A Fuzzy Fusion Rotating Machinery Fault Diagnosis Framework Based on the Enhancement Deep Convolutional Neural Networks
Abstract
:1. Introduction
2. Background and Related Work
2.1. Signal Processing Techniques
2.2. General Introduction of Conventional CNN
2.3. Conventional Fusion Strategies
3. Framework of the Proposed Method
3.1. Enhancement CNN Models
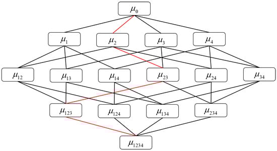
3.2. Decision-Level Fuzzy Fusion Strategy
4. Experiments
4.1. Datasets
4.2. Implementation
4.3. Training Process Analysis
4.4. Comparison of Fuzzy Fusion with Empirical Fusion
4.5. Classifier Ranking and Interactive
4.6. Comparison with State-of-the-Art
5. Conclusions
Author Contributions
Funding
Institutional Review Board Statement
Informed Consent Statement
Data Availability Statement
Acknowledgments
Conflicts of Interest
References
- Pandey, P.; Rai, A.; Mitra, M. Explainable 1-d convolutional neural network for damage detection using lamb wave. Mech. Syst. Signal Process. 2022, 164, 108220. [Google Scholar] [CrossRef]
- Zhao, Z.; Li, T.; Wu, J.; Sun, C.; Wang, S.; Yan, R.; Chen, X. Deep learning algorithms for rotating machinery intelligent diagnosis: An open source benchmark study. ISA Trans. 2020, 107, 224–255. [Google Scholar] [CrossRef] [PubMed]
- Zarei, J.; Tajeddini, M.A.; Karimi, H.R. Vibration analysis for bearing fault detection and classification using an intelligent filter. Mechatronics 2014, 24, 151–157. [Google Scholar] [CrossRef]
- Ye, Z.; Yu, J. Deep morphological convolutional network for feature learning of vibration signals and its applications to gearbox fault diagnosis. Mech. Syst. Signal Process. 2021, 161, 107984. [Google Scholar] [CrossRef]
- Zhang, D.; Chen, Y.; Guo, F.; Karimi, H.R.; Dong, H.; Xuan, Q. A new interpretable learning method for fault diagnosis of rolling bearings. IEEE Trans. Instrum. Meas. 2020, 70, 1–10. [Google Scholar] [CrossRef]
- Shao, H.; Lin, J.; Zhang, L.; Galar, D.; Kumar, U. A novel approach of multisensory fusion to collaborative fault diagnosis in maintenance. Inf. Fusion 2021, 74, 65–76. [Google Scholar] [CrossRef]
- Kiranyaz, S.; Ince, T.; Gabbouj, M. Real-time patient-specific ECG classification by 1-D convolutional neural networks. IEEE Trans. Biomed. Eng. 2015, 63, 664–675. [Google Scholar] [CrossRef]
- Fawaz, H.I.; Forestier, G.; Weber, J.; Idoumghar, L.; Muller, P.A. Deep learning for time series classification: A review. Data Min. Knowl. Discov. 2019, 33, 917–963. [Google Scholar] [CrossRef] [Green Version]
- Uçar, M.K.; Nour, M.; Hatem, S.; Kemal, P. The effect of training and testing process on machine learning in biomedical datasets. Math. Probl. Eng. 2020, 2020, 2836236. [Google Scholar] [CrossRef]
- Yang, D.; Karimi, H.R.; Sun, K. Residual wide-kernel deep convolutional auto-encoder for intelligent rotating machinery fault diagnosis with limited samples. Neural Netw. 2021, 141, 133–144. [Google Scholar] [CrossRef]
- Shao, S.; McAleer, S.; Yan, R.; Baldi, P. Highly accurate machine fault diagnosis using deep transfer learning. IEEE Trans. Ind. Inform. 2018, 15, 2446–2455. [Google Scholar] [CrossRef]
- Zhao, R.; Wang, D.; Yan, R.; Mao, K.; Shen, F.; Wang, J. Machine health monitoring using local feature-based gated recurrent unit networks. IEEE Trans. Ind. Electron. 2017, 65, 1539–1548. [Google Scholar] [CrossRef]
- Shao, S.; Wang, P.; Yan, R. Generative adversarial networks for data augmentation in machine fault diagnosis. Comput. Ind. 2019, 106, 85–93. [Google Scholar] [CrossRef]
- Wang, Z.; Xuan, J. Intelligent fault recognition framework by using deep reinforcement learning with one dimension convolution and improved actor-critic algorithm. Adv. Eng. Inform. 2021, 49, 101315. [Google Scholar] [CrossRef]
- Zhu, J.; Chen, N.; Peng, W. Estimation of bearing remaining useful life based on multiscale convolutional neural network. IEEE Trans. Ind. Electron. 2018, 66, 3208–3216. [Google Scholar] [CrossRef]
- Miao, H.; Li, B.; Sun, C.; Liu, J. Joint learning of degradation assessment and rul prediction for aeroengines via dual-task deep lstm networks. IEEE Trans. Ind. Inform. 2019, 15, 5023–5032. [Google Scholar] [CrossRef]
- Wang, H.; Xu, J.; Sun, C.; Yan, R.; Chen, X. Intelligent fault diagnosis for planetary gearbox using time-frequency representation and deep reinforcement learning. IEEE/ASME Trans. Mechatron. 2021. [Google Scholar] [CrossRef]
- Glowacz, A. Fault diagnosis of single-phase induction motor based on acoustic signals. Mech. Syst. Signal Process. 2019, 117, 65–80. [Google Scholar] [CrossRef]
- Liu, Y.; Guo, L.; Wang, Q.; An, G.; Guo, M.; Lian, H. Application to induction motor faults diagnosis of the amplitude recovery method combined with fft. Mech. Syst. Signal Process. 2010, 24, 2961–2971. [Google Scholar] [CrossRef]
- Manhertz, G.; Bereczky, A. Stft spectrogram based hybrid evaluation method for rotating machine transient vibration analysis. Mech. Syst. Signal Process. 2021, 154, 107583. [Google Scholar] [CrossRef]
- He, Z.; Shao, H.; Wang, P.; Lin, J.J.; Cheng, J.; Yang, Y. Deep transfer multi-wavelet auto-encoder for intelligent fault diagnosis of gearbox with few target training samples. Knowl.-Based Syst. 2020, 191, 105313. [Google Scholar] [CrossRef]
- Temko, A.; Macho, D.; Nadeu, C. Fuzzy integral based information fusion for classification of highly confusable non-speech sounds. Pattern Recognit. 2008, 41, 1814–1823. [Google Scholar] [CrossRef] [Green Version]
- Liu, X.; Ma, L.; Mathew, J. Machinery fault diagnosis based on fuzzy measure and fuzzy integral data fusion techniques. Mech. Syst. Signal Process. 2009, 23, 690–700. [Google Scholar] [CrossRef]
- Banerjee, A.; Singh, P.K.; Sarkar, R. Fuzzy integral based cnn classifier fusion for 3D skeleton action recognition. IEEE Trans. Circuits Syst. Video Technol. 2020, 31, 2206–2216. [Google Scholar] [CrossRef]
- Shao, H.; Jiang, H.; Lin, Y.; Li, X. A novel method for intelligent fault diagnosis of rolling bearings using ensemble deep auto-encoders. Mech. Syst. Signal Process. 2018, 102, 278–297. [Google Scholar] [CrossRef]
- Yu, J.; Zhou, X. One-dimensional residual convolutional autoencoder based feature learning for gearbox fault diagnosis. IEEE Trans. Ind. Inform. 2020, 16, 6347–6358. [Google Scholar] [CrossRef]
- Au, S.-K.; Zhang, F.-L. Ambient modal identification of a primary–secondary structure by fast bayesian fft method. Mech. Syst. Signal Process. 2012, 28, 280–296. [Google Scholar] [CrossRef]
- Pawlaczyk, L.; Pucicki, D.; Serafinczuk, J. Fast and efficient approach for multi-component quantum wells analysis based on fft. Measurement 2021, 186, 110118. [Google Scholar] [CrossRef]
- Li, L.; Cai, H.; Jiang, Q.; Ji, H. An empirical signal separation algorithm for multicomponent signals based on linear time-frequency analysis. Mech. Syst. Signal Process. 2019, 121, 791–809. [Google Scholar] [CrossRef]
- Shao, H.; Xia, M.; Han, G.; Zhang, Y.; Wan, J. Intelligent fault diagnosis of rotor-bearing system under varying working conditions with modified transfer convolutional neural network and thermal images. IEEE Trans. Ind. Inform. 2020, 17, 3488–3496. [Google Scholar] [CrossRef]
- Tao, D.; Cheng, J.; Yu, Z.; Yue, K.; Wang, L. Domain-weighted majority voting for crowdsourcing. IEEE Trans. Neural Netw. Learn. Syst. 2018, 30, 163–174. [Google Scholar] [CrossRef]
- Ruta, D.; Gabrys, B. Classifier selection for majority voting. Inf. Fusion 2005, 6, 63–81. [Google Scholar] [CrossRef]
- Stergiou, A.; Poppe, R.; Kalliatakis, G. Refining activation downsampling with softpool. arXiv 2021, arXiv:2101.00440. [Google Scholar]
- Misra, D. Mish: A self regularized non-monotonic activation function. arXiv 2019, arXiv:1908.08681. [Google Scholar]
- Murray, B.J.; Islam, M.A.; Pinar, A.J.; Anderson, D.T.; Scott, G.J.; Havens, T.C.; Keller, J.M. Explainable ai for the choquet integral. IEEE Trans. Emerg. Top. Comput. Intell. 2020, 5, 520–529. [Google Scholar] [CrossRef]
- Anderson, D.T.; Scott, G.J.; Islam, M.A.; Murray, B.; Marcum, R. Fuzzy choquet integration of deep convolutional neural networks for remote sensing. In Computational Intelligence for Pattern Recognition; Springer: Berlin/Heidelberg, Germany, 2018; pp. 1–28. [Google Scholar]
- Bechhoefer, E. Machinery Failure Prevention Technology (MFPT) Datasets. 2013. Available online: https://mfpt.org/fault-data-sets (accessed on 28 September 2021).
- Lessmeier, C.; Kimotho, J.K.; Zimmer, D.; Sextro, W. Condition monitoring of bearing damage in electromechanical drive systems by using motor current signals of electric motors: A benchmark data set for data-driven classification. In Proceedings of the PHM Society European Conference, Bilbao, Spain, 5–8 July 2016; Volume 3. [Google Scholar]
- Wen, L.; Xie, X.; Li, X.; Gao, L. A new ensemble convolutional neural network with diversity regularization for fault diagnosis. J. Manuf. Syst. 2020. [Google Scholar] [CrossRef]
- Wang, X.; Chen, A.; Zhang, L.; Gu, Y.; Xu, M.; Yan, H. Distilling the Knowledge of Multiscale Densely Connected Deep Networks in Mechanical Intelligent Diagnosis. Wirel. Commun. Mob. Comput. 2021, 2021, 4319074. [Google Scholar] [CrossRef]
- Cheng, Y.; Lin, M.; Wu, J.; Zhu, H.; Shao, X. Intelligent fault diagnosis of rotating machinery based on continuous wavelet transform-local binary convolutional neural network. Knowl.-Based Syst. 2021, 216, 106796. [Google Scholar] [CrossRef]
- Pandhare, V.; Singh, J.; Lee, J. Convolutional neural network based rolling-element bearing fault diagnosis for naturally occurring and progressing defects using time-frequency domain features. In Proceedings of the 2019 Prognostics and System Health Management Conference (PHM-Paris), Paris, France, 2–5 May 2019; pp. 320–326. [Google Scholar]
- Wu, J.; Zhao, Z.; Sun, C.; Yan, R.; Chen, X. Few-shot transfer learning for intelligent fault diagnosis of machine. Measurement 2020, 166, 108202. [Google Scholar] [CrossRef]










| Feature Used | MFPT | PU | ||||||
|---|---|---|---|---|---|---|---|---|
| ReLU MaxPool | Mish MaxPool | ReLU SoftPool | Mish SoftPool | ReLU MaxPool | Mish MaxPool | ReLU SoftPool | Mish SoftPool | |
| Raw vibration | 84.17% | 86.11% | 84.44% | 88.33% | 90.92% | 90.98% | 92.18% | 93.32% |
| FFT | 94.44% | 95.56% | 96.11% | 97.50% | 96.09% | 96.70% | 96.69% | 98.62% |
| Slice | 71.19% | 72.22% | 73.22% | 74.44% | 92.97% | 93.31% | 92.34% | 93.49% |
| STFT | 86.16% | 89.72% | 88.56% | 90.00% | 95.24% | 95.27% | 95.49% | 96.69% |
| Model | Signal | SNR | Average | |||||
|---|---|---|---|---|---|---|---|---|
| 0 | 2 | 4 | 6 | 8 | 10 | |||
| ReLU + MaxPool | Raw | 68.05% | 71.94% | 73.33% | 80.55% | 81.67% | 84.72% | 76.71% |
| FFT | 82.50% | 85.83% | 89.44% | 89.44% | 90.28% | 91.94% | 88.23% | |
| Slice | 41.11% | 48.61% | 52.50% | 55.83% | 61.39% | 65.00% | 54.07% | |
| STFT | 64.44% | 68.33% | 69.17% | 80.55% | 81.11% | 82.22% | 74.30% | |
| Mish + SoftPool | Raw | 74.17% | 78.89% | 80.27% | 84.72% | 85.55% | 87.78% | 81.89% |
| FFT | 85.83% | 87.78% | 91.11% | 92.22% | 93.33% | 94.17% | 90.74% | |
| Slice | 50.28% | 52.22% | 59.44% | 63.33% | 64.17% | 66.11% | 59.26% | |
| STFT | 65.56% | 76.94% | 78.11% | 81.94% | 82.78% | 84.44% | 78.26% | |
| Model | Signal | SNR | Average | |||||
|---|---|---|---|---|---|---|---|---|
| 0 | 2 | 4 | 6 | 8 | 10 | |||
| ReLU + MaxPool | Raw | 79.49% | 81.95% | 85.66% | 87.02% | 88.08% | 88.91% | 85.19% |
| FFT | 81.92% | 87.38% | 88.91% | 92.60% | 92.86% | 93.12% | 89.47% | |
| Slice | 78.54% | 83.41% | 84.66% | 89.03% | 89.37% | 90.82% | 85.97% | |
| STFT | 81.33% | 86.66% | 87.34% | 90.26% | 91.03% | 91.16% | 87.96% | |
| Mish + SoftPool | Raw | 83.01% | 84.63% | 86.42% | 89.22% | 90.43% | 91.79% | 87.58% |
| FFT | 82.48% | 89.08% | 92.01% | 92.58% | 94.34% | 95.21% | 90.95% | |
| Slice | 81.23% | 86.18% | 88.98% | 91.54% | 91.34% | 92.21% | 88.58% | |
| STFT | 85.43% | 87.31% | 89.52% | 90.08% | 94.18% | 95.79% | 90.39% | |
| Fusion Strategy | Datasets | |
|---|---|---|
| MFPT | PU | |
| Average | 95.55% | 96.04% |
| Majority Vote | 96.67% | 96.31% |
| Proposed Fusion | 98.06% | 96.62% |
| Method | Year | Feature | Accuracy (%) |
|---|---|---|---|
| BiLSTM [2] | 2020 | FFT | 94.76 |
| LeNet [2] | 2020 | FFT | 94.76 |
| AlexNet [2] | 2020 | FFT | 93.4 |
| ResNet18 [2] | 2020 | FFT | 95.92 |
| SVM [41] | 2021 | CWT | 91.2 |
| MLP [39] | 2020 | Scalogram | 94.00 |
| SVM [39] | 2020 | Scalogram | 92.7 |
| CNN [39] | 2020 | S-Transform | 95.59 |
| CNN [40] | 2021 | raw-data | 79.63 |
| Proposed | - | Integration | 98.06 |
| Method | Year | Feature | Accuracy (%) |
|---|---|---|---|
| BiLSTM [2] | 2020 | FFT | 94.29 |
| SAE [2] | 2020 | FFT | 92.86 |
| CNN [42] | 2019 | raw-data | 95.57 |
| CNN [40] | 2021 | raw-data | 99 |
| DTN [43] | 2021 | raw-data | 95.26 |
| FTN [43] | 2021 | raw-data | 97.79 |
| LeNet [2] | 2020 | FFT | 96.13 |
| AlexNet [2] | 2020 | FFT | 95.57 |
| ResNet18 [2] | 2020 | FFT | 99.48 |
| Proposed | - | Integration | 99.62 |
Publisher’s Note: MDPI stays neutral with regard to jurisdictional claims in published maps and institutional affiliations. |
© 2022 by the authors. Licensee MDPI, Basel, Switzerland. This article is an open access article distributed under the terms and conditions of the Creative Commons Attribution (CC BY) license (https://creativecommons.org/licenses/by/4.0/).
Share and Cite
Yang, D.; Karimi, H.R.; Gelman, L. A Fuzzy Fusion Rotating Machinery Fault Diagnosis Framework Based on the Enhancement Deep Convolutional Neural Networks. Sensors 2022, 22, 671. https://doi.org/10.3390/s22020671
Yang D, Karimi HR, Gelman L. A Fuzzy Fusion Rotating Machinery Fault Diagnosis Framework Based on the Enhancement Deep Convolutional Neural Networks. Sensors. 2022; 22(2):671. https://doi.org/10.3390/s22020671
Chicago/Turabian StyleYang, Daoguang, Hamid Reza Karimi, and Len Gelman. 2022. "A Fuzzy Fusion Rotating Machinery Fault Diagnosis Framework Based on the Enhancement Deep Convolutional Neural Networks" Sensors 22, no. 2: 671. https://doi.org/10.3390/s22020671
APA StyleYang, D., Karimi, H. R., & Gelman, L. (2022). A Fuzzy Fusion Rotating Machinery Fault Diagnosis Framework Based on the Enhancement Deep Convolutional Neural Networks. Sensors, 22(2), 671. https://doi.org/10.3390/s22020671

