Magnetoelectric Effect in Amorphous Ferromagnetic FeCoSiB/Langatate Monolithic Heterostructure for Magnetic Field Sensing
Abstract
1. Introduction
2. Materials and Methods
3. Results
3.1. Linear ME Effect
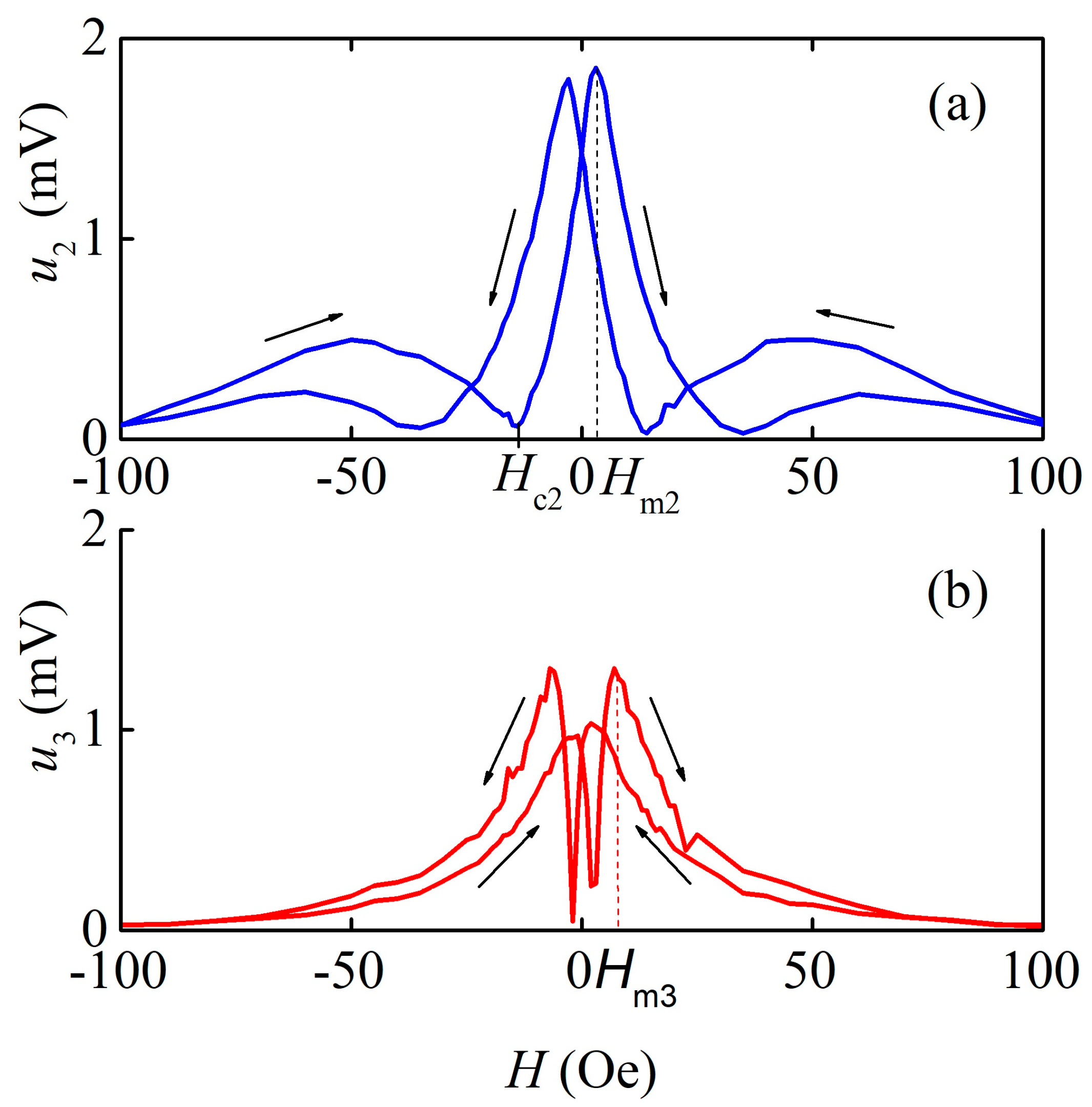
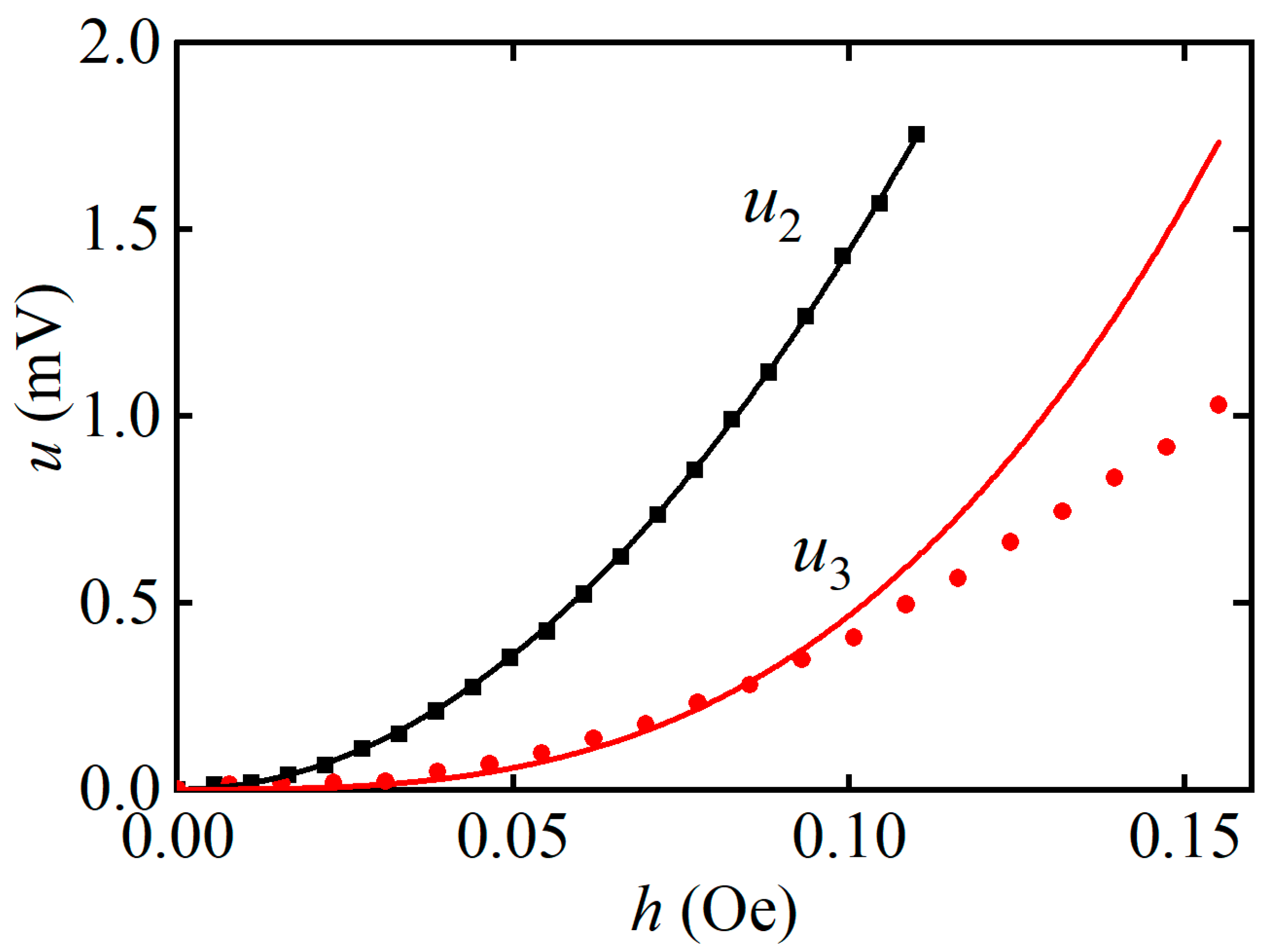
3.2. Nonlinear ME Effect
3.3. Sensor Characteristics
4. Discussion
5. Conclusions
Author Contributions
Funding
Institutional Review Board Statement
Informed Consent Statement
Data Availability Statement
Conflicts of Interest
References
- Murzin, D.; Mapps, D.J.; Levada, K.; Belyaev, V.; Omelyanchik, A.; Panina, L.; Rodionova, V. Ultrasensitive Magnetic Field Sensors for Biomedical Applications. Sensors 2020, 20, 1569. [Google Scholar] [CrossRef]
- Gao, J.; Jiang, Z.; Zhang, S.; Mao, Z.; Shen, Y.; Chu, Z. Review of Magnetoelectric Sensors. Actuators 2021, 10, 109. [Google Scholar] [CrossRef]
- Kumar, A.; Kaur, D. Magnetoelectric Heterostructures for Next-Generation MEMS Magnetic Field Sensing Applications. J. Alloy. Compd. 2022, 897, 163091. [Google Scholar] [CrossRef]
- Nan, C.-W.; Bichurin, M.I.; Dong, S.; Viehland, D.; Srinivasan, G. Multiferroic Magnetoelectric Composites: Historical Perspective, Status, and Future Directions. J. Appl. Phys. 2008, 103, 31101. [Google Scholar] [CrossRef]
- Elzenheimer, E.; Hayes, P.; Thormahlen, L.; Engelhardt, E.; Zaman, A.; Quandt, E.; Frey, N.; Hoft, M.; Schmidt, G. Investigation of Converse Magnetoelectric Thin Film Sensors for Magnetocardiography. IEEE Sens. J. 2023, 23, 5660–5669. [Google Scholar] [CrossRef]
- Bichurin, M.I.; Filippov, D.A.; Petrov, V.M.; Laletsin, V.M.; Paddubnaya, N.; Srinivasan, G. Resonance Magnetoelectric Effects in Layered Magnetostrictive-Piezoelectric Composites. Phys. Rev. B 2003, 68, 132408. [Google Scholar] [CrossRef]
- Bichurin, M.; Petrov, R.; Sokolov, O.; Leontiev, V.; Kuts, V.; Kiselev, D.; Wang, Y. Magnetoelectric Magnetic Field Sensors: A Review. Sensors 2021, 21, 6232. [Google Scholar] [CrossRef]
- Sreenivasulu, G.; Petrov, V.M.; Fetisov, L.Y.; Fetisov, Y.K.; Srinivasan, G. Magnetoelectric Interactions in Layered Composites of Piezoelectric Quartz and Magnetostrictive Alloys. Phys. Rev. B 2012, 86, 214405. [Google Scholar] [CrossRef]
- Sreenivasulu, G.; Fetisov, L.Y.; Fetisov, Y.K. Piezoelectric Single Crystal Langatate and Ferromagnetic Composites: Studies on Low-Frequency and Resonance Magnetoelectric Effects. Appl. Phys. Lett. 2012, 100, 52901–52904. [Google Scholar] [CrossRef]
- Hwang, G.T.; Palneedi, H.; Jung, B.M.; Kwon, S.J.; Peddigari, M.; Min, Y.; Kim, J.W.; Ahn, C.W.; Choi, J.J.; Hahn, B.D.; et al. Enhancement of Magnetoelectric Conversion Achieved by Optimization of Interfacial Adhesion Layer in Laminate Composites. ACS Appl. Mater. Interfaces 2018, 10, 32323–32330. [Google Scholar] [CrossRef]
- Bichurin, M.I.; Petrov, V.M.; Leontiev, V.S.; Ivanov, S.N.; Sokolov, O.V. Magnetoelectric Effect in Layered Structures of Amorphous Ferromagnetic Alloy and Gallium Arsenide. J. Magn. Magn. Mater. 2017, 424, 115–117. [Google Scholar] [CrossRef]
- Fetisov, L.; Chashin, D.; Saveliev, D.; Plekhanova, D.; Makarova, L.; Stognii, A. Magnetoelectric Effect in Ferromagnetic-Semiconductor Layered Composite Structures. EPJ Web Conf. 2018, 185, 4–7. [Google Scholar] [CrossRef]
- Bichurin, M.I.; Petrov, R.V.; Leontiev, V.S.; Sokolov, O.V.; Turutin, A.V.; Kuts, V.V.; Kubasov, I.V.; Kislyuk, A.M.; Temirov, A.A.; Malinkovich, M.D.; et al. Self-Biased Bidomain LiNbO3/Ni/Metglas Magnetoelectric Current Sensor. Sensors 2020, 20, 7142. [Google Scholar] [CrossRef]
- Bichurin, M.I.; Sokolov, O.V.; Leontiev, V.S.; Petrov, R.V.; Tatarenko, A.S.; Semenov, G.A.; Ivanov, S.N.; Turutin, A.V.; Kubasov, I.V.; Kislyuk, A.M.; et al. Magnetoelectric Effect in the Bidomain Lithium Niobate/Nickel/Metglas Gradient Structure. Phys. Status Solidi 2019, 257, 1900398. [Google Scholar] [CrossRef]
- Turutin, A.V.; Kubasov, I.V.; Kislyuk, A.M.; Kuts, V.V.; Malinkovich, M.D.; Parkhomenko, Y.N.; Sobolev, N.A. Ultra-Sensitive Magnetoelectric Sensors of Magnetic Fields for Biomedical Applications. Nanobiotechnol. Rep. 2022, 17, 261–289. [Google Scholar] [CrossRef]
- Yuan, G.; Xu, R.; Wu, H.; Xing, Y.; Yang, C.; Zhang, R.; Tang, W.; Wang, Y.; Wang, Y. High-Temperature Multiferroic Magnetoelectric Sensors. Appl. Phys. Lett. 2022, 121, 192903. [Google Scholar] [CrossRef]
- Greve, H.; Woltermann, E.; Quenzer, H.J.; Wagner, B.; Quandt, E. Giant Magnetoelectric Coefficients in (Fe90Co10)78Si12B10-AlN Thin Film Composites. Appl. Phys. Lett. 2010, 96, 2010–2013. [Google Scholar] [CrossRef]
- FOMOS Materials. Available online: https://en.newpiezo.com/ (accessed on 18 March 2023).
- Liang, X.; Dong, C.; Chen, H.; Wang, J.; Wei, Y.; Zaeimbashi, M.; He, Y.; Matyushov, A.; Sun, C.; Sun, N. A Review of Thin-Film Magnetoelastic Materials for Magnetoelectric Applications. Sensors 2020, 20, 1532. [Google Scholar] [CrossRef]
- Srinivasan, G.; De Vreugd, C.P.; Laletin, V.M.; Paddubnaya, N.; Bichurin, M.I.; Petrov, V.M.; Filippov, D.A. Resonant Magnetoelectric Coupling in Trilayers of Ferromagnetic Alloys and Piezoelectric Lead Zirconate Titanate: The Influence of Bias Magnetic Field. Phys. Rev. B 2005, 71, 184423–184428. [Google Scholar] [CrossRef]
- Fetisov, L.Y.; Burdin, D.A.; Ekonomov, N.A.; Chashin, D.V.; Zhang, J.; Srinivasan, G.; Fetisov, Y.K. Nonlinear Magnetoelectric Effects at High Magnetic Field Amplitudes in Composite Multiferroics. J. Phys. D Appl. Phys. 2018, 51, 154003. [Google Scholar] [CrossRef]
- Fetisov, L.Y.; Fetisov, Y.K.; Sreenivasulu, G. Nonlinear Resonant Magnetoelectric Interactions and Efficient Frequency Doubling in a Ferromagnetic-Ferroelectric Layered Structure. J. Appl. Phys. 2013, 113, 116101. [Google Scholar] [CrossRef]
- Röbisch, V.; Salzer, S.; Urs, N.O.; Reermann, J.; Yarar, E.; Piorra, A.; Kirchhof, C.; Lage, E.; Höft, M.; Schmidt, G.U.; et al. Pushing the Detection Limit of Thin Film Magnetoelectric Heterostructures. J. Mater. Res. 2017, 32, 1009–1019. [Google Scholar] [CrossRef]
- Su, J.; Niekiel, F.; Fichtner, S.; Thormaehlen, L.; Kirchhof, C.; Meyners, D.; Quandt, E.; Wagner, B.; Lofink, F. AlScN-Based MEMS Magnetoelectric Sensor. Appl. Phys. Lett. 2020, 117, 132903. [Google Scholar] [CrossRef]
- Burdin, D.A.; Chashin, D.V.; Ekonomov, N.A.; Fetisov, Y.K.; Stashkevich, A.A. High-Sensitivity Dc Field Magnetometer Using Nonlinear Resonance Magnetoelectric Effect. J. Magn. Magn. Mater. 2016, 405, 244–248. [Google Scholar] [CrossRef]
- Sun, C.; Yang, W.; Zhang, Y. A Symmetrical Quartz-Based Magnetoelectric Sensor for Pico-Tesla Magnetic Field Detection. Symmetry 2022, 14, 2130. [Google Scholar] [CrossRef]
- Turutin, A.V.; Skryleva, E.A.; Kubasov, I.V.; Milovich, F.O.; Temirov, A.A.; Raketov, K.V.; Kislyuk, A.M.; Zhukov, R.N.; Senatulin, B.R.; Kuts, V.V.; et al. Magnetoelectric MEMS Magnetic Field Sensor Based on a Laminated Heterostructure of Bidomain Lithium Niobate and Metglas. Materials 2023, 16, 484. [Google Scholar] [CrossRef]
- Timoshenko, S. Vibration Problems in Engineering, 2nd ed.; D. van Nostrand Company: Toronto, ON, Canada, 1955. [Google Scholar]
- Burdin, D.; Ekonomov, N.; Chashin, D.; Fetisov, L.; Fetisov, Y.; Shamonin, M. Temperature Dependence of the Resonant Magnetoelectric Effect in Layered Heterostructures. Materials 2017, 10, 1183. [Google Scholar] [CrossRef]
- Fedulov, F.A.; Fetisov, L.Y.; Chashin, D.V.; Saveliev, D.V.; Burdin, D.A.; Fetisov, Y.K. Magnetic Field Spectrum Analyzer Using Nonlinear Magnetoelectric Effect in Composite Ferromagnet—Piezoelectric Heterostructure. Sens. Actuators A Phys. 2022, 346, 113844. [Google Scholar] [CrossRef]
- Pourhosseiniasl, M.J.; Yu, Z.; Chu, Z.; Yang, J.; Xu, J.J.; Hou, Y.; Dong, S. Enhanced Self-Bias Magnetoelectric Effect in Locally Heat-Treated ME Laminated Composite. Appl. Phys. Lett. 2019, 115, 112901. [Google Scholar] [CrossRef]
- Zhou, Y.; Maurya, D.; Yan, Y.; Srinivasan, G.; Quandt, E.; Priya, S. Self-Biased Magnetoelectric Composites: An Overview and Future Perspectives. Energy Harvest. Syst. 2016, 3, 1–42. [Google Scholar] [CrossRef]
- Jahns, R.; Greve, H.; Woltermann, E.; Quandt, E.; Knöchel, R. Sensitivity Enhancement of Magnetoelectric Sensors through Frequency-Conversion. Sens. Actuators A Phys. 2012, 183, 16–21. [Google Scholar] [CrossRef]









Disclaimer/Publisher’s Note: The statements, opinions and data contained in all publications are solely those of the individual author(s) and contributor(s) and not of MDPI and/or the editor(s). MDPI and/or the editor(s) disclaim responsibility for any injury to people or property resulting from any ideas, methods, instructions or products referred to in the content. |
© 2023 by the authors. Licensee MDPI, Basel, Switzerland. This article is an open access article distributed under the terms and conditions of the Creative Commons Attribution (CC BY) license (https://creativecommons.org/licenses/by/4.0/).
Share and Cite
Fetisov, L.Y.; Dzhaparidze, M.V.; Savelev, D.V.; Burdin, D.A.; Turutin, A.V.; Kuts, V.V.; Milovich, F.O.; Temirov, A.A.; Parkhomenko, Y.N.; Fetisov, Y.K. Magnetoelectric Effect in Amorphous Ferromagnetic FeCoSiB/Langatate Monolithic Heterostructure for Magnetic Field Sensing. Sensors 2023, 23, 4523. https://doi.org/10.3390/s23094523
Fetisov LY, Dzhaparidze MV, Savelev DV, Burdin DA, Turutin AV, Kuts VV, Milovich FO, Temirov AA, Parkhomenko YN, Fetisov YK. Magnetoelectric Effect in Amorphous Ferromagnetic FeCoSiB/Langatate Monolithic Heterostructure for Magnetic Field Sensing. Sensors. 2023; 23(9):4523. https://doi.org/10.3390/s23094523
Chicago/Turabian StyleFetisov, L. Y., M. V. Dzhaparidze, D. V. Savelev, D. A. Burdin, A. V. Turutin, V. V. Kuts, F. O. Milovich, A. A. Temirov, Y. N. Parkhomenko, and Y. K. Fetisov. 2023. "Magnetoelectric Effect in Amorphous Ferromagnetic FeCoSiB/Langatate Monolithic Heterostructure for Magnetic Field Sensing" Sensors 23, no. 9: 4523. https://doi.org/10.3390/s23094523
APA StyleFetisov, L. Y., Dzhaparidze, M. V., Savelev, D. V., Burdin, D. A., Turutin, A. V., Kuts, V. V., Milovich, F. O., Temirov, A. A., Parkhomenko, Y. N., & Fetisov, Y. K. (2023). Magnetoelectric Effect in Amorphous Ferromagnetic FeCoSiB/Langatate Monolithic Heterostructure for Magnetic Field Sensing. Sensors, 23(9), 4523. https://doi.org/10.3390/s23094523

