Abstract
Pyrazolo[1,5-a]pyrimidines have been reported as potent inhibitors of mycobacterial ATP synthase for the treatment of Mycobacterium tuberculosis (M.tb). In this work, we report the design and synthesis of approximately 70 novel 3,5-diphenyl-N-(pyridin-2-ylmethyl)pyrazolo[1,5-a]pyrimidin-7-amines and their comprehensive structure–activity relationship studies. The most effective pyrazolo[1,5-a]pyrimidin-7-amine analogues contained a 3-(4-fluoro)phenyl group, together with a variety of 5-alkyl, 5-aryl and 5-heteroaryl substituents. A range of substituted 7-(2-pyridylmethylamine) derivatives were also active. Some of these compounds exhibited potent in vitro M.tb growth inhibition, low hERG liability and good mouse/human liver microsomal stabilities, highlighting their potential as inhibitors of M.tb.
1. Introduction
Tuberculosis (TB) is the deadliest infectious disease around the globe, claiming over a billion lives in the past two hundred years [1,2,3]. According to the World Health Organization (WHO), TB has claimed the lives of 1.3 million people, with an estimated 9.9 million new cases of TB in 2020 [4]. The current major hurdle of the global TB challenge is the fight against the drug-resistant forms of the disease [5,6]. The emergence of drug-resistant strains of Mycobacterium tuberculosis (M.tb), the causative agent of TB, is on the rise, with treatment success rates dropping for patients with multidrug-resistant (MDR) TB. The latest WHO data for drug-resistant TB suggests an estimated 465,000 new cases and 182,000 deaths resulted from MDR-TB in 2019 [7]. In the past two decades, there have also been alarming increases in M.tb strains with resistance to all available TB drugs, resulting in extensively and totally drug-resistant/incurable tuberculosis [8,9,10,11]. The development of novel TB agents to treat these resistant strains of M.tb is urgently needed.
Pyrazolo[1,5-a]pyrimidines have been reported as potential drugs in a number of different areas (Figure 1); as VEGF/src inhibitors (e.g., 1) [12], as apoptosis inducers (e.g., 2) [13], for treatment of Duchenne muscular dystrophy (e.g., 3) [14] and as cyclin-dependent kinase inhibitors (e.g., 4) [15]. In a recent paper, Tantry et al. [16,17] also discuss 2-phenyl-5-substituted pyrazolo[1,5-a]pyrimidines as inhibitors of mycobacterial ATP synthase. Modelling studies suggest the latter compounds bind between the Atp-a and Atp-c (chain-B) subunits of the enzyme, with the pendant 5-phenyl ring occupying the hydrophobic space between the two Atp-c subunits. Example compounds 5 and 6 were modest inhibitors of both depletion of ATP (using an M. smegmatis inverted membrane vesicle assay to measure ATP inhibition via the oxidative phosphorylation process) and of inhibition of M.tb bacteria in culture, and were active in vivo in an acute mouse model of tuberculosis. Chibale et al. [18] also explored SAR for 7-substituted pyrazolo[1,5-a]pyrimidines as M.tb drugs (e.g., 7) and showed that the optimal C-7 side chain was 2-pyridinemethanamine.
Figure 1.
Pyrazolo[1,5-a]pyrimidine-based drug candidates.
In the present paper, we extend the latter work with the synthesis of a series of novel 3,5-diphenyl-N-(pyridin-2-ylmethyl)pyrazolo[1,5-a]pyrimidin-7-amines with substituted 3- and/or 5-phenyl rings, exploring relationships between substituent patterns, overall physicochemical properties and their antimycobacterial activity (inhibition of M.tb in culture) (Table 1, Table 2 and Table 3).
Table 1.
Structures and biological data for 3-(phenyl-5-(substituted-phenyl)pyrazolo[1,5-a]pyrimidine-7-amines (compounds 11–21).
Table 2.
Structures and biological data for 5-substituted 3-(4-fluorophenyl)-N-(pyridin-2-ylmethyl)pyrazolo[1,5-a]pyrimidin-7-amines (compounds 22–44).
Table 3.
Structures and biological data for 7-(2-pyridylmethylamine) ring variations (compounds 45–72).
2. Results
Compounds 11–21 of Table 1 (Scheme 1) were prepared from commercially substituted 4-phenyl-1H-pyrazol-5-amines (8a–8k) by condensation with 3-oxo-3-phenylpropanoate to give the 3-phenyl-substituted 3,5-diphenylpyrazolo[1,5-a]pyrimidin-7(4H)-ones (9a–9k). Pyrimidinones (9a–9k) were converted to 7-chlorides (10a–10k) using POCl3 and tetramethylammonium chloride, 7-chlorides (10a–10k) were subsequently reacted with 2-pyridinemethanamine to give the compounds 11–21 of Table 1.
Scheme 1.
Preparation of compounds 11–21 of Table 1. Reagents and conditions: (i) PhCOCH2CO2Et, AcOH, 110 °C; (ii) POCl3, Me4N+Cl−, reflux; (iii) 2-pyridinemethanamine, DIPEA, iPrOH, reflux, 16 h.
Compounds 22–44 of Table 2 (Scheme 2) were prepared from commercial 4-(4-fluorophenyl)-1H-pyrazol-5-amine (8h) by reacting it with diethyl malonate/sodium ethoxide to give the diol (73), which was converted to the dichloride (74). The chloride at the 7 position was selectively displaced with 2-pyridinemethanamine to give 75, BOC-protection of the amine gave 76, which subsequently underwent Suzuki coupling with various aryl and heteroaryl boronic acids to give Boc24–Boc44. The Suzuki coupling was unsuccessful under a variety of conditions when 75 was used, and this necessitated the use of the Boc-protected derivative 76.
Scheme 2.
Preparation of compounds 22–44 of Table 2. Reagents and conditions: (i) EtO2CCH2CO2Et, NaOEt, EtOH, reflux; (ii) Me4N+Cl−/POCl3, reflux; (iii) 2-pyridinemethanamine, DIPEA, DCM, 0–20 °C; (iv) Boc2O, cat. DMAP, Et3N, DCM, r.t.; (v) ArB(OH)2 or HetB(OH)2, Pd(PPh3)4, Na2CO3, toluene, reflux; (vi) 10% Pd/C, 50 psi H2, MeOH, r.t.; (vii) 1:1 TFA/DCM, reflux; (ix) KOAc, PdCl2(dppf), DMSO, 80 °C.
Boc24 was hydrogenated using palladium on carbon to give Boc23. An attempt to convert 76 to a boronate ester was unsuccessful, only the product (Boc22) arising from reduction was isolated.
Deprotection of the Boc-protected intermediates (Boc22–Boc44) using trifluoroacetic acid in DCM at reflux gave the compounds 22–44 of Table 2.
Compounds 45–71 of Table 3 were prepared as shown in Scheme 3, from 10h and the appropriate substituted pyridine-2-ylmethanamines. The majority of the pyridine-2-ylmethanamines were available commercially; the synthesis of pyridylmethanamines used in the synthesis of 57 and 58 is described in the supplementary information.
Scheme 3.
Preparation of compounds 45–54, 57–71 of Table 3. Reagents and conditions: (i) DIPEA, iPrOH, reflux, 3–15h; (ii) Zn(CN)2, Pd(PPh3)4, DMF, 115 °C.
The 3′-bromide (71) underwent a palladium-mediated cyanation to give the corresponding 3′-cyano derivative (72).
Compounds 55 and 56 of Table 3 were synthesised from 10h, which underwent a displacement reaction with (5-bromopyridin-2-yl)methanamine to give 78 (Scheme 4). Sonogashira coupling of 78 with dimethylprop-2-ynamine gave 55, and the alkyne was subsequently hydrogenated to give 56.
Scheme 4.
Preparation of compounds 55 and 56 of Table 3. Reagents and conditions: (i) DIPEA, iPrOH, reflux, 19 h; (ii) PdCl2(PPh3)2, CuI, Et3N, DMF, 65 °C; (iii) 5% Pd/C, EtOH, H2 (60 psi).
3. Results and Discussion
The compounds of Table 1, Table 2 and Table 3 were tested for their ability to inhibit the growth of Mycobacterium tuberculosis (strain H37Rv) when cultured under either aerobic (MABA) [19] or low-oxygen (LORA) [20] conditions, by determining the minimum inhibitory concentrations (MIC90; µg/mL) needed to reduce growth by 90%. The compounds were also assessed for their ability to inhibit the growth of mammalian cells (VERO green monkey kidney cells) by determining IC50 values [21]. The majority of the compounds were non-toxic in this assay (IC50 of >32 µg/mL).
Overall Lipophilicity Structure–Activity Relationships
It has been consistently observed across many classes of tuberculosis inhibitors that MIC potency usually increases for more lipophilic compounds; a phenomenon that has been attributed [22,23] to the usually lipophilic cell wall of Mycobacterium tuberculosis restricting the passive diffusion of large hydrophilic compounds. While no statistically significant correlation was seen across the whole set of quite diverse compounds in Table 1, Table 2 and Table 3, there was a modest correlation of higher MIC potency with increasing lipophilicity (Equation (1)) for the small but more tightly-defined set of eleven 5-(substituted phenyl) compounds 28–38 of Table 2,
Log(IC50MABA) = −0.22(±0.11)clogP + 1.65(±0.62)
n = 11 R = 0.55 F = 3.96
n = 11 R = 0.55 F = 3.96
Table 1 records MABA and LORA data (MIC90, µg/mL) for a series of compounds 11–21 bearing a range of differing substituents off the 3-phenyl ring. The 4-F and 4-OMe substituted compounds were clearly the most potent in both the MABA (>5.5-fold) and LORA (>7.5-fold) assays, possibly by blocking metabolism [24], and the 4-F substitution in this ring was thus employed in all the later compounds in Table 2 and Table 3. The lack of activity for compounds with an ortho substituent could be the result of an unfavourable change in torsion angle between the pendant aryl group and the pyrazolopyrimidine core due to increased steric hindrance. However, electronic or steric arguments cannot be used to rationalise the difference in activity between active (18, 20) and inactive (19, 21) para substituted compounds.
With the 3-phenyl ring substituent fixed as 4-F, a more extensive SAR study was carried out on the 5-substituent (Table 2). The compounds in Table 2 explore structure–activity relationships for pyrazolopyrimidine 5-substituents, from hydrogen (compound 22) and simple alkyls or alkenyls (compounds 23–27), and for a series of additional substituted phenyl (compounds 28–38) and other heteroaromatic substituents (compounds 39–44). Compounds 22–27 show that those with no 5-substituent, or with a series of linear saturated and unsaturated alkyl/alkenyl groups, retain good in vitro anti-mycobacterial activities (MABA and LORA MICs) from 0.2 to 1.5 µg/mL. The two 2-(substituted phenyl) analogues (28, 29) suggested (not unexpectedly) that only very small substituents (F) were permitted at this site, and bulky substituents at this position may induce an unfavourable change in torsion angle between the pendant 5-aryl group and the pyrazolopyrimidine core. The set of 4-(substituted phenyl) compounds (32–38), despite covering substituents with a wide variation in bulk, lipophilic and electronic properties, showed similar and quite potent MICs (from 0.2–3.8 ug/mL), suggesting significant bulk tolerance at this position. Compounds 39–44 carry aromatic rings other than phenyl at the 5-position, resulting in some compounds of generally lower lipophilicity (clogP below about 4) while retaining activity, with the exception of 40.
Going forward, it was therefore decided to retain a 3-(4-fluoro)phenyl group and an unsubstituted 5-phenyl group for the subsequent SAR study of the 7-(2-pyridylmethylamine) group structure–activity relationships (Table 3; compounds 45–72). In this series, small substituents with varied electronic and lipophilicity characteristics were used in each available position. Compounds 45–48 showed that neutral groups with varying physicochemical properties at the 6′-position were not favoured, whereas powerful electron donors resulted in active compounds (49–51).
The compounds of Table 3 explore the SAR for substituents on the 7-(2-pyridylmethylamine) benzyl group, while holding the 3- and 5-substituents constant as 4-fluorophenyl and phenyl, respectively. Compounds 45–51 explore substituents on the 6′-position, ortho to the pyridine nitrogen. Only compounds 49–51, with a variety of aliphatic amine substituents, were active, with MICs of around 1 µg/mL. In contrast, a series of compounds (52–59) bearing 5′-substituents of different electronic, lipophilic and steric properties all showed modest to good activity (MICs of 1–7 µg/mL).
A larger group of 4′-substituted analogues (compounds 60–68) showed clearer structure–activity relationships. Those (60, 61) bearing electron-withdrawing groups were inactive, whereas those with electron-donating groups were active, with the best (65–67, 69; averaged MABA/LORA MICs of 0.40 and 0.88 µg/mL, respectively) all bearing the strongest, amine-based, electron donors. Of particular note was the 4′-N-morpholine derivative (66), which showed excellent inhibitory data (MABA/LORA MICs of 0.06 and 0.98 µg/mL, respectively), in conjunction with low toxicity towards mammalian cells (VERO > 32 µg/mL).
Finally, a small group of 3′-substituted analogues (compounds 69–72) showed a similar dependence of activity on substituent electronic properties, with electron-donating substituents providing more potent anti-mycobacterial inhibition, while those with halogen or electron-withdrawing substituents at the 3′-position were inactive.
A representative subset of the more active compounds from the cell culture assays were evaluated for their microsomal stability and hERG inhibitory properties, and the results are provided in Table 4.
Table 4.
Microsomal stability and hERG inhibitory properties for the selected compounds.
From the data in Table 4, compounds 18, 20, 25, 26, 27, 28, 34, 38, 39, 41, 42, 44 were the least stable, with T½ values of <85 min. An almost equal number of analogues (compounds 30, 35, 36, 52–55, 62, 63 and 68) were considerably more stable (T½ values from 109 to >145 min) and were also much more lipophilic (average clogP 5.88 compared to 4.39). Apart from compounds 28, 39 and 68, there was very little inhibition of the hERG potassium ion channel observed by the pyrazolopyrimidines, even at 1 µM. While contributing factors for drugs to express significant hERG inhibition are high logP, high basicity and drug flexibility [25], the above three compounds do not stand out from the others in these properties.
4. Material and Methods
4.1. General Information
Final products were analysed by reverse-phase HPLC (Alltima C18 5 µm column, 15 × 3.2 mm; Alltech Associated, Inc., Deerfield, IL, USA) using an Agilent HP1100 equipped with a diode-array detector. It was run using mobile phases with 80% CH3CN/20% H2O (v/v) in 45 mM NH4HCO2 at pH 3.5 and 0.5 mL/min. The purity level was determined by monitoring at 330 ± 50 nm and was ≥95% for all final products. NMR spectra were obtained on a Bruker Avance 400 spectrometer at 400 MHz for 1H and 13C. Low-resolution mass spectra (LRMS), using atmospheric pressure chemical ionisation (APCI), were measured on a ThermoFinnigan Surveyor MSQ mass spectrometer, connected to a Gilson autosampler. High resolution mass spectra (HRMS) were obtained using an Agilent G6530B Q-TOF spectrometer and are reported as M + H. Melting points were determined on an Electrothermal 9100 melting point apparatus. Copies of the 1H and 13C Spectra for compounds that progressed to advanced testing in Table 4 are available in the Supplementary Materials.
Preparation of compounds 11–21 of Table 1.

4.2. Synthesis of the 3-Aryl-5-Phenylpyrazolo[1,5-a]Pyrimidin-7(4H)-One (9a–9k) Derivatives
3-(2-Fluorophenyl)-5-phenylpyrazolo[1,5-a]pyrimidin-7(4H)-one (9a)
A solution of 4-(2-fluorophenyl)-1H-pyrazol-5-amine (8a, 0.412 g, 2.33 mmol) and ethyl 3-oxo-3-phenylpropanoate (0.625 g, 3.25 mmol) in acetic acid (10 mL) was refluxed at 100 °C for 16 h. The mixture was cooled then diluted with diethyl ether (20 mL), and the resulting solid was filtered, washed with diethyl ether and dried to give 9a (0.435 g, 61%) as a white solid. 1H NMR (DMSO-d6) δ 12.26 (bs, 1H), 8.12 (s, 1H), 7.79 (bd, J = 6.0 Hz, 2H), 7.63 (t, J = 7.4 Hz, 1H), 7.55–7.61 (m, 3H), 7.38–7.45 (m, 1H), 7.27–7.36 (m, 2H), 6.08 (s, 1H). LRMS [M + H] = 306.2.
3-(2-Methoxyphenyl)-5-phenylpyrazolo[1,5-a]pyrimidin-7(4H)-one (9b)
Synthesised from 8b (2.997 g, 15.8 mmol) using the general procedure to give 9b (3.075 g, 61%) as a white solid. 1H NMR (DMSO-d6) δ 11.85 (s, 1H), 8.05 (s, 1H), 7.80 (dd, J = 7.8, 2.0 Hz, 1H), 7.53–7.59 (m, 3H), 7.45 (d, J = 6.4 Hz, 1H), 7.35 (td, J = 7.8, 1.6 Hz, 1H), 7.11 (dd, J = 8.3, 0.6 Hz, 1H), 7.03 (td, J = 7.4, 1.0 Hz, 1H), 6.03 (s, 1H), 3.90 (s, 3H). LRMS [M + H] = 318.1.
5-Phenyl-3-(2-(trifluoromethyl)phenyl)pyrazolo[1,5-a]pyrimidin-7(4H)-one (9c)
Synthesised from 8c (0.391 g, 1.72 mmol) using the general procedure to give 9c (0.335 g, 55%) as a white solid. 1H NMR (DMSO-d6) δ 7.89 (s, 1H), 7.85 (d, J = 7.8 Hz, 1H), 7.73 (t, J = 7.2 Hz, 1H), 7.69 (d, J = 6.6 Hz, 2H), 7.50–7.66 (m, 5H), 6.01 (s, 1H), one H exchanged. LRMS [M + H] = 356.1.
3-(3-Fluorophenyl)-5-phenylpyrazolo[1,5-a]pyrimidin-7(4H)-one (9d)
Synthesised from 8d (1.00 g, 5.64 mmol) using the general procedure to give 9d (1.342 g, 78%) as a white solid. 1H NMR (DMSO-d6) δ 12.26 (s, 1H), 8.25 (s, 1H), 7.84 (bs, 2H), 7.42–7.61 (m, 6H), 7.10–7.15 (m, 1H), 6.05 (s, 1H). LRMS [M + H] = 306.2.
5-Phenyl-3-(m-tolyl)pyrazolo[1,5-a]pyrimidin-7(4H)-one (9e)
Synthesised from 8e (1.346 g, 7.77 mmol) using the general procedure to give 9e (1.914 g, 82%) as a white solid. 1H NMR (DMSO-d6) δ 12.22 (s, 1H), 8.17 (s, 1H), 7.82 (bd, J = 5.5 Hz, 2H), 7.54–7.61 (m, 3H), 7.44–7.50 (m, 2H), 7.33 (t, J = 7.6 Hz, 1H), 7.13 (t, J = 7.5 Hz, 1H), 5.66 (s, 1H), 2.38 (s, 3H). LRMS [M + H] = 302.2.
3-(3-Methoxyphenyl)-5-phenylpyrazolo[1,5-a]pyrimidin-7(4H)-one (9f)
Synthesised from 8f (1.659 g, 8.77 mmol) using the general procedure to give 9f (1.729 g, 62%) as a white solid. 1H NMR (DMSO-d6) δ 12.24 (s, 1H), 8.20 (s, 1H), 7.82 (bd, J = 5.6 Hz, 2H), 7.53–7.60 (m, 3H), 7.36 (t, J = 8.0 Hz, 1H), 7.22 (bs, 2H), 6.88 (d, J = 7.2 Hz, 1H), 6.03 (s, 1H), 3.84 (s, 3H). LRMS [M + H] = 318.1.
5-Phenyl-3-(3-(trifluoromethyl)phenyl)pyrazolo[1,5-a]pyrimidin-7(4H)-one (9g)
Synthesised from 8g (1.394 g, 6.14 mmol) using the general procedure to give 9g (1.527 g, 70%) as a white solid. 1H NMR (DMSO-d6) δ 12.36 (s, 1H), 8.30 (s, 1H), 7.96 (bs, 2H), 7.78 (bs, 2H), 7.45–7.90 (m, 5H), 6.07 (s, 1H). LRMS [M + H] = 356.1.
3-(4-Fluorophenyl)-5-phenylpyrazolo[1,5-a]pyrimidin-7(4H)-one (9h)
Synthesised from 8h (2.835 g, 16.0 mmol) using the general procedure to give 9h (4.202 g, 86%) as a cream solid. 1H NMR (DMSO-d6) δ 12.23 (bs, 1H), 8.17 (bs, 1H), 7.83 (bd, J = 4.9 Hz, 2H), 7.69 (bs, 2H), 7.52–7.62 (m, 3H), 7.28 (tt, J = 9.0, 2.1 Hz, 2H), 6.03 (bs, 1H). LRMS [M + H] = 306.2.
5-Phenyl-3-(p-tolyl)pyrazolo[1,5-a]pyrimidin-7(4H)-one (9i)
Synthesised from 8i (1.00 g, 5.78 mmol) using the general procedure to give 9i (1.434 g, 82%) as a tan solid. 1H NMR (DMSO-d6) δ 12.18 (s, 1H), 8.15 (s, 1H), 7.82 (bd, J = 4.2 Hz, 2H), 7.54–7.60 (m, 5H), 7.27 (d, J = 7.9 Hz, 2H), 6.02 (s, 1H), 2.34 (s, 3H). LRMS [M + H] = 302.2.
3-(4-Methoxyphenyl)-5-phenylpyrazolo[1,5-a]pyrimidin-7(4H)-one (9j)
Synthesised from 8j (1.252 g, 6.62 mmol) using the general procedure to give crude 9j. This was extracted with EtOAc, dried and evaporated to give the crude pyrimidinone, which was used directly in the subsequent step.
5-Phenyl-3-(4-(trifluoromethyl)phenyl)pyrazolo[1,5-a]pyrimidin-7(4H)-one (9k)
Synthesised from 8k (0.934 g, 4.11 mmol) using the general procedure to give 9k (0.923 g, 63%) as a white solid. 1H NMR (DMSO-d6) δ 12.32 (s, 1H), 8.30 (s, 1H), 7.82–7.95 (m, 4H), 7.79 (apd, J = 8.1 Hz, 2H), 7.52–7.62 (m, 3H), 6.09 (s, 1H). LRMS [M + H] = 356.1.
Synthesis of the 7-chloro-3-(aryl)-5-phenylpyrazolo[1,5-a]pyrimidine derivatives (10a–10k).
7-Chloro-3-(2-fluorophenyl)-5-phenylpyrazolo[1,5-a]pyrimidine (10a)
A slurry of 3-(2-fluorophenyl)-5-phenylpyrazolo[1,5-a]pyrimidin-7(4H)-one (9a, 0.438 g, 1.43 mmol) and tetramethylammonium chloride (0.235 g, 2.15 mmol) in POCl3 (10 mL) was refluxed for 0.5 h. Excess POCl3 was removed in vacuo and the residue was slurried with DCM (50 mL) and then poured onto ice. The aqueous layer was extracted with DCM (2 × 25 mL), the organic fractions were combined, dried (MgSO4) and evaporated. Chromatography on neutral alumina using DCM as an eluent gave 10a (0.424 g, 92%) as a yellow solid. 1H NMR (CDCl3) δ 8.71 (d, J = 3.4 Hz, 1H), 8.64 (td, J = 6.4, 3.7 Hz, 1H), 8.14–8.18 (m, 2H), 7.53–7.59 (m, 3H), 7.52 (s, 1H), 7.28–7.34 (m, 2H), 7.17–7.23 (m, 1H). LRMS [M + H] = 324.1, 326.1.
7-Chloro-3-(2-methoxyphenyl)-5-phenylpyrazolo[1,5-a]pyrimidine (10b)
Synthesised from 9b (1.00 g, 3.15 mmol) using the general procedure to give 10b (1.043 g, 99%) as a yellow solid. 1H NMR (CDCl3) δ 8.82 (s, 1H), 8.47 (dd, J = 7.7, 1.7 Hz, 1H), 8.14–8.17 (m, 2H), 7.51–7.56 (m, 3H), 7.47 (s, 1H), 7.32 (ddd, J = 9.2, 7.4, 1.8 Hz, 1H), 7.14 (td, J = 7.6, 1.1 Hz, 1H), 7.05 (dd, J = 8.3, 0.9 Hz, 1H), 3.97 (s, 3H). LRMS [M + H] = 336.1, 338.1.
7-Chloro-5-phenyl-3-(2-(trifluoromethyl)phenyl)pyrazolo[1,5-a]pyrimidine (10c)
Synthesised from 9c (0.312 g, 0.878 mmol) using the general procedure to give 10c (0.323 g, 98%) as a yellow solid. 1H NMR (CDCl3) δ 8.37 (d, J = 0.8 Hz, 1H), 8.04–8.09 (m, 2H), 7.83 (d, J = 8.0 Hz, 1H), 7.80 (d, J = 7.8 Hz, 1H), 7.66 (t, J = 7.1 Hz, 1H), 7.47–7.53 (m, 5H). LRMS [M + H] = 374.1, 376.1.
7-Chloro-3-(3-fluorophenyl)-5-phenylpyrazolo[1,5-a]pyrimidine (10d)
Synthesised from 9d (1.00 g, 3.28 mmol) using the general procedure to give 10d (1.01 g, 95%) as a yellow solid. 1H NMR (CDCl3) δ 8.54 (s, 1H), 8.15–8.20 (m, 2H), 7.98 (ddd, J = 10.6, 2.5, 1.6 Hz, 1H), 7.90 (dt, J = 7.8, 1.4 Hz, 1H), 7.53–7.60 (m, 3H), 7.51 (s, 1H), 7.41–7.47 (m, 1H), 7.00 (tdd, J = 8.5, 2.6, 0.9 Hz, 1H). LRMS [M + H] = 324.1, 326.1.
7-Chloro-5-phenyl-3-(m-tolyl)pyrazolo[1,5-a]pyrimidine (10e)
Synthesised from 9e (1.292 g, 4.29 mmol) using the general procedure to give 10e (1.275 g, 93%) as a yellow solid. 1H NMR (CDCl3) δ 8.54 (s, 1H), 8.15–8.20 (m, 2H), 8.01 (bd, J = 7.8 Hz, 1H), 7.94 (bs, 1H) 7.51–7.59 (m, 3H), 7.49 (s, 1H), 7.39 (t, J = 7.7 Hz, 1H), 7.14 (bd, J = 7.5 Hz, 1H), 2.47 (s, 3H). LRMS [M + H] = 320.2, 322.2.
7-Chloro-3-(3-methoxyphenyl)-5-phenylpyrazolo[1,5-a]pyrimidine (10f)
Synthesised from 9f (1.00 g, 3.15 mmol) using the general procedure to give 10f (1.05 g, 99%) as a yellow solid. 1H NMR (CDCl3) δ 8.54 (s, 1H), 8.14–8.19 (m, 2H), 7.85 (dd, J = 2.5, 1.6 Hz, 1H), 7.71 (ddd, J = 8.6, 2.4, 1.0 Hz, 1H), 7.51–7.58 (m, 3H), 7.48 (s, 1H), 7.40 (t, J = 8.0 Hz, 1H), 6.87 (ddd, J = 8.3, 2.6, 0.8 Hz, 1H), 3.93 (s, 3H). LRMS [M + H] = 336.1, 338.1.
7-Chloro-5-phenyl-3-(3-(trifluoromethyl)phenyl)pyrazolo[1,5-a]pyrimidine (10g)
Synthesised from 9g (1.00 g, 2.81 mmol) using the general procedure to give 10g (1.028 g, 98%) as a yellow solid. 1H NMR (CDCl3) δ 8.57 (s, 1H), 8.54 (s, 1H), 8.31 (d, J = 7.6 Hz, 1H), 8.14–8.19 (m, 2H), 7.52–7.62 (m, 6H). LRMS [M + H] = 374.1, 376.1.
7-Chloro-3-(4-fluorophenyl)-5-phenylpyrazolo[1,5-a]pyrimidine (10h)
Synthesised from 9h (4.187 g, 13.7 mmol) using the general procedure to give 10h (4.398 g, 99%) as a yellow solid. 1H NMR (CDCl3) δ 8.51 (s, 1H), 8.11–8.18 (m, 4H), 7.52–7.59 (m, 3H), 7.49 (s, 1H), 7.19 (ap t, J = 8.8 Hz, 2H). LRMS [M + H] = 324.1, 326.1.
7-Chloro-5-phenyl-3-(p-tolyl)pyrazolo[1,5-a]pyrimidine (10i)
Synthesised from 9i (1.024 g, 3.40 mmol) using the general procedure to give 10i (1.035 g, 95%) as a yellow solid. 1H NMR (CDCl3) δ 8.52 (s, 1H), 8.18 (ap dd, J = 8.0, 1.6 Hz, 2H), 8.05 (d, J = 8.2 Hz, 2H), 7.51–7.58 (m, 3H), 7.47 (s, 1H), 7.31 (d, J = 7.9 Hz, 2H), 2.42 (s, 3H). LRMS [M + H] = 320.2, 322.2.
7-Chloro-3-(4-methoxyphenyl)-5-phenylpyrazolo[1,5-a]pyrimidine (10j)
Synthesised using the crude intermediate 9j using the general procedure to give 10j (0.863 g, 40%, two steps) as a yellow solid. 1H NMR (CDCl3) δ 8.48 (s, 1H), 8.16 (dd, J = 8.0, 2.1 Hz, 2H), 8.09 (d, J = 8.9 Hz, 2H), 7.52–7.57 (m, 3H), 7.46 (s, 1H), 7.05 (d, J = 8.9 Hz, 2H), 3.88 (s, 3H). LRMS [M + H] = 336.1, 338.1.
7-Chloro-5-phenyl-3-(4-(trifluoromethyl)phenyl)pyrazolo[1,5-a]pyrimidine (10k)
Synthesised from 9k (0.810 g, 2.28 mmol) using the general procedure to give 10k (0.836 g, 98%) as a yellow solid. 1H NMR (CDCl3) δ 8.58 (s, 1H), 8.29 (d, J = 8.1 Hz, 2H), 8.14–8.19 (m, 2H), 7.74 (d, J = 8.2 Hz, 2H), 7.54–7.60 (m, 3H), 7.53 (s, 1H). LRMS [M + H] = 374.1, 376.1.
4.3. Pyrazolo[1,5-a]Pyrimidine-7-Amines (Compounds 11–21)
3-(2-Fluorophenyl)-5-phenyl-N-(pyridin-2-ylmethyl)pyrazolo[1,5-a]pyrimidin-7-amine (11)
A solution of 10a (0.194 g, 0.599 mmol), pyridin-2-ylmethanamine (77 mg, 0.71 mmol) and diisopropylethylamine (0.15 mL, 0.90 mmol) in isopropanol (20 mL) was refluxed for 16 h. The solvent was removed in vacuo and the residue was partitioned between water, EtOAc and saturated NaHCO3 (until basic). The aqueous layer was extracted with EtOAc and the organic fractions were dried and evaporated to give the crude product, which was recrystallised from DCM/heptane by evaporation of DCM to give 11 (0.206 g, 87%) as pale yellow microcrystals. Purity (HPLC) 99.5%; mp 176–178 °C. 1H NMR (CDCl3) δ 8.84 (td, J = 7.9, 1.7 Hz, 1H), 8.69 (ddd, J = 4.9, 1.6, 0.9 Hz, 1H), 8.60 (d, J = 3.7 Hz, 1H), 8.13 (ap dd, J = 8.3, 1.6 Hz, 2H), 7.73 (td, J = 7.7, 1.8 Hz, 1H), 7.60 (t, J = 5.3 Hz, 1H), 7.44–7.54 (m, 3H), 7.39 (d, J = 7.8 Hz, 1H), 7.25–7.32 (m, 2H), 7.13–7.23 (m, 2H), 6.51 (s, 1H), 4.84 (d, J = 5.4 Hz, 2H). HRMS calcd. for C24H19FN5 (M + H+) m/z 396.1624, found 396.1619.
3-(2-Methoxyphenyl)-5-phenyl-N-(pyridin-2-ylmethyl)pyrazolo[1,5-a]pyrimidin-7-amine (12)
Synthesised from 10b (0.213 g, 0.600 mmol) using the general procedure to give 12 (0.194 g, 79%) as pale yellow microcrystals. Purity (HPLC) 99.5%; mp 169–171 °C. 1H NMR (CDCl3) δ 8.73 (s, 1H), 8.67–8.71 (m, 2H), 8.12 (ap dd, J = 8.3, 1.7 Hz, 2H), 7.72 (td, J = 7.7, 1.8 Hz, 1H), 7.42–7.54 (m, 4H), 7.39 (d, J = 7.8 Hz, 1H), 7.22–7.29 (m, 2H), 7.14 (td, J = 7.6, 1.2 Hz, 1H), 7.02 (dd, J = 8.2, 1.0 Hz, 1H), 6.48 (s, 1H), 4.84 (d, J = 5.4 Hz, 2H), 3.95 (s, 3H). HRMS calcd. for C25H22N5O (M + H+) m/z 408.1824, found 408.1816.
5-Phenyl-N-(pyridin-2-ylmethyl)-3-(2-(trifluoromethyl)phenyl)pyrazolo[1,5-a]pyrimidin-7-amine (13)
Synthesised from 10c (0.112 g, 0.300 mmol) using the general procedure to give 13 (0.107 g, 80%) as cream microcrystals. Purity (HPLC) 98.5%; mp 166–168 °C. 1H NMR (CDCl3) δ 8.69 (d, J = 4.3 Hz, 1H), 8.26 (d, J = 1.0 Hz, 1H), 8.05 (ap dd, J = 7.5, 1.0 Hz, 2H), 7.99 (d, J = 7.4 Hz, 1H), 7.79 (d, J = 7.6 Hz, 1H), 7.74 (td, J = 7.7, 1.8 Hz, 1H), 7.63 (t, J = 7.6 Hz, 1H), 7.60 (t, J = 5.2 Hz, 1H), 7.39–7.47 (m, 5H), 7.29 (dd, J = 7.4, 5.5 Hz, 1H), 4.84 (d, J = 5.3 Hz, 2H). HRMS calcd. for C25H19F3N5 (M + H+) m/z 446.1593, found 446.1584.
3-(3-Fluorophenyl)-5-phenyl-N-(pyridin-2-ylmethyl)pyrazolo[1,5-a]pyrimidin-7-amine (14)
Synthesised from 10d (0.194 g, 0.597 mmol) using the general procedure to give 14 (0.163 g, 69%) as yellow microcrystals. Purity (HPLC) 99.9%; mp 170–172 °C. 1H NMR (CDCl3) δ 8.69 (d, J = 4.3 Hz, 1H), 8.40 (s, 1H), 8.15 (ap dd, J = 7.9, 1.7 Hz, 2H), 8.05 (ddd, J = 11.0, 2.5, 1.6 Hz, 1H), 7.95 (dd, J = 7.8, 1.0 Hz, 1H), 7.73 (td, J = 7.7, 1.8 Hz, 1H), 7.59 (t, J = 5.1 Hz, 1H), 7.45–7.55 (m, 3H), 7.37–7.42 (m, 2H), 7.29 (dd, J = 7.5, 5.5 Hz, 1H), 6.92 (tdd, J = 6.4, 2.6, 0.8 Hz, 1H), 6.51 (s, 1H), 4.83 (d, J = 5.3 Hz, 2H). HRMS calcd. for C24H19FN5 (M + H+) m/z 396.1624, found 396.1632.
5-Phenyl-N-(pyridin-2-ylmethyl)-3-(m-tolyl)pyrazolo[1,5-a]pyrimidin-7-amine (15)
Synthesised from 10e (0.192 g, 0.600 mmol) using the general procedure to give 15 (0.209 g, 89%) as yellow microcrystals. Purity (HPLC) 99.0%; mp 172–174 °C. 1H NMR (CDCl3) δ 8.68 (dt, J = 2.4, 0.9 Hz, 1H), 8.40 (s, 1H), 8.15 (ap d, J = 6.7 Hz, 2H), 8.06 (d, J = 7.8 Hz, 1H), 8.00 (s, 1H), 7.73 (td, J = 7.7, 1.8 Hz, 1H), 7.44–7.56 (m, 4H), 7.39 (d, J = 8.5 Hz, 1H), 7.35 (d, J = 7.7 Hz, 1H), 7.28 (dd, J = 7.4, 5.7 Hz, 1H), 7.06 (d, J = 7.5 Hz, 1H), 6.48 (s, 1H), 4.83 (d, J = 5.4 Hz, 2H), 2.45 (s, 3H). HRMS calcd. for C25H22N5 (M + H+) m/z 392.1870, found 392.1859.
3-(3-Methoxyphenyl)-5-phenyl-N-(pyridin-2-ylmethyl)pyrazolo[1,5-a]pyrimidin-7-amine (16)
Synthesised from 10f (0.201 g, 0.599 mmol) using the general procedure to give 16 (0.221 g, 91%) as yellow microcrystals. Purity (HPLC) 99.0%; mp 122–124 °C. 1H NMR (CDCl3) δ 8.71 (bdd, J = 4.8, 0.6 Hz, 1H), 8.43 (s, 1H), 8.18 (ap dd, J = 7.9, 1.7 Hz, 2H), 7.99 (dd, J = 2.4, 1.6 Hz, 1H), 7.72–7.79 (m, 2H), 7.57 (bt, J = 5.3 Hz, 1H), 7.46–7.54 (m, 3H), 7.40 (d, J = 7.8 Hz, 1H), 7.39 (d, J = 8.0 Hz, 1H), 7.30 (dd, J = 7.4, 5.4 Hz, 1H), 6.83 (ddd, J = 8.2, 2.6, 0.8 Hz, 1H), 6.51 (s, 1H), 4.85 (d, J = 5.3 Hz, 2H), 3.96 (s, 3H). HRMS calcd. for C25H22N5O (M + H+) m/z 408.1817, found 408.1824.
5-Phenyl-N-(pyridin-2-ylmethyl)-3-(3-(trifluoromethyl)phenyl)pyrazolo[1,5-a]pyrimidin-7-amine (17)
Synthesised from 10g (0.224 g, 0.599 mmol) using the general procedure to give 17 (0.220 g, 82%) as pale yellow microcrystals. Purity (HPLC) 99.4%; mp 156–158 °C. 1H NMR (CDCl3) δ 8.69 (ddd, J = 4.9, 1.5, 0.9 Hz, 1H), 8.57 (s, 1H), 8.43 (s, 1H), 8.40 (d, J = 7.8 Hz, 1H), 8.18 (ap dd, J = 8.3, 1.7 Hz, 1H), 7.73 (td, J = 7.7, 1.7 Hz, 1H), 7.61 (t, J = 5.1 Hz, 1H), 7.45–7.58 (m, 5H), 7.39 (d, J = 7.8 Hz, 1H), 7.29 (dd, J = 7.4, 5.0 Hz, 1H), 6.52 (s, 1H), 4.83 (d, J = 5.2 Hz, 2H). HRMS calcd. for C25H19F3N5 (M + H+) m/z 446.1587, found 446.1593.
3-(4-Fluorophenyl)-5-phenyl-N-(pyridin-2-ylmethyl)pyrazolo[1,5-a]pyrimidin-7-amine (18)
Synthesised from 10h (0.200 g, 0.618 mmol) using the general procedure to give 18 (0.224 g, 92%) as yellow microcrystals. Purity (HPLC) 99.9%; mp 191–193 °C. 1H NMR (CDCl3) δ 8.68 (ddd, J = 5.6, 1.6, 0.9 Hz, 1H), 8.36 (s, 1H), 8.18 (ap dd, J = 8.9, 5.5 Hz, 2H), 8.13 (ap dd, J = 8.3, 5.0 Hz, 2H), 7.73 (td, J = 7.7, 1.8 Hz, 1H), 7.56 (t, J = 5.1 Hz, 1H), 7.44–7.54 (m, 3H), 7.38 (d, J = 7.8 Hz, 1H), 7.28 (dd, J = 7.5, 5.7 Hz, 1H), 7.15 (ap t, J = 8.8 Hz, 2H), 6.48 (s, 1H), 4.82 (d, J = 5.3 Hz, 2H). 13C NMR (CDCl3) δ 162.55, 160.12, 157.55, 155.09, 149.78, 146.95, 145.49, 141.81, 138.89, 137.25, 130.04, 129.34, 129.31, 128.88, 127.60, 127.57, 127.53, 123.12, 121.61, 115.77, 115.56, 109.03, 83.26, 46.99. HRMS calcd. for C14H19FN5 (M + H+) m/z 396.1619, found 396.1612.
5-Phenyl-N-(pyridin-2-ylmethyl)-3-(p-tolyl)pyrazolo[1,5-a]pyrimidin-7-amine (19)
Synthesised from 10i (0.192 g, 0.600 mmol) using the general procedure to give 19 (0.191 g, 81%) as yellow microcrystals. Purity (HPLC) 99.6%; mp 172–174 °C. 1H NMR (CDCl3) δ 8.68 (ddd, J = 4.9, 1.7, 0.9 Hz, 1H), 8.38 (s, 1H), 8.14 (p dd, J = 8.3, 1.6 Hz, 2H), 8.10 (ap d, J = 8.2 Hz, 2H), 7.71 (td, J = 7.7, 1.8 Hz, 1H), 7.43–7.53 (m, 4H), 7.38 (d, J = 7.8 Hz, 1H), 7.25–7.29 (m, 3H), 6.46 (s, 1H), 4.82 (d, J = 5.4 Hz, 2H), 2.39 (s, 3H). HRMS calcd. for C25H22N5 (M + H+) m/z 392.1875, found 392.1884.
3-(4-Methoxyphenyl)-5-phenyl-N-(pyridin-2-ylmethyl)pyrazolo[1,5-a]pyrimidin-7-amine (20)
Synthesised from 10j (0.200 g, 0.596 mmol) using the general procedure to give 20 (0.189 g, 78%) as yellow microcrystals. Purity (HPLC) 99.3%; mp 187–189 °C. 1H NMR (CDCl3) δ 8.67 (ddd, J = 5.8, 1.6, 0.7 Hz, 1H), 8.35 (s, 1H), 8.14 (ap d, J = 9.0 Hz, 4H), 7.73 (td, J = 7.7, 1.8 Hz, 1H), 7.44–7.53 (m, 4H), 7.39 (d, J = 7.9 Hz, 1H), 7.28 (dd, J = 7.3, 5.6 Hz, 1H), 7.03 (dt, J = 8.9, 2.1 Hz, 1H), 6.46 (s, 1H), 4.83 (d, J = 5.4 Hz, 2H), 3.87 (s, 3H). 13C NMR (CDCl3) δ 157.97, 157.12, 155.27, 149.77, 146.91, 145.26, 141.64, 139.02, 137.22, 129.0, 128.83, 127.56, 127.33, 125.92, 123.06, 121.57, 114.38, 109.80, 82.98, 55.56, 47.05. HRMS calcd. for C25H22N5O (M + H+) m/z 408.1819, found 408.1811.
5-Phenyl-N-(pyridin-2-ylmethyl)-3-(4-(trifluoromethyl)phenyl)pyrazolo[1,5-a]pyrimidin-7-amine (21)
Synthesised from 10k (0.224 g, 0.600 mmol) using the general procedure to give 21 (0.224 g, 84%) as yellow microcrystals. Purity (HPLC) 99.1%; mp 188–190 °C. 1H NMR (CDCl3) δ 8.69 (dd, J = 4.8, 0.6 Hz, 1H), 8.44 (s, 1H), 8.34 (d, J = 8.1 Hz, 2H), 8.14 (ap dd, J = 8.2, 1.7 Hz, 2H), 7.74 (td, J = 7.7, 1.8 Hz, 1H), 7.69 (d, J = 8.2 Hz, 2H), 7.63 (t, J = 5.1 Hz, 1H), 7.47–7.54 (m, 3H), 7.38 (d, J = 7.8 Hz, 1H), 7.29 (dd, J = 7.1, 5.4 Hz, 1H), 6.52 (s, 1H), 4.83 (d, J = 5.2 Hz, 2H). HRMS calcd. for C25H19F3N5 (M + H+) m/z 446.1593, found 446.1594.
Preparation of compounds 22–44 of Table 2
5,7-Dichloro-3-(4-fluorophenyl)pyrazolo[1,5-a]pyrimidine (74)
Sodium (5.1 g, 0.111 mol) was slowly added to absolute ethanol (400 mL) to generate sodium ethoxide solution, and diethyl malonate (16.8 mL, 0.111 mol) was then added, followed by 8h (19.63 g, 0.111 mol). The mixture was refluxed for 16 h, then cooled, the solvent was removed in vacuo and the residue was dissolved in water (400 mL). The solution was stirred rapidly and acidified with concentrated HCl to pH 2. The off-white precipitate was filtered and dried to give crude 3-(4-fluorophenyl)pyrazolo[1,5-a]pyrimidine-5,7-diol (73) which was used directly without further purification. 1H NMR (DMSO-d6) δ 11.59 (bs, 1H), 7.89 (bs, 1H), 7.52 (bs, 1H), 7.19–7.38 (m, 4H), 4.87 (bs, 1H). LRMS [M + H] = 227.1.
A mixture of crude 73 and tetramethylammonium chloride (18.2 g, 0.167 mol) in POCl3 (60 mL) was refluxed for 0.5 h. The excess POCl3 was removed in vacuo and the residue was slurried in DCM (200 mL) and then poured onto ice. The mixture was partitioned between DCM and water and the aqueous was extracted with DCM (2 × 100 mL). The organic fractions were dried and evaporated, and chromatography (DCM, neutral alumina) gave 5,7-dichloro-3-(4-fluorophenyl)pyrazolo[1,5-a]pyrimidine (74) (12.748 g, 41%) as a yellow solid. 1H NMR (CDCl3) δ 8.48 (s, 1H), 7.96 (ap dd, J = 8.9, 5.3 Hz, 2H), 7.16 (ap t, J = 8.8 Hz, 2H), 7.02 (s, 1H). LRMS [M + H] = 282.1, 284.1.
5-Chloro-3-(4-fluorophenyl)-N-(pyridin-2-ylmethyl)pyrazolo[1,5-a]pyrimidin-7-amine (75)
A solution of 74 (9.31 g, 33.0 mmol) in DCM (240 mL) at 0 °C was treated with diisopropylethylamine (6.90 mL, 39.6 mmol) and then pyridin-2-ylmethanamine (3.74 mL, 36.3 mmol). The solution was stirred at room temperature for 18 h, then partitioned between DCM (200 mL), water and saturated NaHCO3 (to basic); the aqueous was extracted with DCM (2 × 100 mL); the organic fractions were combined, dried and evaporated. Chromatography on silica with 3:1 hexanes:EtOAc eluted a coloured impurity, while 1:1 hexanes:EtOAc gave 75 (11.06 g, 95%) as a white solid. 1H NMR (CDCl3) δ 8.68 (dd, J = 4.8, 0.6 Hz, 1H), 8.31 (s, 1H), 7.93 (ap dd, J = 8.9, 5.4 Hz, 2H), 7.79 (bs, 1H), 7.75 (td, J = 7.7, 1.7 Hz, 1H), 7.34 (d, J = 7.9 Hz, 1H), 7.30 (bdd, J = 7.4, 5.3 Hz, 1H), 7.12 (ap t, J = 8.8 Hz, 2H), 6.05 (s, 1H), 4.71 (d, J = 5.1 Hz, 2H). LRMS [M + H] = 354.1, 356.1.
tert-Butyl (5-chloro-3-(4-fluorophenyl)pyrazolo[1,5-a]pyrimidin-7-yl)(pyridin-2-ylmethyl)carbamate (76)
Triethylamine (2.85 mL, 20.4 mmol) and Boc2O (4.085 g, 18.7 mmol) were added sequentially to a solution of 75 (6.018 g, 17.0 mmol) and DMAP (0.208 g, 1.70 mmol) in DCM (120 mL) at room temperature. The solution was stirred at room temperature for 16 h, then portioned between DCM, water and sat. aq. NaHCO3 (to basic). The aqueous layer was extracted with DCM (2 x 100 mL), and the organic fractions were combined, dried and evaporated. Chromatography on silica (25–33% EtOAc:hexanes) gave 76 (6.388 g, 83%) as a colourless foam. 1H NMR (CDCl3) δ 8.53 (ddd, J = 4.9, 1.7, 0.9 Hz, 1H), 8.39 (s, 1H), 7.97 (ap dd, J = 8.9, 5.3 Hz, 2H), 7.67 (td, J = 7.7, 1.8 Hz, 1H), 7.43 (d, J = 7.9 Hz, 1H), 7.20 (ddd, J = 7.5, 4.9, 1.0 Hz, 1H), 7.14 (ap t, J = 8.8 Hz, 2H), 6.98 (s, 1H), 5.12 (s, 2H), 1.36 (s, 9H). LRMS [M + H] = 354.1, 356.1.
4.4. General Suzuki Procedure
A mixture of 76 (0.100 g, 0.22 mmol), boronic acid (0.88 mmol, 4 eq.) and Na2CO3 (0.140 g, 1.32 mmol) in toluene (5.5 mL) and water (1.5 mL) was purged with nitrogen in a sealable tube. Pd(PPh3)4 (0.051 g, 0.044 mmol) was added, and the mixture was purged with nitrogen, sealed and then heated to reflux under nitrogen for 4 h. The mixture was partitioned between EtOAc and water, and the organic fraction was dried (MgSO4) and evaporated onto silica gel. Column chromatography on silica gel gave the Boc-protected products.
4.5. General Deprotection Procedure
A solution of the Boc-protected product (0.12 mmol) in TFA (10 mL) and DCM (10 mL) was refluxed for 3 h. The solvent was evaporated, and the residue was partitioned between EtOAc, water and saturated aqueous NaHCO3 (until basic). The organic fraction was dried (MgSO4) and evaporated onto silica gel. Column chromatography on silica gel gave the product, which was recrystallised from DCM/heptane by evaporation of DCM to give compounds 22–44.
3-(4-Fluorophenyl)-N-(pyridin-2-ylmethyl)pyrazolo[1,5-a]pyrimidin-7-amine (22)
A mixture of 76 (0.500 g, 1.10 mmol), bis(pinacolato)diboron (0.310 g, 1.21 mmol) and KOAc (0.650 g, 6.62 mmol) in DMSO (8 mL, anhydrous) was purged with nitrogen in a sealable tube. PdCl2(dppf) (45 mg, 0.055 mmol) was added, and the mixture was heated to 80 °C under nitrogen for 2 h. The mixture was partitioned between EtOAc and water, and the organic fraction was dried and evaporated. Chromatography on silica (33%–50% EtOAc:hexanes) gave Boc-22 (0.126 g, 27%) as a yellow solid. 1H NMR (CDCl3) δ 8.52 (ddd, J = 4.8, 1.7, 0.9 Hz, 1H), 8.49 (d, J = 4.5 Hz, 1H), 8.41 (s, 1H), 8.01 (ap dd, J = 8.9, 5.4 Hz, 2H), 7.65 (td, J = 7.7, 1.8 Hz, 1H), 7.46 (d, J = 7.8 Hz, 1H), 7.09–7.19 (m, 3H), 6.93 (d, J = 4.4 Hz, 1H), 5.14 (s, 2H), 1.36 (s, 9H). LRMS [M + H] = 420.2.
Deprotection of Boc-22 (0.122 g, 0.29 mmol) using the general deprotection procedure gave 22 (0.075 g, 81%) as yellow microcrystals. Purity (HPLC) 99.9%; mp 171–173 °C. 1H NMR (CDCl3) δ 8.67 (bdd, J = 3.5, 0.9 Hz, 1H), 8.33 (s, 1H), 8.32 d, J = 5.1 Hz, 1H), 8.01 (ap dd, J = 8.8, 5.4 Hz, 2H), 7.73 (td, J = 7.7, 1.8 Hz, 1H), 7.60 (bt, J = 4.8 Hz, 1H), 7.35 (d, J = 7.8 Hz, 1H), 7.28 (dd, J = 7.4, 5.7 Hz, 1H), 7.13 (ap t, J = 8.8 Hz, 2H), 6.03 (d, J = 5.1 Hz, 1H), 4.74 (d, J = 5.4 Hz, 2H). HRMS calcd. for C18H15FN5 (M + H+) m/z 320.1306, found 320.1307.
5-Ethyl-3-(4-fluorophenyl)-N-(pyridin-2-ylmethyl)pyrazolo[1,5-a]pyrimidin-7-amine (23)
A solution of Boc-24 (0.100 g, 0.225 mmol) in MeOH (30 mL) was purged with nitrogen in a hydrogenation bottle. 10% Pd/C (10 mg) was added, and the mixture was hydrogenated at 50 psi for 18 h. The mixture was filtered and evaporated to give crude Boc-23. Deprotection of crude Boc-23 using the general deprotection procedure gave 23 (0.030 g, 38%) as cream crystals. Purity (HPLC) 97.4%; mp 137–138 °C. 1H NMR (CDCl3) δ 8.67 (ddd, J = 4.9, 1.6, 0.9 Hz, 1H), 8.29 (s, 1H), 8.08 (ap dd, J = 8.9, 5.4 Hz, 2H), 7.72 (td, J = 7.7, 1.8 Hz, 1H), 7.41 (bt, J = 4.9 Hz, 1H), 7.35 (d, J = 7.9 Hz, 1H), 7.27 (m, 1H), 7.11 (ap t, J = 8.9 Hz, 2H), 6.58 (s, 1H), 4.72 (d, J = 5.4 Hz, 2H), 2.81 (q, J = 7.6 Hz, 2H), 1.36 (t, J = 7.6 Hz, 3H). HRMS calcd. for C20H19FN5 (M + H+) m/z 348.1619, found 348.1620.
3-(4-Fluorophenyl)-N-(pyridin-2-ylmethyl)-5-vinylpyrazolo[1,5-a]pyrimidin-7-amine (24)
A biphasic solution of 76 (1.00 g, 2.20 mmol), potassium vinyltrifluoroborate (1.175 g, 8.77 mmol) and Na2CO3 (1.40 g, 13.2 mmol) in toluene (50 mL) and water (15 mL) was purged with nitrogen in a sealable tube. Pd(PPh3)4 (0.51 g, 0.44 mmol) was added, and the mixture was heated to reflux under nitrogen for 3 h. The mixture was partitioned between EtOAc and water, and the organic fraction was dried and evaporated. Chromatography on silica (2:1 hexanes:EtOAc) gave Boc-24 (0.922 g, 94%) as an orange foam. 1H NMR (CDCl3) δ 8.53 (bd, J = 4.2 Hz, 1H), 8.38 (s, 1H), 8.07 (ap dd, J = 8.8, 5.4 Hz, 2H), 7.66 (td, J = 7.7, 1.8 Hz, 2H), 7.49 (d, J = 7.9 Hz, 1H), 7.10–7.18 (m, 2H), 7.05 (s, 1H), 6.86 (dd, J = 17.6, 10.8 Hz, 1H), 6.24 (d, J = 17.6 Hz, 1H), 5.69 (d, J = 10.8 Hz, 1H), 5.13 (s, 2H), 1.36 (s, 9H). LRMS [M + H] = 446.2.
Deprotection of Boc-24 (0.100 g, 0.225 mmol) using the general deprotection procedure gave 24 (0.026 g, 34%) as yellow microcrystals. Purity (HPLC) 97.8%; mp 131–133 °C. 1H NMR (CDCl3) δ 8.68 (dd, J = 3.3, 0.9 Hz, 1H), 8.31 (s, 1H), 8.10 (ap dd, J = 8.9, 5.4 Hz, 2H), 7.73 (td, J = 7.7, 1.8 Hz, 1H), 7.50 (bt, J = 5.0 Hz, 1H), 7.36 (d, J = 7.9 Hz, 1H), 7.28 (dd, J = 7.4, 5.8 Hz, 1H), 7.12 (ap t, J = 8.8 Hz, 2H), 6.80 (dd, J = 17.5, 10.7 Hz, 1H), 6.30 (dd, J = 17.5, 1.0 Hz, 1H), 6.12 (s, 1H), 5.61 (dd, J = 10.7, 1.0 Hz, 1H), 4.76 (d, J = 5.3 Hz, 2H). HRMS calcd. for C20H17FN5 (M + H+) m/z 346.1463, found 346.1459.
5-Cyclopropyl-3-(4-fluorophenyl)-N-(pyridin-2-ylmethyl)pyrazolo[1,5-a]pyrimidin-7-amine (25)
Reaction of 76 (0.100 g, 0.22 mmol) and cyclopropylboronic acid (0.076 g, 0.88 mmol) using the general Suzuki procedure gave Boc-25 (0.090 g, 89%) as a yellow solid. 1H NMR (CDCl3) δ 8.53 (ddd, J = 4.8, 1.7, 0.9 Hz, 1H), 8.33 (s, 1H), 8.02 (ap dd, J = 8.9, 5.4 Hz, 2H), 7.66 (td, J = 7.7, 1.8 Hz, 1H), 7.49 (d, J = 7.8 Hz, 1H), 7.18 (ddd, J = 7.5, 4.9, 1.0 Hz, 1H), 7.11 (ap t, J = 8.8 Hz, 2H), 6.78 (s, 1H), 5.11 (s, 2H), 2.03–2.10 (m, 1H), 1.36 (s, 9H), 1.19–1.22 (m, 2H), 1.08–1.13 (m, 2H). LRMS [M + H] = 460.3.
Deprotection of Boc-25 (0.085 g, 0.19 mmol) using the general deprotection procedure gave 25 (0.054 g, 81%) as cream needles. Purity (HPLC) 100%; mp 149–151 °C. 1H NMR (CDCl3) δ 8.66 (ddd, J = 4.9, 1.6, 0.9 Hz, 1H), 8.27 (s, 1H), 8.05 (ap dd, J = 8.9, 5.4 Hz, 2H), 7.72 (dt, J = 7.7, 1.8 Hz, 1H), 7.35 (d, J = 7.9 Hz, 2H), 7.28 (dd, J = 7.4, 5.7 Hz, 1H), 7.10 (ap t, J = 8.9 Hz, 2H), 5.99 (s, 1H), 4.73 (d, J = 5.4 Hz, 2H), 1.96–2.04 (m, 1H), 1.18–1.23 (m, 2H), 1.00–1.05 (m, 2H). 13C NMR (CDCl3) δ 164.80, 162.29, 159.87, 155.34, 149.74, 146.08, 145.56, 141.35, 137.19, 129.56, 129.53, 127.20, 127.13, 123.02, 121.51, 115.61, 115.40, 107.22, 85.00, 46.96, 18.02, 10.74. HRMS calcd. for C21H19FN5 (M + H+) m/z 360.1624, found 360.1628.
5-(Cyclopent-1-en-1-yl)-3-(4-fluorophenyl)-N-(pyridin-2-ylmethyl)pyrazolo[1,5-a]pyrimidin-7-amine (26)
Reaction of 76 (0.100g, 0.22 mmol) and cyclopent-1-en-1-ylboronic acid (0.099 g, 0.88 mmol) using the general Suzuki procedure gave Boc-26 (0.084 g, 79%) as an orange solid. 1H NMR (CDCl3) δ 8.53 (ddd, J = 4.8, 1.6, 0.8 Hz, 1H), 8.36 (s, 1H), 8.11 (ap dd, J = 9.0, 5.4 Hz, 2H), 7.65 (td, J = 7.7, 1.8 Hz, 1H), 7.50 (d, J = 7.9 Hz, 1H), 7.18 (ddd, J = 7.4, 4.9, 1.0 Hz, 1H), 7.13 (ap t, J = 8.9 Hz, 2H), 7.03 (s, 1H), 6.61–6.64 (m, 1H), 5.12 (s, 2H), 2.89–2.94 (m, 2H), 2.61–2.66 (m, 2H), 2.02–2.11 (m, 2H), 1.36 (s, 9H). LRMS [M + H] = 486.3.
Deprotection of Boc-26 (0.025 g, 0.052 mmol) using the general deprotection procedure gave 26 (0.014 g, 71%) as yellow microcrystals. Purity (HPLC) 98.8%; mp 177–179 °C. 1H NMR (CDCl3) δ 8.66 (ddd, J = 4.9, 1.6, 0.9 Hz, 1H), 8.31 (s, 1H), 8.13 (ap dd, J = 8.9, 5.4 Hz, 2H), 7.72 (td, J = 7.7, 1.8 Hz, 1H), 7.39 (t, J = 5.2 Hz, 1H), 7.36 (d, J = 7.9 Hz, 1H), 7.24–7.29 (m, 1H), 7.11 (ap t, J = 8.9 Hz, 2H), 6.64–6.68 (m, 1H), 6.17 (s, 1H), 4.75 (d, J = 5.3 Hz, 2H), 2.87–2.93 (m, 2H), 2.58–2.64 (m, 2H), 2.03–2.10 (m, 2H). 13C NMR (CDCl3) δ 162.35, 159.93, 155.39, 155.24, 149.67, 146.24, 145.23, 144.07, 141.31, 137.12, 133.82, 129.4, 129.37, 127.30, 127.22, 122.96, 127.22, 122.96, 121.50, 155.59, 115.38, 108.47, 83.14, 46.91, 33.90, 32.67, 23.45. HRMS calcd. for C23H21FN5 (M + H+) m/z 386.1776, found 386.1777.
5-(Cyclohex-1-en-1-yl)-3-(4-fluorophenyl)-N-(pyridin-2-ylmethyl)pyrazolo[1,5-a]pyrimidin-7-amine (27)
Reaction of 76 (0.100g, 0.22 mmol) and cyclohex-1-en-1-ylboronic acid (0.111 g, 0.88 mmol) using the general Suzuki procedure gave Boc-27 (0.076 g, 69%) as an orange solid. 1H NMR (CDCl3) δ 8.53 (ddd, J = 4.8, 1.6, 0.8 Hz, 1H), 8.35 (s, 1H), 8.10 (ap dd, J = 8.9, 5.4 Hz, 2H), 7.65 (td, J = 7.7, 1.8 Hz, 1H), 7.50 (d, J = 7.9 Hz, 1H), 7.17 (ddd, J = 7.6, 4.9, 1.0 Hz, 1H), 7.14 (ap t, J = 8.8 Hz, 2H), 7.10 (s, 1H), 6.72–6.77 (m, 1H), 5.12 (s, 2H), 2.62–2.67 (m, 2H), 2.27–2.33 (m, 2H), 1.78–1.83 (m, 2H), 1.66–1.73 (m, 2H), 1.36 (s, 9H). LRMS [M + H] = 500.3.
Deprotection of Boc-27 (0.030 g, 0.060 mmol) using the general deprotection procedure gave 27 (0.022 g, 92%) as yellow microcrystals. Purity (HPLC) 97.2%; mp 199–201 °C. 1H NMR (CDCl3) δ 8.67 (ddd, J = 4.9, 1.6, 0.9 Hz, 1H), 8.30 (s, 1H), 8.12 (ap dd, J = 9.0, 5.5 Hz, 2H), 7.72 (td, J = 7.7, 1.8 Hz, 1H), 7.33–7.39 (m, 2H), 7.27 (dd, J = 7.6, 5.5 Hz, 1H), 7.12 (ap t, J = 8.9 Hz, 2H), 6.74–6.80 (m, 1H), 6.16 (s, 1H), 4.75 (d, J = 5.3 Hz, 2H), 2.61–2.64 (m, 2H), 2.25–2.33 (m, 2H), 1.79–1.85 (m, 2H), 1.67–1.73 (m, 2H). 13C NMR (CDCl3) δ 162.42, 160.00, 159.55, 155.39, 149.77, 146.47, 145.16, 141.44, 137.21, 137.13, 131.04, 129.53, 129.50, 127.40, 127.32, 123.04, 121.56, 115.69, 115.48, 108.46, 82.17, 47.01, 26.35, 25.85, 22.98, 22.29. HRMS calcd. for C24H23FN5 (M + H+) m/z 400.1932, found 400.1933.
5-(2-Fluorophenyl)-3-(4-fluorophenyl)-N-(pyridin-2-ylmethyl)pyrazolo[1,5-a]pyrimidin-7-amine (28)
Reaction of 76 (0.100 g, 0.22 mmol) and (2-fluorophenyl)boronic acid (0.123 g, 0.88 mmol) using the general Suzuki conditions gave Boc-28 (0.060 g, 53%) as a yellow solid. 1H NMR (CDCl3) δ 8.51 (bd, J = 4.2 Hz, 1H), 8.45 (s, 1H), 8.20 (td, J = 7.8, 1.8 Hz, 1H), 8.12 (ap dd, J = 8.8, 5.4 Hz, 2H), 7.66 (td, J = 7.7, 1.8 Hz, 1H), 7.43–7.52 (m, 3H), 7.33 (td, J = 7.8, 1.0 Hz, 1H), 7.13–7.21 (m, 4H), 5.20 (s, 2H), 1.39 (s, 9H). LRMS [M + H] = 514.2.
Deprotection of Boc-28 (0.048 g, 0.94 mmol) using the general deprotection procedure gave 28 (0.045 g, 95%) as orange microcrystals. Purity (HPLC) 97.4%; mp 181–184 °C. 1H NMR (CDCl3) δ 8.69 (dd, J = 4.8, 0.6 Hz, 1H), 8.37 (s, 1H), 8.22 (td, J = 7.8, 1.8 Hz, 1H), 8.14 (ap dd, J = 8.9, 5.4 Hz, 2H), 7.73 (td, J = 7.7 Hz, 1.8 Hz, 1H), 7.61 (t, J = 5.0 Hz, 1H), 7.40–7.46 (m, 1H), 7.38 (d, J = 7.8 Hz, 1H), 7.32 (td, J = 7.7, 1.2 Hz, 1H), 7.28 (dd, J = 7.5, 5.7 Hz, 1H), 7.11–7.20 (m, 3H), 6.62 (s, 1H), 4.80 (d, J = 5.2 Hz, 2H). 13C NMR (CDCl3) δ 162.57, 162.32, 160.14, 159.83, 154.92, 153.71, 153.69, 149.77, 146.52, 145.33, 141.76, 137.18, 131.56, 131.53, 131.39, 131.31, 129.26, 129.23, 127.76, 127.63, 127.55, 127.19, 127.08, 124.79, 124.75, 123.08, 121.70, 116.63, 116.39, 115.79, 115.58, 109.13, 87.10, 86.99, 46.85. HRMS calcd. for C28H27FN5 (M + H+) m/z 452.2245, found 452.2244.
3-(4-Fluorophenyl)-5-(2-methoxyphenyl)-N-(pyridin-2-ylmethyl)pyrazolo[1,5-a]pyrimidin-7-amine (29)
Reaction of 76 (0.100g, 0.22 mmol) and 2-methoxyphenylboronic acid (0.134 g, 0.88 mmol) using the general Suzuki conditions gave Boc-29 (0.090 g, 78%) as a yellow solid. 1H NMR (CDCl3) δ 8.51 (ddd, J = 4.8, 1.6, 0.8 Hz, 1H), 8.40 (s, 1H), 8.12 (ap dd, J = 8.9, 5.3, Hz, 2H), 8.06 (dd, J = 7.7, 1.8 Hz, 1H), 7.65 (td, J = 7.7, 1.8 Hz, 1H), 7.56 (s, 1H), 7.53 (d, J = 7.8 Hz, 1H), 7.43 (ddd, J = 7.4, 4.9, 1.0 Hz, 1H), 7.09–7.18 (m, 4H), 6.99 (d, J = 8.3 Hz, 1H), 5.17 (s, 2H), 3.81 (s, 3H), 1.37 (s, 9H). LRMS [M + H] = 526.3.
Deprotection of Boc-29 (0.086 g, 0.16 mmol) using the general deprotection procedure gave 29 (0.055 g, 79%) as cream microcrystals. Purity (HPLC) 99.4%; mp 150–153 °C. 1H NMR (CDCl3) δ 8.67 (ddd, J = 4.9, 1.6, 0.7 Hz, 1H), 8.35 (s, 1H), 8.15 (ap dd, J = 8.9, 5.3 Hz, 2H), 8.02 (dd, J = 7.6, 1.8 Hz, 1H), 7.72 (td, J = 7.7, 1.8 Hz, 1H), 7.37–7.44 (m, 3H), 7.28 (ddd, J = 8.2, 2.6, 0.8 Hz, 1H), 7.08–7.15 (m, 3H), 7.00 (dd, J = 8.3, 0.7 Hz, 1H), 6.69 (s, 1H), 4.79 (d, J = 5.5 Hz, 2H), 3.82 (s, 3H). HRMS calcd. for C25H21FN5O (M + H+) m/z 426.1725, found 426.1723.
3-(4-Fluorophenyl)-N-(pyridin-2-ylmethyl)-5-(m-tolyl)pyrazolo[1,5-a]pyrimidin-7-amine (30)
Reaction of 76 (0.100 g, 0.22 mmol) and m-tolylboronic acid (0.120 g, 0.88 mmol) using the general Suzuki conditions gave Boc-30 (0.069 g, 62%) as a yellow solid. 1H NMR (CDCl3) δ 8.53 (ddd, J = 4.9, 1.6, 0.9 Hz, 1H), 8.42 (s, 1H), 8.15 (ap dd, J = 8.9, 5.4 Hz, 2H), 7.89–7.92 (m, 2H), 7.66 (td, J = 7.7, 1.8 Hz, 1H), 7.51 (d, J = 7.8 Hz, 1H), 7.41 (t, J = 7.7 Hz, 1H), 7.39 (s, 1H), 7.31 (d, J = 7.7 Hz, 1H), 7.14–7.20 (m, 3H), 5.19 (s, 2H), 2.47 (s, 3H), 1.38 (s, 9H). LRMS [M + H] = 510.2.
Deprotection of Boc-30 (0.060 g, 0.12 mmol) using the general deprotection procedure gave 30 (0.042 g, 87%) as a cream solid. Purity (HPLC) 99.6%; mp 151–153 °C. 1H NMR (CDCl3) δ 8.69 (ddd, J = 4.9, 1.6, 0.9 Hz, 1H), 8.35 (s, 1H), 8.17 (ap dd, J = 9.0, 5.4 Hz, 2H), 7.91–7.93 (m, 2H), 7.73 (td, J = 7.7, 1.8 Hz, 1H), 7.55 (t, J = 5.1 Hz, 1H), 7.38–7.42 (m, 2H), 7.27–7.30 (m, 2H), 7.15 (ap t, J = 8.8 Hz, 2H), 6.47 (s, 1H), 4.83 (d, J = 5.3 Hz, 2H), 2.47 (s, 3H). 13C NMR (CDCl3) δ 162.54, 160.11, 157.83, 155.12, 149.77, 146.89, 145.50, 141.80, 138.92, 138.49, 137.24, 130.83, 129.37, 129.34, 128.80, 128.19, 127.62, 127.55, 124.79, 123.10, 121.61, 115.77, 115.56, 108.99, 83.41, 46.98, 21.84. HRMS calcd. for C25H21FN5 (M + H+) m/z 410.1776, found 410.1775.
3-(4-Fluorophenyl)-5-(3-methoxyphenyl)-N-(pyridin-2-ylmethyl)pyrazolo[1,5-a]pyrimidin-7-amine (31)
Reaction of 76 (0.100 g, 0.22 mmol) and (3-methoxyphenyl)boronic acid (0.134 g, 0.88 mmol) using the general Suzuki conditions gave Boc-31 (0.109 g, 94%) as a yellow solid. 1H NMR (CDCl3) δ 8.54 (ddd, J = 4.9, 1.7, 0.9 Hz, 1H), 8.42 (s, 1H), 8.15 (ap dd, J = 8.9, 5.4 Hz, 2H), 7.70 (t, J = 1.7 Hz, 1H), 7.66 (td, J = 7.6, 1.8 Hz, 2H), 7.50 (d, J = 7.8 Hz, 1H), 7.43 (t, J = 8.0 Hz, 1H), 7.40 (s, 1H), 7.14–7.20 (m, 3H), 7.04 (ddd, J = 8.2, 2.6, 0.8 Hz, 1H), 5.18 (s, 2H), 3.92 (s, 3H), 1.38 (s, 9H). LRMS [M + H] = 526.3.
Deprotection of Boc-31 (0.105 g, 0.20 mmol) using the general deprotection procedure gave 31 (0.068 g, 80%) as pale yellow microcrystals. Purity (HPLC) 99.6%; mp 147–149 °C. 1H NMR (CDCl3) δ 8.69 (ddd, J = 4.9, 1.6, 0.7 Hz, 1H), 8.36 (s, 1H), 8.18 (ap dd, J = 8.9 5.3 Hz, 2H), 7.71–7.76 (m, 2H), 7.68 (ddd, J = 7.7, 1.6, 1.0 Hz, 1H), 7.56 (t, J = 5.2 Hz, 1H), 7.42 (t, J = 8.0 Hz, 1H), 7.39 (d, J = 7.8 Hz, 1H), 7.28 (ddd, J = 7.5, 5.0, 1.0 Hz, 1H), 7.15 (ap t, J = 8.8 Hz, 2H), 7.02 (ddd, J = 8.2, 2.6, 0.8 Hz, 1H), 6.46 (s, 1H), 4.82 (d, J = 5.3 Hz, 2H), 3.92 (s, 3H). HRMS calcd. for C25H21FN5O (M + H+) m/z 426.1725, found 426.1725.
3,5-Bis(4-fluorophenyl)-N-(pyridin-2-ylmethyl)pyrazolo[1,5-a]pyrimidin-7-amine (32)
Reaction of 76 (0.100g, 0.22 mmol) and (4-fluorophenyl)boronic acid (0.123 g, 0.88 mmol) using the general Suzuki procedure gave Boc-32 (0.105 g, 93%) as a yellow solid. 1H NMR (CDCl3) δ 8.54 (ddd, J = 4.8, 1.6, 0.8 Hz, 1H), 8.42 (s, 1H), 8.09–8.15 (m, 4H), 7.67 (td, J = 7.7, 1.8 Hz, 1H), 7.50 (d, J = 7.9 Hz, 1H), 7.40 (s, 1H), 7.15–7.23 (m, 5H), 5.17 (s, 2H), 1.38 (s, 9H). LRMS [M + H] = 514.1.
Deprotection of Boc-32 (0.097 g, 0.19 mmol) using the general deprotection procedure gave 32 (0.067 g, 86%) as pale yellow microcrystals. Purity (HPLC) 99.6%; mp 181–183 °C. 1H NMR (CDCl3) δ 8.69 (ddd, J = 4.9, 1.6, 0.9 Hz, 1H), 8.35 (s, 1H), 8.09–8.18 (m, 4H), 7.74 (td, J = 7.7, 1.8 Hz, 1H), 7.58 (t, J = 5.1 Hz, 1H), 7.38 (d, J = 7.8 Hz, 1H), 7.29 (dd, J = 7.5, 5.8 Hz, 1H), 7.12–7.22 (m, 4H), 6.42 (s, 1H), 4.82 (d, J = 5.3 Hz, 2H). HRMS calcd. for C24H18F2N5 (M + H+) m/z 414.1530, found 414.1535.
3-(4-Fluorophenyl)-N-(pyridin-2-ylmethyl)-5-(p-tolyl)pyrazolo[1,5-a]pyrimidin-7-amine (33)
Reaction of 76 (0.100 g, 0.22 mmol) and p-tolylboronic acid (0.120 g, 0.88 mmol) using the general Suzuki procedure gave Boc-33 (0.094 g, 84%) as an orange solid. 1H NMR (CDCl3) δ 8.53 (ddd, J = 4.8, 1.6, 0.8 Hz, 1H), 8.41 (s, 1H), 8.14 (ap dd, J = 8.9, 5.4 Hz, 2H), 8.01 (d, J = 8.2 Hz, 2H), 7.66 (td, J = 7.7, 1.8 Hz, 1H), 7.50 (d, J = 7.9 Hz, 1H), 7.38 (s, 1H), 7.32 (d, J = 8.0 Hz, 2H), 7.14–7.20 (m, 3H), 5.18 (s, 2H), 2.45 (s, 3H), 1.38 (s, 9H). LRMS [M + H] = 510.2.
Deprotection of Boc-33 (0.080 g, 0.16 mmol) using the general deprotection procedure gave 33 (0.052 g, 81%) as orange microcrystals. Purity (HPLC) 99.5%; mp 180–182 °C. 1H NMR (CDCl3) δ 8.69 (ddd, J = 4.9, 1.6, 0.8 Hz, 1H), 8.34 (s, 1H), 8.17 (ap dd, J = 8.9, 5.2 Hz, 2H), 8.02 (d, J = 8.2 Hz, 2H), 7.72 (td, J = 7.7, 1.8 Hz, 1H), 7.52 (t, J = 5.2 Hz, 1H), 7.38 (d, J = 7.8 Hz, 1H), 7.31 (d, J = 7.9 Hz, 2H), 7.28 (obscured, 1H), 7.15 (ap d, J = 8.8 Hz, 2H), 6.46 (s, 1H), 4.82 (d, J = 5.3 Hz, 2H), 2.43 (s, 3H). HRMS calcd. for C25H21FN5 (M + H+) m/z 410.1776, found 410.1775.
3-(4-Fluorophenyl)-5-(4-methoxyphenyl)-N-(pyridin-2-ylmethyl)pyrazolo[1,5-a]pyrimidin-7-amine (34)
Reaction of 76 (0.100g, 0.22 mmol) and (4-methoxyphenyl)boronic acid (0.134 g, 0.88 mmol) using the general Suzuki procedure gave Boc-34 (0.092 g, 80%) as a yellow solid. 1H NMR (CDCl3) δ 8.54 (ddd, J = 4.8, 1.7, 0.9 Hz, 1H), 8.39 (s, 1H), 8.14 (ap dd, J = 8.9, 5.4 Hz, 2H), 8.08 (ap d, J = 8.9 Hz, 2H), 7.66 (td, J = 7.7, 1.8 Hz, 1H), 7.51 (d, J = 8.5 Hz, 1H), 7.37 (s, 1H), 7.14–7.19 (m, 3H), 7.03 (ap d, J = 8.9 Hz, 2H), 5.17 (s, 2H), 3.90 (s, 3H), 1.37 (s, 9H). LRMS [M + H] = 526.3.
Deprotection of Boc-34 (0.088 g, 0.17 mmol) using the general deprotection procedure gave 34 (0.058 g, 81%) as cream microcrystals. Purity (HPLC) 99.8%; mp 179–181 °C. 1H NMR (CDCl3) δ 8.69 (ddd, J = 4.9, 1.6, 0.9 Hz, 1H), 8.33 (s, 1H), 8.17 (ap dd, J = 9.0, 5.4 Hz, 2H), 8.10 (ap d, J = 8.9 Hz, 2H), 7.73 (td, J = 7.7, 1.8 Hz, 1H), 7.50 (t, J = 5.1 Hz, 1H), 7.38 (d, J = 7.8 Hz, 1H), 7.28 (dd, J = 7.4, 5.7 Hz, 1H), 7.15 (ap t, J = 8.8 Hz, 2H), 7.03 (ap d, J = 8.9 Hz, 2H), 6.42 (s, 1H), 4.82 (d, J = 5.3 Hz, 2H), 3.89 (s, 3H). 13C NMR (CDCl3) δ 162.47, 161.39, 160.05, 157.15, 155.21, 149.76, 146.84, 145.51, 141.70, 137.23, 131.36, 129.47, 129.44, 128.96, 127.51, 127.44, 123.08, 121.59, 115.73, 115.51, 114.21, 108.65, 82.64, 55.62, 47.01. HRMS calcd. for C25H21FN5O (M + H+) m/z 426.1730, found 426.1733.
3-(4-Fluorophenyl)-5-(4-isopropylphenyl)-N-(pyridin-2-ylmethyl)pyrazolo[1,5-a]pyrimidin-7-amine (35)
Reaction of 76 (0.100 g, 0.22 mmol) and (4-isopropylphenyl)boronic acid (0.145 g, 0.88 mmol) using the general Suzuki procedure gave Boc-35 (0.101 g, 86%) as a yellow solid. 1H NMR (CDCl3) δ 8.54 (ddd, J = 4.8, 1.7, 0.9 Hz, 1H), 8.41 (s, 1H), 8.15 (ap dd, J = 8.9, 5.4 Hz, 2H), 8.03 (d, J = 8.4 Hz, 2H), 7.66 (td, J = 7.7, 1.8 Hz, 1H), 7.50 (d, J = 7.9 Hz, 1H), 7.36–7.40 (m, 3H), 7.13–7.20 (m, 3H), 5.18 (s, 2H), 2.99 (sept, J = 6.9 Hz, 1H), 1.38 (s, 9H), 1.30 (d, J = 6.9 Hz, 6H). LRMS [M + H] = 538.2.
Deprotection of Boc-35 (0.096 g, 0.18 mmol) using the general deprotection procedure gave 35 (0.078 g, 99%) as pale yellow microcrystals. Purity (HPLC) 99.5%; mp 88–90 °C. 1H NMR (CDCl3) δ 8.68 (dd, J = 4.9, 0.6 Hz, 1H), 8.35 (s, 1H), 8.18 (ap dd, J = 8.9, 5.5 Hz, 2H), 8.05 (d, J = 8.3 Hz, 2H), 7.72 (td, J = 7.7, 1.8 Hz, 1H), 7.51 (t, J = 5.3 Hz, 1H), 7.35–7.40 (m, 3H), 7.28 (dd, J = 6.8, 5.0 Hz, 1H), 7.14 (ap t, J = 8.8 Hz, 2H), 6.45 (s, 1H), 4.83 (d, J = 5.4 Hz, 2H), 2.99 (sept, J = 7.0 Hz, 1H), 1.31 (d, J = 7.0 Hz, 6H). 13C NMR (CDCl3) δ 162.50, 160.07, 157.66, 155.22, 151.17, 149.78, 146.89, 145.54, 141.71, 137.23, 136.54, 129.42, 129.39, 127.61, 127.56, 127.48, 127.00, 123.09, 121.58, 115.73, 115.51, 108.83, 83.16, 47.04, 34.24, 32.09, 29.23, 24.12, 22.90, 14.33. HRMS calcd. for C27H25FN5 (M + H+) m/z 438.2094, found 438.2103.
5-(4-(Tert-butyl)phenyl)-3-(4-fluorophenyl)-N-(pyridin-2-ylmethyl)pyrazolo[1,5-a]pyrimidin-7-amine (36)
Reaction of 76 (0.100 g, 0.22 mmol) and (4-tert-butylphenyl)boronic acid (0.157 g, 0.88 mmol) using the general Suzuki procedure gave Boc-36 (0.100 g, 82%) as an orange solid. 1H NMR (CDCl3) δ 8.54 (ddd, J = 4.8, 1.7, 0.9 Hz, 1H), 8.41 (s, 1H), 8.16 (ap dd, J = 8.9, 5.4 Hz, 2H), 8.04 (ap d, J = 8.6 Hz, 2H), 7.66 (td, J = 7.7, 1.8 Hz, 1H), 7.55 (ap d, J = 8.6 Hz, 2H), 7.49 (d, J = 7.9 Hz, 1H), 7.38 (s, 1H), 7.13–7.19 (m, 3H), 5.18 (s, 2H), 1.38 (s, 18H). LRMS [M + H] = 552.3.
Deprotection of Boc-36 (0.070 g, 0.17 mmol) using the general deprotection procedure gave 36 (0.070 g, 90%) as orange microcrystals. Purity (HPLC) 99.5%; mp 150–152 °C. 1H NMR (CDCl3) δ 8.69 (ddd, J = 4.9, 1.6, 0.9 Hz, 1H), 8.35 (s, 1H), 8.19 (ap dd, J = 8.9, 5.5 Hz, 2H), 8.06 (ap d, J = 8.6 Hz, 2H), 7.72 (td, J = 7.7, 1.8 Hz, 1H), 7.53 (ap d, J = 8.6 Hz, 2H), 7.51 (t, J = 5.3 Hz, 1H), 7.38 (d, J = 7.8 Hz, 1H), 7.28 (ddd, J = 7.5, 4.7, 0.8 Hz, 1H), 7.14 (ap t (J = 8.8 Hz, 2H), 6.46 (s, 1H), 4.82 (d, J = 5.3 Hz, 2H), 1.38 (s, 9H). 13C NMR (CDCl3) δ 162.50, 160.07, 157.59, 155.24, 153.40, 149.80, 146.90, 145.56, 141.71, 137.24, 136.13, 129.42, 129.39, 127.55, 127.48, 127.33, 125.86, 123.09, 121.57, 115.73, 115.52, 108.84, 83.18, 47.06, 35.01, 31.49. HRMS calcd. for C28H27FN5 (M + H+) m/z 452.2245, found 452.2244.
3-(4-Fluorophenyl)-N-(pyridin-2-ylmethyl)-5-(4-(trifluoromethyl)phenyl)pyrazolo[1,5-a]pyrimidin-7-amine (37)
Reaction of 76 (0.100g, 0.22 mmol) and (4-(trifluoromethyl)phenyl)boronic acid (0.063 g, 0.33 mmol) using the general Suzuki procedure gave Boc-37 (0.092 g, 74%) as a yellow solid. 1H NMR (CDCl3) δ 8.55 (ddd, J = 4.9, 1.6, 0.8 Hz, 1H), 8.45 (s, 1H), 8.23 (d, J = 8.1 Hz, 1H), 8.13 (ap dd, J = 8.9, 5.4 Hz, 2H), 7.78 (d, J = 8.2 Hz, 2H), 7.68 (td, J = 7.7, 1.8 Hz, 1H), 7.50 (d, J = 7.8 Hz, 1H), 7.49 (s, 1H), 7.15–7.22 (m, 3H), 5.19 (s, 2H), 1.38 (s, 9H). LRMS [M + H] = 564.2.
Deprotection of Boc-37 (0.082 g, 0.15 mmol) using the general deprotection procedure gave 37 (0.066 g, 98%) as a yellow solid. Purity (HPLC) 98.6%; mp 170–171 °C. 1H NMR (CDCl3) δ 8.70 (ddd, J = 4.9, 1.6, 0.9 Hz, 1H), 8.38 (s, 1H), 8.23 (d, J = 8.1 Hz, 2H), 8.15 (ap dd, J = 8.9, 5.2 Hz, 2H), 7.71–7.79 (m, 3H), 7.67 (t, J = 5.2 Hz, 1H), 7.39 (d, J = 7.8 Hz, 1H), 7.30 (dd, J = 7.5, 4.8 Hz, 1H), 7.16 (ap t, J = 8.7 Hz, 2H), 6.49 (s, 1H), 4.83 (d, J = 5.2 Hz, 2H). HRMS calcd. for C25H18F4N5 (M + H+) m/z 464.1498, found 464.1498.
3-(4-Fluorophenyl)-N-(pyridin-2-ylmethyl)-5-(4-(trifluoromethoxy)phenyl)pyrazolo[1,5-a]pyrimidin-7-amine (38)
Reaction of 76 (0.100g, 0.22 mmol) and (4-(trifluoromethoxy)phenyl)boronic acid (0.181 g, 0.88 mmol) using the general Suzuki procedure gave Boc-38 (0.107 g, 84%) as a yellow solid. 1H NMR (CDCl3) δ 8.55 (ddd, J = 4.8, 1.7, 0.8 Hz, 1H), 8.43 (s, 1H), 8.09–8.18 (m, 4H), 7.67 (J = 7.7, 1.8 Hz, 1H), 7.49 (d, J = 7.8 Hz, 1H), 7.43 (s, 1H), 7.36 (d, J = 8.0 Hz, 2H), 7.14–7.22 (m, 3H), 5.18 (s, 2H), 1.38 (s, 9H). LRMS [M + H] = 580.2.
Deprotection of Boc-38 (0.093 g, 0.16 mmol) using the general deprotection procedure gave 38 (0.063 g, 82%) as cream microcrystals. Purity (HPLC) 96.2%; mp 181–183 °C. 1H NMR (CDCl3) δ 8.69 (ddd, J = 4.9, 1.6, 0.9 Hz, 1H), 8.36 (s, 1H), 8.12–8.18 (m, 4H), 7.74 (td, J = 7.7, 1.8 Hz, 1H), 7.62 (t, J = 5.2 Hz, 1H), 7.38 (d, J = 7.8 Hz, 1H), 7.34 (dd, J = 8.9, 0.8 Hz, 2H), 7.29 (dd, J = 7.4, 5.8 Hz, 1H), 7.15 (ap t, J = 8.8 Hz, 2H), 6.44 (s, 1H), 4.82 (d, J = 5.3 Hz, 2H). 13C NMR (CDCl3) δ 162.62, 160.19, 156.06, 154.91, 150.64, 150.62, 149.81, 147.03, 145.34, 141.98, 137.49, 137.29, 129.17, 129.11, 127.63, 127.56, 124.57, 123.19, 121.97, 121.65, 121.11, 119.41, 116.86, 115.82, 115.61, 109.25, 83.03, 46.98. HRMS calcd. for C25H18F4N5O (M + H+) m/z 480.1442, found 480.1443.
3-(4-Fluorophenyl)-N-(pyridin-2-ylmethyl)-5-(pyridin-3-yl)pyrazolo[1,5-a]pyrimidin-7-amine (39)
Reaction of 76 (0.100 g, 0.22 mmol) and pyridin-3-ylboronic acid (0.108 g, 0.88 mmol) using the general Suzuki procedure gave Boc-39 (0.060 g, 55%) as a yellow solid. 1H NMR (CDCl3) δ 9.32 (dd, J = 2.2, 0.6 Hz, 1H), 8.73 (dd, J = 4.8, 1.7 Hz, 1H), 8.55 (ddd, J = 4.8, 1.6, 0.8 Hz, 1H), 8.45 (s, 1H), 8.44 (ddd, J = 8.0, 2.2, 1.8 Hz, 1H), 8.14 (ap dd, J = 8.9, 5.4 Hz, 2H), 7.68 (td, J = 7.7, 1.8 Hz, 1H), 7.44–7.51 (m, 3H), 7.15–7.22 (m, 3H), 5.18 (s, 2H), 1.38 (s, 9H). LRMS [M + H] = 497.2.
Deprotection of Boc-39 (0.058 g, 0.12 mmol) using the general deprotection procedure gave 39 (0.038 g, 82%) as yellow microcrystals. Purity (HPLC) 99.9%; mp 198–201 °C. 1H NMR (CDCl3) δ 9.32 (dd, J = 2.2, 0.6 Hz, 1H), 8.69–8.71 (m, 2H), 8.47 (dt, J = 8.0, 1.8 Hz, 1H), 8.37 (s, 1H), 8.15 (ap dd, J = 8.9, 5.4 Hz, 2H), 7.75 (td, J = 7.7, 1.8 Hz, 1H), 7.71 (t, J = 5.7 Hz, 1H), 7.46 (ddd, J = 8.0, 4.8, 0.7 Hz, 1H), 7.40 (d, J = 7.8 Hz, 1H), 7.30 (dd, J = 6.6, 4.9 Hz, 1H), 7.16 (ap t, J = 8.8 Hz, 2H), 6.48 (s, 1H), 4.83 (d, J = 5.2 Hz, 2H). 13C NMR (CDCl3) δ 162.65, 160.22, 154.79, 154.72, 150.77, 149.81, 148.83, 147.11, 145.36, 142.02, 137.29, 135.01, 134.43, 129.04, 129.01, 127.64, 127.57, 123.77, 123.22, 121.71, 115.85, 115.64, 109.40, 82.89, 46.94. HRMS calcd. for C23H18FN6 (M + H+) m/z 396.1577, found 396.1579.
3-(4-Fluorophenyl)-N-(pyridin-2-ylmethyl)-5-(pyridin-4-yl)pyrazolo[1,5-a]pyrimidin-7-amine (40)
Reaction of 76 (0.100 g, 0.22 mmol) and pyridin-4-ylboronic acid (0.108 g, 0.88 mmol) using the general Suzuki procedure gave Boc-40 (0.066 g, 60%) as a yellow solid. 1H NMR (CDCl3) δ 8.81 (dd, J = 4.6, 1.7 Hz, 2H), 8.55 (bd, J = 4.1 Hz, 1H), 8.47 (s, 1H), 8.13 (ap dd, J = 8.9, 5.4 Hz, 2H), 7.98 (dd, J = 4.5, 1.6 Hz, 2H), 7.68 (td, J = 7.7, 1.8 Hz, 1H), 7.53 (s, 1H), 7.49 (d, J = 7.8 Hz, 1H), 7.17–7.23 (m, 3H), 5.19 (s, 2H), 1.38 (s, 9H). LRMS [M + H] = 497.3.
Deprotection of Boc-40 (0.075 g, 0.15 mmol) using the general deprotection procedure gave 40 (0.045 g, 75%) as orange microcrystals. Purity (HPLC) 99.9%; mp 250–253 °C. 1H NMR (CDCl3) δ 8.77 (dd, J = 4.5, 1.6 Hz, 2H), 8.70 (ddd, J = 4.9, 1.5, 0.6 Hz, 1H), 8.39 (s, 1H), 8.15 (ap dd, J = 8.9, 5.4 Hz, 2H), 8.00 (dd, J = 4.5, 1.6 Hz, 2H), 7.71–7.77 (m, 2H), 7.39 (d, J = 7.8 Hz, 1H), 7.30 (dd, J = 7.1, 5.5 Hz, 1H), 7.17 (ap t, J = 8.8 Hz, 2H), 6.51 (s, 1H), 4.84 (d, J = 5.2 Hz, 2H). HRMS calcd. for C23H18FN6 (M + H+) m/z 397.1577, found 397.1586.
3-(4-Fluorophenyl)-N-(pyridin-2-ylmethyl)-5-(thiophen-2-yl)pyrazolo[1,5-a]pyrimidin-7-amine (41)
Reaction of 76 (0.100 g, 0.22 mmol) and thiophen-2-ylboronic acid (0.452 g, 3.53 mmol; added in 0.113 g and 0.339 g portions) using the general Suzuki procedure gave Boc-41 (0.039 g, 35%) as a yellow solid. 1H NMR (CDCl3) δ 8.55 (ddd, J = 4.8, 1.6, 0.9 Hz, 1H), 8.38 (s, 1H), 8.12 (ap dd, J = 9.0, 5.4 Hz, 2H), 7.67 (td, J = 7.7, 1.8 Hz, 1H), 7.63 (dd, J = 3.7, 1.1 Hz, 1H), 7.52 (dd, J = 5.3, 1.1 Hz, 1H), 7.50 d (J = 7.9 Hz, 1H), 7.28 (s, 1H), 7.13–7.19 (m, 4H), 5.16 (s, 2H), 1.37 (s, 9H). LRMS [M + H] = 502.2.
Deprotection of Boc-41 (0.042 g, 0.084 mmol) using the general deprotection procedure gave 41 (0.032 g, 95%) as a yellow solid. Purity (HPLC) 97.9%; mp 181–183 °C. 1H NMR (CDCl3) δ 8.69 (dd, J = 4.8, 0.6 Hz, 1H), 8.32 (s, 1H), 8.15 (ap dd, J = 9.0, 5.4 Hz, 2H), 7.72 (td, J = 7.7, 1.8 Hz, 1H), 7.66 (dd, J = 3.7, 1.1 Hz, 1H), 7.55 (t, J = 5.1 Hz, 1H), 7.47 (dd, J = 5.0, 1.1 Hz, 1H), 7.38 (d, J = 7.8 Hz, 1H), 7.28 (dd, J = 7.2, 5.6, 1H), 7.11–7.18 (m, 3H), 6.37 (s, 1H), 4.80 (d, J = 5.3 Hz, 2H). 13C NMR (CDCl3) δ 162.54, 160.11, 154.96, 152.42, 149.75, 146.76, 145.04, 144.80, 141.73, 137.27, 129.22, 129.19, 129.14, 128.15, 127.48, 127.40, 126.32, 123.14, 121.65, 115.75, 115.54, 108.72, 81.86, 77.43, 46.95, 45.78. HRMS calcd. for C22H17FN5S (M + H+) m/z 402.1183, found 402.1189.
3-(4-Fluorophenyl)-N-(pyridin-2-ylmethyl)-5-(thiophen-3-yl)pyrazolo[1,5-a]pyrimidin-7-amine (42)
Reaction of 76 (0.100 g, 0.22 mmol) and thiophen-3-ylboronic acid (0.113 g, 0.88 mmol) using the general Suzuki procedure gave Boc-42 (0.078 g, 71%) as a yellow solid. 1H NMR (CDCl3) δ 8.55 (dd, J = 4.8, 1.7, 0.9 Hz, 1H), 8.38 (s, 1H), 8.10 ( ap dd, J = 8.9, 5.4 Hz, 2H), 8.07 (dd, J = 1.4, 0.8 Hz, 1H), 7.67 (td, J = 7.7, 1.8 Hz, 1H), 7.53 (t, J = 1.7 Hz, 1H), 7.49 (d, J = 7.9 Hz, 1H), 7.12–7.20 (m, 3H), 7.09 (s, 1H), 7.02 (dd, J = 1.8, 0.8 Hz, 1H), 5.15 (s, 2H), 1.37 (s, 9H). LRMS [M + H] = 502.2.
Deprotection of Boc-42 (0.073 g, 0.15 mmol) using the general deprotection procedure gave 42 (0.050 g, 86%) as cream microcrystals. Purity (HPLC) 99.9%; mp 155–157 °C. 1H NMR (CDCl3) δ 8.69 (ddd, J = 4.9, 1.6, 0.9 Hz, 1H), 8.33 (s, 1H), 8.15 (ap dd, J = 8.9, 5.4 Hz, 2H), 8.00 (dd, J = 3.0, 1.3 Hz, 1H), 7.79 (dd, J = 5.0, 1.2 Hz, 1H), 7.73 (td, J = 7.7, 1.8 Hz, 1H), 7.53 (t, J = 5.2 Hz, 1H), 7.41 (dd, J = 5.0, 3.0 Hz, 1H), 7.38 (d, J = 7.8 Hz, 1H), 7.28 (dd, J = 7.4, 5.8 Hz, 1H), 7.14 (ap t, J = 8.8 Hz, 2H), 6.35 (s, 1H), 4.80 (d, J = 5.3 Hz, 2H). 13C NMR (CDCl3) δ 159.98, 154.98, 153.26, 149.66, 145.27, 141.97, 141.64, 137.14, 129.24, 129.21, 127.43, 126.90, 126.28, 125.23, 123.01, 121.51, 115.63, 115.41, 108.67, 83.17, 46.89. HRMS calcd. for C22H17FN5S (M + H+) m/z 402.1183, found 402.1183.
3-(4-Fluorophenyl)-5-(furan-2-yl)-N-(pyridin-2-ylmethyl)pyrazolo[1,5-a]pyrimidin-7-amine (43)
Reaction of 76 (0.100g, 0.22 mmol) and furan-2-ylboronic acid (0.210 g, 1.77 mmol) using the general Suzuki procedure gave Boc-43 (0.045 g, 42%) as an orange solid. 1H NMR (CDCl3) δ 1H NMR (CDCl3) δ 8.54 (ddd, J = 4.9, 1.7, 0.7 Hz, 1H), 8.38 (s, 1H), 8.10 (ap dd, J = 8.9, 5.4 Hz, 2H), 8.07 (dd, J = 1.4, 0.8 Hz, 1H), 7.68 (td, J = 7.7, 1.8 Hz, 1H), 7.53 (t, J = 1.6 Hz, 1H), 7.50 (d, J = 7.9 Hz, 1H), 7.12–7.20 (m, 3H), 7.09 (s, 1H), 7.02 (dd, J = 1.9, 0.8 Hz, 1H), 5.15 (s, 2H), 1.37 (s, 9H). LRMS [M + H] = 486.2.
Deprotection of Boc-43 (0.038 g, 0.078 mmol) using the general deprotection procedure gave 43 (0.013 g, 43%) as a tan solid. Purity (HPLC) 99.9%; 8.68 (ddd, J = 4.9, 1.6, 0.9 Hz, 1H), 8.33 (s, 1H), 8.12 (ap dd, J = 9.0, 5.5 Hz, 2H), 7.73 (td, J = 7.7, 1.8 Hz, 1H), 7.60 (bt, J = 5.0 Hz, 1H), 7.57 (dd, J = 1.7, 0.8 Hz, 1H), 7.38 (d, J = 7.8 Hz, 1H), 7.27–7.30 (m, 2H), 7.14 (ap t, J = 8.8 Hz, 2H), 6.58 (dd, J = 3.4, 1.8 Hz, 1H), 6.51 (s, 1H), 4.81 (d, J = 5.2 Hz, 2H). HRMS calcd. for C22H17FN5O (M + H+) m/z 386.1412, found 386.1412.
3-(4-Fluorophenyl)-5-(furan-3-yl)-N-(pyridin-2-ylmethyl)pyrazolo[1,5-a]pyrimidin-7-amine (44)
Reaction of 76 (0.300 g, 0.66 mmol) and furan-3-ylboronic acid (0.297 g, 2.66 mmol) using the general Suzuki procedure gave crude Boc-44 (0.075 g, 23%), which was used directly in the subsequent step. LRMS [M + H] = 486.2.
Deprotection of Boc-44 (0.069 g, 0.14 mmol) using the general deprotection procedure gave 44 (0.046 g, 84%) as a yellow solid. Purity (HPLC) 98.5%; mp 151–153 °C. 1H NMR (CDCl3) δ 8.69 (ddd, J = 4.9, 1.6, 0.9 Hz, 1H), 8.32 (s, 1H), 8.13 (ap dd, J = 9.0, 5.4 Hz, 2H), 8.09 (dd, J = 1.4, 0.8 Hz, 1H), 7.73 (td, J = 7.7, 1.8 Hz, 1H), 7.53 (t, J = 5.1 Hz, 1H), 7.52 (dd, J = 3.4, 1.7 Hz, 1H), 7.38 (d, J = 7.8 Hz, 1H), 7.28 (dd, J = 7.4, 5.7 Hz, 1H), 7.13 (ap t, J = 8.8 Hz, 2H), 7.01 (dd, J = 1.8, 0.8 Hz, 1H), 6.18 (s, 1H), 5.30 (d, J = 4.8 Hz, 2H). 13C NMR (CDCl3) δ 162.54, 160.11, 155.07, 151.98, 149.79, 146.83, 145.44, 144.08, 142.60, 141.72, 137.29, 129.31, 129.28, 127.55, 127.47, 127.28, 123.16, 121.63, 115.74, 115.53, 109.34, 108.59, 83.12, 47.00. HRMS calcd. for C22H17FN5O (M + H+) m/z 386.1412, found 386.1410.
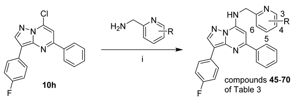
Preparation of compounds 45–72 of Table 3:

Reagents and conditions: (i) DIPEA, iPrOH, reflux, 3–15h.
3-(4-Fluorophenyl)-N-((6-fluoropyridin-2-yl)methyl)-5-phenylpyrazolo[1,5-a]pyrimidin-7-amine (45)
A mixture of 10h (0.046 g, 0.14 mmol), 6-fluoropyridine-2-methanamine hydrochloride (0.0277 mg, 0.170 mmol) and diisopropylethylamine (0.12 mL, 0.71 mmol) was heated to 110 °C for 16 h. The reaction mixture was partitioned between water and ethyl acetate. The aqueous fraction was extracted twice with ethyl acetate, and the organic fraction was combined, dried (MgSO4) and concentrated in vacuo. Column chromatography on silica gel using a gradient of 5:1 hexanes:ethyl acetate to 3:1 hexanes:ethyl acetate gave compound 45 (0.054 g, 92%) as a yellow solid. Purity (HPLC) 99.1%; mp 196–198 °C. 1H NMR (CDCl3) δ 8.34 (s, 1H), 8.20–8.13 (m, 2H), 8.12–8.08 (m, 2H), 7.82 (q, J = 7.9 Hz, 1H), 7.52–7.46 (m, 3H), 7.29 (dd, J = 7.4, 1.7 Hz, 1H), 7.21–7.11 (m, 3H), 6.92 (dd, J = 8.2, 2.2 Hz, 1H), 6.45 (s, 1H), 4.80 (d, J = 6.0 Hz, 2H). HRMS calcd. for C24H18F2N5 (M + H+) m/z 414.1525, found 414.1516.
N-((6-Bromopyridin-2-yl)methyl)-3-(4-fluorophenyl)-5-phenylpyrazolo[1,5-a]pyrimidin-7-amine (46)
Similar reaction of 10h (0.0392 g, 0.121 mmol) with (6-bromopyridin-2-yl)methanamine (0.0272 g, 0.145 mmol) gave compound 46 (0.047 g, 82%). Purity (HPLC) 94.9%. mp 160–161 °C. 1H NMR (CDCl3), δ 8.34 (s, 1H), 8.21–8.14 (m, 2H), 8.13–8.08 (m, 2H), 7.60–7.54 (m, 1H), 7.54–7.46 (m, 4H), 7.36 (d, J = 7.5 Hz, 1H), 7.20–7.13 (m, 3H), 6.48 (s, 1H), 4.83 (d, J = 6.0 Hz, 2H). HRMS calcd. for C24H17BrFN5: 473.0651, found 473.0679.
3-(4-Fluorophenyl)-N-((6-methylpyridin-2-yl)methyl)-5-phenylpyrazolo[1,5-a]pyrimidin-7-amine (47)
Similar reaction of 10h (0.0592 g, 0.183 mmol) with (6-methylpyridin-2-yl)methanamine (0.0268 g, 0.219 mmol) gave compound 47 (0.048 g, 64%). Purity (HPLC) 99.1%; mp 177–180 °C. 1H NMR (CDCl3), δ 8.35 (s, 1H), 8.20–8.11 (m, 4H), 7.60 (t, J = 7.7 Hz, 1H), 7.53–7.44 (m, 4H), 7.19–7.10 (m, 4H), 6.50 (s, 1H), 4.78 (d, J = 5.4 Hz, 2H). 2.64 (s, 3H). HRMS calcd. for C25H20FN5: 409.1703, found 409.1718.
3-(4-Fluorophenyl)-N-((6-methoxypyridin-2-yl)methyl)-5-phenylpyrazolo[1,5-a]pyrimidin-7-amine (48)
Similar reaction of 10h (0.0440 g, 0.136 mmol) with (6-methoxypyridin-2-yl)methanamine (0.0265 g, 0.163 mmol) gave compound 48 (0.052 g, 90%). Purity (HPLC) 99.6%; mp 163–165 °C. 1H NMR (CDCl3), δ 8.37 (s, 1H), 8.19–8.10 (m, 4H), 7.60–7.56 (m, 1H), 7.53–7.40 (m, 4H), 7.17–7.11 (m, 2H), 6.92 (d, J = 7.2 Hz, 1H), 6.69 (d, J = 8.2 Hz, 1H), 6.51 (s, 1H), 4.71 (d, J = 5.5 Hz, 2H). 4.00 (s, 3H). HRMS calcd. for [M + H]+ = C25H21FN5O: 426.1725, found 426.1711.
N-((6-(Dimethylamino)pyridin-2-yl)methyl)-3-(4-fluorophenyl)-5-phenylpyrazolo[1,5-a]pyrimidin-7-amine (49)
Similar reaction of 10h (0.21 g, 0.64 mmol) with 6-(aminomethyl)-N,N-dimethylpyridin-2-amine dihydrochloride (0.17 g, 0.77 mmol) gave compound 49 (0.21 g, 75%). Purity (HPLC) 98.0%; mp 151–153 °C. 1H NMR (CDCl3), δ 8.41 (dd, J = 4.5, 1.4 Hz, 1H), 8.36 (s, 1H), 8.21–8.16 (m, 4H), 8.08 (br t, J = 4.6 Hz, 1H), 7.56–7.48 (m, 4H), 7.27 (m, 1H), 7.15 (t, J = 8.9 Hz, 2H), 6.58 (s, 1H), 4.79 (d, J = 4.7 Hz, 2H), 2.80 (s, 6H). HRMS calcd. for C26H24FN6 (M + H+) m/z 439.2041, found 439.2045.
3-(4-Fluorophenyl)-5-phenyl-N-((6-(piperidin-1-yl)pyridin-2-yl)methyl)pyrazolo[1,5-a]pyrimidin-7-amine (50)
Similar reaction of 10h (0.20 g, 0.62 mmol) with (6-(piperidin-1-yl)pyridin-2-yl)methanamine dihydrochloride (0.19 g, 0.74 mmol) gave compound 50 (0.25 g, 83%). Purity (HPLC) 98.0%; mp 185–187 °C. 1H NMR (CDCl3) δ 8.39 (dd, J = 4.7, 1.4 Hz, 1H), 8.35 (s, 1H), 8.20–8.15 (m, 4H), 8.05 (br t, J = 4.9 Hz, 1H), 7.56–7.48 (m, 4H), 7.27 (m, 1H), 7.14 (t, J = 8.9 Hz, 2H), 6.56 (s, 1H), 4.80 (d, J = 5.0 Hz, 2H), 2.91 (br t, J = 5.2 Hz, 4H), 1.85 (m, 4H), 1.66 (m, 2H). HRMS calcd. for C29H28FN6 (M + H+) m/z 479.2354, found 479.2361.
3-(4-Fluorophenyl)-N-((6-(4-methylpiperidin-1-yl)pyridin-2-yl)methyl)-5-phenylpyrazolo[1,5-a]pyrimidin-7-amine (51)
Similar reaction of 10h (0.20 g, 0.62 mmol) with (6-(4-methylpiperazin-1-yl)pyridin-2-yl)methanamine dihydrochloride (0.21 g, 0.74 mmol) gave compound 51 (0.14 g, 45%). Purity (HPLC) 98.0%; mp 183–185 °C. 1H NMR (CDCl3) δ 8.43 (dd, J = 4.7, 1.4 Hz, 1H), 8.34 (s, 1H), 8.20–8.15 (m, 4H), 8.04 (br t, J = 4.9 Hz, 1H), 7.59–7.48 (m, 4H), 7.29 (m, 1H), 7.15 (t, J = 8.8 Hz, 2H), 6.55 (s, 1H), 4.80 (d, J = 5.0 Hz, 2H), 3.07 (t, J = 4.9 Hz, 4H), 2.78 (m, 4H), 2.47 (s, 3H). HRMS calcd. for C29H29FN7 (M + H+) m/z 494.2463, found 494.2463.
3-(4-Fluorophenyl)-N-((5-fluoropyridin-2-yl)methyl)-5-phenylpyrazolo[1,5-a]pyrimidin-7-amine (52)
Similar reaction of 10h (0.0475 g, 0.147 mmol) with (5-fluoropyridin-2-yl)methanamine (0.0222 g, 0.176 mmol) gave compound 52 (0.050 g, 82%). Purity (HPLC) 99.5%; mp 118–120 °C. 1H NMR (CDCl3), δ 8.54 (d, J = 2.7 Hz, 1H), 8.34 (s, 1H), 8.20–8.09 (m, 4H), 7.52–7.38 (m, 6H), 7.19–7.11 (m, 2H), 6.48 (s, 1H), 4.82 (d, J = 5.4 Hz, 2H). 13C NMR (CDCl3) δ 162.59, 160.48, 160.17, 157.93, 157.60, 151.17, 151.13, 146.87, 145.47, 141.85, 138.83, 138.17, 137.93, 130.12, 129.26, 129.22, 128.92, 127.64, 127.57, 124.33, 124.14, 122.55, 122.50, 115.81, 115.59, 109.17, 83.27, 16.57, 16.56, 0.21. HRMS calcd. for C24H17F2N5: 413.1452, found 413.1464.
N-((5-Chloropyridin-2-yl)methyl)-3-(4-fluorophenyl)-5-phenylpyrazolo[1,5-a]pyrimidin-7-amine (53)
Similar reaction of 10h (0.0475 g, 0.147 mmol) with (4-chloropyridin-2-yl)methanamine (0.0222 g, 0.176 mmol) gave compound 53 (0.053 g, 86%). Purity (HPLC) 99.5%; mp 139–141 °C. 1H NMR (CDCl3) δ 8.63 (d, J = 2.0 Hz, 1H), 8.37 (s, 1H), 8.20–8.09 (m, 4H), 7.72 (d, J = 8.4, 2.5 Hz, 1H), 7.53–7.47 (m, 3H), 7.41 (t, J = 5.5 Hz, 1H), 7.36 (d, J = 8.3 Hz, 1H), 7.19–7.13 (m, 2H), 6.46 (s, 1H), 4.82 (d, J = 5.5 Hz, 2H). 13C NMR (CDCl3) δ 162.60, 160.17, 157.58, 153.47, 148.73, 146.83, 145.45, 141.86, 138.79, 137.07, 131.61, 130.13, 129.23, 129.20, 128.92, 127.64, 127.57, 122.32, 115.81, 115.59, 109.18, 83.25, 46.60. HRMS calcd. for C24H17ClFN5: 429.1157, found 429.1158.
3-(4-Fluorophenyl)-N-((5-methoxypyridin-2-yl)methyl)-5-phenylpyrazolo[1,5-a]pyrimidin-7-amine (54)
Similar reaction of 10h (0.0625 g, 0.193 mmol) with (4-methoxypyridin-2-yl)methanamine (0.0320 mg, 0.232 mmol) gave compound 54 (0.028 g, 34%). Purity (HPLC) 98.8%; mp 212–214 °C. 1H NMR (CDCl3) δ 8.36 (d, J = 2.8 Hz, 1H), 8.34 (s, 1H), 8.20–8.11 (m, 4H), 7.54–7.48 (m, 3H), 7.40 (t, J = 5.4Hz, 1H), 7.31 (d, J = 8.6 Hz, 1H), 7.24–7.21 (m, 1H), 7.18–7.12 (m, 2H), 6.49 (s, 1H), 4.77 (d, J = 5.4 Hz, 2H). 13C NMR (CDCl3) δ 162.54, 160.11, 157.54, 155.44, 147.10, 146.98, 145.49, 141.75, 138.92, 137.15, 130.03, 129.36, 129.33, 128.88, 127.58, 127.51, 121.99, 121.93, 115.77, 115.56, 108.99, 83.29, 55.93, 46.60. HRMS calcd. for C25H20FN5O: 425.1652, found 425.1657.
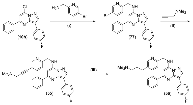
N-((5-(3-(Dimethylamino)prop-1-yn-1-yl)pyridin-2-yl)methyl)-3-(4-fluorophenyl)-5-phenylpyrazolo[1,5-a]pyrimidin-7-amine (55) and N-((5-(3-(dimethylamino)propyl)pyridin-2-yl)methyl)-3-(4-fluorophenyl)-5-phenylpyrazolo[1,5-a]pyrimidin-7-amine (56)

From 10h (0.803 g, 2.48 mmol) and (5-bromopyridin-2-yl)methanamine (0.635 g, 3.40 mmol), 77 (1.165 g, 99%) was synthesised using the general procedure, 19 h reflux. 1H NMR (CDCl3) δ 8.74 (d, J = 1.9 Hz, 1H), 8.35 (s, 1H), 8.17 (ap dd, J = 8.9, 5.4 Hz, 2H), 8.11 (ap dd, J = 5.9, 1.4 Hz, 2H), 7.85 (dd, J = 8.3, 2.4 Hz, 1H), 7.45–7.55 (m, 3H), 7.40 (t, J = 5.4 Hz, 1H), 7.30 (d, J = 8.3 Hz, 1H), 7.15 (ap t, J = 8.8 Hz, 2H), 6.45 (s, 1H), 4.79 (d, J = 5.5 Hz, 2H). LRMS [M + H] = 475.2.
A mixture of 77 (0.200 g, 0.422 mmol), PdCl2(PPh3)2 (0.030 g, 0.043 mmol) and CuI (4 mg, 0.021 mmol) in anhydrous DMF (1 mL) and triethylamine (1 mL) was purged with nitrogen in a sealable tube. N,N-Dimethylprop-2-yn-1-amine (0.23 mL, 2.1 mmol) was added, and the mixture was sealed then heated to 65 °C under nitrogen for 15 h. The mixture was partitioned between EtOAc and water, the organic fractions were dried (MgSO4) and evaporated on to silica gel. Column chromatography using a gradient of EtOAc to 95:5 EtOAc:MeOH with 0.75% aq. ammonia gave 55 (0.192 g, 95%) as yellow microcrystals. Purity (HPLC) 98.3%; mp 182–184 °C. 1H NMR (CDCl3) δ 8.72 (d, J = 1.4 Hz, 1H), 8.35 (s, 1H), 8.17 (ap dd, J = 8.9, 5.4 Hz, 2H), 8.12 (ap dd, J = 0.3, 1.7 Hz, 2H), 7.75 (dd, J = 8.1, 2.1 Hz, 1H), 7.44–7.54 (m, 4H), 7.33 (d, J = 8.1 Hz, 1H), 7.15 (ap t, J = 8.8 Hz, 2H), 6.46 (s, 1H), 4.82 (d, J = 5.4 Hz, 2H), 3.49 (s, 2H), 2.38 (s, 6H). 13C NMR (CDCl3) δ 162.50, 160.07, 157.50, 154.07, 152.26, 146.81, 145.39, 141.77, 139.78, 138.75, 130.12, 129.19, 129.16, 128.83, 127.55, 127.50, 127.48, 120.82, 119.71, 115.71, 115.50, 109.06, 88.75, 83.20, 81.75, 48.66, 46.88, 44.42. HRMS calcd. for C29H26FN6 (M + H+) m/z 477.2197, found 477.2196.
A solution of 55 (0.079 g, 0.166 mmol) in EtOH (20 mL) was purged with nitrogen in a hydrogenation bottle, 5% Pd/C (39 mg) was added, and the mixture was hydrogenated at 60 psi for 18 h. The mixture was filtered through celite and evaporated. Column chromatography using a gradient of EtOAc to 95:5 EtOAc:MeOH with 0.75% aq. ammonia gave 56 (0.020 g, 25%) as pale yellow microcrystals. Purity (HPLC) 96.0%; mp 151–153 °C. 1H NMR (CDCl3) δ 8.52 (d, J = 1.8 Hz, 1H), 8.35 (s, 1H), 8.18 (ap dd, J = 8.9, 5.5 Hz, 2H), 8.13 (ap dd, J = 8.0, 1.3 Hz, 2H), 7.45–7.58 (m, 5H), 7.30 (d, J = 7.8 Hz, 1H), 7.15 (ap t, J = 8.8 Hz, 2H), 6.49 (s, 1H), 4.79 (d, J = 5.3 Hz, 2H), 2.68 (t, J = 7.6 Hz, 2H), 2.30 (t, J = 7.1 Hz, 2H), 2.23 (s, 6H), 1.76–1.84 (m, 2H). HRMS calcd. for C29H30FN6 (M + H+) m/z 481.2516, found 481.2511.
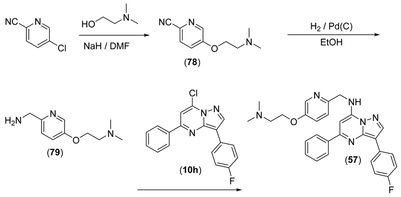
N-((5-(2-(Dimethylamino)ethoxy)pyridin-2-yl)methyl)-3-(4-fluorophenyl)-5-phenylpyrazolo[1,5-a]pyrimidin-7-amine (57)

To a slurry of NaH (60% w/w, 1.04 g, 26.0 mmol) in anhydrous DMF (8 mL), 2-(dimethylamino)ethan-1-ol (2.18 mL, 19.4 mmol) was added, and this mixture was stirred for 15 min and then 5-chloropicolinonitrile (2.00 g, 14.4 mmol) and anhydrous DMF (8 mL) were added. The mixture was stirred for 2 h, then partitioned between EtOAc and water, and the organic fractions were dried and evaporated on to silica gel. Column chromatography using a gradient of 5–7.5% MeOH:EtOAc gave 78 (1.333 g, 48%) as a faint pinkish solid. 1H NMR (CDCl3) δ 8.40 (d, J = 2.7 Hz, 1H), 7.64 (dd, J = 8.6, 0.2 Hz, 1H), 7.27 (dd, J = 8.6, 2.9 Hz, 1H), 4.16 (t, J = 5.6 Hz, 2H), 2.77 (t, J = 5.6 Hz, 2H), 2.34 (s, 6H). LRMS [M + H] = 192.2.
A solution of 78 (0.848 g, 4.43 mmol) in MeOH (20 mL) was purged with nitrogen in a hydrogenation bottle, 5% Pd/C (85 mg) was added, and the mixture was hydrogenated at 50 psi for 16 h. The mixture was filtered through celite and evaporated to give crude 79, which was used without further purification. 1H NMR (CDCl3) δ 8.27 (d, J = 2.6 Hz, 1H), 7.26 (d, J = 8.7 Hz, 1H), 7.18 (dd, J = 8.7, 2.9 Hz, 1H), 4.08–4.11 (m, 2H), 3.88 (s, 2H), 2.72–2.75 (m, 2H), 2.34 (s, 6H), 2H exchanged. LRMS [M + H] = 196.2.
Using the general procedure, 57 (0.107 g, 28%) was synthesised as yellow microcrystals from 10h (0.260 g, 0.803 mmol) and 79 (0.283 g, 1.45 mmol). Purity (HPLC) 99.1%; mp 130–132 °C. 1H NMR (CDCl3) δ 8.38 (d, J = 2.4 Hz, 1H), 8.34 (s, 1H), 8.18 (ap, dd, J = 8.9, 5.4 Hz, 2H), 8.13 (ap dd, J = 7.9, 1.2 Hz, 2H), 7.44–7.55 (m, 3H), 7.40 (t, J = 5.2 Hz, 1H), 7.24–7.32 (m, 2H), 7.13 (ap t, J = 8.8 Hz, 2H), 6.49 (s, 1H), 4.76 (d, J = 5.4 Hz, 2H), 4.12 (t, J = 5.6 Hz, 2H), 2.76 (t, J = 5.6 Hz, 2H), 2.35 (s, 6H). HRMS calcd. for C28H27FN6NaO (M + Na+) m/z 505.2123, found 505.2121.
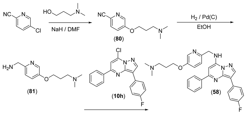
N-((4-(2-(Dimethylamino)ethoxy)pyridin-2-yl)methyl)-3-(4-fluorophenyl)-5-phenylpyrazolo[1,5-a]pyrimidin-7-amine (58)

Reaction of 5-chloropicolinonitrile (2.00 g, 1.44 mmol) and 3-(dimethylamino)propan-1-ol (2.6 mL, 2.2 mmol) gave 80 (2.249 g, 76%) as a pinkish solid. 1H NMR (CDCl3) δ 8.37 (d, J = 2.6 Hz, 1H), 7.63 (dd, J = 8.6, 0.4 Hz, 1H), 7.24 (dd, J = 8.6, 2.9 Hz, 1H), 4.13 (t, J = 6.4 Hz, 2H), 2.45 (t, J = 7.0 Hz, 2H), 2.25 (s, 6H), 1.96–2.03 (m, 2H). LRMS [M + H] = 206.2.
Hydrogenation of 80 (2.028 g, 9.88 mmol) gave 81 (1.94 g, 94%), which was used directly without further purification. 1H NMR (CDCl3) δ 8.24 (d, J = 2.6 Hz, 1H), 7.26 (d, J = 8.5 Hz, 1H), 7.16 (d, J = 8.5, 2.9 Hz, 1H), 4.03–4.13 (m, 2H), 3.88 (s, 2H), 2.45 (t, J = 7.0 Hz, 2H), 2.25 (s, 6H), 1.94–2.00 (m, 2H). LRMS [M + H] = 210.2
Using the general procedure, 58 (0.099 g, 32%) was synthesised as yellow microcrystals from 10h (0.200 g, 0.618 mmol) and 81 (0.259 g, 1.24 mmol). Purity (HPLC) 96.0%; mp 151–153 °C. 1H NMR (CDCl3) δ 8.34 (d, J = 3.2 Hz, 1H), 8.34 (s, 1H), 8.18 (ap dd, J = 8.9, 5.4 Hz, 2H), 8.13 (ap dd, J = 7.9, 2.6 Hz, 2H), 7.45–7.55 (m, 3H), 7.39 (t, J = 5.3 Hz, 1H), 7.29 (d, J = 8.6 Hz, 1H), 7.23 (dd, J = 8.6, 2.8 Hz, 1H), 7.15 (ap t, J = 8.8 Hz, 2H), 6.49 (s, 1H), 4.76 (d, J = 5.4 Hz, 2H), 4.09 (t, J = 6.3 Hz, 2H), 2.52 (t, J = 7.1 Hz, 2H), 2.30 (s, 6H), 1.98–2.05 (m, 2H), 2H exchanged. HRMS calcd. for C29H30FN6O (M + H+) m/z 497.2465, found 497.2470.
3-(4-Fluorophenyl)-5-phenyl-N-((5-(piperidin-1-yl)pyridin-2-yl)methyl)pyrazolo[1,5-a]pyrimidin-7-amine (59)
Similar reaction of 10h (0.0196 g, 0.0605 mmol) with (5-(piperidin-1-yl)pyridin-2-yl)methanamine (0.014 g, 0.073 mmol) gave compound 59 (0.016 g, 55%). HPLC = 98.4%. mp 179–182 °C. 1H NMR (CDCl3, 400 MHz) δ 8.33 (s, 2H), 8.19–8.12 (m, 4H), 7.53–7.47 (m, 3H), 7.37 (t, J = 5.5 Hz, 1H), 7.22–7.20 (m, 2H), 7.18–7.11 (m, 2H), 6.51 (s, 1H), 4.72 (d, J = 5.3 Hz, 2H), 3.21 (t, J = 5.4 Hz, 4H), 1.75–1.69 (m, 4H), 1.63–1.58 (m, 2H). HRMS calcd. for C29H27FN6: 478.2281, found 478.2297.
N-((4-Chloropyridin-2-yl)methyl)-3-(4-fluorophenyl)-5-phenylpyrazolo[1,5-a]pyrimidin-7-amine (60)
Similar reaction of 10h (0.0425 g, 0.131 mmol) with (4-chloropyridin-2-yl)methanamine (0.0282, 0.158 mmol) gave compound 60 (0.045 g, 80%). Purity (HPLC = 99.1%); mp 220–222 °C. 1H NMR (CDCl3, 400 MHz) δ 8.58 (d, J = 5.3 Hz, 1H), 8.36 (s, 1H), 8.20–8.15 (m, 2H), 8.14–8.10 (m, 2H), 7.55–7.44 (m, 4H), 7.41 (d, J = 1.4 Hz, 1H), 7.30 (dd, J = 5.4, 1.9 Hz, 1H), 7.18–7.12 (m, 2H), 6.46 (s, 1H), 4.81 (d, J = 5.5 Hz, 2H). HRMS calcd. for C24H17ClFN5: 429.1157, found 429.1168.
2-(((3-(4-Fluorophenyl)-5-phenylpyrazolo[1,5-a]pyrimidin-7-yl)amino)methyl)isonicotinonitrile (61)
Similar reaction of 10h (0.0663 g, 0.205 mmol) with 2-(aminomethyl)isonicotinonitrile (0.0417 g, 0.246 mmol) gave compound 61 (0.032 g, 38%). Purity (HPLC = 96.0%); mp 233–236 °C. 1H NMR (CDCl3, 400 MHz) δ 8.89 (dd, J = 5.0, 0.8 Hz, 1H), 8.37 (s, 1H), 8.20–8.14 (m, 2H), 8.13–8.09 (m, 2H), 7.62 (s, 1H), 7.53–7.42 (m, 5H), 7.20–7.11 (m, 2H), 6.44 (s, 1H), 4.90 (d, J = 5.5 Hz, 2H). HRMS calcd. for C25H17FN6: 420.1499, found 420.1508.
3-(4-Fluorophenyl)-N-((4-methylpyridin-2-yl)methyl)-5-phenylpyrazolo[1,5-a]pyrimidin-7-amine (62)
Similar reaction of 10h (0.236 g, 0.730 mmol) with (4-methylpyridin-2-yl)methanamine (0.107 g, 0.876 mmol) gave 62 (0.260 g, 87%). Purity (HPLC) 99.1%; mp 157–159 °C. 1H NMR (CDCl3) δ 8.52 (d, J = 5.0 Hz, 1H), 8.35 (s, 1H), 8.20–8.10 (m, 4H), 7.53–7.46 (m, 4H), 7.20–7.11 (m, 3H), 7.09 (d, J = 5.0 Hz, 1H), 6.48 (s, 1H), 4.78 (d, J = 5.3 Hz, 2H), 2.37 (s, 3H). 13C NMR (CDCl3) δ 162.55, 160.12, 157.57, 149.47, 148.60, 146.99, 145.50, 141.80, 138.92, 130.04, 129.36, 129.33, 128.89, 127.59, 127.53, 124.18, 122.36, 115.78, 115.56, 109.01, 83.26, 46.99, 21.32. HRMS calcd. for C23H19FN8: 409.1703, found 409.1723.
3-(4-Fluorophenyl)-N-((4-methoxypyridin-2-yl)methyl)-5-phenylpyrazolo[1,5-a]pyrimidin-7-amine (63)
Similar reaction of 10h (0.144 g, 0.445 mmol) with 4-methoxypyridin-2-yl)methanamine (0.0933 g, 0.534 mmol) gave 63 (0.166 g, 88%). Purity (HPLC) 98.8%; mp 205–208 °C. 1H NMR (CDCl3, 400 MHz) δ 8.50 (d, J = 5.8 Hz, 1H), 8.35 (s, 1H), 8.20–8.10 (m, 4H), 7.52–7.45 (m, 4H), 7.18–7.11 (m, 2H), 6.89 (d, J = 2.4 Hz, 1H), 6.80 (dd, J = 5.8, 2.5 Hz, 1H), 6.48 (s, 1H), 4.78 (d, J = 5.4 Hz, 2H), 3.85 (s, 3H). 13C NMR (CDCl3) δ 166.78, 162.54, 160.12, 157.55, 156.89, 151.03, 146.96, 145.49, 141.80, 138.89, 133.28, 132.36, 132.26, 132.16, 132.13, 130.04, 129.34, 129.31, 129.08, 128.88, 128.77, 128.65, 127.60, 127.58, 127.53, 115.77, 115.56, 109.21, 109.02, 107.67, 83.26, 55.50, 47.12. HRMS calcd. for C25H20FN5O: 425.1652, found 425.1659.
3-(4-Fluorophenyl)-5-phenyl-N-((4-(pyrrolidin-1-yl)pyridin-2-yl)methyl)pyrazolo[1,5-a]pyrimidin-7-amine (64)
Similar reaction of 10h (0.20 g, 0.62 mmol) with (4-(pyrrolidin-1-yl)pyridin-2-yl)methanamine hydrochloride (0.16 g, 0.74 mmol) gave 64 (0.10 g, 35%). Purity (HPLC) 96.5%; mp 221–223 °C. 1H NMR (CDCl3) δ 8.34 (s, 1H), 8.23 (d, J = 6.0 Hz, 1H), 8.21–8.11 (m, 4H), 7.54–7.43 (m, 4H), 7.14 (br t, J = 7.0 Hz, 2H), 6.49 (s, 1H), 6.42 (d, J = 2.5 Hz, 1H), 6.34 (dd, J = 6.0, 2.5 Hz, 1H), 4.68 (d, J = 5.1 Hz, 2H), 3.29 (m, 4H), 2.01 (m, 4H). HRMS calcd. for C28H26FN6 (M + H+) m/z 465.2197, found 465.2206.
3-(4-Fluorophenyl)-N-((4-(4-methylpiperazin-1-yl)pyridin-2-yl)methyl)-5-phenylpyrazolo[1,5-a]pyrimidin-7-amine (65)
Similar reaction of 10h (0.20 g, 0.62 mmol) with (4-(4-methylpiperazin-1-yl)pyridin-2-yl)methanamine (0.21 g, 0.74 mmol) gave 65 (0.18 g, 59%). Purity (HPLC) 100%; mp 203–205 °C. 1H NMR (CDCl3) δ 8.35 (s, 1H), 8.32 (d, J = 6.0 Hz, 1H), 8.20–8.11 (m, 4H), 7.53–7.44 (m, 4H), 7.15 (br t, J = 7.0 Hz, 2H), 6.73 (d, J = 2.5 Hz, 1H), 6.64 (dd, J = 6.0, 2.5 Hz, 1H), 6.49 (s, 1H), 4.70 (d, J = 5.0 Hz, 2H), 3.36 (t, J = 5.1 Hz, 4H), 2.51 (t, J = 5.1 Hz, 4H), 2.33 (s, 3H). HRMS calcd. for C29H29FN7 (M + H+) m/z 494.2463, found 494.2466.
3-(4-Fluorophenyl)-N-((4-morpholinopyridin-2-yl)methyl)-5-phenylpyrazolo[1,5-a]pyrimidin-7-amine (66)
Similar reaction of 10h (0.20 g, 0.62 mmol) with (4-morpholinopyridin-2-yl)methanamine (0.20 g, 0.74 mmol) gave 66 (0.19 g, 64%). Purity (HPLC) 99%; mp 208 °C. 1H NMR (CDCl3) δ 8.35 (s, 1H), 8.35 (d, J = 6.0 Hz, 1H), 8.20–8.11 (m, 4H), 7.53–7.44 (m, 4H), 7.16 (br t, J = 7.0 Hz, 2H), 6.73 (d, J = 2.5 Hz, 1H), 6.64 (dd, J = 6.0, 2.5 Hz, 1H), 6.48 (s, 1H), 4.71 (d, J = 5.0 Hz, 2H), 3.82 (t, J = 4.9 Hz, 4H), 3.28 (t, J = 5.1 Hz, 4H). HRMS calcd. for C28H26FN6O (M + H+) m/z 481.2147, found 481.2153.
N1-(2-(((3-(4-Fluorophenyl)-5-phenylpyrazolo[1,5-a]pyrimidin-7-yl)amino)methyl)pyridin-4-yl)-N1,N2,N2-trimethylethane-1,2-diamine (67)
Similar reaction of 10h (0.20 g, 0.62 mmol) with N1-(2-(aminomethyl)pyridin-4-yl)-N1,N2,N2-trimethylethane-1,2-diamine dihydrochloride (0.21 g, 0.74 mmol) gave 67 (0.21 g, 70%). Purity (HPLC) 96.5%; mp 158–160 °C. 1H NMR (CDCl3) δ 8.34 (s, 1H), 8.26 (d, J = 6.0 Hz, 1H), 8.20–8.11 (m, 4H), 7.53–7.44 (m, 4H), 7.16 (br t, J = 6.9 Hz, 2H), 6.55 (d, J = 2.5 Hz, 1H), 6.49 (s, 1H), 6.47 (dd, J = 6.0, 2.5 Hz, 1H), 4.69 (d, J = 5.3 Hz, 2H), 3.46 (t, J = 7.3 Hz, 2H), 2.99 (s, 3H), 2.40 (t, J = 7.3 Hz, 2H), 2.21 (s, 6H). HRMS calcd. for C29H31FN7 (M + H+) m/z 496.2631, found 496.2628.
3-(4-Fluorophenyl)-5-phenyl-N-((4-(piperidin-1-yl)pyridin-2-yl)methyl)pyrazolo[1,5-a]pyrimidin-7-amine (68)
Similar reaction of 10h (0.0542 mg, 0.167 mmol) with (4-(piperidin-1-yl)pyridin-2-yl)methanamine (0.064 g, 0.34 mmol) gave 68 (0.023 g, 29%). Purity (HPLC) 98.4%; mp 189–191 °C. 1H NMR (CDCl3) δ 8.34 (s, 1H), 8.28 (d, J = 6.1 Hz, 1H), 8.20–8.12 (m, 4H), 7.53–7.44 (m, 4H), 7.18–7.11 (m, 2H), 6.71 (d, J = 2.4 Hz, 1H), 6.62 (dd, J = 6.1, 2.6 Hz, 1H), 6.49 (s, 1H), 4.68 (d, J = 5.2 Hz, 2H), 3.36–3.31 (m, 4H), 1.66–1.60 (m, 6H). 13C NMR (CDCl3) δ 162.51, 160.08, 157.54, 155.88, 155.64, 149.98, 147.10, 145.52, 141.73, 138.97, 129.99, 129.80, 129.42, 129.39, 129.05, 128.86, 127.79, 127.59, 127.56, 127.49, 124.93, 120.64, 120.59, 115.76, 115.54, 108.87, 107.78, 105.43, 83.32, 47.53, 47.46, 25.28, 24.45. HRMS calcd. for C29H27FN6: 478.2281, found 478.2300.
N-((3-(Dimethylamino)pyridin-2-yl)methyl)-3-(4-fluorophenyl)-5-phenylpyrazolo[1,5-a]pyrimidin-7-amine (69)
Similar reaction of 10h (0.0696 g, 0.215 mmol) with 2-(aminomethyl)-N,N-dimethylpyridin-3-amine (0.039 g, 0.258 mmol) gave 69 (0.058 g, 62%). Purity (HPLC) 98.2%; mp 167–170 °C. 1H NMR (CDCl3) δ 8.42 (dd, J = 4.7, 1.4 Hz, 1H), 8.36 (s, 1H), 8.22–8.16 (m, 4H), 8.08 (t, J = 4.6 Hz, 1H), 7.56–7.48 (m, 4H), 7.29–7.27 (m, 1H), 7.16–7.12 (m, 2H), 6.59 (s, 1H), 4.81 (d, J = 4.7 Hz, 2H), 2.81 (s, 6H). HRMS calcd. for C26H23FN6: 438.1968, found 438.1985.
3-(4-Fluorophenyl)-N-((3-fluoropyridin-2-yl)methyl)-5-phenylpyrazolo[1,5-a]pyrimidin-7-amine (70)
Similar reaction of 10h (0.0815 g, 0.252 mmol) with (3-fluoropyridin-2-yl)methanamine (0.0491 g, 0.302 mmol) gave 70 (0.080 g, 77%). Purity (HPLC) 99.0%; mp 165–168 °C. 1H NMR (CDCl3,) δ 8.53–8.50 (m, 1H), 8.38 (s, 1H), 8.21–8.15 (m, 4H), 7.75 (t, J = 4.8 Hz, 1H), 7.57–7.47 (m, 4H), 7.35 (qui, J = 4.4 Hz, 1H), 7.18–7.12 (m, 2H), 6.62 (s, 1H), 4.87 (dd, J = 5.0, 1.5 Hz, 2H). HRMS calcd. for C24H17F2N5: 413.1452, found 413.1452.
N-((3-Bromopyridin-2-yl)methyl)-3-(4-fluorophenyl)-5-phenylpyrazolo[1,5-a]pyrimidin-7-amine (71)
Similar reaction of 10h (0.0652, 0.201 mmol) with (3-bromopyridin-2-yl)methanamine (0.054 g, 0.24 mmol) gave 71 (0.048 g, 50%). Purity (HPLC) 98.9%; mp 189–191 °C. 1H NMR (CDCl3) δ 8.68 (dd, J = 4.7, 1.4 Hz, 1H), 8.38 (s, 1H), 8.23–8.16 (m, 4H), 8.07 (t, J = 4.4 Hz, 1H), 7.96 (dd, J = 8.0, 1.4 Hz, 1H), 7.58–7.47 (m, 3H), 7.25–7.21 (m, 1H), 7.19–7.12 (m, 2H), 6.60 (s, 1H), 4.82 (d, J = 4.6 Hz, 2H). HRMS calcd. for C24H17BrFN5: 473.0651, found 473.0660.
2-(((3-(4-Fluorophenyl)-5-phenylpyrazolo[1,5-a]pyrimidin-7-yl)amino)methyl)nicotinonitrile (72)
In DMF (2 mL), 71 (0.051 g, 0.108 mmol), zinc cyanide (0.038 g, 0.323 mmol) and Pd(PPh3)4 (0.031 g, 0.027 mmol) were purged with N2 for 10 min. The reaction was sealed in a sealed tube and heated at 115 °C for 4 h. The reaction mixture was added to water, extracted with EtOAc and was dried over anhydrous sodium sulfate. The solvent was removed to give the crude product, which was purified by silica column chromatography using hexanes:EA (2:1) as eluent to give 72 (0.09 g, 20%). Purity (HPLC) 98.8%; mp 241–244 °C. 1H NMR (DMSO) δ 8.79 (dd, J = 4.9, 1.6 Hz, 1H), 8.69 (s, 1H), 8.52 (t, J = 6.1 Hz, 1H), 8.38 (dd, J = 7.8, 1.6 Hz, 1H), 8.33–8.28 (m, 2H), 8.24–8.20 (m, 2H), 7.57–7.50 (m, 4H), 7.32–7.25 (m, 2H), 6.94 (s, 1H), 5.18 (d, J = 6.0 Hz, 2H). HRMS calcd. for C25H17FN6: 420.1499, found 420.1528.
4.6. MABA and LORA
Minimum inhibitory concentration assays (MABA and LORA). These assays against M.tb (strain H37Rv) were performed according to the reported procedures [19,20]. The MIC was defined as the lowest compound concentration effecting a growth inhibition of at least 90% relative to the growth of drug-free controls. Results are the mean of two or three independent determinations, unless otherwise noted.
4.7. VERO Assay
In order to assess safety and selectivity in humans, all compounds were also screened for mammalian cell toxicity in VERO (green monkey kidney cell) cultures following the reported procedure [21].
4.8. Microsomal Stability
Assays were performed by WuXi AppTec (Shanghai) Co., Ltd. The test compounds (Table 4) (at 1 μM) were incubated at 37 °C with liver microsomes from human or CD-1 mice in the presence of a NADPH regenerating system and phosphate buffer (100 mM, pH 7.4) at 0.5 mg/mL microsomal protein (the positive controls were testosterone, propafenone, and diclofenac). Samples were removed at time intervals of 0, 5, 10, 20, 30, and 60 min and immediately mixed with cold CH3CN (containing 0.1 μg/mL of tolbutamide as an internal standard) and then centrifuged prior to analysis by LCMS/MS.
4.9. hERG Assay
Selected compounds were evaluated for hERG channel blockade (Table 4) by WuXi AppTec (Shanghai) Co., Ltd. This was carried out using cloned hERG potassium channels according to their standard manual patch clamp method. Two concentrations (0.3 and 1.0 µM) were tested (at room temperature), and at least three replicates were obtained for each. Amitryptyline was used as a standard.
5. Conclusions
We have shown here that the phenylpyrazolo[1,5-a]pyrimidin-7-amines are a readily accessible class of effective inhibitors of M.tb in culture. We have deduced broad structure–activity relationships that can serve as a guide for improvement of this class of compounds. The most effective analogues of pyrazolo[1,5-a]pyrimidin-7-amines were with the 3-(4-fluoro)phenyl group, the unsubstituted 5-phenyl group and a variety of substituted 7-(2-pyridylmethylamine) derivatives were tolerated. The most promising compounds were 52, 53, 54, 55, 62 and 63, with excellent inhibitory data against M.tb and displaying low toxicity towards mammalian cells. These compounds exhibited good microsomal stability and very little inhibition of the hERG potassium ion channel. These findings show the potential of novel pyrazolo[1,5-a]pyrimidin-7-amines for further development into drug candidates for the treatment of tuberculosis.
Supplementary Materials
The following supporting information can be downloaded at: https://www.mdpi.com/article/10.3390/ph15091125/s1. 1H and 13C Spectra for compounds that progressed to advanced testing.
Author Contributions
Conceptualization, H.S.S., C.B.C., B.D.P. and W.A.D.; Data curation, H.S.S., P.J.C., G.-L.L., A.C.G., A.S.T.T., S.G.F. and B.D.P.; Formal analysis, H.S.S., P.J.C., G.-L.L., A.C.G., S.G.F., B.D.P. and W.A.D.; Funding acquisition, C.B.C. and W.A.D.; Resources, C.B.C.; Supervision, C.B.C., B.D.P. and W.A.D.; Writing–original draft, H.S.S., P.J.C. and W.A.D.; Writing–review & editing, G.-L.L., A.C.G., A.S.T.T., C.B.C. and B.D.P. All authors have read and agreed to the published version of the manuscript.
Funding
The authors thank the financial support from the following donors: the Bill & Melinda Gates Foundation (#OPP1017459), the U.S. Agency for International Development (GHS-A-00-08-00012-00), the U.K. Department for International Development (DFID), and Irish Aid, 23e27 H Street, Limerick, Eire.
Institutional Review Board Statement
Not applicable.
Informed Consent Statement
Not applicable.
Data Availability Statement
Samples of compounds in Table 4 are available from the authors.
Conflicts of Interest
The authors declare no conflict of interest.
References
- Daniel, T.M. The History of Tuberculosis. Respir. Med. 2006, 100, 1862–1870. [Google Scholar] [CrossRef]
- Barberis, I.; Bragazzi, N.L.; Galluzzo, L.; Martini, M. The History of Tuberculosis: From the First Historical Records to the Isolation of Koch’s Bacillus. J. Prev. Med. Hyg. 2017, 58, E9–E12. [Google Scholar]
- Paulson, T. Epidemiology: A Mortal Foe. Nature 2013, 502, S2–S3. [Google Scholar] [CrossRef]
- World Health Organization. Global Tuberculosis Report 2021; WHO: Geneva, Switzerland, 2021; pp. 1–27.
- Maitre, T.; Aubry, A.; Jarlier, V.; Robert, J.; Veziris, N.; Bernard, C.; Sougakoff, W.; Brossier, F.; Cambau, E.; Mougari, F.; et al. Multidrug and Extensively Drug-Resistant Tuberculosis. Med. Mal. Infect. 2017, 47, 3–10. [Google Scholar] [CrossRef] [PubMed]
- Lange, C.; Dheda, K.; Chesov, D.; Mandalakas, A.M.; Udwadia, Z.; Horsburgh, C.R., Jr. Management of Drug-Resistant Tuberculosis. Lancet 2019, 394, 953–966. [Google Scholar] [CrossRef]
- World Health Organization. Global Tuberculosis Report 2020; WHO: Geneva, Switzerland, 2020.
- Klopper, M.; Warren, R.M.; Hayes, C.; Gey van Pittius, N.C.; Streicher, E.M.; Muller, B.; Sirgel, F.A.; Chabula-Nxiweni, M.; Hoosain, E.; Coetzee, G.; et al. Emergence and Spread of Extensively and Totally Drug-Resistant Tuberculosis, South Africa. Emerg. Infect. Dis. 2013, 19, 449–455. [Google Scholar] [CrossRef] [PubMed]
- Parida, S.K.; Axelsson-Robertson, R.; Rao, M.V.; Singh, N.; Master, I.; Lutckii, A.; Keshavjee, S.; Andersson, J.; Zumla, A.; Maeurer, M. Totally Drug-Resistant Tuberculosis and Adjunct Therapies. J. Intern. Med. 2015, 277, 388–405. [Google Scholar] [CrossRef] [PubMed]
- Dheda, K.; Gumbo, T.; Maartens, G.; Dooley, K.E.; McNerney, R.; Murray, M.; Furin, J.; Nardell, E.A.; London, L.; Lessem, E.; et al. The Epidemiology, Pathogenesis, Transmission, Diagnosis, and Management of Multidrug-Resistant, Extensively Drug-Resistant, and Incurable Tuberculosis. Lancet Respir. Med. 2017, 5, 291–360. [Google Scholar] [CrossRef]
- Dheda, K.; Limberis, J.D.; Pietersen, E.; Phelan, J.; Esmail, A.; Lesosky, M.; Fennelly, K.P.; Te Riele, J.; Mastrapa, B.; Streicher, E.M.; et al. Outcomes, Infectiousness, and Transmission Dynamics of Patients with Extensively Drug-Resistant Tuberculosis and Home-Discharged Patients with Programmatically Incurable Tuberculosis: A Prospective Cohort Study. Lancet Respir. Med. 2017, 5, 269–281. [Google Scholar] [CrossRef]
- Chen, S.; Qin, C.; Sin, J.E.; Yang, X.; Tao, L.; Zeng, X.; Zhang, P.; Gao, C.M.; Jiang, Y.Y.; Zhang, C.; et al. Discovery of novel dual VEGFR2 and Src inhibitors using a multistep virtual screening approach. Fut. Med. Chem. 2017, 9, 7–24. [Google Scholar] [CrossRef] [PubMed]
- Murphy, F.; James, T.R.; Hayes, I. Pyrazolo[1,5a]pyrimidine Compounds and Pharmaceutical Compositions Containing Them. WO Patent 2007/017678, 15 February 2007. [Google Scholar]
- Wren, S.P.; Wynne, G.M.; Lecci, C.; Wilson, F.X. Pyrazolopyrimidines for the Treatment of Duchenne Muscular Dystrophy. WO Patent 2010/086040, 5 August 2010. [Google Scholar]
- Guzt, T.J.; Paruch, K.; Dwyer, M.P.; Labrolli, M.; Keertikar, K.M. Novel Pyrazolopyrimidines as Cyclin-Dependent Kinase Inhibitors. WO Patent 2008/130569, 5 May 2008. [Google Scholar]
- Tantry, S.J.; Shinde, V.; Balakrishnan, G.; Markad, S.D.; Gupta, A.K.; Bhat, J.; Narayan, A.; Raichurkar, A.; Jena, L.K.; Sharma, S.; et al. Scaffold morphing leads to evolution of 2,4-diaminoquinolines and aminopyrazolopyrimidines as inhibitors of ATP synthesis pathway. Med. Chem. Commun. 2016, 7, 1022–1032. [Google Scholar] [CrossRef]
- Choi, P.J.; Lu, G.-L.; Sutherland, H.S.; Giddens, A.C.; Franzblau, S.G.; Cooper, C.B.; Denny, W.A.; Palmer, B.P. Synthetic studies towards isomeric pyrazolopyrimidines as potential ATP synthesis inhibitors of Mycobacterium tuberculosis. Structural correction of reported N-(6-(2-(dimethylamino)ethoxy)-5-fluoropyridin-3-yl)-2-(4-fluorophenyl)-5-(trifluoromethyl)pyrazolo[1,5-α]pyrimidin-7-amine. Tetrahedron. Lett. 2022, 90, 153611. [Google Scholar] [CrossRef]
- De Melo, S.C.; Feng, T.-Z.; van der Westhuyzen, R.; Gessner, R.K.; Street, L.J.; Morgans, G.L.; Warner, D.F.; Moosa, A.; Naran, K.; Lawrence, N.; et al. Aminopyrazolo[1,5-a]pyrimidines as potential inhibitors of Mycobacterium tuberculosis: Structure activity relationships and ADME characterization. Bioorg. Med. Chem. 2015, 23, 7240–7250. [Google Scholar] [CrossRef]
- Cho, S.; Lee, H.S.; Franzblau, S. Microplate Alamar Blue Assay (MABA) and Low Oxygen Recovery Assay (LORA) for Mycobacterium tuberculosis. Methods Mol. Biol. 2015, 1285, 281–292. [Google Scholar] [CrossRef]
- Cho, S.H.; Warit, S.; Wan, B.; Hwang, C.H.; Pauli, G.F.; Franzblau, S.G. Low-oxygen-recovery assay for high-throughput screening of compounds against nonreplicating Mycobacterium tuberculosis. Antimicrob. Agents Chemother. 2007, 51, 1380–1385. [Google Scholar] [CrossRef] [PubMed]
- Falzari, K.; Zhu, Z.; Pan, D.; Liu, H.; Hongmanee, P.; Franzblau, S.G. In vitro and in vivo activities of macrolide derivatives against Mycobacterium tuberculosis. Antimicrob. Agents Chemother. 2005, 49, 1447–1454. [Google Scholar] [CrossRef]
- Piccaro, G.; Poce, G.; Biava, M.; Giannoni, F.; Fattorini, L. Activity of lipophilic and hydrophilic drugs against dormant and replicating Mycobacterium tuberculosis. J. Antibiot. 2015, 68, 711–714. [Google Scholar] [CrossRef]
- Manjunatha, U.H.; Smith, P.W. Perspective: Challenges and Opportunities in TB Drug Discovery from Phenotypic Screening. Bioorg. Med. Chem. 2015, 23, 5087–5097. [Google Scholar] [CrossRef]
- Shah, P.; Westwell, A.D. The role of fluorine in medicinal chemistry. J. Enz. Inhib. Med. Chem. 2007, 22, 527–540. [Google Scholar] [CrossRef] [PubMed]
- Garrido, A.; Lepailleur, A.; Mignani, S.M.; Dallemagne, P.; Rochais, C. hERG toxicity assessment: Useful guidelines for drug design. Eur. J. Med. Chem. 2020, 195, 112290. [Google Scholar] [CrossRef] [PubMed]
Publisher’s Note: MDPI stays neutral with regard to jurisdictional claims in published maps and institutional affiliations. |
© 2022 by the authors. Licensee MDPI, Basel, Switzerland. This article is an open access article distributed under the terms and conditions of the Creative Commons Attribution (CC BY) license (https://creativecommons.org/licenses/by/4.0/).


