Electrospun (La,Ba)FeO3 Nanofibers as Materials for Highly Sensitive VOC Gas Sensors
Abstract
1. Introduction
2. Materials and Methods
2.1. Materials Synthesis
2.2. Materials Characterization
2.3. Gas Sensor Measurements
3. Results and Discussion
3.1. Morphology, Microstructure, Elemental and Phase Composition
3.2. Surface Properties

- (a)
- Formation of ions, ;
- (b)
- Oxygen nonstoichiometry, ;
- (c)
- Combination of mechanism (a) and (b), .
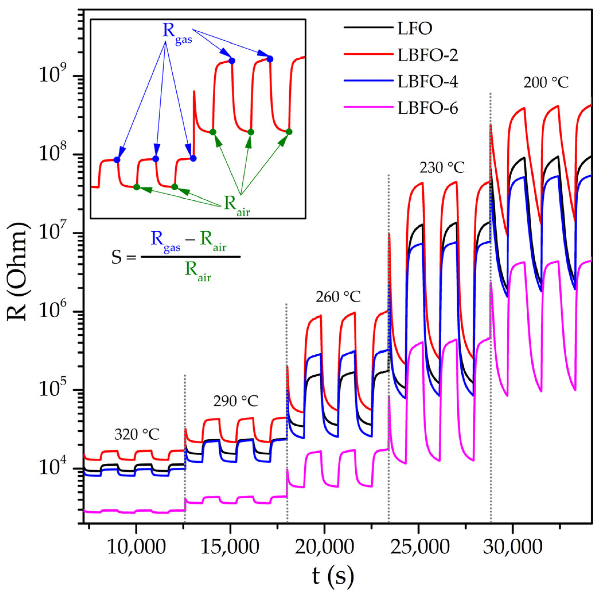
3.3. Electrical and Gas Sensor Properties

| Sample | EaI, eV | EaII, eV | Tk, °C |
|---|---|---|---|
| LFO | 0.91 | 1.48 | 290 |
| LBFO-2 | 0.87 | 1.59 | 290 |
| LBFO-4 | 0.50 | 1.16 | 260 |
| LBFO-6 | 0.46 | 1.02 | 230 |
3.4. Model of Forming La1−xBaxFeO3 Nanofibers’ Sensor Response
4. Conclusions
Author Contributions
Funding
Institutional Review Board Statement
Informed Consent Statement
Data Availability Statement
Acknowledgments
Conflicts of Interest
References
- Galstyan, V.; Moumen, A.; Kumarage, G.W.C.; Comini, E. Progress towards Chemical Gas Sensors: Nanowires and 2D Semiconductors. Sens. Actuators B 2022, 357, 131466. [Google Scholar] [CrossRef]
- Staerz, A.; Weimar, U.; Barsan, N. Current State of Knowledge on the Metal Oxide Based Gas Sensing Mechanism. Sens. Actuators B 2022, 358, 131531. [Google Scholar] [CrossRef]
- Yamazoe, N.; Shimanoe, K. Fundamentals of Semiconductor Gas Sensors. In Semiconductor Gas Sensors, 1st ed.; Jaaniso, R., Tan, O.K., Eds.; Elsevier: Amsterdam, The Netherlands, 2020; pp. 3–38. [Google Scholar] [CrossRef]
- Mirzaei, A.; Leonardi, S.G.; Neri, G. Detection of Hazardous Volatile Organic Compounds (VOCs) by Metal Oxide Nanostructures-Based Gas Sensors: A Review. Ceram. Int. 2016, 42, 15119–15141. [Google Scholar] [CrossRef]
- Korotcenkov, G.; Cho, B.K. Instability of Metal Oxide-Based Conductometric Gas Sensors and Approaches to Stability Improvement (Short Survey). Sens. Actuators B 2011, 156, 527–538. [Google Scholar] [CrossRef]
- Wei, C.; Guo, Z.; Wang, H.; Zhang, S.; Hao, D.; Huang, J. Recent Progress of Gas Sensors Based on Perovskites. Mater. Horiz. 2025, 12, 317–342. [Google Scholar] [CrossRef]
- Souri, M.; Salar Amoli, H. Gas Sensing Mechanisms in ABO3 Perovskite Materials at Room Temperature: A Review. Mater. Sci. Semicond. Process. 2023, 156, 107271. [Google Scholar] [CrossRef]
- Gibin, G.; Ede, S.R.; Luo, Z. Fundamentals of Perovskite Oxides: Synthesis, Structure, Properties and Applications, 1st ed.; CRC Press: Boca Raton, FL, USA, 2021; pp. 1–384. [Google Scholar] [CrossRef]
- Wolfram, T.; Ellialtioglu, S. Electronic and Optical Properties of d-Band Perovskites, 1st ed.; Cambridge University Press: Cambridge, UK, 2006; pp. 1–315. [Google Scholar] [CrossRef]
- Murade, P.A.; Sangawar, V.S.; Chaudhari, G.N.; Kapse, V.D.; Bajpeyee, A.U. Acetone Gas-Sensing Performance of Sr-Doped Nanostructured LaFeO3 Semiconductor Prepared by Citrate Sol–Gel Route. Curr. Appl. Phys. 2011, 11, 451–456. [Google Scholar] [CrossRef]
- Cao, E.; Feng, Y.; Guo, Z.; Wang, H.; Song, G.; Zhang, Y.; Hao, W.; Sun, L.; Nie, Z. Ethanol Sensing Characteristics of (La,Ba)(Fe,Ti)O3 Nanoparticles with Impurity Phases of BaTiO3 and BaCO3. J. Sol-Gel Sci. Technol. 2020, 96, 431–440. [Google Scholar] [CrossRef]
- Fan, K.; Qin, H.; Zhang, Z.; Sun, L.; Sun, L.; Hu, J. Gas Sensing Properties of Nanocrystalline La0.75Ba0.25FeO3 Thick-Film Sensors. Sens. Actuators B 2012, 171–172, 302–308. [Google Scholar] [CrossRef]
- Benali, A.; Azizi, S.; Bejar, M.; Dhahri, E.; Graça, M.F.P. Structural, Electrical and Ethanol Sensing Properties of Double-Doping LaFeO3 Perovskite Oxides. Ceram. Int. 2014, 40, 14367–14373. [Google Scholar] [CrossRef]
- Sun, L.; Qin, H.; Wang, K.; Zhao, M.; Hu, J. Structure and Electrical Properties of Nanocrystalline La1−xBaxFeO3 for Gas Sensing Application. Mater. Chem. Phys. 2011, 125, 305–308. [Google Scholar] [CrossRef]
- Hao, P.; Qu, G.M.; Song, P.; Yang, Z.X.; Wang, Q. Synthesis of Ba-Doped Porous LaFeO3 Microspheres with Perovskite Structure for Rapid Detection of Ethanol Gas. Rare Met. 2021, 40, 1651–1661. [Google Scholar] [CrossRef]
- Cyza, A.; Cieniek, L.; Moskalewicz, T.; Maziarz, W.; Kusinski, J.; Kowalski, K.; Kopia, A. The Effect of Strontium Doping on LaFeO3 Thin Films Deposited by the PLD Method. Catalysts 2020, 10, 954. [Google Scholar] [CrossRef]
- Qin, J.; Cui, Z.; Yang, X.; Zhu, S.; Li, Z.; Liang, Y. Three-Dimensionally Ordered Macroporous La1−xMgxFeO3 as High Performance Gas Sensor to Methanol. J. Alloys Compd. 2015, 635, 194–202. [Google Scholar] [CrossRef]
- Shi, C.; Qin, H.; Zhao, M.; Wang, X.; Li, L.; Hu, J. Investigation on Electrical Transport, CO Sensing Characteristics and Mechanism for Nanocrystalline La1−xCaxFeO3 Sensors. Sens. Actuators B 2014, 190, 25–31. [Google Scholar] [CrossRef]
- Aranthady, C.; Jangid, T.; Gupta, K.; Mishra, A.K.; Kaushik, S.D.; Siruguri, V.; Rao, G.M.; Shanbhag, G.V.; Sundaram, N.G. Selective SO2 Detection at Low Concentration by Ca Substituted LaFeO3 Chemiresistive Gas Sensor: A Comparative Study of LaFeO3 Pellet vs Thin Film. Sens. Actuators B 2021, 329, 129211. [Google Scholar] [CrossRef]
- Wang, X.; Chen, Y.; Qin, H.; Li, L.; Shi, C.; Liu, L.; Hu, J. CO2 Sensing of La0.875Ca0.125FeO3 in Wet Vapor: A Comparison of Experimental Results and First-Principles Calculations. Phys. Chem. Chem. Phys. 2015, 17, 13733–13742. [Google Scholar] [CrossRef]
- Li, L.; Qin, H.; Shi, C.; Zhang, L.; Chen, Y.; Hu, J. CO2 Sensing Properties of La1−xBaxFeO3 Thick Film and Packed Powder Sensors. RSC Adv. 2015, 5, 103073–103081. [Google Scholar] [CrossRef]
- Fan, K.; Qin, H.; Wang, L.; Ju, L.; Hu, J. CO2 Gas Sensors Based on La1−xSrxFeO3 Nanocrystalline Powders. Sens. Actuators B 2013, 177, 265–269. [Google Scholar] [CrossRef]
- Duan, X.; Jiang, Y.; Liu, B.; Duan, Z.; Zhang, Y.; Yuan, Z.; Tai, H. Enhancing the Carbon Dioxide Sensing Performance of LaFeO3 by Co Doping. Sens. Actuators B 2024, 402, 135136. [Google Scholar] [CrossRef]
- Thirumalairajan, S.; Girija, K.; Mastelaro, V.R.; Ponpandian, N. Surface Morphology-Dependent Room-Temperature LaFeO3 Nanostructure Thin Films as Selective NO2 Gas Sensor Prepared by Radio Frequency Magnetron Sputtering. ACS Appl. Mater. Interfaces 2014, 6, 13917–13927. [Google Scholar] [CrossRef] [PubMed]
- Singh, P.; Bansal, N.K.; Dey, S.; Singh, R.; Singh, T. Recent Progress on Perovskite Materials for VOC Gas Sensing. Langmuir 2024, 40, 21931–21956. [Google Scholar] [CrossRef] [PubMed]
- Doshi, J.; Reneker, D.H. Electrospinning Process and Applications of Electrospun Fibers. J. Electrost. 1995, 3, 151–160. [Google Scholar] [CrossRef]
- Bohr, C.; Pfeiffer, M.; Öz, S.; von Toperczer, F.; Lepcha, A.; Fischer, T.; Schütz, M.; Lindfors, K.; Mathur, S. Electrospun Hybrid Perovskite Fibers—Flexible Networks of One-Dimensional Semiconductors for Light-Harvesting Applications. ACS Appl. Mater. Interfaces 2019, 11, 25163–25169. [Google Scholar] [CrossRef]
- Huang, B.; Zhang, Z.; Zhao, C.; Cairang, L.; Bai, J.; Zhang, Y.; Mu, X.; Du, J.; Wang, H.; Pan, X.; et al. Enhanced Gas-Sensing Performance of ZnO@In2O3 Core@shell Nanofibers Prepared by Coaxial Electrospinning. Sens. Actuators B 2018, 255, 2248–2257. [Google Scholar] [CrossRef]
- Rumyantseva, M.N.; Vladimirova, S.A.; Platonov, V.B.; Chizhov, A.S.; Batuk, M.; Hadermann, J.; Khmelevsky, N.O.; Gaskov, A.M. Sub-Ppm H2S Sensing by Tubular ZnO-Co3O4 Nanofibers. Sens. Actuators B 2020, 307, 127624. [Google Scholar] [CrossRef]
- Ichangi, A.; Shvartsman, V.V.; Lupascu, D.C.; Lê, K.; Grosch, M.; Kathrin Schmidt-Verma, A.; Bohr, C.; Verma, A.; Fischer, T.; Mathur, S. Li and Ta-Modified KNN Piezoceramic Fibers for Vibrational Energy Harvesters. J. Eur. Ceram. Soc. 2021, 41, 7662–7669. [Google Scholar] [CrossRef]
- Lê, K.; von Toperczer, F.; Ünlü, F.; Paramasivam, G.; Mathies, F.; Nandayapa, E.; List-Kratochvil, E.J.W.; Fischer, T.; Lindfors, K.; Mathur, S. Electrospun Electroluminescent CsPbBr3 Fibers as Flexible Perovskite Networks for Light-Emitting Application. Adv. Eng. Mater. 2023, 25, 2201651. [Google Scholar] [CrossRef]
- Li, H.; Chu, S.; Ma, Q.; Li, H.; Che, Q.; Wang, J.; Wang, G.; Yang, P. Multilevel Effective Heterojunctions Based on SnO2/ZnO 1D Fibrous Hierarchical Structure with Unique Interface Electronic Effects. ACS Appl. Mater. Interfaces 2019, 11, 31551–31561. [Google Scholar] [CrossRef]
- Platonov, V.B.; Rumyantseva, M.N.; Frolov, A.S.; Yapryntsev, A.D.; Gaskov, A.M. High-Temperature Resistive Gas Sensors Based on ZnO/SiC Nanocomposites. Beilstein J. Nanotechnol. 2019, 10, 1537–1547. [Google Scholar] [CrossRef]
- Platonov, V.; Nasriddinov, A.; Rumyantseva, M. Electrospun ZnO/Pd Nanofibers as Extremely Sensitive Material for Hydrogen Detection in Oxygen Free Gas Phase. Polymers 2022, 14, 3481. [Google Scholar] [CrossRef] [PubMed]
- Platonov, V.; Rumyantseva, M. Electrospun ZnO/MOx Nanocomposites as Sensitive Materials for Biomarker Gas Sensors: Role of MOx in C1–C4 Short-Chain Fatty Acids Detection. Sens. Actuators B 2025, 433, 137535. [Google Scholar] [CrossRef]
- Platonov, V.; Rumyantseva, M.; Khmelevsky, N.; Gaskov, A. Electrospun ZnO/Pd Nanofibers: CO Sensing and Humidity Effect. Sensors 2020, 20, 7333. [Google Scholar] [CrossRef] [PubMed]
- Platonov, V.; Sinyashin, O.; Rumyantseva, M. ZnO/MOx Nanofiber Heterostructures: MOx Receptor’s Role in Gas Detection. Sensors 2025, 25, 376. [Google Scholar] [CrossRef]
- Fan, H.; Zhang, T.; Xu, X.; Lv, N. Fabrication of N-Type Fe2O3 and P-Type LaFeO3 Nanobelts by Electrospinning and Determination of Gas-Sensing Properties. Sens. Actuators B 2011, 153, 83–88. [Google Scholar] [CrossRef]
- Fang, F.; Feng, N.; Wang, L.; Meng, J.; Liu, G.; Zhao, P.; Gao, P.; Ding, J.; Wan, H.; Guan, G. Fabrication of Perovskite-Type Macro/Mesoporous La1−xKxFeO3-δ Nanotubes as an Efficient Catalyst for Soot Combustion. Appl. Catal. B 2018, 236, 184–194. [Google Scholar] [CrossRef]
- Lee, W.Y.; Yun, H.J.; Yoon, J.W. Characterization and Magnetic Properties of LaFeO3 Nanofibers Synthesized by Electrospinning. J. Alloys Compd. 2014, 583, 320–324. [Google Scholar] [CrossRef]
- Alharbi, A.A.; Sackmann, A.; Weimar, U.; Bârsan, N. A Highly Selective Sensor to Acetylene and Ethylene Based on LaFeO3. Sens. Actuators B 2020, 303, 127204. [Google Scholar] [CrossRef]
- Hu, J.; Chen, X.; Zhang, Y. Batch Fabrication of Formaldehyde Sensors Based on LaFeO3 Thin Film with Ppb-Level Detection Limit. Sens. Actuators B 2021, 349, 130738. [Google Scholar] [CrossRef]
- Platonov, V.; Malinin, N.; Sapkov, I.; Rumyantseva, M. LaFeO3 Nanofibers as Materials for Gas Sensors. Russ. J. Gen. Chem. 2025, 94, 1121–1132. [Google Scholar] [CrossRef]
- Mitchell, R.H. Perovskites: Modern and Ancient, 1st ed.; Almaz Press: Thunder Bay, ON, Canada, 2002; pp. 1–318. [Google Scholar]
- Alonso, J.A.; Martinez-Lope, M.J.; Casais, M.T.; Fernandez-Diaz, M.T. Evolution of the Jahn−Teller Distortion of MnO6 Octahedra in RMnO3 Perovskites (R = Pr, Nd, Dy, Tb, Ho, Er, Y): A Neutron Diffraction Study. Inorg. Chem. 2000, 39, 917–923. [Google Scholar] [CrossRef] [PubMed]
- Glazer, A.M. The Classification of Tilted Octahedra in Perovskites. Acta Crystallogr. B 1972, 28, 3384–3392. [Google Scholar] [CrossRef]
- Howard, C.J.; Stokes, H.T. Structures and Phase Transitions in Perovskites—A Group-Theoretical Approach. Acta Crystallogr. A 2005, 61, 93–111. [Google Scholar] [CrossRef]
- Mocwana, M.L.; Mokoena, P.P.; Mbule, P.S.; Beas, I.N.; Kabongo, G.L.; Ogugua, S.N.; Tshabalala, T.E. Photocatalytic Degradation of Methylene Blue and Ortho-Toluidine Blue: Activity of Lanthanum Composites LaxMOy (M: Fe, Co, Ni). Catalysts 2022, 12, 1313. [Google Scholar] [CrossRef]
- Lavat, A.E.; Baran, E.J. IR-Spectroscopic Characterization of A2BB′O6 Perovskites. Vib. Spectrosc. 2003, 32, 167–174. [Google Scholar] [CrossRef]
- Baran, E.J. Structural Chemistry and Physicochemical Properties of Perovskite-like Materials. Catal. Today 1990, 8, 133–151. [Google Scholar] [CrossRef]
- Barbero, B.P.; Gamboa, J.A.; Cadús, L.E. Synthesis and Characterisation of La1−xCaxFeO3 Perovskite-Type Oxide Catalysts for Total Oxidation of Volatile Organic Compounds. Appl. Catal. B 2006, 65, 21–30. [Google Scholar] [CrossRef]
- Mars, P.; van Krevelen, D.W. Oxidations Carried out by Means of Vanadium Oxide Catalysts. Chem. Eng. Sci. 1954, 3, 41–59. [Google Scholar] [CrossRef]
- Laidler, K.J.; Meiser, J.H. Physical Chemistry, 1st ed.; Benjamin/Cummings Publishing Company: San Francisco, CA, USA, 1982; pp. 1–919. [Google Scholar]
- Rideal, E.K. A Note on a Simple Molecular Mechanism for Heterogeneous Catalytic Reactions. Math. Proc. Camb. Philos. Soc. 1939, 35, 130–132. [Google Scholar] [CrossRef]
- Sogaard, M.; Vang Hendriksen, P.; Mogensen, M. Oxygen Nonstoichiometry and Transport Properties of Strontium Substituted Lanthanum Ferrite. J. Solid State Chem. 2007, 180, 1489–1503. [Google Scholar] [CrossRef]
- Ren, Y.; Küngas, R.; Gorte, R.J.; Deng, C. The Effect of A-Site Cation (Ln=La, Pr, Sm) on the Crystal Structure, Conductivity and Oxygen Reduction Properties of Sr-Doped Ferrite Perovskites. Solid State Ion. 2012, 212, 47–54. [Google Scholar] [CrossRef]
- Patrakeev, M.V.; Leonidov, I.A.; Kozhevnikov, V.L.; Poeppelmeier, K.R. P-Type Electron Transport in La1−xSrxFeO3−δ at High Temperatures. J. Solid State Chem. 2005, 178, 921–927. [Google Scholar] [CrossRef]
- Nunes, P.; Strapasson, G.; Bafero, G.; Zanchet, D. Exploring Iron Oxide Catalysts for Acetone Hydrodeoxygenation: Making Use of Earth-Abundant Resources. J. Braz. Chem. Soc. 2024, 35, e20240126. [Google Scholar] [CrossRef]
- Hellier, P.; Wells, P.P.; Bowker, M. Methanol Oxidation over Shell-Core MO/Fe2O3 (M = Mo, V, Nb) Catalysts. Chin. J. Catal. 2019, 40, 1686–1692. [Google Scholar] [CrossRef]
- Malińnski, R.; Gallus-Olender, J.; Kubicka, T. Phase Composition of a Selective V2O5−Fe2O3 Catalyst of Methanol Oxidation to Formaldehyde. React. Kinet. Catal. Lett. 1979, 10, 219–223. [Google Scholar] [CrossRef]
- Bowker, M.; Gibson, E.K.; Silverwood, I.P.; Brookes, C. Methanol Oxidation on Fe2O3 Catalysts and the Effects of Surface Mo. Faraday Discuss. 2016, 188, 387–398. [Google Scholar] [CrossRef]
- Dean, J.A.; Lange, N.A. Lange’s Handbook of Chemistry, 15th ed.; McGraw-Hill: New York, NY, USA, 1998; pp. 1–1424. [Google Scholar]
- Zhu, L.; Wang, J.; Liu, J.; Chen, X.; Xu, Z.; Ma, Q.; Wang, Z.; Liang, J.; Li, S.; Yan, W. Designing Highly Sensitive Formaldehyde Sensors via A-Site Cation Deficiency in LaFeO3 Hollow Nanofibers. Appl. Surf. Sci. 2022, 590, 153085. [Google Scholar] [CrossRef]
- Würger, T.; Heckel, W.; Sellschopp, K.; Müller, S.; Stierle, A.; Wang, Y.; Noei, H.; Feldbauer, G. Adsorption of Acetone on Rutile TiO2: A DFT and FTIRS Study. J. Phys. Chem. C 2018, 122, 19481–19490. [Google Scholar] [CrossRef]
- Marins, A.A.L.; Banhos, S.G.; Cruz, P.C.M.; Rodrigues, R.V.; Marciniak, L.; Muri, E.J.B.; Strek, W.; de Freitas, M.B.J.G. Synthesis of Ni and Rare Earth Metal (La, Pr, and Nd) Oxides from Spent Ni–MH Batteries by Selective Precipitation with Formic Acid an Investigation of Photoluminescence Properties. Ionics 2020, 26, 311–321. [Google Scholar] [CrossRef]
- Alminshid, A.H.; Abbas, M.N.; Alalwan, H.A.; Sultan, A.J.; Kadhom, M.A. Aldol Condensation Reaction of Acetone on MgO Nanoparticles Surface: An in-Situ Drift Investigation. Mol. Catal. 2021, 501, 111333. [Google Scholar] [CrossRef]
- Wang, X.; Barakat, C.; Jia, Z.; Romanias, M.N.; Thévenet, F.; Rousseau, A. Adsorption of VOCs Is a Key Step in Plasma-Catalyst Coupling: The Case of Acetone onto TiO2 vs. CeO2. Catalysts 2021, 11, 350. [Google Scholar] [CrossRef]
- Lucks, C.; Rossberg, A.; Tsushima, S.; Foerstendorf, H.; Fahmy, K.; Bernhard, G. Formic Acid Interaction with the Uranyl(vi) Ion: Structural and Photochemical Characterization. Dalt. Trans. 2013, 42, 13584. [Google Scholar] [CrossRef] [PubMed]
- Calatayud, M.; Collins, S.E.; Baltanas, M.A.; Bonivardi, A.L. Stability of Formate Species on β-Ga2O3. Phys. Chem. Chem. Phys. 2009, 11, 1397. [Google Scholar] [CrossRef] [PubMed]
- Alalwan, H.; Alminshid, A. An In-Situ DRIFTS Study of Acetone Adsorption Mechanism on TiO2 Nanoparticles. Spectrochim. Acta Part A Mol. Biomol. Spectrosc. 2020, 229, 117990. [Google Scholar] [CrossRef]
- Nasriddinov, A.; Platonov, V.; Garshev, A.; Rumyantseva, M. Low Temperature HCHO Detection by SnO2/TiO2@Au and SnO2/TiO2@Pt: Understanding by In-Situ DRIFT Spectroscopy. Nanomaterials 2021, 11, 2049. [Google Scholar] [CrossRef]










| Sample | Material | [Ba]/([La]+[Ba]) at.%, RSD 1 = 4% (XRF) | Phase Composition | dXRD, nm |
|---|---|---|---|---|
| LFO | LaFeO3 | - | lanthanum ferrite LaFeO3 ICDD [37-1493] | 17 ± 2 |
| LBFO-2 | La0.98Ba0.02FeO3 | 2 | 14 ± 1 | |
| LBFO-4 | La0.96Ba0.04FeO3 | 4 | 14 ± 1 | |
| LBFO-6 | La0.94Ba0.06FeO3 | 6 | 14 ± 1 |
| Molecule | Bond | ΔHdis, kJ/mol |
|---|---|---|
| CO | C≡O | 1075 |
| CH4 | H–CH3 | 431 |
| Acetone | C=O | 745 |
| C–H | 414 | |
| C–C | 347 | |
| Methanol | C–O | 384 |
| C–H | 337 | |
| O–H | 428 |
| Material | Synthesis Method | Working Temperature (°C) | Acetone Concentration, ppm | Sensor Response | Ref. |
|---|---|---|---|---|---|
| La0.7Sr0.3FeO3 | Sol-Gel | 275 | 500 | 0.7 | [10] |
| (La,Ba)(Fe,Ti)O3 | Sol-Gel | 132 | 100 | 19 | [11] |
| La0.75Ba0.25FeO3 | Sol-Gel | 275 | 20 | 2.1 | [12] |
| La0.75Ba0.25FeO3 | Sol-Gel | 240 | 500 | 172 | [14] |
| La0.98Ba0.02FeO3 | hydrothermal | 200 | 100 | 8 | [15] |
| La0.9Sr0.1FeO3 | PLD | 303 | 4 | 0.77 | [16] |
| La0.98Mg0.02FeO3 | PMMA template method | 190 | 100 | 50 | [17] |
| La0.8FeO3 | electrospinning | 180 | 100 | 6 | [63] |
| La0.98Ba0.02FeO3 | electrospinning | 230 | 20 | 194 | This work |
Disclaimer/Publisher’s Note: The statements, opinions and data contained in all publications are solely those of the individual author(s) and contributor(s) and not of MDPI and/or the editor(s). MDPI and/or the editor(s) disclaim responsibility for any injury to people or property resulting from any ideas, methods, instructions or products referred to in the content. |
© 2025 by the authors. Licensee MDPI, Basel, Switzerland. This article is an open access article distributed under the terms and conditions of the Creative Commons Attribution (CC BY) license (https://creativecommons.org/licenses/by/4.0/).
Share and Cite
Platonov, V.; Malinin, N.; Filatova, D.; Sapkov, I.; Rumyantseva, M. Electrospun (La,Ba)FeO3 Nanofibers as Materials for Highly Sensitive VOC Gas Sensors. Sensors 2025, 25, 2790. https://doi.org/10.3390/s25092790
Platonov V, Malinin N, Filatova D, Sapkov I, Rumyantseva M. Electrospun (La,Ba)FeO3 Nanofibers as Materials for Highly Sensitive VOC Gas Sensors. Sensors. 2025; 25(9):2790. https://doi.org/10.3390/s25092790
Chicago/Turabian StylePlatonov, Vadim, Nikolai Malinin, Darya Filatova, Ivan Sapkov, and Marina Rumyantseva. 2025. "Electrospun (La,Ba)FeO3 Nanofibers as Materials for Highly Sensitive VOC Gas Sensors" Sensors 25, no. 9: 2790. https://doi.org/10.3390/s25092790
APA StylePlatonov, V., Malinin, N., Filatova, D., Sapkov, I., & Rumyantseva, M. (2025). Electrospun (La,Ba)FeO3 Nanofibers as Materials for Highly Sensitive VOC Gas Sensors. Sensors, 25(9), 2790. https://doi.org/10.3390/s25092790

