Distortion-Free Magnetic Tracking of Metal Instruments in Image-Guided Interventions
Abstract
1. Introduction
2. Mathematical Formalism
2.1. Conductive Rod in a Transverse Magnetic Field
2.2. Conductive Rod in a Longitudinal Magnetic Field
2.3. Magnetic Field Solutions in the Innermost Region
3. Methods
3.1. Helmholtz Coil Driver Design
3.2. Influence of Transmitter Frequency
3.3. Impact on Electromagnetic Tracking
4. Results and Discussion
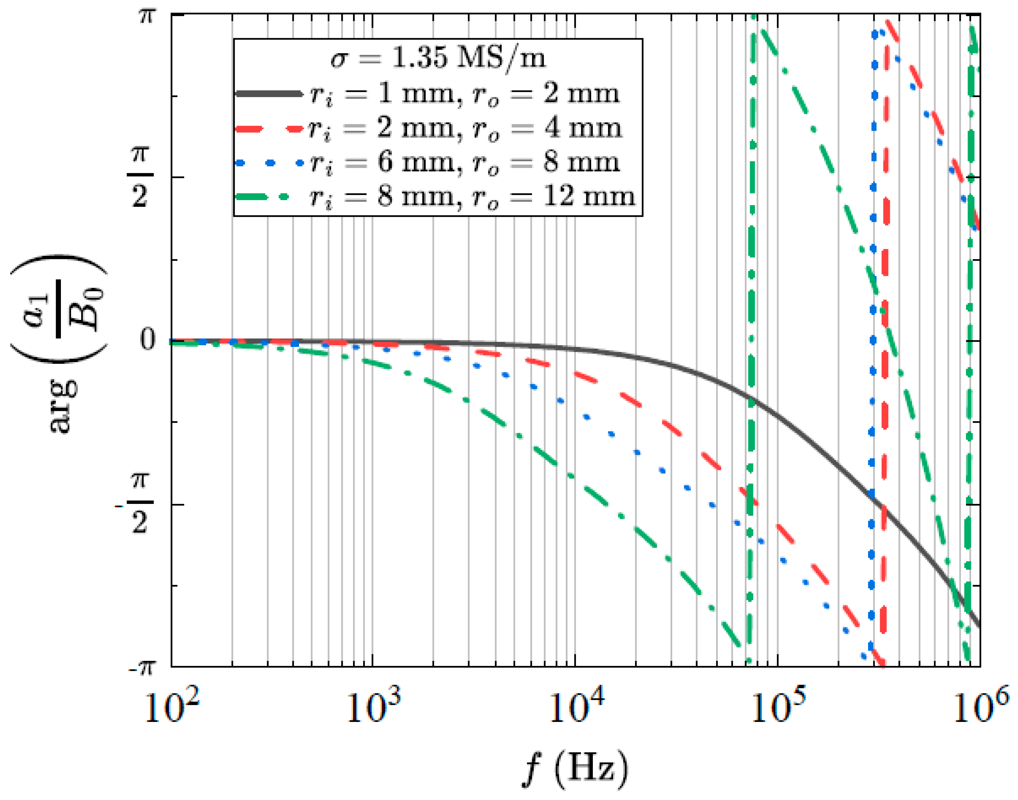
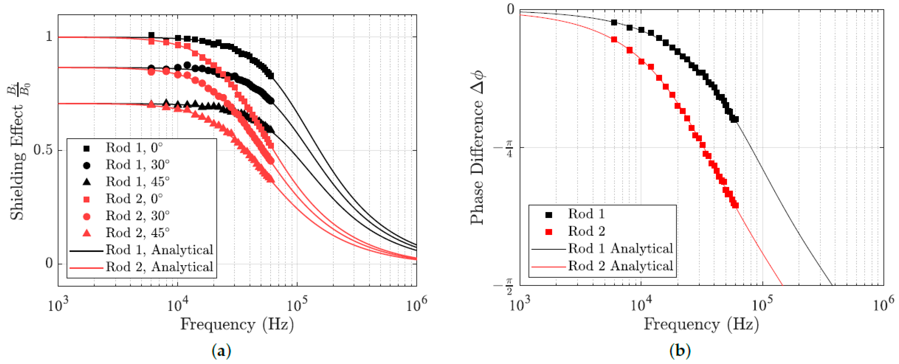
4.1. The Influence of Transmitter Frequency
4.2. Impact on Electromagnetic Tracking
5. Conclusions
Author Contributions
Funding
Institutional Review Board Statement
Informed Consent Statement
Data Availability Statement
Conflicts of Interest
Abbreviations
| EMT | Electromagnetic tracking |
| DAC | Digital-to-analog converter |
| ADC | Analog-to-digital converter |
| IA | Instrumentation amplifier |
| FFT | Fast Fourier transform |
| IR | Infrared |
| RMSE | Root-mean-square error |
| ME | Mean error |
| STD | Standard deviation |
References
- Schwarz, Y.; Greif, J.; Becker, H.D.; Ernst, A.; Mehta, A. Real-time electromagnetic navigation bronchoscopy to peripheral lung lesions using overlaid CT images: The first human study. Chest 2006, 129, 988–994. [Google Scholar] [CrossRef] [PubMed]
- Khan, K.A.; Nardelli, P.; Jaeger, A.; O’Shea, C.; Cantillon-Murphy, P.; Kennedy, M.P. Navigational bronchoscopy for early lung cancer: A road to therapy. Adv. Ther. 2016, 33, 580–596. [Google Scholar] [CrossRef] [PubMed]
- Jaeger, H.A.; Trauzettel, F.; Nardelli, P.; Daverieux, F.; Hofstad, E.F.; Leira, H.O.; Kennedy, M.P.; Langø, T.; Cantillon-Murphy, P. Peripheral tumour targeting using open-source virtual bronchoscopy with electromagnetic tracking: A multi-user pre-clinical study. Minim. Invasive Ther. Allied Technol. 2019, 28, 363–372. [Google Scholar] [CrossRef] [PubMed]
- Geisbüsch, A.; Auer, C.; Dickhaus, H.; Putz, C.; Dreher, T. Electromagnetic tracking for femoral derotation osteotomy—An in vivo study. J. Orthop. Res. 2017, 35, 2652–2657. [Google Scholar] [CrossRef] [PubMed]
- Gaita, F.; Guerra, P.G.; Battaglia, A.; Anselmino, M. The dream of near-zero X-rays ablation comes true. Eur. Heart J. 2016, 37, 2749–2755. [Google Scholar] [CrossRef] [PubMed]
- Duan, X. Chapter 10—Magnetic tracking and positioning in endoscopy. In Magnetic Materials and Technologies for Medical Applications; Tishin, A.M., Ed.; Woodhead Publishing Series in Electronic and Optical Materials; Woodhead Publishing: Sawston, UK, 2022; pp. 287–338. [Google Scholar]
- Yaniv, Z.; Wilson, E.; Lindisch, D.; Cleary, K. Electromagnetic tracking in the clinical environment. Med Phys. 2009, 36, 876–892. [Google Scholar] [CrossRef] [PubMed]
- Franz, A.M.; Haidegger, T.; Birkfellner, W.; Cleary, K.; Peters, T.M.; Maier-Hein, L. Electromagnetic tracking in medicine—A review of technology, validation, and applications. IEEE Trans. Med. Imaging 2014, 33, 1702–1725. [Google Scholar] [CrossRef] [PubMed]
- Nagel, M.; Hoheisel, M.; Petzold, R.; Kalender, W.A.; Krause, U.H. Needle and catheter navigation using electromagnetic tracking for computer-assisted C-arm CT interventions. In Medical Imaging 2007: Visualization and Image-Guided Procedures; SPIE: Bellingham, WA, USA, 2007; Volume 6509, pp. 184–192. [Google Scholar]
- Liu, X.; Kang, S.; Plishker, W.; Zaki, G.; Kane, T.D.; Shekhar, R. Laparoscopic stereoscopic augmented reality: Toward a clinically viable electromagnetic tracking solution. J. Med. Imaging 2016, 3, 045001. [Google Scholar] [CrossRef] [PubMed]
- Gomes-Fonseca, J.; Veloso, F.; Queirós, S.; Morais, P.; Pinho, A.C.; Fonseca, J.C.; Correia-Pinto, J.; Lima, E.; Vilaça, J.L. Assessment of electromagnetic tracking systems in a surgical environment using ultrasonography and ureteroscopy instruments for percutaneous renal access. Med. Phys. 2020, 47, 19–26. [Google Scholar] [CrossRef] [PubMed]
- Chen, C.C.; Yeh, P.C.; Cheng, C.C.; Lin, C.K.; Wong, T.H.; Cheng, Y.C.; Hsu, W.; Chung, T.K. Magnetic Targeting Systems for Endo-Bronchoscope Diagnosis and Intramedullary-Nail Surgery: A Review. IEEE Sensors J. 2021, 21, 12545–12562. [Google Scholar] [CrossRef]
- Zhu, Y.; Chang, H.; Yu, Y.; Chen, W.; Liu, S.; Zhang, Y. Meta-analysis suggests that the electromagnetic technique is better than the free-hand method for the distal locking during intramedullary nailing procedures. Int. Orthop. 2017, 41, 1041–1048. [Google Scholar] [CrossRef] [PubMed]
- Liu, X.; Rice, C.E.; Shekhar, R. Fast calibration of electromagnetically tracked oblique-viewing rigid endoscopes. Int. J. Comput. Assist. Radiol. Surg. 2017, 12, 1685–1695. [Google Scholar] [CrossRef] [PubMed]
- Xiao, G.; Bonmati, E.; Thompson, S.; Evans, J.; Hipwell, J.; Nikitichev, D.; Gurusamy, K.; Ourselin, S.; Hawkes, D.J.; Davidson, B.; et al. Electromagnetic tracking in image-guided laparoscopic surgery: Comparison with optical tracking and feasibility study of a combined laparoscope and laparoscopic ultrasound system. Med. Phys. 2018, 45, 5094–5104. [Google Scholar] [CrossRef] [PubMed]
- Ma, L.; Zhao, Z.; Zhang, B.; Jiang, W.; Fu, L.; Zhang, X.; Liao, H. Three-dimensional augmented reality surgical navigation with hybrid optical and electromagnetic tracking for distal intramedullary nail interlocking. Int. J. Med Robot. Comput. Assist. Surg. 2018, 14, e1909. [Google Scholar] [CrossRef] [PubMed]
- Haus, H.; Melcher, J. Electromagnetic Fields and Energy; Prentice Hall: Englewood Cliffs, NJ, USA, 1989. [Google Scholar]
- Zahn, M. Electromagnetic Field Theory: A Problem Solving Approach; Wiley: Hoboken, NJ, USA, 1979; pp. 277–281. [Google Scholar]
- Jaeger, H.A.; Franz, A.M.; O’Donoghue, K.; Seitel, A.; Trauzettel, F.; Maier-Hein, L.; Cantillon-Murphy, P. Anser EMT: The first open-source electromagnetic tracking platform for image-guided interventions. Int. J. Comput. Assist. Radiol. Surg. 2017, 12, 1059–1067. [Google Scholar] [CrossRef] [PubMed]
- Horn, B.K.P.; Hilden, H.M.; Negahdaripour, S. Closed-form solution of absolute orientation using orthonormal matrices. J. Opt. Soc. Am. A 1988, 5, 1127. [Google Scholar] [CrossRef]
- Polaris Vega ST—NDI. Available online: https://www.ndigital.com/polaris-vega-st/ (accessed on 9 July 2024).
- Korin, H.W.; Ehman, R.L.; Riederer, S.J.; Felmlee, J.P.; Grimm, R.C. Respiratory kinematics of the upper abdominal organs: A quantitative study. Magn. Reson. Med. 1992, 23, 172–178. [Google Scholar] [CrossRef] [PubMed]
- Osborne, D.A.; Alexander, G.; Boe, B.; Zervos, E.E. Laparoscopic cholecystectomy: Past, present, and future. Surg. Technol. Int. 2006, 15, 81–85. [Google Scholar] [PubMed]









| Rod | Material | (mm) | (mm) | (MS/m) |
|---|---|---|---|---|
| 1 | 316 L Stainless Steel | 4 | ||
| 2 | 316 L Stainless Steel | 5 | 6 |
| RMSE (mm) | ME (mm) | STD (mm) | |||||||
|---|---|---|---|---|---|---|---|---|---|
| Frequency (kHz) | No Rod | Rod 1 | Rod 2 | No Rod | Rod 1 | Rod 2 | No Rod | Rod 1 | Rod 2 |
| 1 | 0.89 | 1.09 | 1.09 | 0.71 | 0.89 | 0.92 | 0.53 | 0.63 | 0.59 |
| 5 | 0.98 | 1.16 | 1.55 | 0.79 | 0.94 | 1.29 | 0.58 | 0.68 | 0.85 |
| 10 | 1.26 | 1.69 | 4.55 | 1.01 | 1.38 | 3.97 | 0.75 | 0.98 | 2.21 |
| 15 | 1.38 | 2.75 | 10.01 | 1.13 | 2.30 | 8.83 | 0.80 | 1.52 | 4.72 |
| 20 | 2.33 | 12.74 | 25.53 | 1.89 | 11.08 | 22.17 | 1.37 | 6.30 | 12.68 |
Disclaimer/Publisher’s Note: The statements, opinions and data contained in all publications are solely those of the individual author(s) and contributor(s) and not of MDPI and/or the editor(s). MDPI and/or the editor(s) disclaim responsibility for any injury to people or property resulting from any ideas, methods, instructions or products referred to in the content. |
© 2024 by the authors. Licensee MDPI, Basel, Switzerland. This article is an open access article distributed under the terms and conditions of the Creative Commons Attribution (CC BY) license (https://creativecommons.org/licenses/by/4.0/).
Share and Cite
Higgins, E.; Crowley, D.; van den Bosch, C.; Cantillon-Murphy, P. Distortion-Free Magnetic Tracking of Metal Instruments in Image-Guided Interventions. Sensors 2024, 24, 5364. https://doi.org/10.3390/s24165364
Higgins E, Crowley D, van den Bosch C, Cantillon-Murphy P. Distortion-Free Magnetic Tracking of Metal Instruments in Image-Guided Interventions. Sensors. 2024; 24(16):5364. https://doi.org/10.3390/s24165364
Chicago/Turabian StyleHiggins, Eoin, Daragh Crowley, Christian van den Bosch, and Pádraig Cantillon-Murphy. 2024. "Distortion-Free Magnetic Tracking of Metal Instruments in Image-Guided Interventions" Sensors 24, no. 16: 5364. https://doi.org/10.3390/s24165364
APA StyleHiggins, E., Crowley, D., van den Bosch, C., & Cantillon-Murphy, P. (2024). Distortion-Free Magnetic Tracking of Metal Instruments in Image-Guided Interventions. Sensors, 24(16), 5364. https://doi.org/10.3390/s24165364

