Experimental Analysis of the Magnetic Leakage Detection of a Corroded Steel Strand Due to Vibration
Abstract
1. Introduction
1.1. Motivation
1.2. Literature Review
1.3. Contribution
- (1)
- In terms of theory, the influence of vibration was analyzed based on the existing two-dimensional magnetic dipole model for rectangular corroded defects. The two-dimensional magnetic dipole model under vibration conditions was derived, and a theoretical model for the additional magnetic field under vibration was established. The original theoretical model was optimized.
- (2)
- In terms of application, this study goes beyond the previous ideal experimental conditions by considering the cable’s vibration effects generated by the coupling action between the environmental and alternating loads. Through empirical analysis, the impact of this vibration effect on the detection of leakage magnetic flux was assessed. This assessment lays the foundation for the accurate diagnosis of cable corrosion and wire breakage under varying environmental and load conditions.
- (3)
- In terms of diagnostic methods, an evaluation index A for cable corrosion under vibration conditions was proposed. This index effectively reduces the influence of vibration and improves the accuracy of cable corrosion diagnosis.
1.4. Organization of the Paper
2. Theoretical Background
2.1. Displacement-Added Magnetic Field
2.2. Deformation-Added Magnetic Field
3. Methodology and Experiment
3.1. Preparation and Tension
3.2. Specimen Corrosion
3.3. Specimen Vibration and Magnetic Signal Acquisition
4. Results and Discussion
4.1. SMFL in Vibration and Stationary States
4.1.1. Different Lift-Off Heights
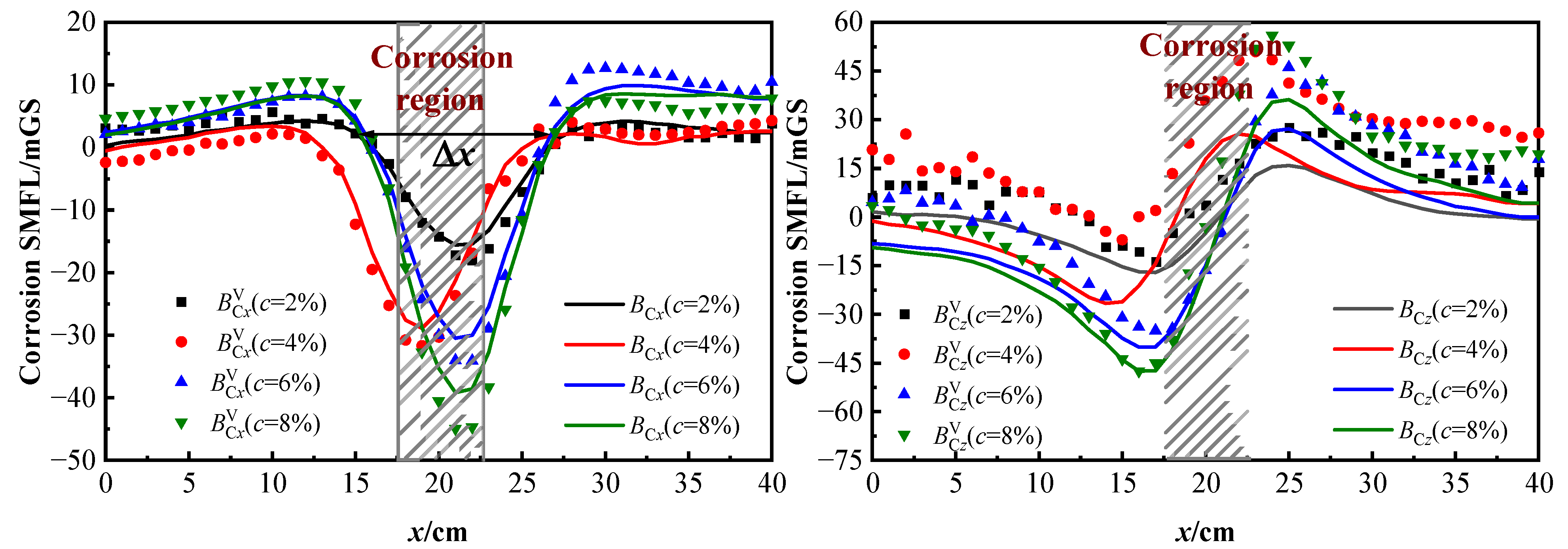
4.1.2. Different Corrosion Degrees
4.2. Analysis of the Vibration Effects on SMFL
4.2.1. Displacement Effects (ΔBdis)
4.2.2. Corrosion Defect Deformation Effects (ΔBdef)
4.3. Characterization Index of SMFL under Vibration
5. Conclusions
- (1)
- The corrosion SMFL signal in the vibration state fluctuated around the stationary SMFL curve, exhibiting similar trends and characteristics. The extreme point of the SMFL curve was negatively correlated with the measured lift-off height and positively correlated with the corrosion degree.
- (2)
- The influence of vibration on magnetic field distribution of cable structure was defined as the displacement-added magnetic field (ΔBdis) and the deformation-added magnetic field (ΔBdef). The tangential components of both have good data stability. ΔBdis followed a statistical normal distribution, fluctuating around zero value, and had no obvious relationship with excitation current and frequency. The effect of ΔBdef was mainly related to the degree of corrosion. The larger the degree of corrosion, the greater the impact of ΔBdef. When the external magnetic induction intensity was stable, the increment of magnetic field intensity change was mainly determined by ΔBdef.
- (3)
- Combined with the characteristics of SMFL curve under vibration and the influence of ΔBdis and ΔBdef on the SMFL curve, a corrosion index A was proposed. Moreover, through testing and analyzing, the index A exhibited a strong linear fit with the degree of corrosion (with R2 values greater than 0.97 in all cases) and can reduce the influence of vibrations to some extent. Using index A for corrosion characterization was feasible and can provide more accurate determination results.
Author Contributions
Funding
Institutional Review Board Statement
Informed Consent Statement
Data Availability Statement
Conflicts of Interest
References
- Huang, W.; Pei, M.; Liu, X.; Wei, Y. Design and Construction of Super-Long Span Bridges in China: Review and Future Perspectives. Front. Struct. Civ. Eng. 2020, 14, 803–838. [Google Scholar] [CrossRef]
- Guzmán, S.; Gálvez, J.C.; Sancho, J.M. Cover Cracking of Reinforced Concrete Due to Rebar Corrosion Induced by Chloride Penetration. Cem. Concr. Res. 2011, 41, 893–902. [Google Scholar] [CrossRef]
- Qiu, J.; Zhang, H.; Zhou, J.; Ma, H.; Liao, L. Experimental Analysis of the Correlation between Bending Strength and SMFL of Corroded RC Beams. Constr. Build. Mater. 2019, 214, 594–605. [Google Scholar] [CrossRef]
- Fernandes, B.; Nims, D.; Devabhaktuni, V. Computer Aided Modeling of Magnetic Behavior of Embedded Prestressing Strand for Corrosion Estimation. J. Nondestruct. Eval. 2013, 32, 124–133. [Google Scholar] [CrossRef]
- Chernin, L.; Val, D.V. Prediction of Corrosion-Induced Cover Cracking in Reinforced Concrete Structures. Constr. Build. Mater. 2011, 25, 1854–1869. [Google Scholar] [CrossRef]
- Yuan, Y.; Liu, X.; Pu, G.; Wang, T.; Zheng, D. Temporal and Spatial Variability of Corrosion of High-Strength Steel Wires within a Bridge Stay Cable. Constr. Build. Mater. 2021, 308, 125108. [Google Scholar] [CrossRef]
- Mangual, J.; Elbatanouny, M.; Ziehl, P.; Matta, F. Corrosion Damage Quantification of Prestressing Strands Using Acoustic Emission. J. Mater. Civ. Eng. 2013, 25, 1326–1334. [Google Scholar] [CrossRef]
- Du, P.; Xu, D.; Huang, S.; Cheng, X. Assessment of Corrosion of Reinforcing Steel Bars in Concrete Using Embedded Piezoelectric Transducers Based on Ultrasonic Wave. Constr. Build. Mater. 2017, 151, 925–930. [Google Scholar] [CrossRef]
- Ben Seghier, M.E.A.; Corriea, J.A.F.O.; Jafari-Asl, J.; Malekjafarian, A.; Plevris, V.; Trung, N.-T. On the Modeling of the Annual Corrosion Rate in Main Cables of Suspension Bridges Using Combined Soft Computing Model and a Novel Nature-Inspired Algorithm. Neural Comput. Applic. 2021, 33, 15969–15985. [Google Scholar] [CrossRef]
- Qiu, G.; Cai, Y.; Li, Z. Multiscale Investigation of Magnetic Field Distortion on Surface of Ferromagnetic Materials Caused by Stress Concentration for Metal Magnetic Memory Method. Comput. Mater. Sci. 2022, 209, 111353. [Google Scholar] [CrossRef]
- Ismail, M.; Muhammad, B.; Ismail, E.G. Compressive Strength Loss and Reinforcement Degradations of Reinforced Concrete Structure Due to Long-Term Exposure. Constr. Build. Mater. 2010, 24, 898–902. [Google Scholar] [CrossRef]
- Ma, Y.; Wang, G.; Guo, Z.; Wang, L.; Jiang, T.; Zhang, J. Critical Region Method-Based Fatigue Life Prediction of Notched Steel Wires of Long-Span Bridges. Constr. Build. Mater. 2019, 225, 601–610. [Google Scholar] [CrossRef]
- Li, S.; Xin, J.; Jiang, Y.; Wang, C.; Zhou, J.; Yang, X. Temperature-Induced Deflection Separation Based on Bridge Deflection Data Using the TVFEMD-PE-KLD Method. J Civ. Struct. Health Monit. 2023, 13, 781–797. [Google Scholar] [CrossRef]
- Dong, B.; Fang, G.; Liu, Y.; Dong, P.; Zhang, J.; Xing, F.; Hong, S. Monitoring Reinforcement Corrosion and Corrosion-Induced Cracking by X-Ray Microcomputed Tomography Method. Cem. Concr. Res. 2017, 100, 311–321. [Google Scholar] [CrossRef]
- Liu, S.; Ma, H. Estimation of the Stress Level on a Cross Section of a Reinforced Concrete Beam via Acoustic Emission Intensity Distribution (AID) Analysis. Constr. Build. Mater. 2018, 164, 463–476. [Google Scholar] [CrossRef]
- Xu, J.; Wu, X.J. Nondestructive Testing of Bridge Cables Using Magnetostrictive Guided Wave Technique. AMM 2011, 130–134, 2015–2018. [Google Scholar] [CrossRef]
- Ni, Y.; Zhang, Q.; Xin, R. Magnetic Flux Detection and Identification of Bridge Cable Metal Area Loss Damage. Measurement 2021, 167, 108443. [Google Scholar] [CrossRef]
- Zhang, H.; Liao, L.; Zhao, R.; Zhou, J.; Yang, M.; Xia, R. The Non-Destructive Test of Steel Corrosion in Reinforced Concrete Bridges Using a Micro-Magnetic Sensor. Sensors 2016, 16, 1439. [Google Scholar] [CrossRef]
- Zhou, J.; Qiu, J.; Zhou, Y.; Zhou, Y.; Xia, R. Experimental Study on Residual Bending Strength of Corroded Reinforced Concrete Beam Based on Micromagnetic Sensor. Sensors 2018, 18, 2635. [Google Scholar] [CrossRef]
- Xia, R.; Zhang, H.; Zhou, J.; Liao, L.; Zhang, Z.; Yang, F. Probability Evaluation Method of Cable Corrosion Degree Based on Self-Magnetic Flux Leakage. J. Magn. Magn. Mater. 2021, 522, 167544. [Google Scholar] [CrossRef]
- Yang, J.; Chen, R.; Zhang, Z.; Zou, Y.; Zhou, J.; Xia, J. Experimental Study on the Ultimate Bearing Capacity of Damaged RC Arches Strengthened with Ultra-High Performance Concrete. Eng. Struct. 2023, 279, 115611. [Google Scholar] [CrossRef]
- Xin, J.; Zhou, C.; Jiang, Y.; Tang, Q.; Yang, X.; Zhou, J. A Signal Recovery Method for Bridge Monitoring System Using TVFEMD and Encoder-Decoder Aided LSTM. Measurement 2023, 214, 112797. [Google Scholar] [CrossRef]
- Liu, S.; Jiang, Y.; Qiao, K.; Peng, L.; Liu, D. Record-Based Simulation of Three-Component Long-Period Ground Motions: Hybrid of Surface Wave Separation and Multivariate Empirical Mode Decomposition. Soil Dyn. Earthq. Eng. 2023, 172, 108037. [Google Scholar] [CrossRef]
- Wu, L.; Yao, K.; Shi, P.; Zhao, B.; Wang, Y.-S. Influence of Inhomogeneous Stress on Biaxial 3D Magnetic Flux Leakage Signals. NDT E Int. 2020, 109, 102178. [Google Scholar] [CrossRef]
- Shi, P.; Su, S.; Chen, Z. Overview of Researches on the Nondestructive Testing Method of Metal Magnetic Memory: Status and Challenges. J. Nondestruct. Eval. 2020, 39, 43. [Google Scholar] [CrossRef]
- Qiu, J.; Zhang, H.; Zhou, J.; Zhang, W. An SMFL-Based Non-Destructive Quantification Method for the Localized Corrosion Cross-Sectional Area of Rebar. Corros. Sci. 2021, 192, 109793. [Google Scholar] [CrossRef]
- Xia, R.; Zhang, H.; Zhou, J.; Liao, L.; Di, H.; Zhang, Z. Studies on the Spatial Location Method of Corrosion Defect in Bridge Cable Considering Self-Magnetic Flux Leakage Effect. J. Test. Eval. 2021, 49, 4526–4539. [Google Scholar] [CrossRef]
- Han, W.; Xu, J.; Wang, P.; Tian, G. Defect Profile Estimation from Magnetic Flux Leakage Signal via Efficient Managing Particle Swarm Optimization. Sensors 2014, 14, 10361–10380. [Google Scholar] [CrossRef]
- Fernandes, B.; Titus, M.; Nims, D.K.; Ghorbanpoor, A.; Devabhaktuni, V.K. Practical Assessment of Magnetic Methods for Corrosion Detection in an Adjacent Precast, Prestressed Concrete Box-Beam Bridge. Nondestruct. Test. Eval. 2013, 28, 99–118. [Google Scholar] [CrossRef]
- Qu, Y.; Zhang, H.; Zhao, R.; Liao, L.; Zhou, Y. Research on the Method of Predicting Corrosion Width of Cables Based on the Spontaneous Magnetic Flux Leakage. Materials 2019, 12, 2154. [Google Scholar] [CrossRef]
- Singh, W.S.; Rao, B.P.C.; Thirunavukkarasu, S.; Jayakumar, T. Flexible GMR Sensor Array for Magnetic Flux Leakage Testing of Steel Track Ropes. J. Sens. 2012, 2012, 129074. [Google Scholar] [CrossRef]
- Ren, S.; Ren, X.; Duan, Z.; Fu, Y. Studies on Influences of Initial Magnetization State on Metal Magnetic Memory Signal. NDT E Int. 2019, 103, 77–83. [Google Scholar] [CrossRef]
- Xia, R.; Zhang, H.; Zhou, J.; Liao, L.; Yang, W.; Li, Y. Corrosion Non-Destructive Testing of Loaded Steel Strand Based on Self-Magnetic Flux Leakage Effect. Nondestruct. Test. Eval. 2022, 37, 56–70. [Google Scholar] [CrossRef]
- Xia, R.; Zhou, J.; Zhang, H.; Zhou, D.; Zhang, Z. Experimental Study on Corrosion of Unstressed Steel Strand Based on Metal Magnetic Memory. KSCE J. Civ. Eng. 2019, 23, 1320–1329. [Google Scholar] [CrossRef]
- Xia, R.; Zhou, J.; Zhang, H.; Liao, L.; Zhao, R.; Zhang, Z. Quantitative Study on Corrosion of Steel Strands Based on Self-Magnetic Flux Leakage. Sensors 2018, 18, 1396. [Google Scholar] [CrossRef]
- Shi, P.; Jin, K.; Zheng, X. A Magnetomechanical Model for the Magnetic Memory Method. Int. J. Mech. Sci. 2017, 124–125, 229–241. [Google Scholar] [CrossRef]
- Le, M.; Pham, C.-T.; Lee, J. Deep Neural Network for Simulation of Magnetic Flux Leakage Testing. Measurement 2021, 170, 108726. [Google Scholar] [CrossRef]
- Xu, J.; Chen, W. Behavior of Wires in Parallel Wire Stayed Cable under General Corrosion Effects. J. Constr. Steel. Res. 2013, 85, 40–47. [Google Scholar] [CrossRef]
- Xu, Y.; Li, H.; Li, S.; Guan, X.; Lan, C. 3-D Modelling and Statistical Properties of Surface Pits of Corroded Wire Based on Image Processing Technique. Corros. Sci. 2016, 111, 275–287. [Google Scholar] [CrossRef]
- Machine Learning-Assisted Probabilistic Fatigue Evaluation of Rib-to-Deck Joints in Orthotropic Steel Decks. Eng. Struct. 2022, 265, 114496. [CrossRef]
- GPR-Assisted Evaluation of Probabilistic Fatigue Crack Growth in Rib-to-Deck Joints in Orthotropic Steel Decks Considering Mixed Failure Models. Eng. Struct. 2022, 252, 113688. [CrossRef]
- Cheng, S.; Fan, X.; Tao, H. Wind-Induced Vibration Analysis of a Cable-Stayed Bridge during Erection by a Modified Time-Domain Method. J. Sound Vib. 2007, 303, 330–342. [Google Scholar] [CrossRef]
- Matsumoto, M.; Shirato, H.; Yagi, T.; Goto, M.; Sakai, S.; Ohya, J. Field Observation of the Full-Scale Wind-Induced Cable Vibration. J. Wind Eng. Ind. Aerodyn. 2003, 91, 13–26. [Google Scholar] [CrossRef]
- Ni, Y.Q.; Wang, X.Y.; Chen, Z.Q.; Ko, J.M. Field Observations of Rain-Wind-Induced Cable Vibration in Cable-Stayed Dongting Lake Bridge. J. Wind Eng. Ind. Aerodyn. 2007, 95, 303–328. [Google Scholar] [CrossRef]
- Ahmad, J.; Cheng, S. Effect of Cross-Link Stiffness on the in-Plane Free Vibration Behaviour of a Two-Cable Network. Eng. Struct. 2013, 52, 570–580. [Google Scholar] [CrossRef]
- Zhang, H.; Li, H.; Zhou, J.; Tong, K.; Xia, R. A Multi-Dimensional Evaluation of Wire Breakage in Bridge Cable Based on Self-Magnetic Flux Leakage Signals. J. Magn. Magn. Mater. 2023, 566, 170321. [Google Scholar] [CrossRef]


















| Material Proportion | Tensile Strength | Nominal Diameter | Elasticity Modulus | Weight | Elongation | Yield Load Fp0.2 |
|---|---|---|---|---|---|---|
| Values | 1860 MPa | 15.20 mm | 195 GPa | 1.101 kg/m | ≥3.5% | ≥229 kN |
| Chemical compositions | C | Si | Mn | P | S | Cu |
| Proportion | 0.8–0.85% | 0.12–0.32% | 0.6–0.9% | <0.025% | <0.025% | <0.2% |
| Number | Corrosion Loss Ratio c | Frequency f/Hz | Current I/A | Measuring Distance d/cm |
|---|---|---|---|---|
| 1# | 4%, 8% | 5 | 10 | 1, 2, 3 |
| 2# | 2%, 4%, 6%, 8% | 10 | 2, 3, 4, 5 | 1 |
| 3# | 3%, 6%, 9%, 12%, 15% | 5, 8, 10 | 5 | 1 |
| 4# | 0% | 5, 8, 10 | 2, 3, 4, 5 | 1 |
| Number | F | P | R2 |
|---|---|---|---|
| 3#-A | 854.155 | 0 | 0.99 |
| 3#-A’ | 366.208 | 0 | 0.96 |
| 2#-A | 146.569 | 0.0067 | 0.98 |
| 2#-A’ | 664.068 | 0 | 0.95 |
Disclaimer/Publisher’s Note: The statements, opinions and data contained in all publications are solely those of the individual author(s) and contributor(s) and not of MDPI and/or the editor(s). MDPI and/or the editor(s) disclaim responsibility for any injury to people or property resulting from any ideas, methods, instructions or products referred to in the content. |
© 2023 by the authors. Licensee MDPI, Basel, Switzerland. This article is an open access article distributed under the terms and conditions of the Creative Commons Attribution (CC BY) license (https://creativecommons.org/licenses/by/4.0/).
Share and Cite
Zhang, H.; Ding, Y.; Yuan, Y.; Xia, R.; Zhou, J. Experimental Analysis of the Magnetic Leakage Detection of a Corroded Steel Strand Due to Vibration. Sensors 2023, 23, 7130. https://doi.org/10.3390/s23167130
Zhang H, Ding Y, Yuan Y, Xia R, Zhou J. Experimental Analysis of the Magnetic Leakage Detection of a Corroded Steel Strand Due to Vibration. Sensors. 2023; 23(16):7130. https://doi.org/10.3390/s23167130
Chicago/Turabian StyleZhang, Hong, Yaxi Ding, Ye Yuan, Runchuan Xia, and Jianting Zhou. 2023. "Experimental Analysis of the Magnetic Leakage Detection of a Corroded Steel Strand Due to Vibration" Sensors 23, no. 16: 7130. https://doi.org/10.3390/s23167130
APA StyleZhang, H., Ding, Y., Yuan, Y., Xia, R., & Zhou, J. (2023). Experimental Analysis of the Magnetic Leakage Detection of a Corroded Steel Strand Due to Vibration. Sensors, 23(16), 7130. https://doi.org/10.3390/s23167130

