Extraction and Validation of Biomechanical Gait Parameters with Contactless FMCW Radar
Abstract
1. Introduction
- FMCW radar was employed to collect the gait data of the subjects, followed by preprocessing the data into an RVT cube. Subsequently, the 2D OSCA–CFAR algorithm and dilation and erosion algorithms were implemented, to extract the subjects’ gait information. The torso signals were extracted both from VT and RT spectrograms, and the toe signal was extracted from a VT spectrogram. Moreover, the peak-velocity time points of the signals could be used to divide continuous steps, facilitating parameters’ extraction.
- The reliability of the gait parameters extracted by the radar was verified with ground truth gait parameters, as measured by the Qualisys system. The Wilcoxon signed-rank test was applied, to determine whether the medians of the paired gait parameters from the same device but different directions were equivalent. The ICC was utilized to evaluate the consistency of paired gait parameters collected by two devices, and the difference values of the paired gait parameters between the total subjects were displayed as Bland–Altman plots.
2. Data Collection and Preprocessing
2.1. Gait Data Collection
2.2. Data Preprocesing
3. Gait Parameters Extraction
3.1. 2D OSCA–CFAR
3.2. Velocity–Time (VT) Spectrogram and Range–Time (RT) Spectrogram
3.3. Extraction of Gait Parameters
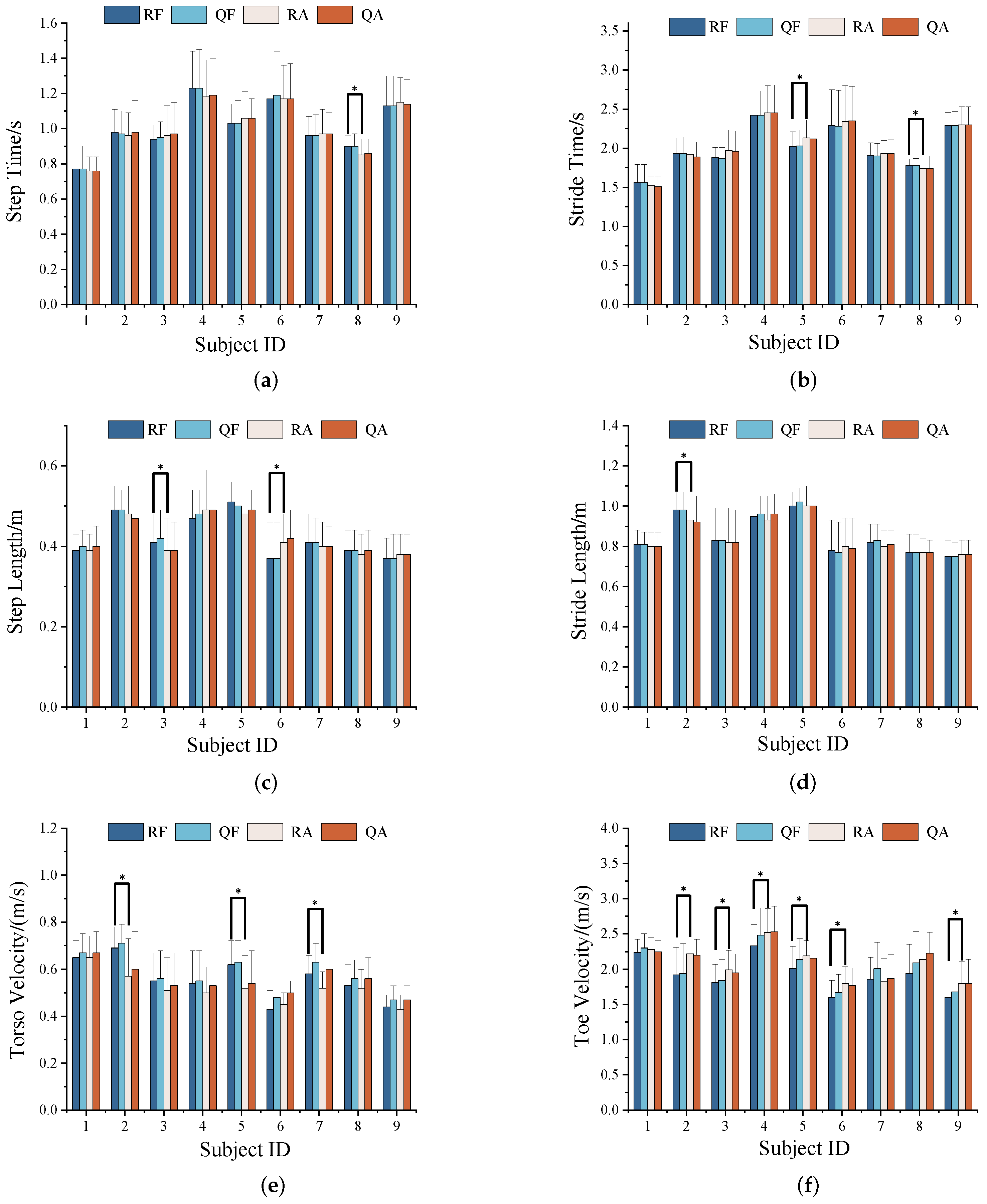
4. Experimental Results and Analysis
5. Conclusions
Author Contributions
Funding
Institutional Review Board Statement
Informed Consent Statement
Data Availability Statement
Conflicts of Interest
Abbreviations
| ADC | analog-to-digital converter |
| CFAR | constant false alarm rate |
| DFT | discrete Fourier transform |
| FMCW | frequency-modulated continuous wave |
| ICC | intraclass correlation coefficient |
| MIMO | multiple input multiple output |
| RVT | range–velocity–time |
| SIMO | single input multiple output |
References
- Laufer, Y. Effect of age on characteristics of forward and backward gait at preferred and accelerated walking speed. J. Gerontol. Ser. A Biol. Sci. Med. Sci. 2005, 60, 627–632. [Google Scholar] [CrossRef]
- Blumrosen, G.; Uziel, M.; Rubinsky, B.; Porrat, D. Non-contact UWB radar technology to assess tremor. In Proceedings of the XII Mediterranean Conference on Medical and Biological Engineering and Computing 2010, MEDICON 2010, Chalkidiki, Greece, 27–30 May 2010; IFMBE Proceedings. pp. 490–493. [Google Scholar] [CrossRef]
- Jarchi, D.; Pope, J.; Lee, T.K.M.; Tamjidi, L.; Mirzaei, A.; Sanei, S. A Review on Accelerometry-Based Gait Analysis and Emerging Clinical Applications. IEEE Rev. Biomed. Eng. 2018, 11, 177–194. [Google Scholar] [CrossRef] [PubMed]
- Ruiz-Ruiz, L.; Jimenez, A.R.; Garcia-Villamil, G.; Seco, F. Detecting Fall Risk and Frailty in Elders with Inertial Motion Sensors: A Survey of Significant Gait Parameters. Sensors 2021, 21, 6918. [Google Scholar] [CrossRef] [PubMed]
- Ding, C.; Ding, Z.; Wang, L.; Jia, Y. A Fall Detection Method Based on K-Nearest Neighbor Algorithm with MIMO Millimeter-Wave Radar. In Proceedings of the 2021 IEEE 6th International Conference on Signal and Image Processing (ICSIP), Nanjing, China, 22–24 October 2021; pp. 624–628. [Google Scholar] [CrossRef]
- Saho, K.; Shioiri, K.; Kudo, S.; Fujimoto, M. Estimation of Gait Parameters From Trunk Movement Measured by Doppler Radar. IEEE J. Electromagn. RF Microw. Med. Biol. 2022, 6, 461–469. [Google Scholar] [CrossRef]
- Bugané, F.; Benedetti, M.; Casadio, G.; Attala, S.; Biagi, F.; Manca, M.; Leardini, A. Estimation of spatial-temporal gait parameters in level walking based on a single accelerometer: Validation on normal subjects by standard gait analysis. Comput. Methods Programs Biomed. 2012, 108, 129–137. [Google Scholar] [CrossRef] [PubMed]
- Bilney, B.; Morris, M.; Webster, K. Concurrent related validity of the GAITRite® walkway system for quantification of the spatial and temporal parameters of gait. Gait Posture 2003, 17, 68–74. [Google Scholar] [CrossRef] [PubMed]
- Wu, C.; Zhang, F.; Hu, Y.; Liu, K.J.R. GaitWay: Monitoring and Recognizing Gait Speed Through the Walls. IEEE Trans. Mob. Comput. 2021, 20, 2186–2199. [Google Scholar] [CrossRef]
- Seifert, A.K.; Grimmer, M.; Zoubir, A.M. Doppler Radar for the Extraction of Biomechanical Parameters in Gait Analysis. IEEE J. Biomed. Health Inform. 2021, 25, 547–558. [Google Scholar] [CrossRef] [PubMed]
- Ni, Z.; Huang, B. Human identification based on natural gait micro-Doppler signatures using deep transfer learning. IET Radar Sonar Navig. 2020, 14, 1640–1646. [Google Scholar] [CrossRef]
- Wang, Y.; Shu, Y.; Zhou, M. A Novel Eye Blink Detection Method using Frequency Modulated Continuous Wave Radar. In Proceedings of the 2021 IEEE International Workshop on Electromagnetics: Applications and Student Innovation Competition (iWEM), Guangzhou, China, 28–30 November 2021; Volume 1, pp. 1–3. [Google Scholar] [CrossRef]
- Hu, B.; Jin, B.; Xue, H.; Zhang, Z.; Xu, Z.; Zhu, X. Heartbeat information prediction based on transformer model using millimetre-wave radar. IET Biom. 2023, 12, 235–243. [Google Scholar] [CrossRef]
- Singh, A.D.; Sandha, S.S.; Garcia, L.; Srivastava, M.B. RadHAR: Human Activity Recognition from Point Clouds Generated through a Millimeter-wave Radar. In Proceedings of the 3rd ACM Workshop on Millimeter-Wave Networks and Sensing Systems, Los Cabos, Mexico, 25 October 2019. [Google Scholar]
- Wang, D.; Park, J.; Kim, H.J.; Lee, K.; Cho, S.H. Noncontact Extraction of Biomechanical Parameters in Gait Analysis Using a Multi-Input and Multi-Output Radar Sensor. IEEE Access 2021, 9, 138496–138508. [Google Scholar] [CrossRef]
- Wang, F.; Skubic, M.; Rantz, M.; Cuddihy, P.E. Quantitative Gait Measurement with Pulse-Doppler Radar for Passive In-Home Gait Assessment. IEEE Trans. Biomed. Eng. 2014, 61, 2434–2443. [Google Scholar] [CrossRef] [PubMed]
- WR1443 Single-Chip 76-GHz to 81-GHz mm Wave Sensor Evaluation Module. [Online]. Available online: https://www.ti.com/tool/IWR1443BOOST (accessed on 20 September 2023).
- Real-Time Data-Capture Adapter for Radar Sensing Evaluation Module. [Online]. Available online: https://www.ti.com/tool/DCA1000EVM (accessed on 20 September 2023).
- Li, X.; Wang, X.; Yang, Q.; Fu, S. Signal Processing for TDM MIMO FMCW Millimeter-Wave Radar Sensors. IEEE Access 2021, 9, 167959–167971. [Google Scholar] [CrossRef]
- Ni, Z.; Huang, B. Robust Person Gait Identification Based on Limited Radar Measurements Using Set-Based Discriminative Subspaces Learning. IEEE Trans. Instrum. Meas. 2022, 71, 1–14. [Google Scholar] [CrossRef]
- Kronauge, M.; Rohling, H. Fast Two-Dimensional CFAR Procedure. IEEE Trans. Aerosp. Electron. Syst. 2013, 49, 1817–1823. [Google Scholar] [CrossRef]
- Yan, J.; Li, X.; Shao, Z. Intelligent and fast two-dimensional CFAR procedure. In Proceedings of the 2015 IEEE International Conference on Communication Problem-Solving (ICCP), Guilin, China, 16–18 October 2015; pp. 461–463. [Google Scholar] [CrossRef]
- Zeng, X.; Báruson, H.S.L.; Sundvall, A. Walking Step Monitoring with a Millimeter-Wave Radar in Real-Life Environment for Disease and Fall Prevention for the Elderly. Sensors 2022, 22, 9901. [Google Scholar] [CrossRef] [PubMed]
- Yao, Y.; Liu, W.; Zhang, G.; Hu, W. Radar-Based Human Activity Recognition Using Hyperdimensional Computing. IEEE Trans. Microw. Theory Tech. 2022, 70, 1605–1619. [Google Scholar] [CrossRef]
- Rahman, M.M.; Martelli, D.; Gurbuz, S.Z. Gait Variability Analysis with Multi-Channel FMCW Radar for Fall Risk Assessment. In Proceedings of the 2022 IEEE 12th Sensor Array and Multichannel Signal Processing Workshop (SAM), Trondheim, Norway, 20–23 June 2022; pp. 345–349. [Google Scholar] [CrossRef]
- Qiu, G.; Gu, Y.; Chen, J. Selective health indicator for bearings ensemble remaining useful life prediction with genetic algorithm and Weibull proportional hazards model. Measurement 2020, 150, 107097. [Google Scholar] [CrossRef]
- Abedi, H.; Boger, J.; Morita, P.P.; Wong, A.; Shaker, G. Hallway Gait Monitoring Using Novel Radar Signal Processing and Unsupervised Learning. IEEE Sens. J. 2022, 22, 15133–15145. [Google Scholar] [CrossRef]
- Abedi, H.; Boger, J.; Morita, P.P.; Wong, A.; Shaker, G. Hallway Gait Monitoring System Using an In-Package Integrated Dielectric Lens Paired with a mm-Wave Radar. Sensors 2023, 23, 71. [Google Scholar] [CrossRef]
- Mann, H.B.; Whitney, D.R. On a Test of Whether one of Two Random Variables is Stochastically Larger than the Other. Ann. Math. Stat. 1947, 18, 50–60. [Google Scholar] [CrossRef]
- Altman, D.G.; Bland, J.M. Measurement in Medicine: The Analysis of Method Comparison Studies. Statistician 1983, 32, 307–317. [Google Scholar] [CrossRef]









| Parameters | Value |
|---|---|
| Start frequency (GHz) | 77 |
| Frequency slope (MHz/s) | 39.982 |
| Chirp bandwidth (GHz) | 2.398 |
| Chirp duration (s) | 100 |
| Chirp repetition period (s) | 160 |
| ADC sampling rate (ksps) | 10,000 |
| Frame periodicity (ms) | 40 |
| Number of samples per chirp | 360 |
| Number of chirps per frame | 200 |
| Tx/Rx channels | 1/4 |
| Gait Parameters | ICC-F | ICC-A |
|---|---|---|
| Step Time | 0.960 | 0.925 |
| Stride Time | 0.987 | 0.972 |
| Step Length | 0.910 | 0.792 |
| Stride Length | 0.938 | 0.867 |
| Torso Velocity | 0.980 | 0.975 |
| Toe Velocity | 0.962 | 0.961 |
Disclaimer/Publisher’s Note: The statements, opinions and data contained in all publications are solely those of the individual author(s) and contributor(s) and not of MDPI and/or the editor(s). MDPI and/or the editor(s) disclaim responsibility for any injury to people or property resulting from any ideas, methods, instructions or products referred to in the content. |
© 2024 by the authors. Licensee MDPI, Basel, Switzerland. This article is an open access article distributed under the terms and conditions of the Creative Commons Attribution (CC BY) license (https://creativecommons.org/licenses/by/4.0/).
Share and Cite
Wang, L.; Ni, Z.; Huang, B. Extraction and Validation of Biomechanical Gait Parameters with Contactless FMCW Radar. Sensors 2024, 24, 4184. https://doi.org/10.3390/s24134184
Wang L, Ni Z, Huang B. Extraction and Validation of Biomechanical Gait Parameters with Contactless FMCW Radar. Sensors. 2024; 24(13):4184. https://doi.org/10.3390/s24134184
Chicago/Turabian StyleWang, Linyu, Zhongfei Ni, and Binke Huang. 2024. "Extraction and Validation of Biomechanical Gait Parameters with Contactless FMCW Radar" Sensors 24, no. 13: 4184. https://doi.org/10.3390/s24134184
APA StyleWang, L., Ni, Z., & Huang, B. (2024). Extraction and Validation of Biomechanical Gait Parameters with Contactless FMCW Radar. Sensors, 24(13), 4184. https://doi.org/10.3390/s24134184

