Electromagnetic Fields Exposure Assessment in Europe Utilizing Publicly Available Data
Abstract
1. Introduction
2. Materials and Methods
2.1. Data Acquisition
2.2. Data Processing
2.3. Data Description
2.3.1. Continuous RF-EMF Monitoring Networks
2.3.2. In Situ Measurement Campaigns
3. Results and Discussion
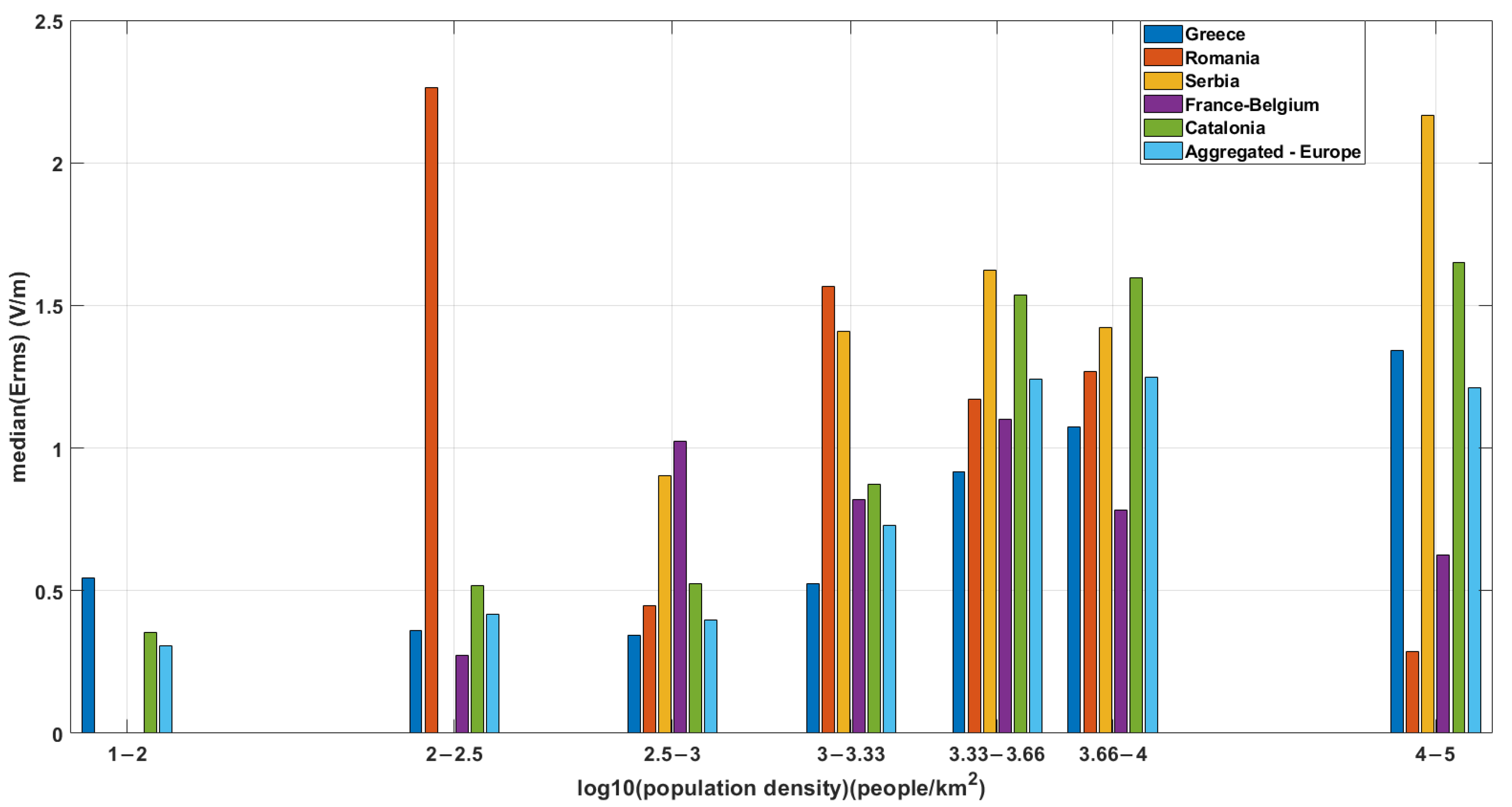
3.1. Comparative Study of Results from Five Monitoring Networks
3.2. Temporal Evolution of RF-EMF Levels
3.3. EMF Levels in Different Microenvironments
4. Conclusions
Author Contributions
Funding
Institutional Review Board Statement
Informed Consent Statement
Data Availability Statement
Conflicts of Interest
References
- International Commission on Non-Ionizing Radiation Protection (ICNIRP). Guidelines for Limiting Exposure to Electromagnetic Fields (100 kHz to 300 GHz). Health Phys. 2020, 118, 483–524. [Google Scholar] [CrossRef] [PubMed]
- 1999/519/EC: Council Recommendation of 12 July 1999 on the Limitation of Exposure of the General Public to Electromagnetic Fields (0 Hz to 300 GHz). Off. J. Eur. Communities 1999, L 199, 59–70. Available online: http://data.europa.eu/eli/reco/1999/519/oj (accessed on 24 October 2022).
- Decision 53571/3839/01.09.2000: Protection Measures for the Exposure of the General Public to all Land Based Antenna Stations. Available online: https://eeae.gr/files/nomothesia/34_85_A_53571_3839_FEK_1105_B_2000.pdf (accessed on 24 October 2022).
- Ordonnance Relative à la Protection de L’Environnement Contre Les éVentuels Effets Nocifs et Nuisances Provoqués Par Les Radiations Non Ionisantes. Available online: http://www.ejustice.just.fgov.be/cgi_loi/change_lg.pl?language=fr&la=F&cn=2007030138&table_name=loi (accessed on 24 October 2022).
- Joseph, W.; Verloock, L.; Goeminne, F.; Vermeeren, G.; Martens, L. In situ LTE exposure of the general public: Characterization and extrapolation. Bioelectromagnetics 2012, 33, 466–475. [Google Scholar] [CrossRef] [PubMed]
- Kuhn, S.; Lott, U.; Kramer, A.; Kuster, N. Assessment methods for demonstrating compliance with safety limits of wireless devices used in home and office environments. IEEE Trans. Electromagn. Compat. 2007, 49, 519–525. [Google Scholar] [CrossRef]
- Bolte, J.; Pruppers, M.; Kramer, J.; Van der Zande, G.; Schipper, C.; Fleurke, S.; Kluwer, T.; Van Kamp, I.; Kromhout, J. The Dutch Exposimeter Study: Developing an Activity Exposure Matrix. Epidemiology 2008, 19, S78–S79. [Google Scholar] [CrossRef]
- Gotsis, A.; Papanikolaou, N.; Komnakos, D.; Yalofas, A.; Constantinou, P. Non-ionizing electromagnetic radiation monitoring in Greece. Ann. Telecommun. 2008, 63, 109–123. [Google Scholar] [CrossRef]
- Manassas, A.; Boursianis, A.; Samaras, T.; Sahalos, J.N. Continuous electromagnetic radiation monitoring in the environment: Analysis of the results in Greece. Radiat. Prot. Dosim. 2012, 151, 437–442. [Google Scholar] [CrossRef] [PubMed]
- National Observatory of Electromagnetic Fields. Available online: https://paratiritirioemf.eeae.gr/en/ (accessed on 1 March 2022).
- Oliveira, C.; Sebastiao, D.; Carpinteiro, G.; Correia, L.M.; Fernandes, C.A.; Serraiha, A.; Marques, N. The moniT Project: Electromagnetic Radiation Exposure Assessment in Mobile Communications. IEEE Antennas Propag. 2007, 49, 44–53. [Google Scholar] [CrossRef]
- Aerts, S.; Wiart, J.; Martens, L.; Joseph, W. Assessment of long-term spatio-temporal radiofrequency electromagnetic field exposure. Environ. Res. 2018, 161, 136–143. [Google Scholar] [CrossRef] [PubMed]
- Tomitsch, J.; Dechant, E. Exposure to electromagnetic fields in households—Trends from 2006 to 2012. Bioelectromagnetics 2015, 36, 77–85. [Google Scholar] [CrossRef] [PubMed]
- ANFR. Cartoradio. Available online: https://www.cartoradio.fr/#/cartographie/mesures (accessed on 1 March 2022).
- Radioelectric Governance. Available online: https://politiquesdigitals.gencat.cat/ca/tic/governanca/ (accessed on 1 March 2022).
- Jalilian, H.; Eeftens, M.; Ziaei, M.; Röösli, M. Public exposure to radiofrequency electromagnetic fields in everyday microenvironments: An updated systematic review for Europe. Environ. Res. 2019, 176, 108517. [Google Scholar] [CrossRef] [PubMed]
- Safar, S.; Dongus, S.; Schoeni, A.; Roser, K.; Eeftens, M.; Struchen, B.; Foerster, M.; Meier, N.; Adem, S.; Röösli, M. Radiofrequency electromagnetic field exposure in everyday microenvironments in Europe: A systematic literature review. J. Expo. Sci. Environ. Epidemiol. 2018, 28, 147–160. [Google Scholar] [CrossRef]
- Gajšek, P.; Ravazzani, P.; Wiart, J.; Grellier, J.; Samaras, T.; Thuróczy, G. Electromagnetic field exposure assessment in Europe radiofrequency fields (10 MHz–6 GHz). J. Expo. Sci. Environ. Epidemiol. 2015, 25, 37–44. [Google Scholar] [CrossRef] [PubMed]
- Rowley, J.; Joyner, K. Comparative international analysis of radiofrequency exposure surveys of mobile communication radio base stations. J. Expo. Sci. Environ. Epidemiol. 2012, 22, 304–315. [Google Scholar] [CrossRef] [PubMed]
- EMF Ratel. Available online: https://emf.ratel.rs/ (accessed on 10 February 2022).
- Monitor EMF. Available online: https://www.monitor-emf.ro/map (accessed on 10 February 2022).
- Observatoire des Ondes. Available online: https://www.observatoiredesondes.com/fr/ (accessed on 10 February 2022).
- World Health Organization (WHO). Research Agenda for Radiofrequency Fields. Available online: https://apps.who.int/iris/handle/10665/44396 (accessed on 21 June 2022).
- ANFR Open Data Portal. Autonomous Probe Measurements. Available online: https://data.anfr.fr/anfr/visualisation/export/?id=28d187a3-1e67-4aa6-970e-e787db97aa99 (accessed on 10 February 2022).
- Mesures Del Nivell de Camp Electromagnètic (CEM). Mesures Dels Informes de Mesures Realitzades Amb Equips Portàtils. Available online: https://analisi.transparenciacatalunya.cat/en/Medi-Ambient/Mesures-del-nivell-de-camp-electromagn-tic-CEM-Mes/ffmw-ujyh (accessed on 10 February 2022).
- Mesures Del Nivell de Camp Electromagnètic (CEM). Mesures Realitzades Amb Els Equips de Monitoratge. Available online: https://analisi.transparenciacatalunya.cat/en/Medi-Ambient/Mesures-del-nivell-de-camp-electromagn-tic-CEM-Mes/c53u-gnhj (accessed on 10 February 2022).
- Republic of Serbia, Open Data Portal. Available online: https://data.gov.rs/sr/datasets/rezultati-kontinualnog-merenja-nivoa-elektrichnog-polja-na-lokatsijama-od-interesa/ (accessed on 10 February 2022).
- Radio-Electric Governance. Final Report Covering the Project Activities from 01/09/2010 to 30/09/2015. 2016. Available online: https://politiquesdigitals.gencat.cat/web/.content/00-arbre/infraestructures/governanca-radioelectrica/documents/LIFE09-ENV_ES_000505-Final-Report-public-version.pdf (accessed on 10 February 2022).
- Ministry Measures Campaign. Available online: http://www.radiofrequences.gouv.fr/contexte-objectifs-et-architecture-de-la-campagne-a81.html (accessed on 1 March 2022).
- United Nations Economic Commission for Europe. Available online: https://w3.unece.org/SDG/en/Indicator?id=133 (accessed on 26 October 2022).
- Facebook Connectivity Lab and Center for International Earth Science Information Network-CIESIN-Columbia University. 2016. High Resolution Settlement Layer (HRSL). Source Imagery for HRSL © 2016 DigitalGlobe. 2016. Available online: https://data.humdata.org/ (accessed on 1 March 2022).
- Birks, L.; Struchen, B.; Eeftens, M.; Welf, L.; Huss, A.; Gajšek, P.; Kheifets, L.; Gallastegi, M.; Dalmau-Bueno, A.; Estarlich, M.; et al. Spatial and temporal variability of personal environmental exposure to radio frequency electromagnetic fields in children in Europe. Environ. Int. 2018, 117, 204–214. [Google Scholar] [CrossRef] [PubMed]
- ANFR. Etude de L’exposition du Public Aux Ondes Radioélectriques. 2021. Available online: https://www.anfr.fr/fileadmin/mediatheque/documents/expace/20210716-Analyse-mesures-2020.pdf (accessed on 1 March 2022).
- Generalitat de Catalunya. Informe Anual 2018 Del Nivell D’exposició a Camps Electromagnetics de Radiofreqüència a Catalunya. 2019. Available online: https://politiquesdigitals.gencat.cat/web/.content/00-arbre/infraestructures/governanca-radioelectrica/estudis/2018-Informe-Anual-CAT-vfinal.pdf (accessed on 1 March 2022).
- Generalitat de Catalunya. Informe Anual 2013 Del Nivell D’exposició a Camps Electromagnetics de Radiofreqüència a Catalunya. 2014. Available online: http://governancaradioelectrica.gencat.cat/documents/10180/5044679/Informe%20anual%202013%20exposici%C3%B3%20CEM%20de%20radiofreq%C3%BC%C3%A8ncia%20a%20Catalunya.pdf (accessed on 1 March 2022).
- Generalitat de Catalunya. Informe Anual 2015 Del Nivell D’exposició a Camps Electromagnetics de Radiofreqüència a Catalunya. 2015. Available online: http://governancaradioelectrica.gencat.cat/documents/10180/5044679/Informe%20anual%202014%20exposici%C3%B3%20CEM%20de%20RF%20a%20Catalunya%20vfinal%20catal%C3%A0.pdf (accessed on 1 March 2022).
- Generalitat de Catalunya. Informe Anual 2017 Del Nivell D’exposició a Camps Electromagnetics de Radiofreqüència a Catalunya. 2018. Available online: https://politiquesdigitals.gencat.cat/web/.content/00-arbre/infraestructures/governanca-radioelectrica/estudis/2017-Informe-Anual-CAT-vfinal.pdf (accessed on 1 March 2022).
- Generalitat de Catalunya. Informe Anual 2019 Del Nivell D’exposició a Camps Electromagnetics de Radiofreqüència a Catalunya. 2020. Available online: https://politiquesdigitals.gencat.cat/web/.content/00-arbre/infraestructures/governanca-radioelectrica/estudis/2019-Informe-Anual-CAT-vfinal.pdf (accessed on 1 March 2022).
- Generalitat de Catalunya. Informe Anual 2020 Del Nivell D’exposició a Camps Electromagnetics de Radiofreqüència a Catalunya. 2021. Available online: https://politiquesdigitals.gencat.cat/web/.content/00-arbre/infraestructures/governanca-radioelectrica/estudis/2020-Informe-Anual-CAT-vfinal.pdf (accessed on 1 March 2022).
- Bürgi, A.; Frei, P.; Theis, G.; Mohler, E.; Braun-Fahrländer, C.; Fröhlich, J.; Neubauer, G.; Egger, M.; Röösli, M. A model for radiofrequency electromagnetic field predictions at outdoor and indoor locations in the context of epidemiological research. Bioelectromagnetics 2010, 31, 226–236. [Google Scholar] [CrossRef] [PubMed]
- ANFR. PROTOCOLE DE MESURE. ANFR/DR 15-4.1. 2019. Available online: https://www.anfr.fr/fileadmin/mediatheque/documents/expace/Protocole-mesure-15-4.1.pdf (accessed on 1 March 2022).
- ANFR. Etude de L’exposition du Public Aux Ondes Radioélectriques. 2015. Available online: https://www.anfr.fr/fileadmin/CP/2015-12-23_Analyse_mesures_2014_vf.pdf (accessed on 1 March 2022).
- ANFR. Etude de L’exposition du Public Aux Ondes Radioélectriques. 2016. Available online: https://www.anfr.fr/fileadmin/mediatheque/documents/expace/Etude_mesures_expace_11-2016_v2.pdf (accessed on 1 March 2022).
- ANFR. Etude de L’exposition du Public Aux Ondes Radioélectriques. 2017. Available online: https://www.anfr.fr/fileadmin/mediatheque/documents/expace/Analyse_mesures_2016_VF_9oct.pdf (accessed on 1 March 2022).
- ANFR. Etude de L’exposition du Public Aux Ondes Radioélectriques. 2018. Available online: https://www.anfr.fr/fileadmin/mediatheque/documents/expace/20180919-Analyse-mesures-2017.pdf (accessed on 1 March 2022).
- ANFR. Etude de L’exposition du Public Aux Ondes Radioélectriques. 2019. Available online: https://www.anfr.fr/fileadmin/mediatheque/documents/expace/20190418-ANFR-analyse-mesures-2018.pdf (accessed on 1 March 2022).
- ANFR. Etude de L’exposition du Public Aux Ondes Radioélectriques. 2020. Available online: https://www.anfr.fr/fileadmin/mediatheque/documents/expace/20200408-ANFR-analyse-mesures-2019.pdf (accessed on 1 March 2022).








| Country | Start of Network Operation | Period of 75% Sensor Activation | Median | Q1 (25%) | Q3 (75%) | Min | Max |
|---|---|---|---|---|---|---|---|
| Greece | 2015 | 2016–2022 | 0.67 | 0.34 | 1.28 | 0.19 | 6.85 |
| Romania | 2016 | 2019–2022 | 1.16 | 0.72 | 2.11 | 0.06 | 11.74 |
| Serbia | 2017 | 2020–2022 | 1.51 | 1.10 | 2.13 | 0.26 | 4.36 |
| France–Belgium | 2020 | 2021–2022 | 0.78 | 0.40 | 1.22 | 0.09 | 4.06 |
| Spain (Catalonia) | 2005 | 2013–2022 | 1.43 | 0.69 | 2.73 | 0.11 | 23.32 |
| Aggregated-Europe | - | - | 0.98 | 0.48 | 1.70 | 0.06 | 23.32 |
| Microenvironment | Median | Q1 (25%) | Q3 (75%) | Max |
|---|---|---|---|---|
| Primary care centers | 0.10 | 0.01 | 0.25 | 3.21 |
| Nursing and care homes | 0.14 | 0.03 | 0.35 | 6.21 |
| Private homes | 0.33 | 0.13 | 0.83 | 16.54 |
| Compulsory secondary schools | 0.21 | 0.06 | 0.41 | 4.84 |
| Hospitals | 0.28 | 0.05 | 0.68 | 8.20 |
| Pre-school and primary schools | 0.20 | 0.04 | 0.40 | 5.91 |
| Kindergartens | 0.16 | 0.03 | 0.29 | 3.75 |
| Public parks | 0.31 | 0.09 | 0.64 | 3.40 |
| Unclassified | 0.28 | 0.10 | 0.59 | 20.01 |
| Place | Median | Q1 (25%) | Q3 (75%) | Max |
|---|---|---|---|---|
| Indoors | 0.14 | 0.03 | 0.31 | 13.09 |
| Outdoors | 0.30 | 0.12 | 0.63 | 20.01 |
| Microenvironment | Median | Q1 (25%) | Q3 (75%) | Max |
|---|---|---|---|---|
| Business (shopping centers, etc.) | 1.42 | 0.46 | 2.95 | 16.40 |
| Various | 0.70 | 0.30 | 1.47 | 31.05 |
| Establishments open to the public (schools, care facilities, sensors, etc.) | 0.36 | 0.20 | 0.85 | 28.30 |
| Residences | 0.45 | 0.21 | 0.95 | 40.86 |
| Business places not accessible to the public | 0.73 | 0.35 | 1.81 | 19.59 |
| Streets/roads/parking lots | 0.61 | 0.28 | 1.10 | 31.56 |
| Place | Median | Q1 (25%) | Q3 (75%) | Max |
|---|---|---|---|---|
| Indoors | 0.41 | 0.20 | 0.93 | 40.86 |
| Outdoors | 0.62 | 0.28 | 1.16 | 31.56 |
Publisher’s Note: MDPI stays neutral with regard to jurisdictional claims in published maps and institutional affiliations. |
© 2022 by the authors. Licensee MDPI, Basel, Switzerland. This article is an open access article distributed under the terms and conditions of the Creative Commons Attribution (CC BY) license (https://creativecommons.org/licenses/by/4.0/).
Share and Cite
Iakovidis, S.; Apostolidis, C.; Manassas, A.; Samaras, T. Electromagnetic Fields Exposure Assessment in Europe Utilizing Publicly Available Data. Sensors 2022, 22, 8481. https://doi.org/10.3390/s22218481
Iakovidis S, Apostolidis C, Manassas A, Samaras T. Electromagnetic Fields Exposure Assessment in Europe Utilizing Publicly Available Data. Sensors. 2022; 22(21):8481. https://doi.org/10.3390/s22218481
Chicago/Turabian StyleIakovidis, Serafeim, Christos Apostolidis, Athanasios Manassas, and Theodoros Samaras. 2022. "Electromagnetic Fields Exposure Assessment in Europe Utilizing Publicly Available Data" Sensors 22, no. 21: 8481. https://doi.org/10.3390/s22218481
APA StyleIakovidis, S., Apostolidis, C., Manassas, A., & Samaras, T. (2022). Electromagnetic Fields Exposure Assessment in Europe Utilizing Publicly Available Data. Sensors, 22(21), 8481. https://doi.org/10.3390/s22218481

