 (14.2) | 3 (9.7) | 0.72 |
| - Long-term acute care facility | 2 (28.6) | 5 (16.1) | 0.44 |
| - Skilled nursing facility | 0 (0) | 2 (6.5) | 0.49 |
| - Hospice care | 1 (14.2) | 2 (6.5) | 0.49 |
| One-Year Outcomes | Surgical CCI (n = 7) | Medical CCI (n = 21) | p-Value |
|---|---|---|---|
| Mortality, n (%) | 3 (42.9) | 21 (67.7) | 0.22 |
| Zubrod/ECOG score, mean ± SD | 3.0 ± 2.2 | 4.0 ± 1.7 | 0.88 |
| Current residence, n (%): | |||
| - Home | 4 (57.1) | 8 (25.8) | 0.11 |
| - Long-term acute care facility | 0 | 1 (3.2) | 0.63 |
| - Skilled nursing facility | 0 | 0 | - |
| - Hospice care | 0 | 0 | - |
| Mortality | Odds Ratio | Std. Err. | z | P.|z| | 95% Conf. Interval | |
|---|---|---|---|---|---|---|
| Surgical vs. Medical | 4.20 | 5.00 | 1.21 | 0.228 | 0.41 | 43.36 |
| Age | 0.97 | 0.03 | −0.85 | 0.395 | 0.91 | 1.04 |
| APACHE II | 0.91 | 0.06 | −1.39 | 0.164 | 0.80 | 1.04 |
| Charlson comorbidity index | 0.82 | 0.14 | −1.13 | 0.259 | 0.58 | 1.16 |
| Septic shock | 1.74 | 1.93 | 0.50 | 0.619 | 0.20 | 15.36 |
Disclaimer/Publisher’s Note: The statements, opinions and data contained in all publications are solely those of the individual author(s) and contributor(s) and not of MDPI and/or the editor(s). MDPI and/or the editor(s) disclaim responsibility for any injury to people or property resulting from any ideas, methods, instructions or products referred to in the content. |
© 2023 by the authors. Licensee MDPI, Basel, Switzerland. This article is an open access article distributed under the terms and conditions of the Creative Commons Attribution (CC BY) license (https://creativecommons.org/licenses/by/4.0/).
Share and Cite
Mancini, B.; Liu, J.; Samuelsen, A.; Howrylak, J.A.; Schultz, L.; Bonavia, A.S. Comparing Long-Term Prognosis in Chronic Critically Ill Patients: A Case Series Study of Medical versus Surgical Sepsis. Medicina 2023, 59, 1617. https://doi.org/10.3390/medicina59091617
Mancini B, Liu J, Samuelsen A, Howrylak JA, Schultz L, Bonavia AS. Comparing Long-Term Prognosis in Chronic Critically Ill Patients: A Case Series Study of Medical versus Surgical Sepsis. Medicina. 2023; 59(9):1617. https://doi.org/10.3390/medicina59091617
Chicago/Turabian StyleMancini, Benjamin, Jiabin Liu, Abigail Samuelsen, Judie A. Howrylak, Lisa Schultz, and Anthony S. Bonavia. 2023. "Comparing Long-Term Prognosis in Chronic Critically Ill Patients: A Case Series Study of Medical versus Surgical Sepsis" Medicina 59, no. 9: 1617. https://doi.org/10.3390/medicina59091617
APA StyleMancini, B., Liu, J., Samuelsen, A., Howrylak, J. A., Schultz, L., & Bonavia, A. S. (2023). Comparing Long-Term Prognosis in Chronic Critically Ill Patients: A Case Series Study of Medical versus Surgical Sepsis. Medicina, 59(9), 1617. https://doi.org/10.3390/medicina59091617

